Bifunctional Catalytic Performance of Zn/ZSM-5 in the Aromatization of LPG and the Conversion of Pyrolytic Gases from Recycled Polypropylene
Abstract
1. Introduction
2. Experimental Section
2.1. Materials
2.2. Synthesis of Zn/ZSM-5 Catalyst
2.3. Catalyst Characterization
2.4. Aromatization Conditions of LPG
2.5. Sampling and Characterization of Recycled Polypropylene
2.6. Pyrolisis Conditions
3. Results
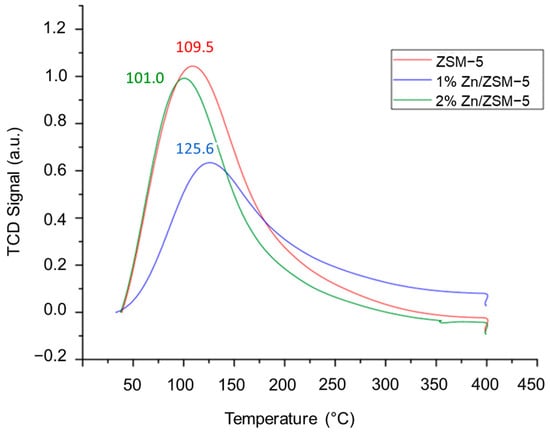
3.1. Characterization of the Catalyst
3.2. Catalyst Performance via LPG as Feedstock
3.3. Catalytic Pyrolysis of Recycled PP
4. Conclusions
Author Contributions
Funding
Data Availability Statement
Conflicts of Interest
References
- Brenes, R.G.R.; Alhadeff, E.M.; Bojorge, N.; Trales, L.E.M.; Pazos, G.A.D. BTX production by breaking down lignin: Current status and future prospects. Biofuels Bioprod. Biorefining 2022, 17, 664–681. [Google Scholar] [CrossRef]
- Kadja, G.T.; Azhari, N.J.; Mardiana, S.; Culsum, N.T.; Maghfirah, A. Recent advances in the development of nanosheet zeolites as heterogeneous catalysts. Results Eng. 2023, 17, 100910. [Google Scholar] [CrossRef]
- Jung, W.; Lee, S.; Kim, H.; Nam, K.; Ryu, H.W.; Lim, Y.H.; Ha, K.-S.; Kim, W.-J.; Kim, D.H.; Lee, J. System-level analysis for continuous BTX production from shale gas over Mo/HZSM-5 catalyst: Promotion effects of CO2 co-feeding on process economics and environment. Chem. Eng. J. 2022, 450, 137992. [Google Scholar] [CrossRef]
- Yeo, S.-J.; Kim, J.; Lee, W.-J. Potential economic and environmental advantages of liquid petroleum gas as a marine fuel through analysis of registered ships in South Korea. J. Clean. Prod. 2022, 330, 129955. [Google Scholar] [CrossRef]
- Hajimirzaee, S.; Mehr, A.S.; Kianfar, E. Modified ZSM-5 Zeolite for Conversion of LPG to Aromatics. Polycycl. Aromat. Compd. 2020, 42, 2334–2347. [Google Scholar] [CrossRef]
- Liu, R.-L.; Zhu, H.-Q.; Wu, Z.-W.; Qin, Z.-F.; Fan, W.-B.; Wang, J.-G. Aromatization of propane over Ga-modified ZSM-5 catalysts. J. Fuel Chem. Technol. 2015, 43, 961–969. [Google Scholar] [CrossRef]
- Liu, C.; Deng, Y.; Pan, Y.; Gu, Y.; Qiao, B.; Gao, X. Effect of ZSM-5 on the aromatization performance in cracking catalyst. J. Mol. Catal. A Chem. 2004, 215, 195–199. [Google Scholar] [CrossRef]
- QYu, Q.; Zhang, Q.; Liu, J.; Li, C.; Cui, Q. Inductive effect of various seeds on the organic template-free synthesis of zeolite ZSM-5. CrystEngComm 2013, 15, 7680–7687. [Google Scholar] [CrossRef]
- Oseke, G.; Atta, A.; Mukhtar, B.; El-Yakubu, B.; Aderemi, B. Increasing the catalytic stability of microporous Zn/ZSM-5 with copper for enhanced propane aromatization. J. King Saud Univ. Eng. Sci. 2021, 33, 531–538. [Google Scholar] [CrossRef]
- Uslamin, E.A.; Saito, H.; Sekine, Y.; Hensen, E.J.M.; Kosinov, N. Different mechanisms of ethane aromatization over Mo/ZSM-5 and Ga/ZSM-5 catalysts. Catal. Today 2021, 369, 184–192. [Google Scholar] [CrossRef]
- Wang, X.; Yin, Y.; Li, H.; Fan, S.; Lv, J.; Zhao, T.-S. The effect of Ce promotor on catalytic performance of Zn/ZSM-5 in coaromatization of methanol and n-hexane. Microporous Mesoporous Mater. 2024, 375, 113158. [Google Scholar] [CrossRef]
- Dauda, I.B.; Yusuf, M.; Gbadamasi, S.; Bello, M.; Atta, A.Y.; Aderemi, B.O.; Jibril, B.Y. Highly Selective Hierarchical ZnO/ZSM-5 Catalysts for Propane Aromatization. ACS Omega 2020, 5, 2725–2733. [Google Scholar] [CrossRef] [PubMed]
- Wang, K.; Dong, M.; Niu, X.; Li, J.; Qin, Z.; Fan, W.; Wang, J. Highly active and stable Zn/ZSM-5 zeolite catalyst for the conversion of methanol to aromatics: Effect of support morphology. Catal. Sci. Technol. 2018, 8, 5646–5656. [Google Scholar] [CrossRef]
- Barzallo, D.; Lazo, R.; Medina, C.; Guashpa, C.; Tacuri, C.; Palmay, P. Synthesis and Application of ZSM-5 Catalyst Supported with Zinc and/or Nickel in the Conversion of Pyrolytic Gases from Recycled Polypropylene and Polystyrene Mixtures under Hydrogen Atmosphere. Polymers 2023, 15, 3329. [Google Scholar] [CrossRef]
- Singh, R.; Ruj, B.; Sadhukhan, A.; Gupta, P.; Tigga, V. Waste plastic to pyrolytic oil and its utilization in CI engine: Performance analysis and combustion characteristics. Fuel 2020, 262, 116539. [Google Scholar] [CrossRef]
- Palmay, P.; Haro, C.; Huacho, I.; Barzallo, D.; Bruno, J.C. Production and Analysis of the Physicochemical Properties of the Pyrolytic Oil Obtained from Pyrolysis of Different Thermoplastics and Plastic Mixtures. Molecules 2022, 27, 3287. [Google Scholar] [CrossRef]
- Onwudili, J.A.; Muhammad, C.; Williams, P.T. Influence of catalyst bed temperature and properties of zeolite catalysts on pyrolysis-catalysis of a simulated mixed plastics sample for the production of upgraded fuels and chemicals. J. Energy Inst. 2019, 92, 1337–1347. [Google Scholar] [CrossRef]
- Marino, A.; Aloise, A.; Hernando, H.; Fermoso, J.; Cozza, D.; Giglio, E.; Migliori, M.; Pizarro, P.; Giordano, G.; Serrano, D.P. ZSM-5 zeolites performance assessment in catalytic pyrolysis of PVC-containing real WEEE plastic wastes. Catal. Today 2022, 390, 210–220. [Google Scholar] [CrossRef]
- Yuan, H.; Li, C.; Shan, R.; Zhang, J.; Wu, Y.; Chen, Y. Recent developments on the zeolites catalyzed polyolefin plastics pyrolysis. Fuel Process. Technol. 2022, 238, 107531. [Google Scholar] [CrossRef]
- Yuan, E.; Han, W.; Zhang, G.; Zhao, K.; Mo, Z.; Lu, G.; Tang, Z. Structural and Textural Characteristics of Zn-Containing ZSM-5 Zeolites and Application for the Selective Catalytic Reduction of NOx with NH3 at High Temperatures. Catal. Surv. Asia 2016, 20, 41–52. [Google Scholar] [CrossRef]
- Rodríguez-González, L.; Hermes, F.; Bertmer, M.; Rodríguez-Castellón, E.; Jiménez-López, A.; Simon, U. The acid properties of H-ZSM-5 as studied by NH3-TPD and 27Al-MAS-NMR spectroscopy. Appl. Catal. A Gen. 2007, 328, 174–182. [Google Scholar] [CrossRef]
- Auepattana-Aumrung, C.; Márquez, V.; Wannakao, S.; Jongsomjit, B.; Panpranot, J.; Praserthdam, P. Role of Al in Na-ZSM-5 zeolite structure on catalyst stability in butene cracking reaction. Sci. Rep. 2020, 10, 13643. [Google Scholar] [CrossRef] [PubMed]
- Li, J.-H.; Wang, L.-N.; Zhang, D.; Qian, J.-H.; Liu, L.; Xing, J.-J. Effect of ZSM-5 acid modification on aromatization performance of methanol. J. Fuel Chem. Technol. 2019, 47, 957–963. [Google Scholar] [CrossRef]
- Wang, B.; Manos, G. Role of Strong Zeolitic Acid Sites on Hydrocarbon Reactions. Ind. Eng. Chem. Res. 2008, 47, 2948–2955. [Google Scholar] [CrossRef]
- Ishihara, A.; Kanamori, S.; Hashimoto, T. Effects of Zn Addition into ZSM-5 Zeolite on Dehydrocyclization-Cracking of Soybean Oil Using Hierarchical Zeolite-Al2O3 Composite-Supported Pt/NiMo Sulfided Catalysts. ACS Omega 2021, 6, 5509–5517. [Google Scholar] [CrossRef]
- Zhang, Y.; Zhou, Y.; Huang, L.; Zhou, S.; Sheng, X.; Wang, Q.; Zhang, C. Structure and catalytic properties of the Zn-modified ZSM-5 supported platinum catalyst for propane dehydrogenation. Chem. Eng. J. 2015, 270, 352–361. [Google Scholar] [CrossRef]
- Yu, C.; Xu, H.; Ge, Q.; Li, W. Properties of the metallic phase of zinc-doped platinum catalysts for propane dehydrogenation. J. Mol. Catal. A Chem. 2007, 266, 80–87. [Google Scholar] [CrossRef]
- Vicente, H.; Liu, C.; Gayubo, A.G.; Castaño, P.; Pidko, E.A. Improving the dehydrogenation function and stability of Zn-modified ZSM-5 catalyst in methanol-to-aromatics reaction by Ca addition. Appl. Catal. A Gen. 2024, 683, 119854. [Google Scholar] [CrossRef]
- Pinilla-Herrero, I.; Borfecchia, E.; Holzinger, J.; Mentzel, U.V.; Joensen, F.; Lomachenko, K.A.; Bordiga, S.; Lamberti, C.; Berlier, G.; Olsbye, U.; et al. High Zn/Al ratios enhance dehydrogenation vs hydrogen transfer reactions of Zn-ZSM-5 catalytic systems in methanol conversion to aromatics. J. Catal. 2018, 362, 146–163. [Google Scholar] [CrossRef]
- Production of High-Octane Number Gasoline from Basra Low Octane-Number Gas Condensate and Ethanol over Modified Zn/ZSM5 Zeolite Catalyst|Salim|Bulletin of Chemical Reaction Engineering & Catalysis. Available online: https://journal.bcrec.id/index.php/bcrec/article/view/16763/8626 (accessed on 18 July 2024).
- Oseke, G.G.; Atta, A.Y.; Mukhtar, B.; Jibril, B.Y.; Aderemi, B.O. Highly selective and stable Zn–Fe/ZSM-5 catalyst for aromatization of propane. Appl. Petrochem. Res. 2020, 10, 55–65. [Google Scholar] [CrossRef]
- Yuan, Y.; Lobo, R.F. Zinc Speciation and Propane Dehydrogenation in Zn/H-ZSM-5 Catalysts. ACS Catal. 2023, 13, 4971–4984. [Google Scholar] [CrossRef]
- Danuthai, T.; Jongpatiwut, S.; Rirksomboon, T.; Osuwan, S.; Resasco, D.E. Aromatization of n-Octane over ZSM-5 Zeolite Catalysts and Its Reaction Pathways; American Institute of Chemical Engineers: New York, NY, USA, 2006. [Google Scholar]
- Albahar, M.; Li, C.; Zholobenko, V.L.; Garforth, A.A. The effect of ZSM-5 zeolite crystal size on p-xylene selectivity in toluene disproportionation. Microporous Mesoporous Mater. 2020, 302, 110221. [Google Scholar] [CrossRef]
- Ghanbari, B.; Zangeneh, F.K.; Rizi, Z.T.; Aghaei, E. Highly Efficient Production of Benzene-Free Aromatics from Methanol over Low-Si/Al-Ratio Alkali-Modified Fe/Zn/HZSM-5. ACS Omega 2018, 3, 18821–18835. [Google Scholar] [CrossRef]
- Karavalakis, G.; Short, D.; Vu, D.; Russell, R.; Hajbabaei, M.; Asa-Awuku, A.; Durbin, T.D. Evaluating the Effects of Aromatics Content in Gasoline on Gaseous and Particulate Matter Emissions from SI-PFI and SIDI Vehicles. Environ. Sci. Technol. 2015, 49, 7021–7031. [Google Scholar] [CrossRef]
- Palmay, P.; Barzallo, D.; Puente, C.; Robalino, R.; Quinaluisa, D.; Bruno, J.C. Influence of γ-Fe2O3 Nanoparticles Added to Gasoline–Bio-Oil Blends Derived from Plastic Waste on Combustion and Emissions Generated in a Gasoline Engine. Energies 2024, 17, 2843. [Google Scholar] [CrossRef]
- Stanton, A.R.; Iisa, K.; Yung, M.M.; Magrini, K.A. Catalytic fast pyrolysis with metal-modified ZSM-5 catalysts in inert and hydrogen atmospheres. J. Anal. Appl. Pyrolysis 2018, 135, 199–208. [Google Scholar] [CrossRef]
- Dong, S.; Ryu, T.; Oi, C.; Wu, J.; Altvater, N.R.; Hagmann, R.; Alikhani, Z.; Lebrón-Rodríguez, E.A.; Jansen, J.H.; Cecon, V.S.; et al. Catalytic conversion of post-consumer recycled high-density polyethylene oil over Zn-impregnated ZSM-5 catalysts. Chem. Eng. J. 2024, 482, 148889. [Google Scholar] [CrossRef]









| Methane | Ethane | Propane | Propylene | n-Butane | i-Butane | Butenes | Others Compounds |
|---|---|---|---|---|---|---|---|
| 0.14 | 22.17 | 43.76 | 16.32 | 6.19 | 6.97 | 1.75 | 2.7 |
| Element | ZSM-5 | 1% Zn/ZSM-5 | 2% Zn/ZSM-5 |
|---|---|---|---|
| Oxygen | 59.23 | 57.44 | 58.79 |
| Sodium | 0.55 | 0.27 | 0.49 |
| Magnesium | 0.33 | 0.28 | 0.32 |
| Aluminum | 16.95 | 17.86 | 17.1 |
| Silicium | 22.62 | 22.97 | 20.93 |
| Calcium | 0.32 | 0.31 | 0.32 |
| Zinc | 0 | 0.87 | 2.05 |
| Product Distribution | ZSM-5 | 1% Zn/ZSM-5 | 2% Zn/ZSM-5 |
|---|---|---|---|
| C1 | 0.69 | 0.79 | 2.35 |
| C2 | 1.59 | 0.71 | 6.18 |
| C2= | 1.64 | 1.38 | 2.73 |
| C3 | 3.86 | 3.91 | 10.61 |
| nC4 | 3.94 | 0.10 | 1.58 |
| Benzene | 1.45 | 1.88 | 1.33 |
| Toluene | 21.49 | 25.24 | 21.58 |
| p-xylene | 2.54 | 3.09 | 2.27 |
| m-xylene | 39.62 | 41.74 | 35.48 |
| o-xylene | 9.15 | 11.04 | 8.48 |
| C9 aromatics | 14.03 | 10.12 | 7.40 |
| Total BTX | 74.25 | 82.99 | 69.14 |
| Total C1–C3 alkanes | 6.14 | 5.41 | 19.14 |
| Peak Number | Compound | Family | % Abundance | ||
|---|---|---|---|---|---|
| ZSM-5 | 1% Zn/ZSM-5 | 2% Zn/ZSM-5 | |||
| 1 | Decane, 2,3,5,8-tetramethyl- | Alkane | 1.95 | 1.86 | 1.2 |
| 2 | Undecane, 3-ethyl- | Alkane | 0 | 1.28 | 0 |
| 3 | Tridecane, 4-methyl- | Alkane | 0 | 1.85 | 0 |
| 4 | Dodecane, 4,6-dimethyl- | Alkane | 0 | 2.58 | 0 |
| 5 | Cyclopentane, 1-methyl-3-(2-methylpropyl)- | Alkane | 0 | 1.59 | 0 |
| 6 | 1-Isopropyl-1,4,5-trimethylcyclohexane | Alkane | 1.02 | 0 | 0.72 |
| 7 | Pentane, 2,2,3,3-tetramethyl- | Alkane | 0 | 0 | 1.92 |
| 8 | Bicyclo [3.1.1]heptane, 2,6,6-trimethyl-, [1S-(1α,2β,5α)]- | Alkane | 0 | 0 | 4.49 |
| 9 | Heptane, 2,5,5-trimethyl- | Alkane | 1.3 | 0 | 0.88 |
| 10 | Dodecane, 2,6,10-trimethyl- | Alkane | 1.67 | 0 | 0 |
| 11 | Dodecane, 1-cyclopentyl-4-(3-cyclopentylpropyl)- | Alkane | 0.79 | 0 | 0 |
| 12 | 1-Undecene, 5-methyl- | Alkene | 2.14 | 2.54 | 2.78 |
| 13 | 1,6-Octadiene, 2,5-dimethyl-, (E)- | Alkene | 0 | 2.57 | 0 |
| 14 | 1,4-Heptadiene, 3,3,6-trimethyl- | Alkene | 0 | 0.96 | 2.57 |
| 15 | 3-Octadecene, (E)- | Alkene | 0 | 12.6 | 0 |
| 16 | 1-Nonene, 4,6,8-trimethyl- | Alkene | 9.12 | 7.69 | 7.78 |
| 17 | 3-Eicosene, (E)- | Alkene | 1.5 | 4.78 | 4.15 |
| 18 | 1-Nonadecene | Alkene | 3.67 | 4.15 | 4.18 |
| 19 | Pentacos-1-ene | Alkene | 0 | 5.05 | 4.54 |
| 20 | 1-Docosene | Alkene | 3.18 | 1.43 | 1.29 |
| 21 | Heptacos-1-ene | Alkene | 0.67 | 1.12 | 0 |
| 22 | Nonacos-1-ene | Alkene | 1.13 | 1.26 | 1.24 |
| 23 | 2-Decene, 7-methyl-, (Z)- | Alkene | 0 | 0 | 13.05 |
| 24 | 5-Tridecene, (Z)- | Alkene | 0 | 0 | 3.46 |
| 25 | 3,7-Decadiene, 2,9-dimethyl- | Alkene | 0 | 0 | 1.98 |
| 26 | 2,6-Dodecadiene, 2,6-dimethyl- | Alkene | 0 | 0 | 2.95 |
| 27 | 1,19-Eicosadiene | Alkene | 0 | 0 | 1.88 |
| 28 | 3-Tridecene, (E)- | Alkene | 4.11 | 0 | 0 |
| 29 | 7-Tetradecene | Alkene | 0.79 | 0 | 0 |
| 30 | 6-Tetradecene, (E)- | Alkene | 1.66 | 0 | 0 |
| 31 | 1-Undecene, 7-methyl- | Alkene | 13 | 0 | 0 |
| 32 | 3-Tetradecene, (Z)- | Alkene | 2.63 | 0 | 0 |
| 33 | 2,3-Dimethyl-cyclohexa-1,3-diene | Alkene | 1.03 | 0 | 0 |
| 34 | (2,4,6-Trimethylcyclohexyl) methanol | Alcohol | 3.51 | 0 | 0 |
| 35 | n-Tridecan-1-ol | Alcohol | 14.82 | 3.9 | 4.26 |
| 36 | E-2-Octadecadecen-1-ol | Alcohol | 3.36 | 0 | 0 |
| 37 | Z-10-Pentadecen-1-ol | Alcohol | 0.77 | 0 | 0 |
| 38 | 1-Dodecanol, 3,7,11-trimethyl- | Alcohol | 3.19 | 1.21 | 1.25 |
| 39 | cis-p-mentha-1(7),8-dien-2-ol | Alcohol | 1.41 | 0 | 0 |
| 40 | Cyclopropanol, 1-(3,7-dimethyl-1-octenyl)- | Alcohol | 1.11 | 0 | 0 |
| 41 | Cyclopentaneethanol, β,2,3-trimethyl- | Alcohol | 2.79 | 1.39 | 1.66 |
| 42 | 11-Dodecen-1-ol, 2,4,6-trimethyl-, (R,R,R)- | Alcohol | 1.3 | 0 | 1.47 |
| 43 | 2-Isopropyl-5-methyl-1-heptanol | Alcohol | 1.16 | 4.3 | 0 |
| 44 | Phytol | Alcohol | 0 | 1.43 | 0 |
| 45 | 1-Decanol, 2-hexyl- | Alcohol | 0 | 3 | 1.55 |
| 46 | 2-Hexyl-1-octanol | Alcohol | 0 | 1.89 | 1.87 |
| 47 | 1-Hexadecanol, 3,7,11,15-tetramethyl- | Alcohol | 0 | 1.62 | 0 |
| 48 | 1-Decanol, 2-octyl- | Alcohol | 0 | 0 | 1.09 |
| 49 | Benzene, (2,4-dimethylpentyl)- | Aromatic | 0 | 11.2 | 0 |
| 50 | Phenanthrene, 9,10-dihydro-1-methyl- | Aromatic | 0 | 1.42 | 0 |
| 51 | 2,4-Dihydroxy-6-propylbenzoic acid | Aromatic | 0 | 1.99 | 0 |
| 52 | Benzene, 1,1’-(1,3-propanediyl)bis- | Aromatic | 1.36 | 3.98 | 2.29 |
| 53 | Cyclopropylphenylmethane | Aromatic | 0 | 2.14 | 1.41 |
| 54 | Naphthalene, 1,6,7-trimethyl- | Aromatic | 0 | 0 | 2.45 |
| 55 | Naphthalene, 2,3,6-trimethyl- | Aromatic | 2.62 | 0 | 0 |
| 56 | 1-Propene, 2-(3-methylphenyl)-1-phenyl-, (Z)- | Aromatic | 1.6 | 0 | 0 |
| 57 | Bicyclo [3.1.1]heptan-3-one, 2,6,6-trimethyl-, (1α,2β,5α)- | Ketone | 2.03 | 2.11 | 0.96 |
| 58 | 1,5-Heptadien-4-one, 3,3,6-trimethyl- | Ketone | 4.71 | 0 | 0 |
| 59 | Pentanoic acid, 6-ethyl-3-octyl ester | Ester | 0 | 0 | 11.49 |
| 60 | Oxalic acid, allyl octadecyl ester | Ester | 0.9 | 0 | 1.4 |
| 61 | 1,2-Cyclohexanedicarboxylic acid, heptyl nonyl ester | Ester | 0 | 1.22 | 0 |
| 62 | Bicyclo[3.1.1]heptane-2-carboxaldehyde, 6,6-dimethyl | Aldehyde | 0 | 0 | 1.46 |
Disclaimer/Publisher’s Note: The statements, opinions and data contained in all publications are solely those of the individual author(s) and contributor(s) and not of MDPI and/or the editor(s). MDPI and/or the editor(s) disclaim responsibility for any injury to people or property resulting from any ideas, methods, instructions or products referred to in the content. |
© 2024 by the authors. Licensee MDPI, Basel, Switzerland. This article is an open access article distributed under the terms and conditions of the Creative Commons Attribution (CC BY) license (https://creativecommons.org/licenses/by/4.0/).
Share and Cite
Barzallo, D.; Reinoso, M.A.; Miranda, G.; Romero, T.; Franco, M.; Palmay, P. Bifunctional Catalytic Performance of Zn/ZSM-5 in the Aromatization of LPG and the Conversion of Pyrolytic Gases from Recycled Polypropylene. ChemEngineering 2024, 8, 108. https://doi.org/10.3390/chemengineering8060108
Barzallo D, Reinoso MA, Miranda G, Romero T, Franco M, Palmay P. Bifunctional Catalytic Performance of Zn/ZSM-5 in the Aromatization of LPG and the Conversion of Pyrolytic Gases from Recycled Polypropylene. ChemEngineering. 2024; 8(6):108. https://doi.org/10.3390/chemengineering8060108
Chicago/Turabian StyleBarzallo, Diego, Miguel A. Reinoso, Gabriela Miranda, Trino Romero, Mario Franco, and Paul Palmay. 2024. "Bifunctional Catalytic Performance of Zn/ZSM-5 in the Aromatization of LPG and the Conversion of Pyrolytic Gases from Recycled Polypropylene" ChemEngineering 8, no. 6: 108. https://doi.org/10.3390/chemengineering8060108
APA StyleBarzallo, D., Reinoso, M. A., Miranda, G., Romero, T., Franco, M., & Palmay, P. (2024). Bifunctional Catalytic Performance of Zn/ZSM-5 in the Aromatization of LPG and the Conversion of Pyrolytic Gases from Recycled Polypropylene. ChemEngineering, 8(6), 108. https://doi.org/10.3390/chemengineering8060108

