Continental Scale Regional Flood Frequency Analysis: Combining Enhanced Datasets and a Bayesian Framework
Abstract
1. Introduction
2. Materials and Methods
2.1. Data
2.1.1. Discharge Data
2.1.2. Catchment Delineation
2.1.3. Catchment Attributes
2.2. Methodology
2.2.1. Extreme Value Theory
2.2.2. Bayesian Hierarchical Model
2.2.3. Inference at Gauged Stations
2.2.4. Prediction in Ungauged Catchments
3. Results
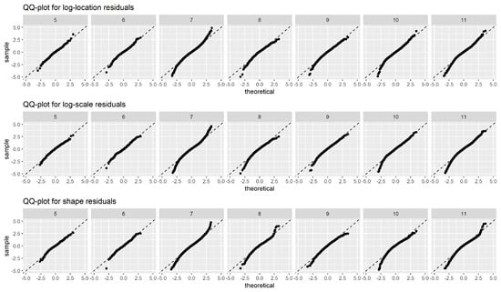
3.1. Model Validation
- The BHM regression model can only capture a fraction of the variability of the GEV shape parameter. The unexplained random error remains quite substantial, which makes out-of-sample predictions noisy. This same observation has been reported in the past literature [42].
- Since the regression component assumes linearity, some nonlinear effects of the covariates on the shape parameter might not be captured by our model.

3.2. Model Results
3.2.1. Covariate Importance
- Coefficients are first rescaled to by dividing by the highest absolute coefficient value. This removes the regional variability of the regression coefficient values.
- All covariates with the regression coefficient posterior distribution containing 0 inside its 0.1th and 0.9th quantiles are discarded. Therefore, only coefficients considered significantly different from 0 are considered.
- The remaining covariates are classified according to the absolute value of the estimated regression coefficient mean value.
3.2.2. Estimated GEV Distribution Parameters
3.2.3. Peak Flow Return Levels
4. Discussion and Conclusions
4.1. Model Choices and Limitations
4.2. Conclusions
Supplementary Materials
Author Contributions
Funding
Data Availability Statement
Acknowledgments
Conflicts of Interest
References
- Centre for Research on the Epidemiology of Disasters. The Human Cost of Natural Disasters—A Global Perspective; Centre for Research on the Epidemiology of Disasters: Brussels, Belgium, 2015. [Google Scholar]
- Kundzewicz, Z.W.; Kanae, S.; Seneviratne, S.I.; Handmer, J.; Nicholls, N.; Peduzzi, P.; Mechler, R.; Bouwer, L.M.; Arnell, N.; Mach, K.; et al. Flood risk and climate change: Global and regional perspectives. Hydrol. Sci. J. 2014, 59, 1–28. [Google Scholar] [CrossRef]
- Hirabayashi, Y.; Mahendran, R.; Koirala, S.; Konoshima, T.; Yamazaki, D.; Watanabe, S.; Kim, H.; Kanae, S. Global flood risk under climate change. Nat. Clim. Chang. 2013, 3, 816–821. [Google Scholar] [CrossRef]
- Engeland, K.; Hisdal, H.; Frigessi, A. Practical Extreme Value Modelling of Hydrological Floods and Droughts: A Case Study. Extremes 2004, 7, 5–30. [Google Scholar] [CrossRef]
- Nerantzaki, S.D.; Papalexiou, S.M. Assessing extremes in hydroclimatology: A review on probabilistic methods. J. Hydrol. 2022, 605, 127302. [Google Scholar] [CrossRef]
- Katz, R.W.; Parlange, M.B.; Naveau, P. Statistics of extremes in hydrology. Adv. Water Resour. 2002, 25, 1287–1304. [Google Scholar] [CrossRef]
- Coles, S.; Bawa, J.; Trenner, L.; Dorazio, P. An Introduction to Statistical Modeling of Extreme Values; Springer: Berlin/Heidelberg, Germany, 2001; Volume 208. [Google Scholar]
- Sivapalan, M.; Takeuchi, K.; Franks, S.; Gupta, V.; Karambiri, H.; Lakshmi, V.; Liang, X.; Mcdonnell, J.; Mendiondo, E.; O’Connell, P.; et al. IAHS decade on Predictions in Ungauged Basins (PUB), 2003–2012: Shaping an exciting future for the hydrological sciences. Hydrol. Sci. J. 2003, 48, 857–880. [Google Scholar] [CrossRef]
- Prihodko, L.; Denning, A.; Hanan, N.; Baker, I.; Davis, K. Sensitivity, uncertainty and time dependence of parameters in a complex land surface model. Agric. For. Meteorol. 2008, 148, 268–287. [Google Scholar] [CrossRef]
- Müller Schmied, H.; Adam, L.; Eisner, S.; Fink, G.; Flörke, M.; Kim, H.; Oki, T.; Portmann, F.T.; Reinecke, R.; Riedel, C.; et al. Variations of global and continental water balance components as impacted by climate forcing uncertainty and human water use. Hydrol. Earth Syst. Sci. 2016, 20, 2877–2898. [Google Scholar] [CrossRef]
- Hosking, J.R.M.; Wallis, J.R. Regional Frequency Analysis: An Approach Based on L-Moments; Cambridge University Press: Cambridge, UK, 1997. [Google Scholar] [CrossRef]
- Renard, B. A Bayesian hierarchical approach to regional frequency analysis. Water Resour. Res. 2011, 47, W11513. [Google Scholar] [CrossRef]
- Burn, D.H. Evaluation of regional flood frequency analysis with a region of influence approach. Water Resour. Res. 1990, 26, 2257–2265. [Google Scholar] [CrossRef]
- Gelman, A.; Carlin, J.B.; Stern, H.S.; Dunson, D.B.; Vehtari, A.; Rubin, D.B. Bayesian Data Analysis, 3rd ed.; Chapman and Hall/CRC: Boca Raton, FL, USA, 2013. [Google Scholar] [CrossRef]
- Yan, H.; Moradkhani, H. A regional Bayesian hierarchical model for flood frequency analysis. Stoch. Environ. Res. Risk Assess. 2015, 29, 1019–1036. [Google Scholar] [CrossRef]
- Sampaio, J.; Costa, V. Bayesian regional flood frequency analysis with GEV hierarchical models under spatial dependency structures. Hydrol. Sci. J. 2021, 66, 422–433. [Google Scholar] [CrossRef]
- Lima, C.H.; Lall, U.; Troy, T.; Devineni, N. A hierarchical Bayesian GEV model for improving local and regional flood quantile estimates. J. Hydrol. 2016, 541, 816–823. [Google Scholar] [CrossRef]
- Eastoe, E.F. Nonstationarity in peaks-over-threshold river flows: A regional random effects model. Environmetrics 2019, 30, e2560. [Google Scholar] [CrossRef]
- Thorarinsdottir, T.L.; Hellton, K.H.; Steinbakk, G.H.; Schlichting, L.; Engeland, K. Bayesian Regional Flood Frequency Analysis for Large Catchments. Water Resour. Res. 2018, 54, 6929–6947. [Google Scholar] [CrossRef]
- Sharkey, P.; Winter, H.C. A Bayesian spatial hierarchical model for extreme precipitation in Great Britain. Environmetrics 2019, 30, e2529. [Google Scholar] [CrossRef]
- Dyrrdal, A.V.; Lenkoski, A.; Thorarinsdottir, T.L.; Stordal, F. Bayesian hierarchical modeling of extreme hourly precipitation in Norway. Environmetrics 2015, 26, 89–106. [Google Scholar] [CrossRef]
- Wu, Y.; Xue, L.; Liu, Y. Local and regional flood frequency analysis based on hierarchical Bayesian model in Dongting Lake Basin, China. Water Sci. Eng. 2019, 12, 253–262. [Google Scholar] [CrossRef]
- García, J.A.; Martín, J.; Naranjo, L.; Acero, F.J. A Bayesian hierarchical spatio-temporal model for extreme rainfall in Extremadura (Spain). Hydrol. Sci. J. 2018, 63, 878–894. [Google Scholar] [CrossRef]
- Kordrostami, S.; Alim, M.A.; Karim, F.; Rahman, A. Regional Flood Frequency Analysis Using an Artificial Neural Network Model. Geosciences 2020, 10, 127. [Google Scholar] [CrossRef]
- Aziz, K.; Rahman, A.; Fang, G.; Shrestha, S. Application of artificial neural networks in regional flood frequency analysis: A case study for Australia. Stoch. Environ. Res. Risk Assess. 2014, 28, 541–554. [Google Scholar] [CrossRef]
- Zhao, G.; Bates, P.; Neal, J.; Pang, B. Design flood estimation for global river networks based on machine learning models. Hydrol. Earth Syst. Sci. 2021, 25, 5981–5999. [Google Scholar] [CrossRef]
- Mangukiya, N.K.; Sharma, A. Alternate pathway for regional flood frequency analysis in data-sparse region. J. Hydrol. 2024, 629, 130635. [Google Scholar] [CrossRef]
- Santillán, D.; Mediero, L.; Garrote, L. Modelling uncertainty of flood quantile estimations at ungauged sites by Bayesian networks. J. Hydroinformatics 2013, 16, 822–838. [Google Scholar] [CrossRef]
- Smith, A.; Sampson, C.; Bates, P. Regional flood frequency analysis at the global scale. Water Resour. Res. 2015, 51, 539–553. [Google Scholar] [CrossRef]
- U.S. Geological Survey. National Water Information System Data Available on the World Wide Web (USGS Water Data for the Nation); U.S. Geological Survey: Reston, VA, USA, 2016.
- Environment and Climate Change Canada. HYDAT Database—Canada; Government of Canada: Gatineau, QC, Canada, 2013.
- Recknagel, T.; Färber, C.; Plessow, K.; Looser, U. The Global Runoff Data Centre: A building block in the chain of reproducible hydrology. In Proceedings of the EGU General Assembly 2023, Vienna, Austria, 23–28 April 2023. Abstract EGU23-15454. [Google Scholar]
- Ministère de l’Environnement, de la Lutte Contre les Changements Climatiques, de la Faune et des Parcs. Atlas Hydroclimatique; Ministry of the Environment, the Fight against Change Climate, Fauna and Parks: Quebec, QC, Canada, 2022. [Google Scholar]
- Lachance-Cloutier, S.; Turcotte, R.; Cyr, J.F. Combining streamflow observations and hydrologic simulations for the retrospective estimation of daily streamflow for ungauged rivers in southern Quebec (Canada). J. Hydrol. 2017, 550, 294–306. [Google Scholar] [CrossRef]
- Lehner, B.; Grill, G. Global river hydrography and network routing: Baseline data and new approaches to study the world’s large river systems. Hydrol. Process. 2013, 27, 2171–2186. [Google Scholar] [CrossRef]
- Yamazaki, D.; Ikeshima, D.; Sosa, J.; Bates, P.D.; Allen, G.H.; Pavelsky, T.M. MERIT Hydro: A High-Resolution Global Hydrography Map Based on Latest Topography Dataset. Water Resour. Res. 2019, 55, 5053–5073. [Google Scholar] [CrossRef]
- Arc Hydro Team. Arc Hydro Toolbox 2.8.17; Esri Co. Ltd.: Redlands, CA, USA, 2021. [Google Scholar]
- Robert, C.P.; Casella, G. Monte Carlo Statistical Methods, 2nd ed.; Springer Science & Business Media: New York, NY, USA, 2004. [Google Scholar]
- Roberts, G.O.; Rosenthal, J.S. Examples of Adaptive MCMC. J. Comput. Graph. Stat. 2009, 18, 349–367. [Google Scholar] [CrossRef]
- Roberts, G.O.; Rosenthal, J.S. Optimal scaling for various Metropolis-Hastings algorithms. Stat. Sci. 2001, 16, 351–367. [Google Scholar] [CrossRef]
- Gelman, A.; Rubin, D.B. Inference from Iterative Simulation Using Multiple Sequences. Stat. Sci. 1992, 7, 457–472. [Google Scholar] [CrossRef]
- Love, C.A.; Skahill, B.E.; England, J.F.; Karlovits, G.; Duren, A.; AghaKouchak, A. Integrating Climatic and Physical Information in a Bayesian Hierarchical Model of Extreme Daily Precipitation. Water 2020, 12, 2211. [Google Scholar] [CrossRef]
- Sang, H.; Gelfand, A.E. Hierarchical modeling for extreme values observed over space and time. Environ. Ecol. Stat. 2009, 16, 407–426. [Google Scholar] [CrossRef]
- Morrison, J.E.; Smith, J.A. Stochastic modeling of flood peaks using the generalized extreme value distribution. Water Resour. Res. 2002, 38, 41-1–41-12. [Google Scholar] [CrossRef]
- Katz, R.W. Statistics of extremes in climate change. Clim. Chang. 2010, 100, 71–76. [Google Scholar] [CrossRef]
- Davison, A.C.; Padoan, S.A.; Ribatet, M. Statistical Modeling of Spatial Extremes. Stat. Sci. 2012, 27, 161–186. [Google Scholar] [CrossRef]
- Daniel Cooley, D.N.; Naveau, P. Bayesian Spatial Modeling of Extreme Precipitation Return Levels. J. Am. Stat. Assoc. 2007, 102, 824–840. [Google Scholar] [CrossRef]
- Michaud, J.D.; Hirschboeck, K.K.; Winchell, M. Regional variations in small-basin floods in the United States. Water Resour. Res. 2001, 37, 1405–1416. [Google Scholar] [CrossRef]
- Beck, H.E.; Zimmermann, N.E.; McVicar, T.R.; Vergopolan, N.; Berg, A.; Wood, E.F. Present and future Köppen–Geiger climate classification maps at 1-km resolution. Sci. Data 2018, 5, 180214. [Google Scholar] [CrossRef]
- Carreau, J.; Naveau, P.; Sauquet, E. A statistical rainfall-runoff mixture model with heavy-tailed components. Water Resour. Res. 2009, 45, W10437. [Google Scholar] [CrossRef]
- Miniussi, A.; Marani, M.; Villarini, G. Metastatistical Extreme Value Distribution applied to floods across the continental United States. Adv. Water Resour. 2020, 136, 103498. [Google Scholar] [CrossRef]
- Naveau, P.; Huser, R.; Ribereau, P.; Hannart, A. Modeling jointly low, moderate, and heavy rainfall intensities without a threshold selection. Water Resour. Res. 2016, 52, 2753–2769. [Google Scholar] [CrossRef]
- Vidrio-Sahagún, C.T.; He, J.; Pietroniro, A. Nonstationary hydrological frequency analysis using the Metastatistical extreme value distribution. Adv. Water Resour. 2023, 176, 104460. [Google Scholar] [CrossRef]











Disclaimer/Publisher’s Note: The statements, opinions and data contained in all publications are solely those of the individual author(s) and contributor(s) and not of MDPI and/or the editor(s). MDPI and/or the editor(s) disclaim responsibility for any injury to people or property resulting from any ideas, methods, instructions or products referred to in the content. |
© 2024 by the authors. Licensee MDPI, Basel, Switzerland. This article is an open access article distributed under the terms and conditions of the Creative Commons Attribution (CC BY) license (https://creativecommons.org/licenses/by/4.0/).
Share and Cite
Alexandre, D.A.; Chaudhuri, C.; Gill-Fortin, J. Continental Scale Regional Flood Frequency Analysis: Combining Enhanced Datasets and a Bayesian Framework. Hydrology 2024, 11, 119. https://doi.org/10.3390/hydrology11080119
Alexandre DA, Chaudhuri C, Gill-Fortin J. Continental Scale Regional Flood Frequency Analysis: Combining Enhanced Datasets and a Bayesian Framework. Hydrology. 2024; 11(8):119. https://doi.org/10.3390/hydrology11080119
Chicago/Turabian StyleAlexandre, Duy Anh, Chiranjib Chaudhuri, and Jasmin Gill-Fortin. 2024. "Continental Scale Regional Flood Frequency Analysis: Combining Enhanced Datasets and a Bayesian Framework" Hydrology 11, no. 8: 119. https://doi.org/10.3390/hydrology11080119
APA StyleAlexandre, D. A., Chaudhuri, C., & Gill-Fortin, J. (2024). Continental Scale Regional Flood Frequency Analysis: Combining Enhanced Datasets and a Bayesian Framework. Hydrology, 11(8), 119. https://doi.org/10.3390/hydrology11080119

