ANN-Based Predictors of ASR Well Recovery Effectiveness in Unconfined Aquifers
Abstract
1. Introduction
1.1. Recovery Effectiveness (REN) of Aquifer Storage and Recovery (ASR) Well
1.2. Application of Artificial Neural Network (ANN)
1.3. ANN Structure
2. Materials and Methods
2.1. Parameters and Procedures for REN Simulation and Prediction
2.1.1. Overview
2.1.2. Selection of REN Impact Factors and Their Value Ranges
2.1.3. Modeled System and Simulators
2.2. Development and Evaluation of Dimensionless Analytical Parameters (Terms) for ANN-Based Predictors
2.2.1. Overview
2.2.2. Development of Dimensionless Analytical Parameters (Terms)
2.2.3. Development of ANN to Predict REN
2.2.4. Evaluation of Developed ANN-Based Predictors
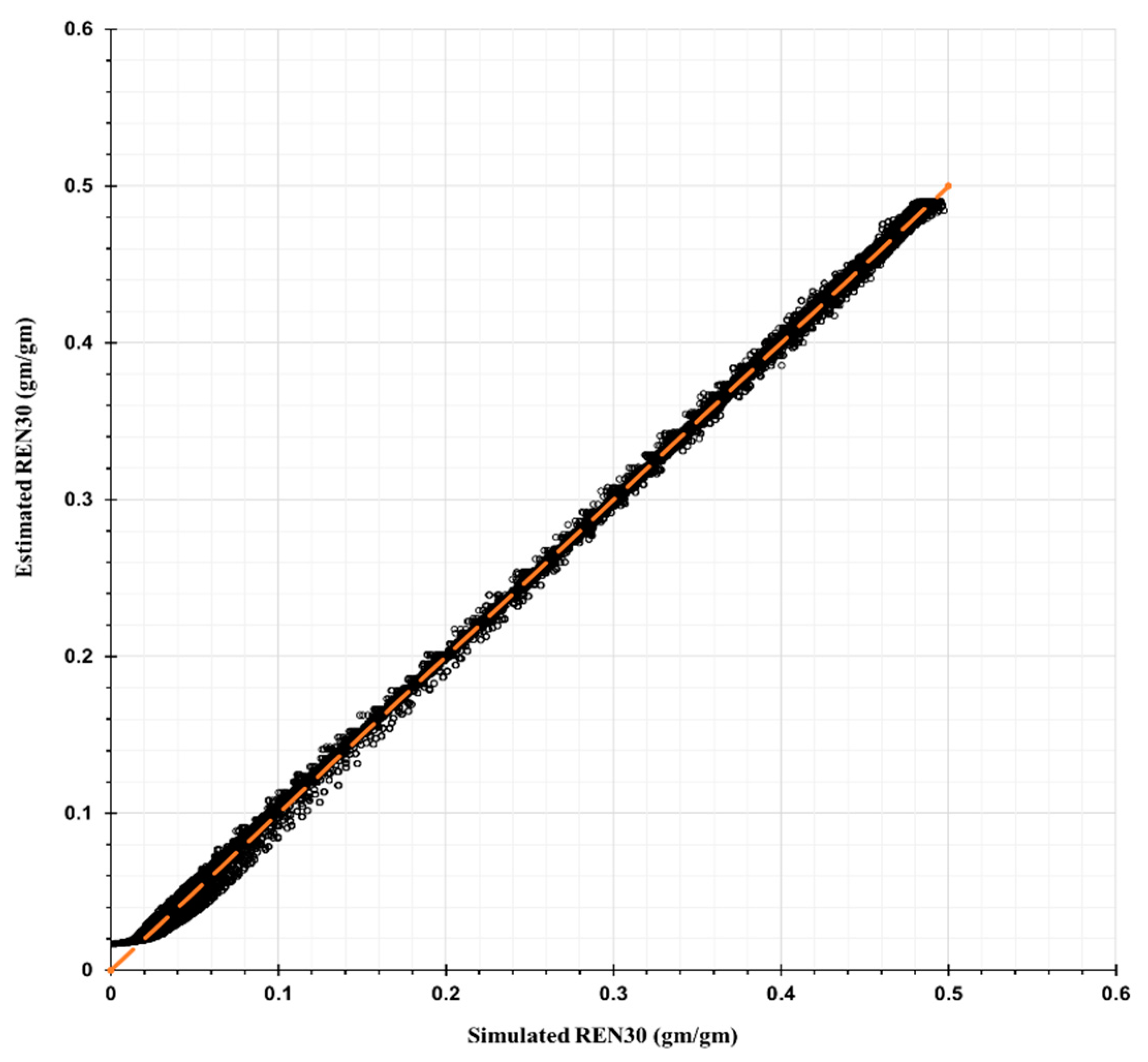
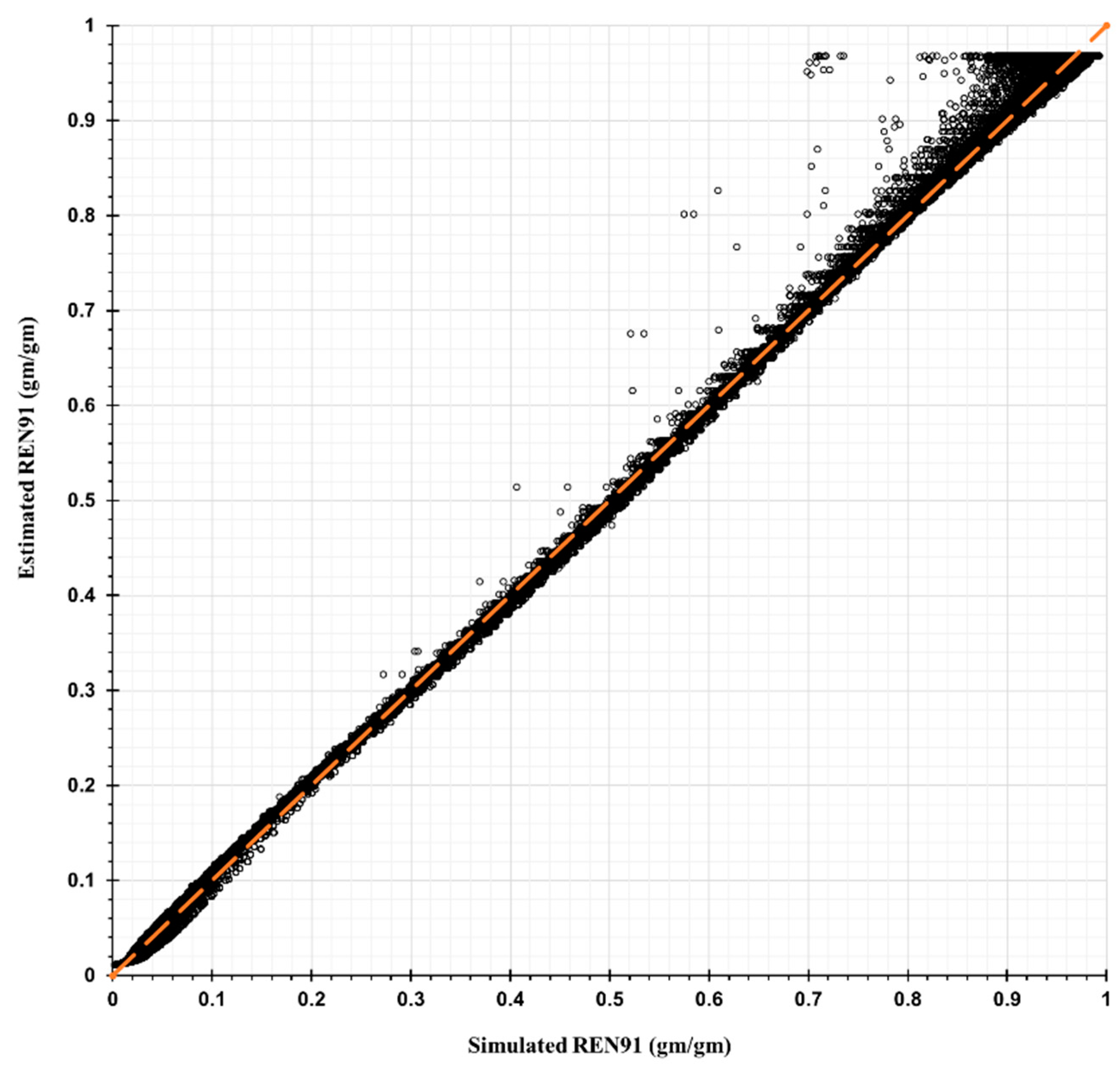
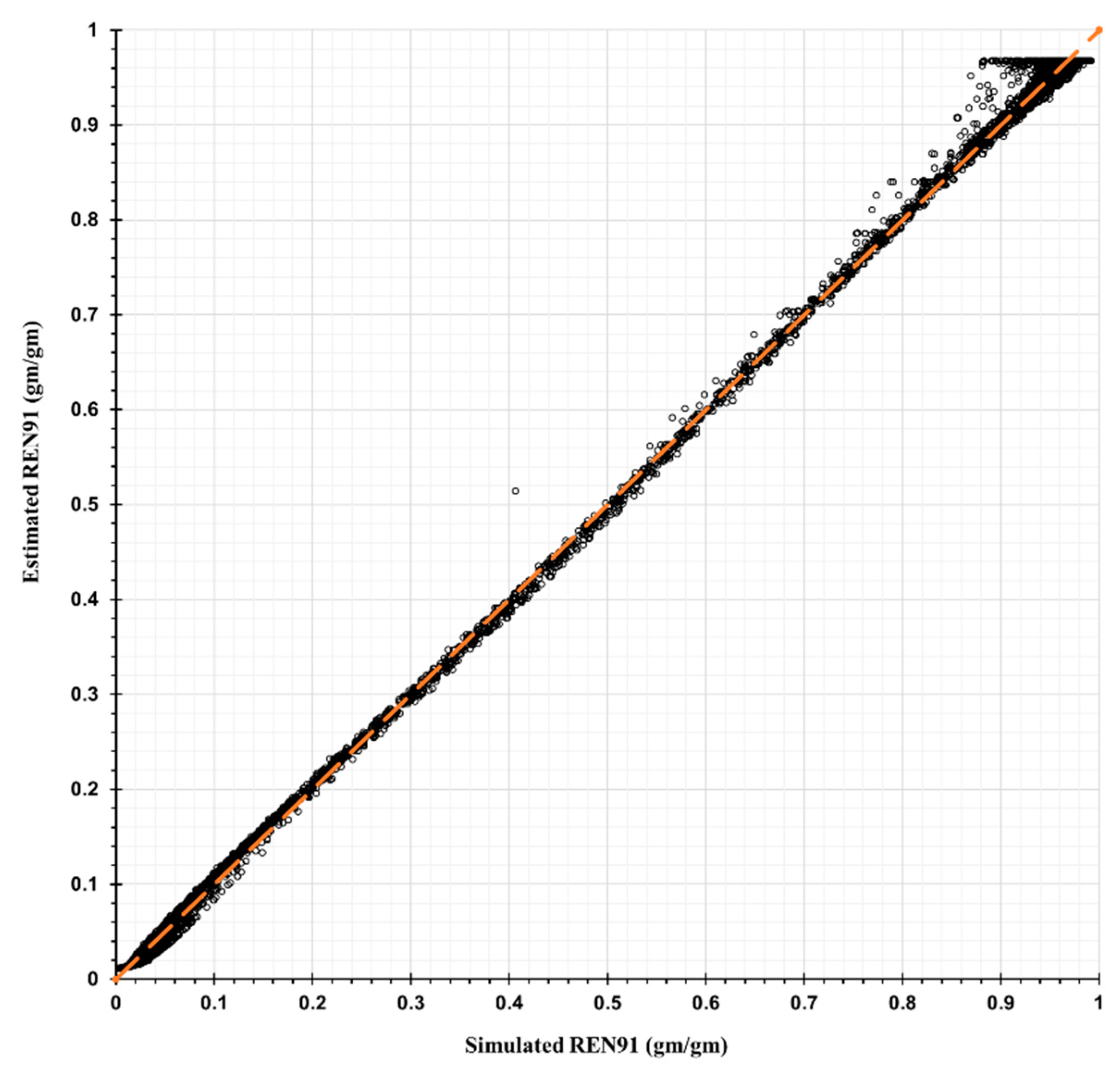
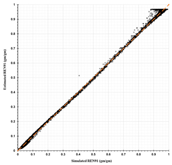
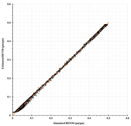
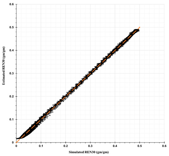
3. Results and Discussion
4. Conclusions
Author Contributions
Funding
Data Availability Statement
Acknowledgments
Conflicts of Interest
Appendix A
| Parameter | Formula * | Range | Applied by |
|---|---|---|---|
| Mean Error (ME) | −∞ < ME < +∞; Perfect: 0 | Javan et al. [68] | |
| Root Mean Square Error (RMSE) | 0 ≤ RMSE < +∞; Perfect: 0 | Mentaschi et al. [69]; Javan et al. [68]; Jimeno-Sáez et al. [70] | |
| Peak Weighted Root Mean Square Error (PWRMSE) | 0 ≤ PWRMSE < +∞; Perfect: 0 | Javan et al. [68] | |
| Pearson’s Correlation Coefficient (r) | −1 ≤ r ≤ 1; Perfect: 1 or −1 | Moriasi et al. [71]; Javan et al. [68] | |
| Coefficient of Determination (R2) | 0 ≤ R2 ≤ 1; Perfect: 1 | Moriasi et al. [71]; Jimeno-Sáez et al. [70] | |
| Nash–Sutcliffe Efficiency (NSE or ENS) | −∞ < ENS ≤ 1; Perfect: 1 | Nash and Sutcliffe [72]; Moriasi et al. [71]; Javan et al. [68]; Jimeno-Sáez et al. [70] | |
| Percent Bias (PBIAS) | |PBIAS| ≤ 25% very good | Moriasi et al. [71]; Jimeno-Sáez et al. [70] | |
| Scatter Index (SI) | Perfect: SI < 20%; Operational: SI < 60% | Janssen and Komen [73]; Moriasi et al. [71] |


References
- Alam, S.; Borthakur, A.; Ravi, S.; Gebremichael, M.; Mohanty, S.K. Managed aquifer recharge implementation criteria to achieve water sustainability. Sci. Total Environ. 2021, 768, 144992. [Google Scholar] [CrossRef] [PubMed]
- Daus, A.; GSI Environmental Inc. Aquifer Storage and Recovery. Improving Water Supply Security in the Caribbean Opportunities and Challenges; Discussion paper No. IDB-DP-00712; Inter-American Development Bank (IDB) Publication, Water and Sanitation Division: 2019. Available online: https://publications.iadb.org/en/aquifer-storage-and-recovery-improving-water-supply-security-caribbean-opportunities-and-challenges (accessed on 26 October 2022).
- U.S. EPA. Underground Injection Control, Aquifer Recharge, and Aquifer Storage and Recovery. 2021. Available online: https://www.epa.gov/uic/aquifer-recharge-and-aquifer-storage-and-recovery (accessed on 26 October 2022).
- Smith, W.B.; Miller, G.R.; Sheng, Z. Assessing aquifer storage and recovery feasibility in the Gulf Coastal Plains of Texas. J. Hydrol. 2017, 14, 92–108. [Google Scholar] [CrossRef]
- Bakker, M. Radial Dupuit interface flow to assess the aquifer storage and recovery potential of saltwater aquifers. Hydrogeol. J. 2010, 18, 107–115. [Google Scholar] [CrossRef]
- Pyne, R.D.G. Groundwater Recharge and Wells: A Guide to Aquifer Storage Recovery; CRC Press: Boca Raton, FL, USA, 1995. [Google Scholar]
- Brown, C.J.; Ward, J.; Mirecki, J. A Revised Brackish Water Aquifer Storage and Recovery (ASR) Site Selection Index for Water Resources Management. Water Resour. Manag. 2016, 30, 2465–2481. [Google Scholar] [CrossRef]
- Kimbler, O.K.; Kazmann, R.G.; Whitehead, W.R. Cyclic storage of freshwater in saline aquifers. In Louisiana Water Resources Research Institute Bulletin # 10; Louisiana Water Resources Research Institute: Baton Rouge, LA, USA, 1975; pp. 75–78. [Google Scholar]
- Lowry, C.S.; Anderson, M.P. An Assessment of Aquifer Storage Recovery Using Ground Water Flow Models. Ground Water 2006, 44, 661–667. [Google Scholar] [CrossRef]
- Lu, C.; Du, P.; Chen, Y.; Luo, J. Recovery efficiency of aquifer storage and recovery (ASR) with mass transfer limitation. Water Resour. Res. 2011, 47, W08529. [Google Scholar] [CrossRef]
- Pavelic, P.; Dillon, P.J.; Simmons, C.T. Multiscale Characterization of a Heterogeneous Aquifer Using an ASR Operation. Groundwater 2005, 44, 155–164. [Google Scholar] [CrossRef]
- Ward, J.D.; Simmons, C.T.; Dillon, P.J. Variable-density modelling of multiple-cycle aquifer storage and recovery (ASR): Importance of anisotropy and layered heterogeneity in brackish aquifers. J. Hydrol. 2008, 356, 93–105. [Google Scholar] [CrossRef]
- Ward, J.D.; Simmons, C.T.; Dillon, P.J.; Pavelic, P. Integrated assessment of lateral flow, density effects and dispersion in aquifer storage and recovery. J. Hydrol. 2009, 370, 83–99. [Google Scholar] [CrossRef]
- Forghani, A.; Peralta, R.C. Intelligent performance evaluation of aquifer storage and recovery systems in freshwater aquifers. J. Hydrol. 2018, 563, 599–608. [Google Scholar] [CrossRef]
- Bockelmann, A.; Zamfirescu, D.; Ptak, T.; Grathwohl, P.; Teutsch, G. Quantification of mass fluxes and natural attenuation rates at an industrial site with a limited monitoring network: A case study. J. Contam. Hydrol. 2003, 60, 97–121. [Google Scholar] [CrossRef] [PubMed]
- Ptak, T.; Piepenbrink, M.; Martac, E. Tracer tests for the investigation of heterogeneous porous media and stochastic modelling of flow and transport—A review of some recent developments. J. Hydrol. 2004, 294, 122–163. [Google Scholar] [CrossRef]
- Visser, A.; Singleton, M.J.; Esser, B.K. Xenon Tracer Test at Woodland Aquifer Storage and Recovery Well: A Report to West Yost Associates LLNL-TR-652313; Lawrence Livermore National Laboratory: Livermore, CA, USA, 2014.
- Fitts, C.R. Uncertainty in deterministic groundwater transport models due to the assumption of macrodispersive mixing: Evidence from the Cape Cod (Massachusetts, U.S.A.) and Borden (Ontario, Canada) tracer tests. Contam. Hydrol. 1996, 23, 69–84. [Google Scholar] [CrossRef]
- Khaki, M.; Yusoff, I.; Islami, N. Application of the artificial neural network and neuro-fuzzy system for assessment of groundwater quality. Clean Soil Air Water 2015, 43, 551–560. [Google Scholar] [CrossRef]
- Nordin, N.F.C.; Mohd, N.S.; Koting, S.; Ismail, Z.; Sherif, M.; EL-Shafie, A. Groundwater quality forecasting modelling using artificial intelligence: A review. Groundw. Sustain. Dev. 2021, 14, 100643. [Google Scholar] [CrossRef]
- Sakizadeh, M. Artificial intelligence for the prediction of water quality index in groundwater systems. Model. Earth Syst. Environ. 2016, 2, 8. [Google Scholar] [CrossRef]
- Haykin, S. Neural Networks: A Comprehensive Foundation, 2nd ed.; Prentice Hall: Upper Saddle River, NJ, USA, 1994. [Google Scholar]
- Sahoo, G.B.; Ray, C.; Mehnert, E.; Keefer, D.A. Application of artificial neural networks to assess pesticide contamination in shallow groundwater. Sci. Total Environ. 2006, 367, 234–251. [Google Scholar] [CrossRef] [PubMed]
- Sahoo, G.B.; Ray, C.; Wade, H.F. Pesticide prediction in ground water in North Carolina domestic wells using artificial neural networks. Ecol. Model. 2005, 183, 29–46. [Google Scholar] [CrossRef]
- De Vos, N.J.; Rientjes, T.H.M. Constraints of artificial neural networks for rainfall-runoff modelling: Trade-offs in hydrological state representation and model evaluation. Hydrol. Earth Syst. Sci. Discuss. 2005, 2, 365–415. [Google Scholar] [CrossRef]
- Coulibaly, P.; Anctil, F.; Aravena, R.; Bobee, B. Artificial neural network modeling of water table depth fluctuations. Water Resour. Res. 2001, 37, 885–896. [Google Scholar] [CrossRef]
- Daliakopoulos, I.N.; Coulibaly, P.; Tsanis, I.K. Groundwater level forecasting using artificial neural networks. J. Hydrol. 2005, 309, 229–240. [Google Scholar] [CrossRef]
- Malik, A.; Bhagwat, A. Modelling groundwater level fluctuations in urban areas using artificial neural network. Groundw. Sustain. Dev. 2021, 12, 100484. [Google Scholar] [CrossRef]
- Kuo, Y.; Liu, C.; Lin, K. Evaluation of the ability of an artificial neural network model to assess the variation of groundwater quality in an area of blackfoot disease in Taiwan. Water Res. 2004, 38, 148–158. [Google Scholar] [CrossRef] [PubMed]
- Liu, H.; Li, J.; Cao, H.; Xie, X.; Wang, Y. Prediction modeling of geogenic iodine contaminated groundwater throughout China. J. Environ. Manag. 2022, 303, 114249. [Google Scholar] [CrossRef]
- Banerjee, P.; Singh, V.S.; Chatttopadhyay, K.; Chandra, P.C.; Singh, B. Artificial neural network model as a potential alternative for groundwater salinity forecasting. J. Hydrol. 2011, 398, 212–220. [Google Scholar] [CrossRef]
- Govindaraju, R.S. Artificial Neural Networks in Hydrology. II: Hydrologic Applications, By the ASCE Task Committee on Application of Artificial Neural Networks in Hydrology. J. Hydrol. Eng. 2000, 5, 124–137. [Google Scholar] [CrossRef]
- Maren, A.; Harston, C.; Pap, R. Handbook of Neural Computing Applications; Academic Press: San Diego, CA, USA, 1990. [Google Scholar]
- Hagan, M.T.; Demuth, H.B.; Beale, M.H. Neural Network Design; PWS Publishing Co.: Boston, MA, USA, 1996. [Google Scholar]
- Mezard, M.; Nadal, J.P. Learning in feedforward layered networks: The tiling algorithm. J. Phys. A Math. Gen. 1989, 22, 2191–2203. [Google Scholar] [CrossRef]
- Gunther, F.; Fritsch, S. Neuralnet: Training of Neural Networks. R J. 2010, 2, 30–38. [Google Scholar] [CrossRef]
- Fetter, C.W. Contaminant Hydrogeology, 2nd ed.; Prentice-Hall Inc.: Upper Saddle River, NJ, USA, 1999; pp. 73–74. [Google Scholar]
- Bedient, P.B.; Rifai, H.S.; Newell, C.J. Ground Water Contamination, Transport and Remediation, 2nd ed.; Prentice-Hall Inc.: Upper Saddle River, NJ, USA, 1999; pp. 179–180. [Google Scholar]
- Lambert, P.M. Numerical Simulation of Ground-Water Flow in Basin-Fill Material in Salt Lake Valley, Utah. United States Geological Survey, Technical Publication No. 110-B 1995. Available online: https://pubs.er.usgs.gov/publication/70179464 (accessed on 24 August 2007).
- Gelhar, L.W.; Welty, C.; Rehfeldt, K.R. A Critical Review of Data on Field-Scale Dispersion in Aquifers. Water Resour. Res. 1992, 28, 1955–1974. [Google Scholar] [CrossRef]
- Heath, R.C. Basic Ground-Water Hydrology. United States Geological Survey. Water-Supply Pap. 1983, 2200, 84. [Google Scholar]
- iUTAH, Innovate Urban Transitions and Arid Region Hydro-Sustainability. 2012. Available online: https://iutahepscor.org/ (accessed on 13 July 2012).
- McDonald, M.G.; Harbaugh, A.W. A Modular Three-Dimensional Finite-Difference Ground-Water Flow Model; United States Geological Survey Report, Techniques of Water-Resources Investigations 06-A1; US Geological Survey: Liston, VA, USA, 1988. [CrossRef]
- Zheng, C.; Wang, P.P. MT3DMS: A Modular Three-Dimensional Multispecies Transport Model for Simulation of Advection, Dispersion, and Chemical Reactions of Contaminants in Groundwater Systems: Documentation and User’s Guide. In U.S. Army Engineer Research and Development Center Cataloging-in-Publication Data, Final Report, Contract Report SERDP-99-1; US Army Engineer Research and Development Center: Vicksburg, MS, USA, 1999. [Google Scholar]
- U.S. EPA. Online Tools for Site Assessment Calculation. U.S. Environmental Protection Agency. 2019. Available online: https://www3.epa.gov/ceampubl/learn2model/part-two/onsite/longdisp.html (accessed on 31 August 2021).
- Wilson, J.L.; Conrad, S.H.; Mason, W.R.; Peplinski, W.; Hagan, E. Laboratory Investigation of Residual Liquid Organics; 600/6-90/004; United States Environmental Protection Agency: Ada, OK, USA, 1990.
- Xu, M.; Eckstein, Y. Use of Weighted Least-Squares Method in Evaluation of the Relationship between Dispersivity and Field Scale. Ground Water 1995, 33, 905–908. [Google Scholar] [CrossRef]
- Daus, A.D.; Frind, E.O.; Sudicky, E.A. Comparative error analysis in finite element formulations of the advection-dispersion equation. Adv. Water Resour. 1985, 8, 86–95. [Google Scholar] [CrossRef]
- Macpherson, G.L.; Townsend, M.A. Perspectives on Sustainable Development of Water Resources in Kansas, Chapter 5: Water Chemistry and Sustainable Yield. Kansas Geological Survey Bulletin 239. 1998. Available online: https://www.kgs.ku.edu/Publications/Bulletins/239/Macpherson/index.html (accessed on 27 May 2013).
- Gropp, W.; Lusk, E.; Skjellum, A. Using MPI: Portable Parallel Programming with the Message-Passing Interface, 3rd ed.; MIT Press: Cambridge, MA, USA, 2014. [Google Scholar]
- Ketabchi, H.; Ataie-Ashtiani, B. Assessment of a parallel evolutionary optimization approach for efficient management of coastal aquifers. Environ. Model. Softw. 2015, 74, 21–38. [Google Scholar] [CrossRef]
- Neal, J.C.; Fewtrell, T.J.; Bates, P.D.; Wright, N.G. A comparison of three parallelization methods for 2D flood inundation models. Environ. Model. Softw. 2010, 25, 398–411. [Google Scholar] [CrossRef]
- Sloan, J.D. High Performance Linux Clusters: With OSCAR, Rocks, OpenMosix, and MPI: A Comprehensive Getting-Started Guide; O’Reilly Media, Inc.: Newton, MA, USA, 2009. [Google Scholar]
- Snir, M.; Otto, S.; Huss-Lederman, S.; Walker, D.; Dongarra, J. MPI: The Complete Reference; The MIT Press: Cambridge, MA, USA, 1996. [Google Scholar]
- Bear, J. Some Experiments in Dispersion. J. Geophys. Res. 1961, 66, 2455–2467. [Google Scholar] [CrossRef]
- Freeze, R.A.; Cherry, J.A. Groundwater; Prentice Hall Inc.: Upper Saddle River, NJ, USA, 1979; p. 604. [Google Scholar]
- U.S. EPA. A Systematic Approach for Evaluation of Capture Zones at Pump and Treat Systems; EPA/600/R-08/003; U.S. Environmental Protection Agency: Washington, DC, USA, 2008.
- Dreyfus, G. Neural Networks: Methodology and Applications; Springer: Berlin/Heidelberg, Germany, 2005; pp. 135–137. [Google Scholar]
- Hornik, K.; Stinchcombe, M.; White, H. Multilayer feedforward networks are universal approximators. Neural Netw. 1989, 2, 359–366. [Google Scholar] [CrossRef]
- Priddy, K.L.; Keller, P.E. Artificial Neural Networks: An Introduction; SPIE PRESS, The International Society for Optical Engineering: Bellingham, WA, USA, 2005. [Google Scholar]
- Schmidhuber, J. Deep learning in neural networks: An overview. Neural Netw. 2015, 61, 85–117. [Google Scholar] [CrossRef]
- Cooper, H.H., Jr.; Jacob, C.E. A Generalized Graphical Method for Evaluating Formation Constants and Summarizing Well-Field History. Trans. Am. Geophys. Union 1946, 27, 526–534. [Google Scholar] [CrossRef]
- Jacob, C.E. Notes on determining permeability by pumping tests under water table conditions. United States Geological. Survey Open-file Report, Effective radius of drawdown test to determine artesian well. Am. Soc. Civil Eng. Proc. 1944, 72, 629–646. [Google Scholar]
- Fitts, C.R. Groundwater Science; Academic Press; Elsevier Science: Cambridge, MA, USA, 2002; pp. 221–235. [Google Scholar]
- Huisman, L. Groundwater Recovery; Winchester Press and the Macmillan Press: New York, NY, USA, 1972; pp. 206–211. [Google Scholar]
- Neuman, S.P. Analysis of Pumping Test Data from Anisotropic Unconfined Aquifers Considering Delayed Gravity Response. Water Resour. Res. 1975, 11, 329–342. [Google Scholar] [CrossRef]
- Schwartz, F.W.; Zhang, H. Fundamentals of Groundwater; John Wiley and Sons Inc.: Hoboken, NJ, USA, 2003; pp. 258–270. [Google Scholar]
- Javan, K.; Fallah Haghgoo Lialestani, M.R.; Nejadhossein, M. A comparison of ANN and HSPF models for runoff simulation in Gharehsoo River watershed, Iran. Model. Earth Syst. Environ. 2015, 1, 41. [Google Scholar] [CrossRef]
- Mentaschi, L.; Besio, G.; Cassola, F.; Mazzino, A. Problems in RMSE-based wave model validations. Ocean Model. 2013, 72, 53–58. [Google Scholar] [CrossRef]
- Jimeno-Sáez, P.; Senent-Aparicio, J.; Pérez-Sánchez, J.; Pulido-Velazquez, D. A Comparison of SWAT and ANN Models for Daily Runoff Simulation in Different Climatic Zones of Peninsular Spain. Water 2018, 10, 192. [Google Scholar] [CrossRef]
- Moriasi, D.N.; Arnold, J.G.; Van Liew, M.W.; Bingner, R.L.; Harmel, R.D.; Veith, T.L. Model Evaluation Guidelines for Systematic Quantification of Accuracy in Watershed Simulations. Soil Water Div. Am. Soc. Agric. Biol. Eng. 2007, 50, 885–900. [Google Scholar] [CrossRef]
- Nash, J.E.; Sutcliffe, J.V. River flow forecasting through conceptual models: Part 1, A discussion of principles. J. Hydrol. 1970, 10, 282–290. [Google Scholar] [CrossRef]
- Janssen, P.A.E.M.; Komen, G.J. An Operational Coupled Hybrid Wave Prediction Model. Geophys. Res. 1984, 89, 3635–3654. [Google Scholar] [CrossRef]







| Impact Factor | Range (SI) | Range (English) |
|---|---|---|
| Background hydraulic gradient | 0.00001–0.015 | 0.00001–0.015 |
| Horizontal hydraulic conductivity | 4–20 (m/d) | 13.124–65.61 (ft/d) |
| Initial aquifer saturated thickness | 8–46 (m) | 26.25–150.91 (ft) |
| Porosity | 0.1–0.6 | 0.1–0.6 |
| (Specific yield)/(porosity) | 0.375–0.95 | 0.375–0.95 |
| Specific yield | 0.0375–0.57 | 0.0375–0.57 |
| Daily constant injection rate * | 5.451–327.06 (m3/d) | 0.0022–0.132 (cfs) or 1–60 (gpm) |
| Well diameter | 15.24 (cm) | 6 (inch) |
| Weighting Coefficient/Extraction Days | W01 | W11 | W21 | W31 | W′01 | W′11 |
|---|---|---|---|---|---|---|
| 15 | 0.88776 | 1.36690 | 0.05449 | 1.26304 | 0.01797 | 0.22883 |
| 30 | 0.42093 | 0.04244 | 0.14767 | 0.99647 | 0.01670 | 0.47337 |
| 45 | 0.05082 | 0.02403 | 0.05824 | 0.94451 | 0.00925 | 0.69328 |
| 61 | −0.22883 | 0.15617 | 0.02508 | 0.91678 | 0.00437 | 0.85361 |
| 76 | −0.35194 | 0.21135 | 0.03392 | 0.92816 | 0.00580 | 0.92971 |
| 91 | 0.34696 | −0.16184 | −0.06269 | −0.97335 | 0.96797 | −0.95680 |
| Extraction Days/Parameter | 15 | 30 | 45 | 61 | 76 | 91 | Interpretation Ranges |
|---|---|---|---|---|---|---|---|
| ME (gm/gm) | −0.0000 | 0.0000 | 0.0000 | 0.0000 | 0.0002 | 0.0002 | −∞ < ME < +∞; Perfect: 0 |
| RMSE (gm/gm) | 0.0029 | 0.0040 | 0.0081 | 0.0111 | 0.0116 | 0.0116 | 0 ≤ RMSE < +∞; Perfect: 0 |
| PWRMSE (gm/gm) | 0.0025 | 0.0036 | 0.0085 | 0.0120 | 0.0124 | 0.0127 | 0 ≤ PWRMSE < +∞; Perfect: 0 |
| r (-) | 0.9994 | 0.9997 | 0.9995 | 0.9994 | 0.9995 | 0.9995 | −1 ≤ r ≤ 1; Perfect: 1 or −1 |
| R2 (-) | 0.9987 | 0.9995 | 0.9991 | 0.9988 | 0.9990 | 0.9990 | 0 ≤ R2 ≤ 1; Perfect: 1 |
| ENS (-) | 0.9987 | 0.9995 | 0.9991 | 0.9988 | 0.9990 | 0.9990 | −∞ < ENS ≤ 1; Perfect: 1 |
| |PBIAS| (%) | 0.03 | 0.03 | 0.01 | 0.00 | 0.04 | 0.04 | |PBIAS| ≤ 25% very good |
| SI (%) | 1.47 | 1.11 | 1.64 | 1.92 | 1.80 | 1.74 | Perfect: SI < 20%; Operational: SI < 60% |
Disclaimer/Publisher’s Note: The statements, opinions and data contained in all publications are solely those of the individual author(s) and contributor(s) and not of MDPI and/or the editor(s). MDPI and/or the editor(s) disclaim responsibility for any injury to people or property resulting from any ideas, methods, instructions or products referred to in the content. |
© 2023 by the authors. Licensee MDPI, Basel, Switzerland. This article is an open access article distributed under the terms and conditions of the Creative Commons Attribution (CC BY) license (https://creativecommons.org/licenses/by/4.0/).
Share and Cite
Masoudiashtiani, S.; Peralta, R.C. ANN-Based Predictors of ASR Well Recovery Effectiveness in Unconfined Aquifers. Hydrology 2023, 10, 151. https://doi.org/10.3390/hydrology10070151
Masoudiashtiani S, Peralta RC. ANN-Based Predictors of ASR Well Recovery Effectiveness in Unconfined Aquifers. Hydrology. 2023; 10(7):151. https://doi.org/10.3390/hydrology10070151
Chicago/Turabian StyleMasoudiashtiani, Saeid, and Richard C. Peralta. 2023. "ANN-Based Predictors of ASR Well Recovery Effectiveness in Unconfined Aquifers" Hydrology 10, no. 7: 151. https://doi.org/10.3390/hydrology10070151
APA StyleMasoudiashtiani, S., & Peralta, R. C. (2023). ANN-Based Predictors of ASR Well Recovery Effectiveness in Unconfined Aquifers. Hydrology, 10(7), 151. https://doi.org/10.3390/hydrology10070151

