Mechanisms Governing the Stability of Fe-As Complexes: Roles of Environmental and Material Intrinsic Factors
Abstract
1. Introduction
2. Materials and Methods
2.1. Synthesis and Aging Treatment of Fe-As Complexes
2.2. Stabilization Test of Fe-As Complexes
2.3. Characterization of the Fe-As Complexes Before and After Leaching
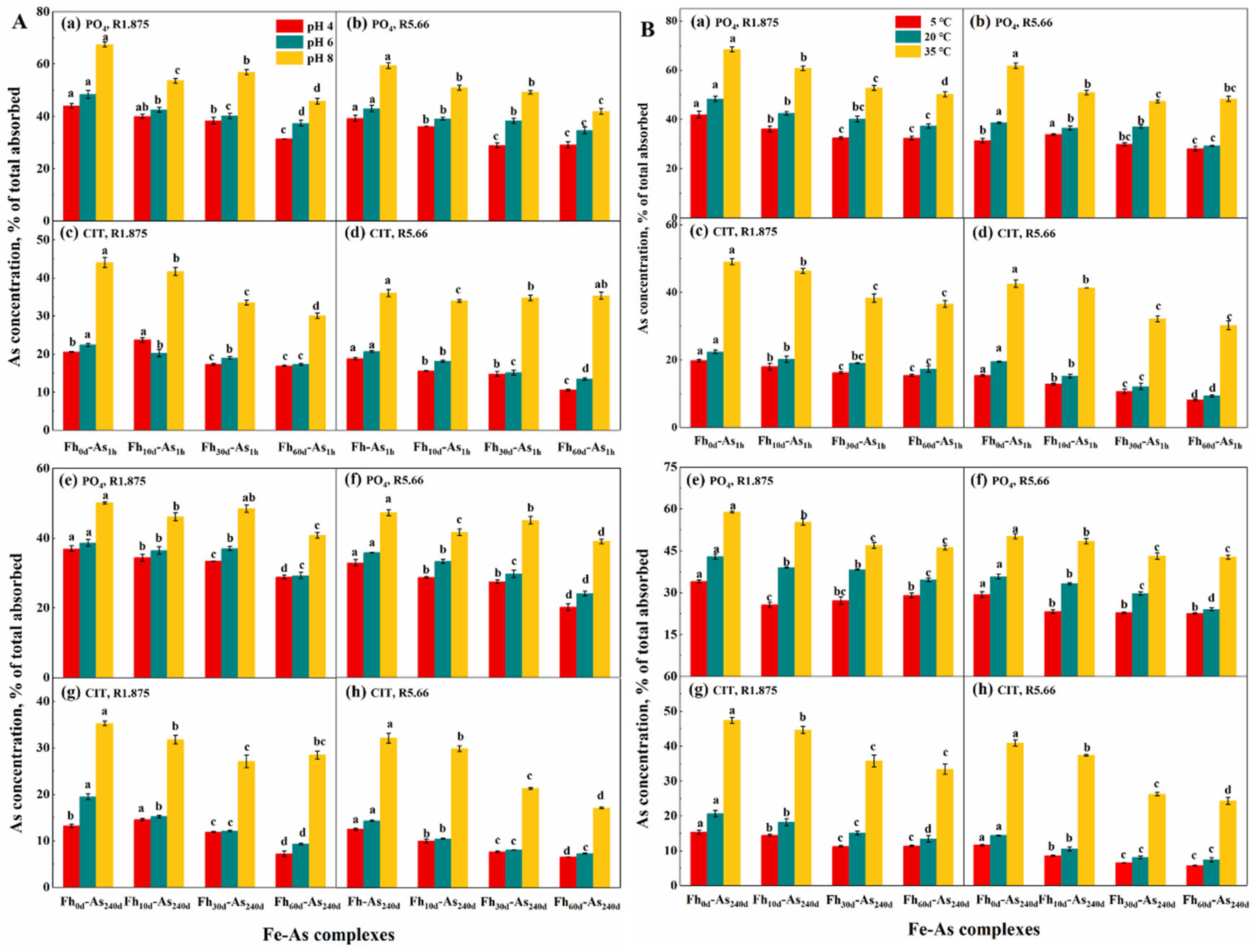
3. Results
3.1. Effect of the Fe/As Molar Ratio and Aging on the Stability of Complexes
3.2. Changes in Arsenate Stability During the Adsorption of Iron Minerals with Arsenic
3.3. Role of the Reaction Media on the Stability of Complexes
3.4. pH Dependency
3.5. Temperature Dominance
4. Discussion
4.1. Internal Factors Influence the Fate of As in Fe-As Complexes
4.2. External Factors Influence the Fate of As in Fe-As Complexes
4.3. Stability of Fe-As Complexes Under the Interaction of Internal and External Factors
5. Conclusions
Supplementary Materials
Author Contributions
Funding
Institutional Review Board Statement
Informed Consent Statement
Data Availability Statement
Conflicts of Interest
References
- Zhang, D.; Cao, R.; Wang, S.; Wang, Y.; Bi, R.; Jia, Y. Fate of Arsenic during up to 4.5 Years of Aging of FeIII-AsV Complexes at Acidic pH: Effect of Reaction Media (Nitrate vs. Sulfate), Fe/As Molar Ratio, and pH. Chem. Eng. J. 2020, 388, 124239. [Google Scholar] [CrossRef]
- Zhang, D.; Wang, S.; Gomez, M.A.; Wang, Y.; Jia, Y. The Long-Term Stability of FeIII-AsV Complexes at pH 4 and 7: Mechanisms Controlling the Arsenic Behavior. J. Hazard. Mater. 2019, 374, 276–286. [Google Scholar] [CrossRef] [PubMed]
- Bolan, N.; Kunhikrishnan, A.; Thangarajan, R.; Kumpiene, J.; Park, J.; Makino, T.; Kirkham, M.B.; Scheckel, K. Remediation of Heavy Metal(loid)s Contaminated Soils to Mobilize or to Immobilize? J. Hazard. Mater. 2014, 266, 141–166. [Google Scholar] [CrossRef] [PubMed]
- Yoon, S.-G.; Kwak, I.-S.; Yoon, H.-O.; An, J. Adsorption Characteristics of Dimethylated Arsenicals on Iron Oxide–Modified Rice Husk Biochar. Toxics 2022, 10, 703. [Google Scholar] [CrossRef] [PubMed]
- Yang, X.; Huang, H.; Hu, P.; Luan, H.; Song, B.; Zheng, Z.; Zhang, C.; Yan, R.; Li, K. Assessment of Heavy Metal Pollution in Mangrove Sediments of Liusha Bay, Leizhou Peninsula, China. Toxics 2025, 13, 961. [Google Scholar] [CrossRef]
- Doerfelt, C.; Feldmann, T.; Roy, R.; Demopoulos, G.P. Stability of Arsenate-Bearing Fe (III)/Al (III) Co-Precipitates in the Presence of Sulfide as Reducing Agent under Anoxic Conditions. Chemosphere 2016, 151, 318–323. [Google Scholar]
- Wang, Y.; Liu, H.; Wang, S.; Li, X.; Wang, X.; Jia, Y. Simultaneous Removal and Oxidation of Arsenic from Water by δ-MnO2 Modified Activated Carbon. J. Environ. Sci. 2020, 94, 147–160. [Google Scholar]
- Perez-de-Mora, A.; Madejón, P.; Burgos, P.; Cabrera, F.; Lepp, N.W.; Madejón, E. Phytostabilization of Semiarid Soils Residually Contaminated with Trace Elements Using By-Products: Sustainability and Risks. Environ. Pollut. 2011, 159, 3018–3027. [Google Scholar] [CrossRef]
- Ding, Z.; Fu, F.; Dionysiou, D.D.; Tang, B. Coadsorption and Subsequent Redox Conversion Behaviors of As(III) and Cr(VI) on Al-Containing Ferrihydrite. Environ. Pollut. 2018, 235, 660–669. [Google Scholar] [CrossRef]
- Liu, J.; Gao, X.; Dai, C.; Zhang, S.; Kong, S.; Wang, L.; Hu, Y. Cr(III)-Incorporated Fe(III) Hydroxides for Enhanced Redox Conversion of As(III) and Cr(VI) in Acidic Solution. Environ. Sci. Nano 2025, 12, 2064–2075. [Google Scholar] [CrossRef]
- Qiao, J.; Jiang, Z.; Sun, B.; Sun, Y.; Wang, Q.; Guan, X. Arsenate and Arsenite Removal by FeCl3: Effects of pH, As/Fe Ratio, Initial As Concentration and Co-Existing Solutes. Sep. Purif. Technol. 2012, 92, 106–114. [Google Scholar] [CrossRef]
- Hiemstra, T. Surface and Mineral Structure of Ferrihydrite. Geochim. Cosmochim. Acta 2013, 105, 316–325. [Google Scholar] [CrossRef]
- Hu, S.; Lu, Y.; Peng, L.; Wang, P.; Zhu, M.; Dohnalkova, A.C.; Chen, H.; Lin, Z.; Dang, Z.; Shi, Z. Coupled Kinetics of Ferrihydrite Transformation and As(V) Sequestration under the Effect of Humic Acids: A Mechanistic and Quantitative Study. Environ. Sci. Technol. 2018, 52, 11632–11641. [Google Scholar] [CrossRef] [PubMed]
- Jia, Y.; Xu, L.; Wang, X.; Demopoulos, G.P. Infrared Spectroscopic and X-ray Diffraction Characterization of the Nature of Adsorbed Arsenate on Ferrihydrite. Geochim. Cosmochim. Acta 2007, 71, 1643–1654. [Google Scholar] [CrossRef]
- Shi, Q.; Jing, C.; Meng, X. Competing Interactions of As Adsorption and Fe(III) Polymerization during Ferric Coprecipitation Treatment. Environ. Sci. Technol. 2018, 52, 7343–7350. [Google Scholar] [CrossRef]
- Yan, Z.; Xu, Z.; Yu, J.; Jaroniec, M. Highly Active Mesoporous Ferrihydrite Supported Pt Catalyst for Formaldehyde Removal at Room Temperature. Environ. Sci. Technol. 2015, 49, 6637–6644. [Google Scholar] [CrossRef]
- Hiemstra, T. Ferrihydrite Interaction with Silicate and Competing Oxyanions: Geometry and Hydrogen Bonding of Surface Species. Geochim. Cosmochim. Acta 2018, 238, 453–476. [Google Scholar]
- Hiemstra, T. Surface Structure Controlling Nanoparticle Behavior: Magnetism of Ferrihydrite, Magnetite, and Maghemite. Environ. Sci. Nano 2018, 5, 752–764. [Google Scholar] [CrossRef]
- Yang, Z.; Zhang, N.; Sun, B.; Su, S.; Wang, Y.; Zhang, Y.; Wu, C.; Zeng, X. Contradictory Tendency of As(V) Releasing from Fe–As Complexes: Influence of Organic and Inorganic Anions. Chemosphere 2022, 286, 131469. [Google Scholar]
- Zanzo, E.; Balint, R.; Prati, M.; Celi, L.; Barberis, E.; Violante, A.; Martin, M. Aging and Arsenite Loading Control Arsenic Mobility from Ferrihydrite-Arsenite Complexes. Geoderma 2017, 299, 91–100. [Google Scholar] [CrossRef]
- Yuan, Z.; Zhang, D.; Wang, S.; Xu, L.; Wang, K.; Song, Y.; Xiao, F.; Jia, Y. Effect of Hydroquinone-Induced Iron Reduction on the Stability of Scorodite and Arsenic Mobilization. Hydrometallurgy 2016, 164, 228–237. [Google Scholar] [CrossRef]
- Zhang, G.; Zhang, D.; Yuan, Z.; Ma, X.; Lei, L.; Wu, X.; Lin, J.; Wang, X.; Wang, S.; Jia, Y. Fate of Adsorbed Arsenic during Early Stage Sulfidization of Nano-Ferrihydrite. Environ. Sci. Nano 2019, 6, 2228–2240. [Google Scholar] [CrossRef]
- An, W.; Wu, C.; Xue, S.; Liu, Z.; Liu, M.; Li, W. Effects of Biochar/AQDS on As(III)-Adsorbed Ferrihydrite Reduction and Arsenic (As) and Iron (Fe) Transformation: Abiotic and Biological Conditions. Chemosphere 2022, 291, 133126. [Google Scholar] [CrossRef] [PubMed]
- George, A.; Shen, B.; Kang, D.; Yang, J.; Luo, J. The Emission Control Strategies of Hazardous Trace Elements from Coal-Fired Power Plants in China. J. Environ. Sci. 2020, 93, 66–90. [Google Scholar] [CrossRef]
- Yang, Z.; Bai, L.; Su, S.; Wang, Y.; Wu, C.; Zeng, X.; Sun, B. Stability of Fe-As Complexes Formed with As(V) and Aged Ferrihydrite. J. Environ. Sci. 2021, 100, 43–50. [Google Scholar] [CrossRef]
- Zhang, P.; Yao, W.; Yuan, S. Citrate-Enhanced Release of Arsenic during Pyrite Oxidation at Circumneutral Conditions. Water Res. 2017, 109, 245–252. [Google Scholar] [CrossRef]
- Paige, C.R.; Snodgrass, W.J.; Nicholson, R.V.; Scharer, J.M. The Crystallization of Arsenate-Contaminated Iron Hydroxide Solids at High pH. Water Environ. Res. 1996, 68, 981–987. [Google Scholar] [CrossRef]
- Winkler, P.; Kaiser, K.; Thompson, A.; Kalbitz, K.; Fiedler, S.; Jahn, R. Contrasting Evolution of Iron Phase Composition in Soils Exposed to Redox Fluctuations. Geochim. Cosmochim. Acta 2018, 235, 89–102. [Google Scholar] [CrossRef]
- He, C.; Ning, Y.; Li, Y.; Guo, H.; Yang, Z.; Yang, S.; Jiang, F. The Mobility of U(VI) Associated with Fe(II)-Induced Transformation of Schwertmannite and Its Reductive Dissolution and Re-Precipitation in AMD Environment. Appl. Geochem. 2025, 190, 106467. [Google Scholar] [CrossRef]
- Hartley, W.; Edwards, R.; Lepp, N.W. Arsenic and Heavy Metal Mobility in Iron Oxide-Amended Contaminated Soils as Evaluated by Short- and Long-Term Extraction Tests. Environ. Pollut. 2004, 131, 495–504. [Google Scholar] [CrossRef]
- Bolanz, R.M.; Wierzbicka-Wieczorek, M.; Caplovicova, M.; Uhlik, P.; Goettlicher, J.; Steininger, R.; Majzlan, J. Structural Incorporation of As5+ into Hematite. Environ. Sci. Technol. 2013, 47, 9140–9147. [Google Scholar] [CrossRef] [PubMed]
- Zhang, T.; Zeng, X.; Zhang, H.; Lin, Q.; Su, S.; Wang, Y.; Bai, L. Investigation of Synthetic Ferrihydrite Transformation in Soils Using Two-Step Sequential Extraction and the Diffusive Gradients in Thin Films (DGT) Technique. Geoderma 2018, 321, 90–99. [Google Scholar] [CrossRef]
- Violante, A.; Gaudio, S.D.; Pigna, M.; Ricciardella, M.; Banerjee, D. Coprecipitation of Arsenate with Metal Oxides. 2. Nature, Mineralogy, and Reactivity of Iron(III) Precipitates. Environ. Sci. Technol. 2007, 41, 8275–8280. [Google Scholar] [CrossRef] [PubMed]
- Schwertmann, U.; Cornell, R.M. Iron Oxides in the Laboratory: Preparation and Characterization; Wiley-VCH: Weinheim, Germany, 2000. [Google Scholar]
- Michel, F.M.; Barrón, V.; Torrent, J.; Morales, M.P.; Serna, C.J.; Boily, J.F.; Liu, Q.; Ambrosini, A.; Cismasu, A.C.; Brown, G.E. Ordered Ferrimagnetic Form of Ferrihydrite Reveals Links among Structure, Composition, and Magnetism. Proc. Natl. Acad. Sci. USA 2010, 107, 2787–2792. [Google Scholar] [CrossRef]
- Filimonova, S.; Kaufhold, S.; Wagner, F.E.; Häusler, W.; Kögel-Knabner, I. The Role of Allophane Nano-Structure and Fe Oxide Speciation for Hosting Soil Organic Matter in an Allophanic Andosol. Geochim. Cosmochim. Acta 2016, 180, 284–302. [Google Scholar] [CrossRef]
- Hiemstra, T. Formation, Stability, and Solubility of Metal Oxide Nanoparticles: Surface Entropy, Enthalpy, and Free Energy of Ferrihydrite. Geochim. Cosmochim. Acta 2015, 158, 179–198. [Google Scholar] [CrossRef]
- Russell, J.D.; Parfitt, R.L.; Fraser, A.R.; Farmer, V.C. Surface Structures of Gibbsite Goethite and Phosphate Goethite. Nature 1974, 248, 220–221. [Google Scholar] [CrossRef]
- Bompoti, N.; Chrysochoou, M.; Machesky, M. Surface Structure of Ferrihydrite: Insights from Modeling Surface Charge. Chem. Geol. 2017, 464, 34–45. [Google Scholar] [CrossRef]
- Wang, X.; Zhu, M.; Lan, S.; Ginder-Vogel, M.; Liu, F.; Feng, X. Formation and Secondary Mineralization of Ferrihydrite in the Presence of Silicate and Mn(II). Chem. Geol. 2015, 415, 37–46. [Google Scholar] [CrossRef]
- Das, S.; Hendry, M.J.; Essilfie-Dughan, J. Effects of Adsorbed Arsenate on the Rate of Transformation of 2-Line Ferrihydrite at pH 10. Environ. Sci. Technol. 2011, 45, 5557–5563. [Google Scholar] [CrossRef]
- Ford, R.G. Rates of Hydrous Ferric Oxide Crystallization and the Influence on Complexed Arsenate. Environ. Sci. Technol. 2002, 36, 2459–2463. [Google Scholar] [CrossRef]






Disclaimer/Publisher’s Note: The statements, opinions and data contained in all publications are solely those of the individual author(s) and contributor(s) and not of MDPI and/or the editor(s). MDPI and/or the editor(s) disclaim responsibility for any injury to people or property resulting from any ideas, methods, instructions or products referred to in the content. |
© 2026 by the authors. Licensee MDPI, Basel, Switzerland. This article is an open access article distributed under the terms and conditions of the Creative Commons Attribution (CC BY) license.
Share and Cite
Yang, Z.; Ouyang, T.; Su, S.; Wang, Y.; Yao, F.; Ding, Z.; Yan, M.; Zeng, X. Mechanisms Governing the Stability of Fe-As Complexes: Roles of Environmental and Material Intrinsic Factors. Toxics 2026, 14, 104. https://doi.org/10.3390/toxics14010104
Yang Z, Ouyang T, Su S, Wang Y, Yao F, Ding Z, Yan M, Zeng X. Mechanisms Governing the Stability of Fe-As Complexes: Roles of Environmental and Material Intrinsic Factors. Toxics. 2026; 14(1):104. https://doi.org/10.3390/toxics14010104
Chicago/Turabian StyleYang, Zhonglan, Tianlai Ouyang, Shiming Su, Yanan Wang, Fengxian Yao, Zhiqiang Ding, Mengmeng Yan, and Xibai Zeng. 2026. "Mechanisms Governing the Stability of Fe-As Complexes: Roles of Environmental and Material Intrinsic Factors" Toxics 14, no. 1: 104. https://doi.org/10.3390/toxics14010104
APA StyleYang, Z., Ouyang, T., Su, S., Wang, Y., Yao, F., Ding, Z., Yan, M., & Zeng, X. (2026). Mechanisms Governing the Stability of Fe-As Complexes: Roles of Environmental and Material Intrinsic Factors. Toxics, 14(1), 104. https://doi.org/10.3390/toxics14010104
