A Cost-Effective Standardized Quantitative Detection Method for Soil Microplastics in Different Substrates
Highlights
- We developed a standardized, reproducible method for the quantitative detection of soil microplastics (MPs).
- The method demonstrated high recovery across soils (98% sandy, 100% loam, 90% clay) and polymers (PE, PP, PS, 95–98%).
- It achieved high efficiency (68 h) and operated at a low cost ($9.77 per sample), enabling its broad application in MP monitoring.
- This method enables the reliable, large-scale monitoring of microplastic contamination in agricultural and natural soils, which has been a major technical bottleneck in environmental research.
- Its low cost and operational simplicity support its widespread adoption by regulatory agencies, research institutions, and environmental monitoring programs, facilitating evidence-based policy development and soil health management.
Abstract
1. Introduction
2. Materials and Methods
2.1. Development of a Standardized Technical Route for Soil MPs Quantification
2.2. Specific Experimental Procedures
2.2.1. Soil Sample Collection and Preparation
2.2.2. Optimization of Key Parameters and Method Validation
- (i)
- Drying Parameters
- (ii)
- Density Separation Parameters
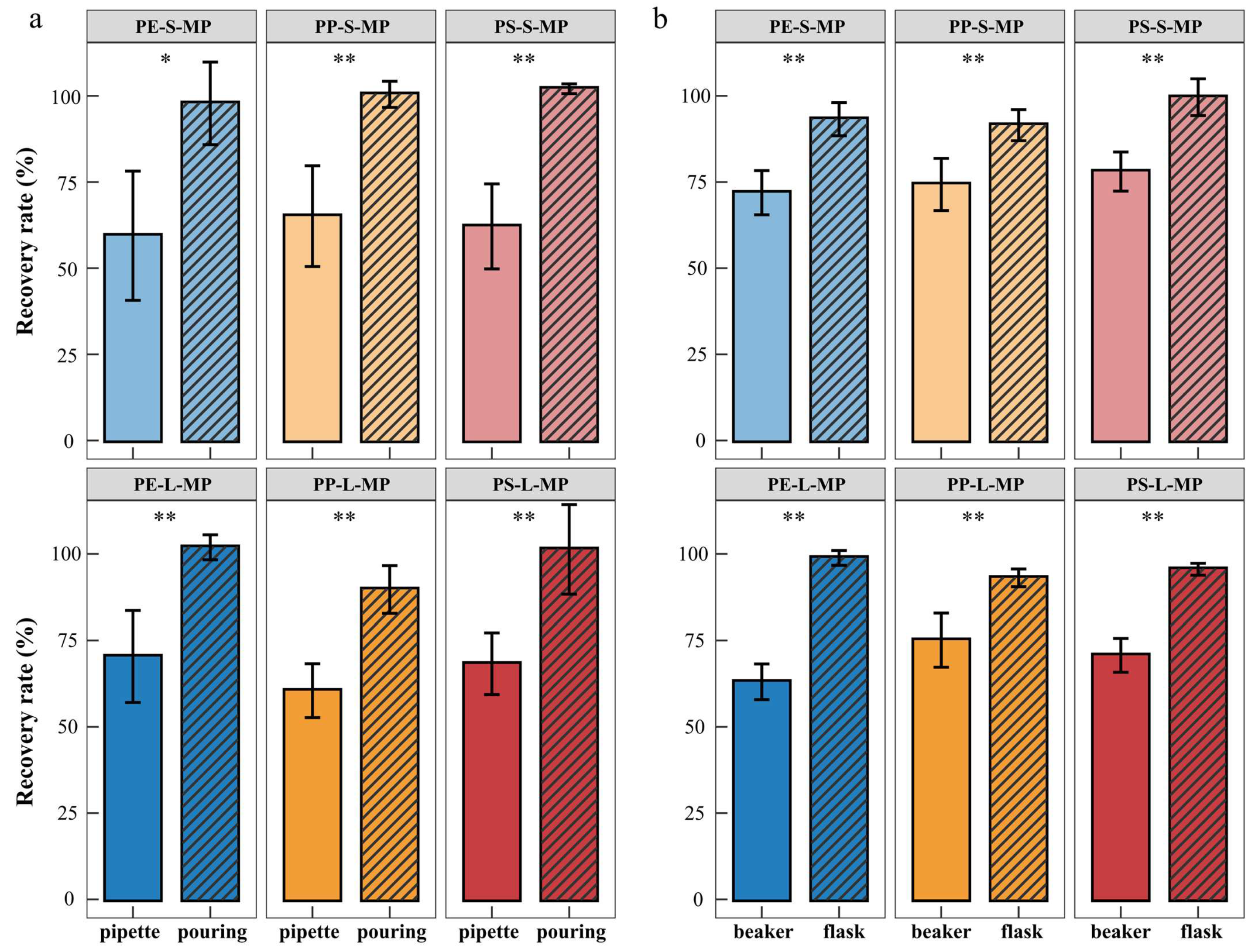
- Container type: Two types of containers (both with a volume of 250 mL) were tested, namely wide-mouth beakers and Erlenmeyer flasks.
- Supernatant collection method: Two supernatant collection methods were set up. The first was the pouring method: after standing, approximately 50 mL of supernatant was slowly poured at a 45° angle to avoid disturbing the sediment at the bottom. The second was the pipette extraction method: a 10 mL glass pipette was used to extract supernatant from 1 cm below the liquid surface, with a total extraction volume of 50 mL.
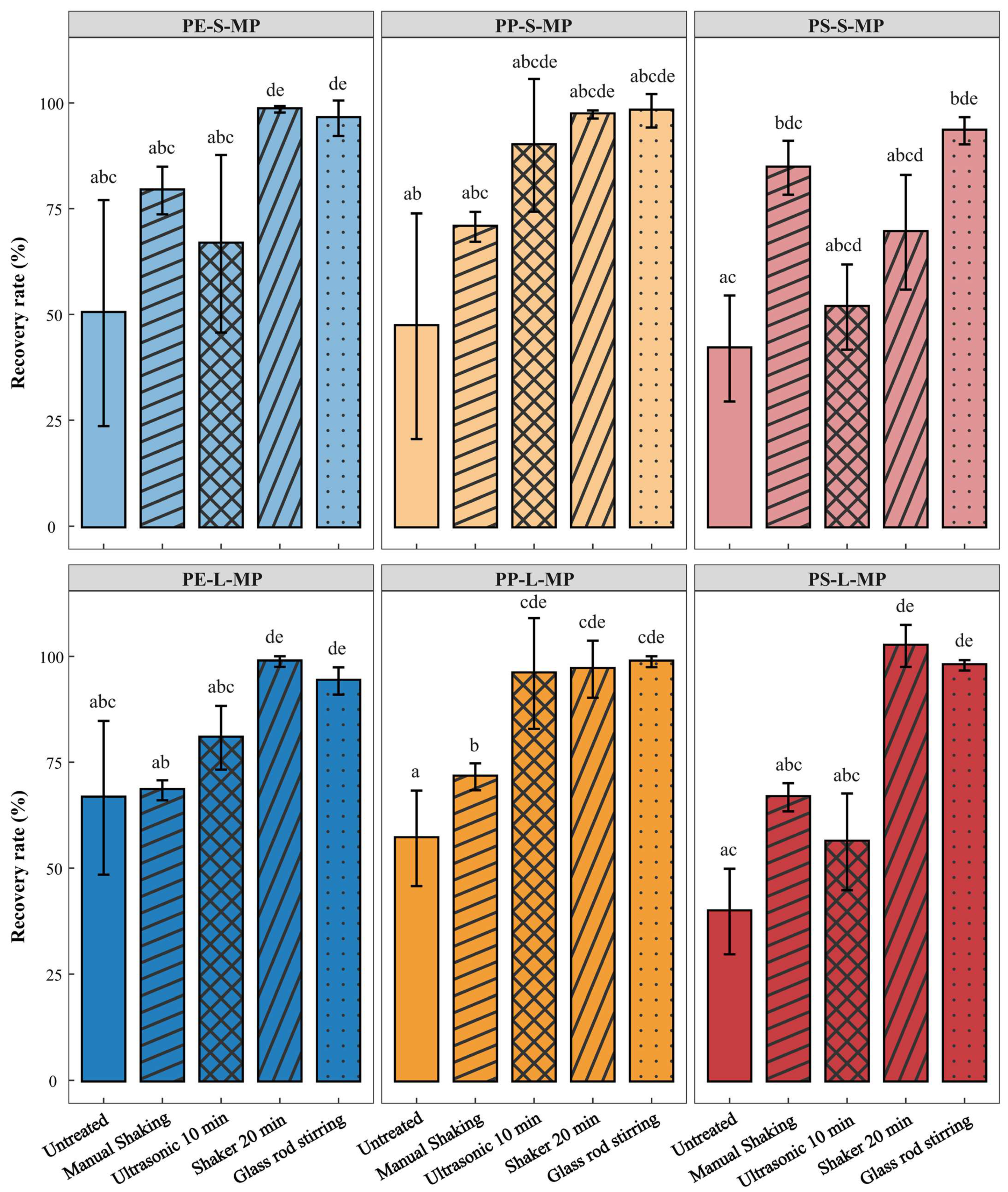
- Auxiliary separation method: In the preliminary experiment, two auxiliary separation methods (shaker oscillation and ultrasonic treatment) were tested at four durations (5 min, 10 min, 20 min, and 30 min), with MPs recovery rate as the evaluation index for comparison. The results showed that ultrasonic treatment achieved the optimal recovery rate at 10 min, while shaker oscillation reached the highest recovery rate at 20 min (Supplementary Figure S2). Based on this, five auxiliary separation methods were set up in the formal experiment, including four treatment groups and one non-treatment control group: the shaker oscillation group (optimal duration of 20 min, frequency of 200 rpm); the ultrasonic treatment group (optimal duration of 10 min, frequency of 40 kHz); the hand-shaking group (holding the Erlenmeyer flask and oscillating for 5 s); the glass rod stirring group (stirring with a glass rod for 10 s); and the control group (only standing, without any physical disturbance).
- Standing time: Natural sedimentation was adopted in this stage, with four standing time gradients set: 6 h, 12 h, 24 h, and 48 h.
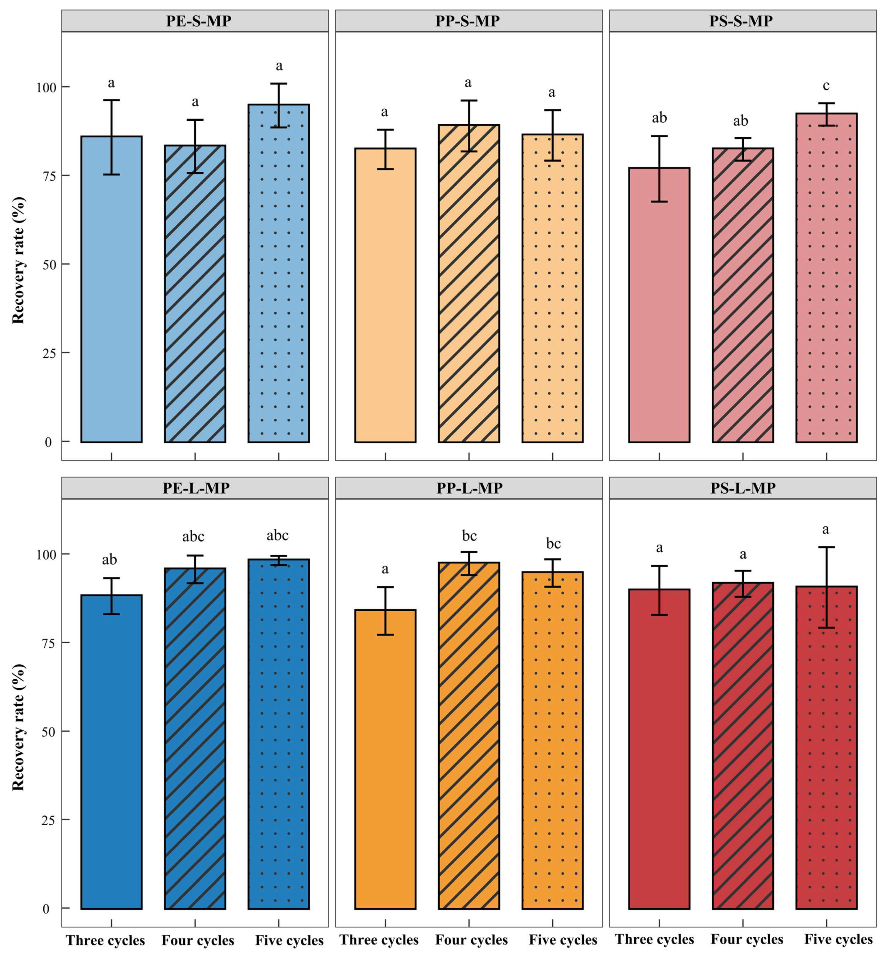
- Number of density separation cycles: Three gradients of density separation cycles were set: 3 cycles, 4 cycles, and 5 cycles. The operation process for a single cycle was as follows: adding saturated NaCl solution → thorough mixing → standing for stratification → collecting supernatant. It should be noted that fresh NaCl solution was replaced in each cycle to avoid fluctuations in solution concentration affecting buoyancy stability.
- (iii)
- Digestion Parameters
- (iv)
- Sequence of Density Separation and Digestion
- (v)
- Quantitative Parameters
2.2.3. Validation and Evaluation of the Standardized Procedure
2.3. Quality Assurance and Quality Control (QA/QC)
- (i)
- Strict contamination prevention: All experiments were conducted under contamination-minimized conditions. Plastic labware was systematically avoided; only glass and stainless-steel materials were used. Researchers wearing cotton lab coats and nitrile gloves. All glassware and metal tools were rinsed 3–4 times with deionized water filtered through a 0.45 μm membrane; reagents (NaCl) and ultrapure water were also pre-filtered through a 0.45 μm membrane. Thereby reducing the risk of contamination from airborne MPs deposition, all containers were covered with clean glass lids, and experiments were conducted in a closed laboratory to minimize airborne deposition.
- (ii)
- Process blanks and airborne exposure tests: For each experimental batch, five procedural blanks and five airborne blanks (open-filter exposure) were included. Contamination was negligible: procedural blanks contained an average of 2 MPs (mainly fibers, 100–500 μm), and airborne blanks contained <1 MP on average, confirming minimal background interference.
- (iii)
- Spiked recovery validation, slightly >100% recoveries occasionally occurred, likely due to MPs binding trace solvents/moisture or co-precipitating with inorganics during extraction. Similar phenomena have been reported in previous MPs studies [42], supporting the robustness of the method.
2.4. Data Analysis
2.4.1. Calculation of Key Indicators
- (i)
- Recovery Rate of MPs
- (ii)
- Digestion Rate of Organic Matter
- (iii)
- Multi-indicator Standardization of Method Performance
- Positive indicator (recovery rate)
- Negative indicators (time, cost)
2.4.2. Statistical Methods
3. Results
3.1. Establishment of the Standardized Workflow
3.1.1. Determination of Drying Parameters
- (i)
- Drying Temperature
- (ii)
- Drying Time
3.1.2. Determination of Density Separation Parameters
- (i)
- Supernatant Extraction Method
- (ii)
- Container Type
- (iii)
- Auxiliary Separation Method
- (iv)
- Settling Time
- (v)
- Density Separation Cycles
3.1.3. Determination of Digestion Parameters
- (i)
- Digestion Temperature
- (ii)
- Volume Ratio of Supernatant to H2O2
- (iii)
- Digestion Time
3.1.4. Determination of Sequence for Density Separation and Digestion
3.1.5. Determination of Quantitative Analysis Parameters
3.2. Adaptability Verification of the Standardized Protocol
3.3. Complete Procedure for Soil Microplastic Detection
3.4. Cost-Effectiveness Comparison of the Entire Process
4. Discussion
4.1. Analysis of Key Parameters in the Standard Procedure
4.2. Method Evaluation and Research Significance
4.3. Future Directions and Expansions of the Method
5. Conclusions
Environmental Implication
Supplementary Materials
Author Contributions
Funding
Institutional Review Board Statement
Informed Consent Statement
Data Availability Statement
Acknowledgments
Conflicts of Interest
References
- Thompson, R.C.; Olsen, Y.; Mitchell, R.P.; Davis, A.; Rowland, S.J.; John, A.W.G.; McGonigle, D.; Russell, A.E. Lost at Sea: Where Is All the Plastic? Science 2004, 304, 838. [Google Scholar] [CrossRef]
- Rochman, C.M. Microplastics Research-from Sink to Source. Science 2018, 360, 28–29. [Google Scholar] [CrossRef] [PubMed]
- Krause, S.; Ouellet, V.; Allen, D.; Allen, S.; Moss, K.; Nel, H.A.; Manaseki-Holland, S.; Lynch, I. The Potential of Micro- and Nanoplastics to Exacerbate the Health Impacts and Global Burden of Non-Communicable Diseases. Cell Rep. Med. 2024, 5, 101581. [Google Scholar] [CrossRef] [PubMed]
- An, X.; Wang, Y.; Adnan, M.; Li, W.; Zhang, Y. Natural Factors of Microplastics Distribution and Migration in Water: A Review. Water 2024, 16, 1595. [Google Scholar] [CrossRef]
- Li, Y.; Tao, L.; Wang, Q.; Wang, F.; Li, G.; Song, M. Potential Health Impact of Microplastics: A Review of Environmental Distribution, Human Exposure, and Toxic Effects. Environ. Health 2023, 1, 249–257. [Google Scholar] [CrossRef]
- Wei, H.; Lu, S.; Chen, M.; Yao, R.; Yan, B.; Li, Q.; Song, X.; Li, M.; Wu, Y.; Yang, X.; et al. Mechanisms of Exacerbation of Th2-Mediated Eosinophilic Allergic Asthma Induced by Plastic Pollution Derivatives (PPD): A Molecular Toxicological Study Involving Lung Cell Ferroptosis and Metabolomics. Sci. Total Environ. 2024, 946, 174482. [Google Scholar] [CrossRef]
- Tang, L.; Feng, J.C.; Li, C.; Liang, J.; Zhang, S.; Yang, Z. Global Occurrence, Drivers, and Environmental Risks of Microplastics in Marine Environments. J. Environ. Manag. 2023, 329, 116961. [Google Scholar] [CrossRef]
- Li, C.; Li, X.; Bank, M.S.; Dong, T.; Fang, J.K.H.; Leusch, F.D.L.; Rillig, M.C.; Wang, J.; Wang, L.; Xia, Y.; et al. The “Microplastome”—A Holistic Perspective to Capture the Real- World Ecology of Microplastics. Environ. Sci. Technol. 2024, 58, 4060–4069. [Google Scholar] [CrossRef]
- Addor, J.A.; Wiah, E.N.; Alao, F.I. An Improved Two-States Cyclical Dynamic Model for Plastic Waste Management. Asian Res. J. Math. 2022, 18, 52–68. [Google Scholar] [CrossRef]
- Morgana, S.; Casentini, B.; Amalfitano, S. Uncovering the Release of Micro/Nanoplastics from Disposable Face Masks at Times of COVID-19. J. Hazard. Mater. 2021, 419, 126507. [Google Scholar] [CrossRef]
- Ng, E.L.; Huerta Lwanga, E.; Eldridge, S.M.; Johnston, P.; Hu, H.W.; Geissen, V.; Chen, D. An Overview of Microplastic and Nanoplastic Pollution in Agroecosystems. Sci. Total Environ. 2018, 627, 1377–1388. [Google Scholar] [CrossRef] [PubMed]
- Yang, H.; Yumeng, Y.; Yu, Y.; Yinglin, H.; Fu, B.; Wang, J. Distribution, Sources, Migration, Influence and Analytical Methods of Microplastics in Soil Ecosystems. Ecotoxicol. Environ. Saf. 2022, 243, 114009. [Google Scholar] [CrossRef] [PubMed]
- Rillig, M.C.; Ingraffia, R.; De Souza Machado, A.A. Microplastic Incorporation into Soil in Agroecosystems. Front. Plant Sci. 2017, 8, 8–11. [Google Scholar] [CrossRef] [PubMed]
- Wang, Q.; Hernández-Crespo, C.; Du, B.; Van Hulle, S.W.H.; Rousseau, D.P.L. Fate and Removal of Microplastics in Unplanted Lab-Scale Vertical Flow Constructed Wetlands. Sci. Total Environ. 2021, 778, 146152. [Google Scholar] [CrossRef]
- Evangelou, I.; Tatsii, D.; Bucci, S.; Stohl, A. Atmospheric Resuspension of Microplastics from Bare Soil Regions. Environ. Sci. Technol. 2024, 58, 9741–9749. [Google Scholar] [CrossRef]
- Chen, Q.; Shi, G.; Revell, L.E.; Zhang, J.; Zuo, C.; Wang, D.; Le Ru, E.C.; Wu, G.; Mitrano, D.M. Long-Range Atmospheric Transport of Microplastics across the Southern Hemisphere. Nat. Commun. 2023, 14, 7898. [Google Scholar] [CrossRef]
- Rezaei, M.; Riksen, M.J.P.M.; Sirjani, E.; Sameni, A.; Geissen, V. Wind Erosion as a Driver for Transport of Light Density Microplastics. Sci. Total Environ. 2019, 669, 273–281. [Google Scholar] [CrossRef]
- Wang, H.; Zhu, T.; Wang, J.; Liu, Y. Microplastic Pollution in Pearl River Networks: Characteristic, Potential Sources, and Migration Pathways. Water Res. 2025, 276, 123261. [Google Scholar] [CrossRef]
- Chiu, M.C.; Ao, S.; Ling, C.; He, F.; Luo, Q.; Wen, Z.; Cai, Q.; Resh, V.H. Meta-Ecosystem Frameworks Can Enhance Control of the Biotic Transport of Microplastics. Environ. Sci. Technol. 2024, 58, 12846–12852. [Google Scholar] [CrossRef]
- Pérez-Reverón, R.; González-Sálamo, J.; Hernández-Sánchez, C.; González-Pleiter, M.; Hernández-Borges, J.; Díaz-Peña, F.J. Recycled Wastewater as a Potential Source of Microplastics in Irrigated Soils from an Arid-Insular Territory (Fuerteventura, Spain). Sci. Total Environ. 2022, 817, 152830. [Google Scholar] [CrossRef]
- Kang, Q.; Zhang, K.; Dekker, S.C.; Mao, J. Microplastics in Soils: A Comprehensive Review. Sci. Total Environ. 2025, 960, 178298. [Google Scholar] [CrossRef] [PubMed]
- Lin, B.; Wang, L.; Chen, Q.; Liu, Z.; Liu, B.; Wen, S.; Liu, F.; Chen, X.; Zhang, Z.; Wu, L.; et al. Health Assessment Based on Exposure to Microplastics in Tropical Agricultural Soil. J. Hazard. Mater. 2024, 465, 133372. [Google Scholar] [CrossRef] [PubMed]
- Álvarez-Lopeztello, J.; Robles, C.; del Castillo, R.F. Microplastic Pollution in Neotropical Rainforest, Savanna, Pine Plantations, and Pasture Soils in Lowland Areas of Oaxaca, Mexico: Preliminary Results. Ecol. Indic. 2021, 121, 107084. [Google Scholar] [CrossRef]
- Leitão, I.A.; van Schaik, L.; Ferreira, A.J.D.; Alexandre, N.; Geissen, V. The Spatial Distribution of Microplastics in Topsoils of an Urban Environment—Coimbra City Case-Study. Environ. Res. 2023, 218, 114961. [Google Scholar] [CrossRef]
- Zhang, Y.; Gao, T.; Kang, S.; Allen, D.; Wang, Z.; Luo, X.; Yang, L.; Chen, J.; Hu, Z.; Chen, P.; et al. Cryosphere as a Temporal Sink and Source of Microplastics in the Arctic Region. Geosci. Front. 2023, 14, 101566. [Google Scholar] [CrossRef]
- Wang, Y.; Xu, X.; Wu, J.; Dong, Z.; Su, Y.; Huang, G.; Guo, Q.; Feng, Z.; Jia, H.; Zhao, J.; et al. Microplastics and Nanoplastics on Mt. Everest. Cell Rep. Sustain. 2025, 2, 100467. [Google Scholar] [CrossRef]
- Liu, Y.; Li, J. A Review of Analytical Methods for Microplastics in Soils. Curr. Anal. Chem. 2025, 21, 256–265. [Google Scholar] [CrossRef]
- Withana, P.A.; Senadheera, S.S.; He, D.; Bank, M.S.; Gu, C.; Hwang, S.Y.; Ok, Y.S. Soil Microplastic Analysis: A Harmonized Methodology. Crit. Rev. Environ. Sci. Technol. 2024, 54, 1138–1163. [Google Scholar] [CrossRef]
- Sharma, P.; Sharma, P.; Abhishek, K. Sampling, Separation, and Characterization Methodology for Quantification of Microplastic from the Environment. J. Hazard. Mater. Adv. 2024, 14, 100416. [Google Scholar] [CrossRef]
- Shi, T.; Xu, H.; Pan, C.; Wang, X.; Jiang, Y.; Li, Q.; Guo, J.; Mo, X.; Luo, P.; Fang, Q.; et al. Distribution, Characteristics, and Ecological Risks of Microplastics in the Hongyingzi Sorghum Production Base in China. Environ. Pollut. 2024, 361, 124866. [Google Scholar] [CrossRef]
- Cheng, Y.R.; Wang, H.Y. Highly Effective Removal of Microplastics by Microalgae Scenedesmus Abundans. Chem. Eng. J. 2022, 435, 135079. [Google Scholar] [CrossRef]
- Thompson, R.C.; Courtene-Jones, W.; Boucher, J.; Pahl, S.; Raubenheimer, K.; Koelmans, A.A. Twenty Years of Microplastic Pollution Research—What Have We Learned? Science 2024, 386, 395. [Google Scholar] [CrossRef] [PubMed]
- Pérez-López, A.; Navarro-Úbeda, M.; Santos, A.; Cotillas, S.; Domínguez, C.M. Microplastics Quantification in Sewage Sludge: A Rapid and Cost-Effective Approach. J. Environ. Chem. Eng. 2025, 13, 118554. [Google Scholar] [CrossRef]
- Xu, B.; Liu, F.; Cryder, Z.; Huang, D.; Lu, Z.; He, Y.; Wang, H.; Lu, Z.; Brookes, P.C.; Tang, C.; et al. Microplastics in the Soil Environment: Occurrence, Risks, Interactions and Fate—A Review. Crit. Rev. Environ. Sci. Technol. 2020, 50, 2175–2222. [Google Scholar] [CrossRef]
- Pottinger, A.S.; Geyer, R.; Biyani, N.; Martinez, C.C.; Nathan, N.; Morse, M.R.; Liu, C.; Hu, S.; de Bruyn, M.; Boettiger, C.; et al. Pathways to Reduce Global Plastic Waste Mismanagement and Greenhouse Gas Emissions by 2050. Science 2024, 386, 1168–1173. [Google Scholar] [CrossRef]
- Cottom, J.W.; Cook, E.; Velis, C.A. A Local-to-Global Emissions Inventory of Macroplastic Pollution. Nature 2024, 633, 101–108. [Google Scholar] [CrossRef]
- Yan, P.; Hao, X.; Zhang, S. Extraction and Decontamination of Microplastics from High Organic Matter Soils: A Simple, Cost-Saving and High Efficient Method. J. Environ. Manag. 2023, 344, 118381. [Google Scholar] [CrossRef]
- Prajapati, A.; Dehal, A.; Kumar, A.R. Microplastics in Soils and Sediments: A Review of Characterization, Quantitation, and Ecological Risk Assessment. Water Air Soil Pollut. 2024, 235, 189. [Google Scholar] [CrossRef]
- Nabi, I.; Bacha, A.U.R.; Zhang, L. A Review on Microplastics Separation Techniques from Environmental Media. J. Clean. Prod. 2022, 337, 130458. [Google Scholar] [CrossRef]
- Primpke, S.; Christiansen, S.H.; Cowger, W.; De Frond, H.; Deshpande, A.; Fischer, M.; Holland, E.B.; Meyns, M.; O’Donnell, B.A.; Ossmann, B.E.; et al. Critical Assessment of Analytical Methods for the Harmonized and Cost-Efficient Analysis of Microplastics. Appl. Spectrosc. 2020, 74, 1012–1047. [Google Scholar] [CrossRef]
- Walker, T.R. (Micro)Plastics and the UN Sustainable Development Goals. Curr. Opin. Green Sustain. Chem. 2021, 30, 100497. [Google Scholar] [CrossRef]
- Fuller, S.; Gautam, A. A Procedure for Measuring Microplastics Using Pressurized Fluid Extraction. Environ. Sci. Technol. 2016, 50, 5774–5780. [Google Scholar] [CrossRef] [PubMed]
- Chen, H.; Chen, Y.; Xu, Y.; Xiao, C.; Liu, J.; Wu, R.; Guo, X. Different Functional Areas and Human Activities Significantly Affect the Occurrence and Characteristics of Microplastics in Soils of the Xi’an Metropolitan Area. Sci. Total Environ. 2022, 852, 158581. [Google Scholar] [CrossRef] [PubMed]
- Yoon, J.H.; Kim, B.H.; Kim, K.H. Distribution of Microplastics in Soil by Types of Land Use in Metropolitan Area of Seoul. Appl. Biol. Chem. 2024, 67, 15. [Google Scholar] [CrossRef]
- Feng, S.; Lu, H.; Yao, T. Effects of Multiple Environmental Factors and Land Use Patterns on Microplastic Distribution in the Topsoil of the Qinghai and Sichuan Provinces of China. J. Environ. Chem. Eng. 2023, 11, 109657. [Google Scholar] [CrossRef]
- Yang, X.; Wan, Z.; Xiao, J.; Li, F.; Zhang, F.; Zhang, Z. Evaluation of Niche, Diversity, and Risks of Microplastics in Farmland Soils of Different Rocky Desertification Areas. J. Hazard. Mater. 2024, 466, 133603. [Google Scholar] [CrossRef]
- Gupta, E.; Mishra, V.K.; Patel, A.; Srivastava, P.K. A Modified Methodology for Extraction and Quantification of Microplastics in Soil. NanoImpact 2024, 35, 100525. [Google Scholar] [CrossRef]
- Wang, K.; Chen, W.; Tian, J.; Niu, F.; Xing, Y.; Wu, Y.; Zhang, R.; Zheng, J.; Xu, L. Accumulation of Microplastics in Greenhouse Soil after Long-Term Plastic Film Mulching in Beijing, China. Sci. Total Environ. 2022, 828, 154544. [Google Scholar] [CrossRef]
- Choi, Y.R.; Kim, Y.N.; Yoon, J.H.; Dickinson, N.; Kim, K.H. Plastic Contamination of Forest, Urban, and Agricultural Soils: A Case Study of Yeoju City in the Republic of Korea. J. Soils Sediments 2021, 21, 1962–1973. [Google Scholar] [CrossRef]
- Hurley, R.R.; Lusher, A.L.; Olsen, M.; Nizzetto, L. Validation of a Method for Extracting Microplastics from Complex, Organic-Rich, Environmental Matrices. Environ. Sci. Technol. 2018, 52, 7409–7417. [Google Scholar] [CrossRef]
- O’Kelly, B.C. Oven-Drying Characteristics of Soils of Different Origins. Dry. Technol. 2005, 23, 1141–1149. [Google Scholar] [CrossRef]
- Ding, R.; Li, Q.; Wang, K.; Tian, J.; Lu, L.; Li, W.; Xu, L. Occurrence and Distribution of Microplastics in the Adjacent Environment of Yellow River Delta, China. Mar. Pollut. Bull. 2024, 199, 116019. [Google Scholar] [CrossRef]
- Hossain, A.; Adham, M.I.; Hasan, M.; Ali, M.M.; Siddique, M.A.B.; Senapathi, V.; Islam, A.R.M.T. Analysis and Risk Evaluation of Soil Microplastics in the Rohingya Refugee Camp Area, Bangladesh: A Comprehensive Study. Reg. Stud. Mar. Sci. 2024, 76, 103578. [Google Scholar] [CrossRef]
- Nakayama, H.; Fukuda, A.; Shimaoka, T. Microplastics in a Solid Waste Landfill in Japan: Concentrations in Landfilled Waste, Cover Soil, Rainwater and Leachate. J. Mater. Cycles Waste Manag. 2024, 26, 792–799. [Google Scholar] [CrossRef]
- Shokunbi, O.S.; Idowu, G.A.; Aiyesanmi, A.F.; Davidson, C.M. Assessment of Microplastics and Potentially Toxic Elements in Surface Sediments of the River Kelvin, Central Scotland, United Kingdom. Environ. Manag. 2024, 73, 932–945. [Google Scholar] [CrossRef] [PubMed]
- Zhang, F.; Yang, X.; Zhang, Z. Effects of Soil Properties and Land Use Patterns on the Distribution of Microplastics: A Case Study in Southwest China. J. Environ. Manag. 2024, 356, 120598. [Google Scholar] [CrossRef]
- Liu, X.; He, S.; Tong, Y.; Liu, Z.; Li, W.; Xiayihazi, N.; Lu, J. Microplastic Pollution in Urban Green-Belt Soil in Shihezi City, China. Environ. Sci. Pollut. Res. 2022, 29, 59403–59413. [Google Scholar] [CrossRef]
- Gran, A.; Vidal-Barrachina, D.; Casado-Coy, N.; Encizo-Cuartas, D.; Masó-Herrero, S.; Sanz-Lazaro, C. Comparing Methods for Optimising Microplastic Extraction in Sediment through Density Separation. Environ. Pollut. 2025, 383, 126894. [Google Scholar] [CrossRef]
- Möller, J.N.; Löder, M.G.J.; Laforsch, C. Finding Microplastics in Soils: A Review of Analytical Methods. Environ. Sci. Technol. 2020, 54, 2078–2090. [Google Scholar] [CrossRef]
- Duan, Z.; Zhao, S.; Zhao, L.; Duan, X.; Xie, S.; Zhang, H.; Liu, Y.; Peng, Y.; Liu, C.; Wang, L. Microplastics in Yellow River Delta Wetland: Occurrence, Characteristics, Human Influences, and Marker. Environ. Pollut. 2020, 258, 113232. [Google Scholar] [CrossRef]
- Kim, S.K.; Kim, J.S.; Lee, H.; Lee, H.J. Abundance and Characteristics of Microplastics in Soils with Different Agricultural Practices: Importance of Sources with Internal Origin and Environmental Fate. J. Hazard. Mater. 2021, 403, 123997. [Google Scholar] [CrossRef]
- Rafique, A.; Irfan, M.; Mumtaz, M.; Qadir, A. Spatial Distribution of Microplastics in Soil with Context to Human Activities: A Case Study from the Urban Center. Environ. Monit. Assess. 2020, 192, 671. [Google Scholar] [CrossRef] [PubMed]
- Klaus, J.; Seeger, M.; Bigalke, M.; Weber, C.J. Microplastics in Vineyard Soils: First Insights from Plastic-Intensive Viticulture Systems. Sci. Total Environ. 2024, 947, 174699. [Google Scholar] [CrossRef] [PubMed]
- Liu, Y.; Zhao, S.; Wang, D.; Wang, S.; Ding, X.; Han, K.; Wang, R.; Kou, Y.; Zhou, G.; Shen, W. Environmental Fate of Microplastics, in Alpine and Canyon-Type River-Cascade Reservoir Systems: Large-Scale Investigation of the Yalong River in the Eastern Qinghai-Tibet Plateau. Sci. Total Environ. 2024, 916, 170300. [Google Scholar] [CrossRef] [PubMed]
- Cao, J.; Gao, X.; Hu, Q.; Li, C.; Song, X.; Cai, Y.; Siddique, K.H.M.; Zhao, X. Distribution Characteristics and Correlation of Macro- and Microplastics under Long-Term Plastic Mulching in Northwest China. Soil Tillage Res. 2023, 231, 105738. [Google Scholar] [CrossRef]
- Da Silva Paes, E.; Gloaguen, T.V.; da Conceicao Silva, H.D.; Duarte, T.S.; de Almeida, M.D.; Costa, O.D.A.V.; Bomfim, M.R.; Santos, J.A.G. Widespread Microplastic Pollution in Mangrove Soils of Todos Os Santos Bay, Northern Brazil. Environ. Res. 2022, 210, 112952. [Google Scholar] [CrossRef]
- Lei, J.; Zhang, X.; Yan, W.; Chen, X.; Li, Z.; Dan, P.; Dan, Q.; Jiang, W.; Liu, Q.; Li, Y. Urban Microplastic Pollution Revealed by a Large-Scale Wetland Soil Survey. Environ. Sci. Technol. 2023, 57, 8035–8043. [Google Scholar] [CrossRef]
- Liu, L.; Chen, Y.; Li, Q.; Wu, Q.; Zeng, Y. Microplastics in Soil: A Review on Research Status, Sources, Methods, and Remediation Strategies. Plant Soil 2025, 509, 35–52. [Google Scholar] [CrossRef]
- Zhou, Y.; Zhang, Z.; Bao, F.; Du, Y.; Dong, H.; Wan, C.; Huang, Y.; Zhang, H. Considering Microplastic Characteristics in Ecological Risk Assessment: A Case Study for China. J. Hazard. Mater. 2024, 470, 134111. [Google Scholar] [CrossRef]
- Maisto, M.; Ranauda, M.A.; Zuzolo, D.; Tartaglia, M.; Postiglione, A.; Prigioniero, A.; Falzarano, A.; Scarano, P.; Sciarrillo, R.; Guarino, C. Influence of Sediment Texture on HDPE Microplastics Recovery by Density Separation. J. Environ. Manag. 2022, 317, 115363. [Google Scholar] [CrossRef]
- Xiao, N.; Wang, Y.; Guo, Z.; Shao, T.; Dong, Z.; Xing, B. Tire Plastic and Road-Wear Particles on Yujing Expressway in the Restoration Area of Mu Us Sandy Land: Occurrence Characteristics and Ecological Risk Screening. J. Hazard. Mater. 2024, 468, 133860. [Google Scholar] [CrossRef] [PubMed]
- Huang, B.; Sun, L.; Liu, M.; Huang, H.; He, H.; Han, F.; Wang, X.; Xu, Z.; Li, B.; Pan, X. Abundance and Distribution Characteristics of Microplastic in Plateau Cultivated Land of Yunnan Province, China. Environ. Sci. Pollut. Res. 2021, 28, 1675–1688. [Google Scholar] [CrossRef] [PubMed]
- Lee, H.; Kim, S.; Sin, A.; Kim, G.; Khan, S.; Nadagouda, M.N.; Sahle-Demessie, E.; Han, C. Pretreatment Methods for Monitoring Microplastics in Soil and Freshwater Sediment Samples: A Comprehensive Review. Sci. Total Environ. 2023, 871, 161718. [Google Scholar] [CrossRef] [PubMed]
- Picó, Y.; Barceló, D. Analysis of Microplastics and Nanoplastics: How Green Are the Methodologies Used? Curr. Opin. Green Sustain. Chem. 2021, 31, 100503. [Google Scholar] [CrossRef]
- Huang, K.; Xie, L.; Gu, X.; Xie, J.; Li, J.; Gao, S.; Ji, R.; Zhou, D. Comprehensive Assessment of Various Digestion Protocols for Extraction Microplastics from Organic-Rich Environmental Matrices. Water Res. 2025, 282, 123935. [Google Scholar] [CrossRef]
- La, Y.; Zhang, L.; Zhao, N.; Ye, H.; Zeng, Q.; Zhao, L.; Wang, Z.; Lin, D.; Wang, R. The Microplastics Distribution Characteristics and Their Impact on Soil Physicochemical Properties and Bacterial Communities in Food Legumes Farmland in Northern China. J. Hazard. Mater. 2024, 471, 134282. [Google Scholar] [CrossRef]
- Zhang, M.; Zheng, Y.; Li, J.; Liu, K.; Wang, H.; Gu, H. Distribution Characteristics of Microplastics in Soil of Loess Plateau in Northwest China and Their Relationship with Land Use Type. Sci. Total Environ. 2023, 868, 161674. [Google Scholar] [CrossRef]
- Radford, F.; Zapata-Restrepo, L.M.; Horton, A.A.; Hudson, M.D.; Shaw, P.J.; Williams, I.D. Developing a Systematic Method for Extraction of Microplastics in Soils. Anal. Methods 2021, 13, 1695–1705. [Google Scholar] [CrossRef]
- Jiang, Y.; Yang, Y.; Zhan, C.; Cheng, B. Impacts of Rainfall and Lakeshore Soil Properties on Microplastics in Inland Freshwater: A Case Study in Donghu Lake, China. Environ. Sci. Process. Impacts 2024, 26, 891–901. [Google Scholar] [CrossRef]
- Liao, Y.L.; Tang, Q.X.; Yang, J. Microplastic Characteristics and Microplastic-Heavy Metal Synergistic Contamination in Agricultural Soil under Different Cultivation Modes in Chengdu, China. J. Hazard. Mater. 2023, 459, 132270. [Google Scholar] [CrossRef]
- Wang, Y.; Wang, Y.; Shao, T.; Wang, R.; Dong, Z.; Xing, B. Antibiotics and Microplastics in Manure and Surrounding Soil of Farms in the Loess Plateau: Occurrence and Correlation. J. Hazard. Mater. 2024, 465, 133434. [Google Scholar] [CrossRef] [PubMed]
- Hu, C.; Lu, B.; Guo, W.; Tang, X.; Wang, X.; Xue, Y.; Wang, L.; He, X. Distribution of Microplastics in Mulched Soil in Xinjiang, China. Int. J. Agric. Biol. Eng. 2021, 14, 196–204. [Google Scholar] [CrossRef]
- Thomas, D.; Schütze, B.; Heinze, W.M.; Steinmetz, Z. Sample Preparation Techniques for the Analysis of Microplastics in Soil—A Review. Sustain. 2020, 12, 9074. [Google Scholar] [CrossRef]
- Zhang, S.; Li, W.; Bao, A.; Jia, G.; Lin, X.; Zhang, Q. A Low-Cost Approach for Batch Separation, Identification and Quantification of Microplastics in Agriculture Soil. Toxics 2023, 11, 461. [Google Scholar] [CrossRef]
- Prata, J.C.; Reis, V.; Matos, J.T.V.; da Costa, J.P.; Duarte, A.C.; Rocha-Santos, T. A New Approach for Routine Quantification of Microplastics Using Nile Red and Automated Software (MP-VAT). Sci. Total Environ. 2019, 690, 1277–1283. [Google Scholar] [CrossRef]
- Han, X.; Lu, X.; Vogt, R.D. An Optimized Density-Based Approach for Extracting Microplastics from Soil and Sediment Samples. Environ. Pollut. 2019, 254, 113009. [Google Scholar] [CrossRef]
- Zhao, X.; Liu, Z.; Zuo, J.; Cai, L.; Liu, Y.; Han, J.; Zhang, M. Comparison of Oil Extraction and Density Extraction Method to Extract Microplastics for Typical Agricultural Soils in China. Agronomy 2024, 14, 1193. [Google Scholar] [CrossRef]
- Zhang, S.; Yang, X.; Gertsen, H.; Peters, P.; Salánki, T.; Geissen, V. A Simple Method for the Extraction and Identification of Light Density Microplastics from Soil. Sci. Total Environ. 2018, 616–617, 1056–1065. [Google Scholar] [CrossRef]
- Le, Q.N.P.; Halsall, C.; Peneva, S.; Wrigley, O.; Braun, M.; Amelung, W.; Ashton, L.; Surridge, B.W.J.; Quinton, J. Towards Quality-Assured Measurements of Microplastics in Soil Using Fluorescence Microscopy. Anal. Bioanal. Chem. 2025, 417, 2225–2238. [Google Scholar] [CrossRef]
- Li, G.; Pei, Z.; Li, Y.; Yang, R.; Wang, P.; Liang, Y.; Zhang, J.; Zhang, Q.; Jiang, G. A High-Precision, Effective Method for Extraction and Identification of Small-Sized Microplastics from Soil. Talanta 2024, 272, 125802. [Google Scholar] [CrossRef]
- Scopetani, C.; Chelazzi, D.; Mikola, J.; Leiniö, V.; Heikkinen, R.; Cincinelli, A.; Pellinen, J. Olive Oil-Based Method for the Extraction, Quantification and Identification of Microplastics in Soil and Compost Samples. Sci. Total Environ. 2020, 733, 139338. [Google Scholar] [CrossRef] [PubMed]
- Katsumi, N.; Nagao, S.; Okochi, H. Addition of Polyvinyl Pyrrolidone during Density Separation with Sodium Iodide Solution Improves Recovery Rate of Small Microplastics (20–150 Μm) from Soils and Sediments. Chemosphere 2022, 307, 135730. [Google Scholar] [CrossRef] [PubMed]
- Chen, Y.; Leng, Y.; Liu, X.; Wang, J. Microplastic pollution in vegetable farmlands of suburb Wuhan, central China. Environ. Pollut. 2020, 257, 113449. [Google Scholar] [CrossRef] [PubMed]
- Ding, L.; Zhang, S.; Wang, X.; Yang, X.; Zhang, C.; Qi, Y.; Guo, X. The occurrence and distribution characteristics of microplastics in the agricultural soils of Shaanxi Province, in north western China. Sci. Total Environ. 2020, 720, 137525. [Google Scholar] [CrossRef]
- Amrutha, K.; Kumar, W.A. The first report on the source to sink characterization of microplastic pollution from a riverine environment in tropical India. Sci. Total Environ. 2020, 739, 140377. [Google Scholar] [CrossRef]
- Helcoski, R.; Yonkos, L.T.; Sanchez, A.; Baldwin, A.H. Wetland soil microplastics are negatively related to vegetation cover and stem density. Environ. Pollut. 2020, 256, 113391. [Google Scholar] [CrossRef]
- Lu, X.M.; Lu, P.Z.; Liu, X.P. Fate and abundance of antibiotic resistance genes on microplastics in facility vegetable soil. Sci. Total Environ. 2020, 709, 136276. [Google Scholar] [CrossRef]
- Zhang, S.; Liu, X.; Hao, X.; Wang, J.; Zhang, Y. Distribution of low density microplastics in the mollisol farmlands of northeast China. Sci. Total Environ. 2020, 708, 135091. [Google Scholar] [CrossRef]
- Teng, W.; You, Z.; Liao, Y.; Chen, Z.; Qi, X.; Ma, X. Characteristics of heavy metal migration in the gasification combustion process of rural solid waste: Influencing factors and mechanisms. Waste Manag. 2024, 190, 350–359. [Google Scholar] [CrossRef]
- Meng, F.; Fan, T.; Yang, X.; Riksen, M.; Xu, M.; Geissen, V. Effects of plastic mulching on the accumulation and distribution of macro and micro plastics in soils of two farming systems in Northwest China. PeerJ 2020, 8, e10375. [Google Scholar] [CrossRef]
- Yu, L.; Zhang, J.; Liu, Y.; Chen, L.; Tao, S.; Liu, W. Distribution characteristics of microplastics in agricultural soils from the largest vegetable production base in China. Sci. Total Environ. 2021, 756, 143860. [Google Scholar] [CrossRef]
- Wang, J.; Li, J.; Liu, S.; Li, H.; Chen, X.; Peng, C.; Zhang, P.; Liu, X. Distinct microplastic distributions in soils of different land use types: A case study of Chinese farmlands. Environ. Pollut. 2021, 269, 116199. [Google Scholar] [CrossRef]
- Feng, S.; Lu, H.; Liu, Y. The occurrence of microplastics in farmland and grassland soils in the Qinghai Tibet plateau: Different land use and mulching time in facility agriculture. Environ. Pollut. 2021, 279, 116939. [Google Scholar] [CrossRef] [PubMed]
- Zhou, Y.; He, G.; Jiang, X.; Yao, L.; Ouyang, L.; Liu, X.; Liu, W.; Liu, Y. Microplastic contamination is ubiquitous in riparian soils and strongly related to elevation, precipitation and population density. J. Hazard. Mater. 2021, 411, 125178. [Google Scholar] [CrossRef] [PubMed]
- Cao, L.; Wu, D.; Liu, P.; Hu, W.; Xu, L.; Sun, Y.; Wu, Q.; Tian, K.; Huang, B.; Yoon, S.J.; et al. Occurrence, distribution and affecting factors of microplastics in agricultural soils along the lower reaches of Yangtze River, China. Sci. Total Environ. 2021, 794, 148694. [Google Scholar] [CrossRef] [PubMed]
- Yang, J.; Li, L.; Li, R.; Xu, L.; Shen, Y.; Li, S.; Tu, C.; Wu, L.; Christie, P.; Luo, Y. Microplastics in an agricultural soil following repeated application of three types of sewage sludge: A field study. Environ. Pollut. 2021, 289, 117943. [Google Scholar] [CrossRef]
- Ding, L.; Wang, X.; Ouyang, Z.; Chen, Y.; Wang, X.; Liu, D.; Liu, S.; Yang, X.; Jia, H.; Guo, X. The occurrence of microplastic in Mu Us Sand Land soils in northwest China: Different soil types, vegetation cover and restoration years. J. Hazard. Mater. 2021, 403, 123982. [Google Scholar] [CrossRef]
- Vinoth Kumar, M.; Merline Sheela, A. Effect of plastic film mulching on the distribution of plastic residues in agricultural fields. Chemosphere 2021, 273, 128590. [Google Scholar] [CrossRef]
- Abbasi, S.; Turner, A.; Hoseini, M.; Amiri, H. Microplastics in the Lut and Kavir Deserts, Iran. Front. Mar. Sci. 2021, 55, 5993–6000. [Google Scholar] [CrossRef]
- Zhang, J.; Zou, G.; Wang, X.; Ding, W.; Xu, L.; Liu, B.; Mu, Y.; Zhu, X.; Song, L.; Chen, Y. Exploring the Occurrence Characteristics of Microplastics in Typical Maize Farmland Soils with Long Term Plastic Film Mulching in Northern China. Sec. Mar. Pollut. 2021, 8, 87. [Google Scholar] [CrossRef]
- Xing, X.; Yu, M.; Xia, T.; Ma, L. Interactions between water flow and microplastics in silt loam and loamy sand. Soil Sci. Soc. Am. J. 2021, 85, 1956–1962. [Google Scholar] [CrossRef]
- Büks, F.; Kayser, G.; Zieger, A.; Lang, F.; Kaupenjohann, M. Particles under stress: Ultrasonication causes size and recovery rate artifacts with soil derived POM but not with microplastics. Biogeosciences 2021, 18, 159–167. [Google Scholar] [CrossRef]
- Zhang, H.; Huang, Y.; An, S.; Li, H.; Deng, X.; Wang, P.; Fan, M. Land use patterns determine the distribution of soil microplastics in typical agricultural areas on the eastern Qinghai Tibetan Plateau. J. Hazard. Mater. 2022, 426, 127806. [Google Scholar] [CrossRef] [PubMed]
- Hu, J.; He, D.; Zhang, X.; Li, X.; Chen, Y.; Wei, G.; Zhang, Y.; Ok, Y.S.; Luo, Y. National scale distribution of micro(meso)plastics in farmland soils across China: Implications for environmental impacts. J. Hazard. Mater. 2022, 424, 127283. [Google Scholar] [CrossRef]
- Zhang, Z.; Wu, X.; Zhang, J.; Huang, X. Distribution and migration characteristics of microplastics in farmland soils, surface water and sediments in Caohai Lake, southwestern plateau of China. J. Clean. Prod. 2022, 366, 132912. [Google Scholar] [CrossRef]
- Zhang, Y.; Wang, K.; Chen, W.; Ba, Y.; Khan, K.; Chen, W.; Tu, C.; Chen, C.; Xu, L. Effects of land use and landscape on the occurrence and distribution of microplastics in soil, China. Sci. Total Environ. 2022, 847, 157598. [Google Scholar] [CrossRef]
- Weber, C.J.; Santowski, A.; Chifflard, P. Investigating the dispersal of macro and microplastics on agricultural fields 30 years after sewage sludge application. Sci. Rep. 2022, 12, 6401. [Google Scholar] [CrossRef]
- Zhang, J.; Wang, X.; Xue, W.; Xu, L.; Ding, W.; Zhao, M.; Liu, S.; Zou, G.; Chen, Y. Microplastics pollution in soil increases dramatically with long term application of organic composts in a wheat–maize rotation. J. Clean. Prod. 2022, 356, 131889. [Google Scholar] [CrossRef]
- Martini, A.; Calì, M.; Capoccioni, F.; Martinoli, M.; Pulcini, D.; Buttazzoni, L.; Moranduzzo, T.; Pirlo, G. Environmental performance and shell formation related carbon flows for mussel farming systems. Sci. Total Environ. 2022, 831, 154891. [Google Scholar] [CrossRef]
- Xu, G.; Yang, L.; Xu, L.; Yang, J. Soil microplastic pollution under different land uses in tropics, southwestern China. Chemosphere 2022, 289, 133176. [Google Scholar] [CrossRef]
- Lang, M.; Wang, G.; Yang, Y.; Zhu, W.; Zhang, Y.; Ouyang, Z.; Guo, X. The occurrence and effect of altitude on microplastics distribution in agricultural soils of Qinghai Province, northwest China. Sci. Total Environ. 2022, 810, 152174. [Google Scholar] [CrossRef] [PubMed]
- Zhang, H.; Huang, Y.; An, S.; Zhao, J.; Xiao, L.; Li, H.; Huang, Q. Microplastics trapped in soil aggregates of different land use types: A case study of Loess Plateau terraces, China. Environ. Pollut. 2022, 310, 119880. [Google Scholar] [CrossRef] [PubMed]
- Yan, P.; Zhang, S.; Wang, J.; Xiao, Z.; Yan, S.; Wang, W.; Aurangzeib, M. Heterogeneity of plastic residue was determined by both mulch film and external plastic pollutants in the farmland of Northeast China. Sci. Total Environ. 2022, 853, 158681. [Google Scholar] [CrossRef] [PubMed]
- Li, Q.; Han, Z.; Su, G.; Hou, M.; Liu, X.; Zhao, X.; Hua, Y.; Shi, B.; Meng, J.; Wang, M. New insights into the distribution, potential source and risk of microplastics in Qinghai Tibet Plateau. Environ. Int. 2023, 175, 107956. [Google Scholar] [CrossRef]
- Liu, Y.; Liu, Y.; Li, Y.; Bian, P.; Hu, Y.; Zhang, J.; Shen, W. Effects of irrigation on the fate of microplastics in typical agricultural soil and freshwater environments in the upper irrigation area of the Yellow River. J. Hazard. Mater. 2023, 447, 130766. [Google Scholar] [CrossRef]
- He, X.; Qian, Y.; Li, Z.; Yang, S.; Tian, J.; Wang, Q.; Lei, J.; Qi, R.; Feng, C. Identification of factors influencing the microplastic distribution in agricultural soil on Hainan Island. Sci. Total Environ. 2023, 874, 162426. [Google Scholar] [CrossRef]
- Qi, R.; Tang, Y.; Jones, D.L.; He, W.; Yan, C. Occurrence and characteristics of microplastics in soils from greenhouse and open field cultivation using plastic mulch film. Sci. Total Environ. 2023, 905, 166935. [Google Scholar] [CrossRef]
- Zhou, Y.; Jing, J.; Yu, R.; Zhao, Y.; Gou, Y.; Zhang, Z.; Tang, H.; Zhang, H.; Huang, Y. Microplastics in plateau agricultural areas: Spatial changes reveal their source and distribution characteristics. Environ. Pollut. 2023, 319, 121006. [Google Scholar] [CrossRef]
- Xu, Z.; Hu, C.; Wang, X.; Wang, L.; Xing, J.; He, X.; Wang, Z.; Zhao, P. Distribution characteristics of plastic film residue in long term mulched farmland soil. Soil Ecol. Lett. 2023, 5, 220144. [Google Scholar] [CrossRef]
- Li, S.; Li, Z.; Xue, J.; Chen, S.; Li, H.; Ji, J.; Liang, Y.; Fei, J.; Jiang, W. Pollution and Distribution of Microplastics in Grassland Soils of Qinghai Tibet Plateau, China. Toxics 2023, 11, 86. [Google Scholar] [CrossRef]
- Zhang, S.; Bao, A.; Lin, X.; Jia, G.; Zhang, Q. Microplastic Accumulation in Agricultural Soils with Different Mulching Histories in Xinjiang, China. Sustainability 2023, 15, 5438. [Google Scholar] [CrossRef]
- Qiu, Y.; Zhou, S.; Qin, W.; Zhang, C.; Lv, C.; Zou, M. Effects of land use on the distribution of soil microplastics in the Lihe River watershed, China. Chemosphere 2023, 324, 138292. [Google Scholar] [CrossRef]
- Xue, Y.; Li, J.; Jin, T.; Liu, D.; Zou, G.; Li, F.; Wang, K.; Xu, L. Meso and microplastic contamination in mulching cultivated soil at a national scale, China. J. Clean Prod. 2023, 418, 138215. [Google Scholar] [CrossRef]
- Zhang, P.; Wang, J.; Huang, L.; He, M.; Yang, H.; Song, G.; Zhao, J.; Li, X. Microplastic transport during desertification in drylands: Abundance and characterization of soil microplastics in the Amu Darya Aral Sea basin, Central Asia. J. Environ. Manag. 2023, 348, 119353. [Google Scholar] [CrossRef] [PubMed]
- Li, J.; Zhu, B.; Huang, B.; Ma, J.; Lu, C.; Chi, G.; Guo, W.; Chen, X. Vertical distribution and characteristics of soil microplastics under different land use patterns: A case study of Shouguang City, China. Sci. Total Environ. 2023, 903, 166154. [Google Scholar] [CrossRef] [PubMed]
- Liu, M.; Song, Y.; Lu, S.; Qiu, R.; Hu, J.; Li, X.; Bigalke, M.; Shi, H.; He, D. A method for extracting soil microplastics through circulation of sodium bromide solutions. Sci. Total Environ. 2019, 691, 341–347. [Google Scholar] [CrossRef]
- Li, Z.; Wang, X.; Liang, S.; Li, H.; Sun, L. Pyr-GC-MS analysis of microplastics extracted from farmland soils. Int. J. Environ. Anal. Chem. 2021, 103, 7301–7318. [Google Scholar] [CrossRef]
- Ruffell, H.; Pantos, O.; Robinson, B.; Gaw, S. A method for the extraction of microplastics from solid biowastes including biosolids, compost, and soil for analysis by µ-FTIR. MethodsX 2024, 12, 102761. [Google Scholar] [CrossRef]
- Hu, H.; Qiang, L.; Xu, J.; Li, G.; Cheng, J.; Zhong, X.; Zhang, R. Enhanced microplastic retrieval efficiency from cultivated soil samples through optimized pre-treatment in density-based extraction. Soil Tillage Res. 2024, 242, 106134. [Google Scholar] [CrossRef]
















| Treatment Group | Key Operational Steps |
|---|---|
| Density separation → Digestion (SD) | Perform 3 flotation cycles under optimized conditions (standing for 12 h) → combine supernatants + 50 mL 30% H2O2 → digest at optimal temperature for 12 h → suction filtration through 0.45 μm filter membrane → dry to constant weight. |
| Digestion → Density separation → Digestion (DSD) | Initial digestion: sample + 50 mL 30% H2O2 (24 h at room temperature) → 3 flotation cycles → combine supernatants + 50 mL 30% H2O2 → digest at optimal temperature for 12 h → suction filtration and drying. |
| Digestion → Density separation (DS) | Sample + 50 mL 30% H2O2 (24 h at room temperature) → 3 flotation cycles → combine supernatants → suction filtration → dry to constant weight at 80 °C. |
| Step | Procedure | Key Parameters |
|---|---|---|
| Sample Pretreatment and Drying | 1. Sieve soil sample through a 5 mm stainless steel mesh; 2. Transfer 50 mL homogenized sample to a glass petri dish; 3. Dry in a constant-temperature blast drying oven. | Temperature: 80 °C Duration: 12 h |
| Density Separation | 1. Transfer dried soil to a 250 mL conical flask; 2. Add saturated NaCl solution to 250 mL mark, then add fresh saturated sodium chloride solution to 1 cm below the rim of the conical flask; 3. Stir with glass rod (10 s), rinse rod with DI water; 4. Allow to settle for 12 h; 5. Decant ~50 mL supernatant into 800 mL beaker; repeat 5 times. | Solution: Saturated NaCl (density ~1.20 g/cm3) Settling time: 12 h per cycle Total supernatant collected: ~250 mL |
| Organic Matter Digestion | 1. Combine all supernatants (~250 mL); 2. Add 30% (w/w) H2O2 at a volume ratio of 1:2 (supernatant: H2O2); 3. Incubate in oven at 80 °C for 8 h; cool to room temperature. | Oxidizing agent: 30% H2O2 Ratio: 1 part supernatant: 2 parts H2O2 Temperature: 80 °C Duration: 8 h |
| Microplastic Collection and Quantification | 1. Vacuum-filter the digested solution through a 0.45 μm membrane (47 mm diameter); 2. Place filter on clean plate; 3. Observe under stereomicroscope with digital imaging; 4. Analyze images using Image J software. | Filter type: 0.45 μm pore size, 47 mm diameter Instrument: Stereomicroscope + digital camera Software: Image J |
| Quality Control | 1. Rinse all glassware 3× with 0.45 μm-filtered deionized water; 2. Wear nitrile gloves throughout; 3. Run process blanks (reagent-only) and lab environment blanks per batch. | Blank types: Process blank and environment blank Contamination control: Minimize plastic use; use non-plastic tools where possible |
Disclaimer/Publisher’s Note: The statements, opinions and data contained in all publications are solely those of the individual author(s) and contributor(s) and not of MDPI and/or the editor(s). MDPI and/or the editor(s) disclaim responsibility for any injury to people or property resulting from any ideas, methods, instructions or products referred to in the content. |
© 2026 by the authors. Licensee MDPI, Basel, Switzerland. This article is an open access article distributed under the terms and conditions of the Creative Commons Attribution (CC BY) license.
Share and Cite
Ling, X.; Gao, Y.; Li, R.; Chang, R.; Li, Y.; Xiao, W. A Cost-Effective Standardized Quantitative Detection Method for Soil Microplastics in Different Substrates. Toxics 2026, 14, 105. https://doi.org/10.3390/toxics14010105
Ling X, Gao Y, Li R, Chang R, Li Y, Xiao W. A Cost-Effective Standardized Quantitative Detection Method for Soil Microplastics in Different Substrates. Toxics. 2026; 14(1):105. https://doi.org/10.3390/toxics14010105
Chicago/Turabian StyleLing, Xinlei, Yuting Gao, Rongxiang Li, Rongfang Chang, Yanpeng Li, and Wen Xiao. 2026. "A Cost-Effective Standardized Quantitative Detection Method for Soil Microplastics in Different Substrates" Toxics 14, no. 1: 105. https://doi.org/10.3390/toxics14010105
APA StyleLing, X., Gao, Y., Li, R., Chang, R., Li, Y., & Xiao, W. (2026). A Cost-Effective Standardized Quantitative Detection Method for Soil Microplastics in Different Substrates. Toxics, 14(1), 105. https://doi.org/10.3390/toxics14010105

