Ecological and Human Health Risk Assessment of Heavy Metals in Mining-Affected River Sediments in the Peruvian Central Highlands
Abstract
1. Introduction
2. Materials and Methods
2.1. Description of the Study Area
2.2. Fluvial Sediment Sampling
2.3. Heavy Metal Determination, Quality Control, and Assurance
2.4. Risk Assessment Methods
2.4.1. Potential Ecological Risk (RI)
2.4.2. Site Ranking Index (SRI)
2.5. Risk to Human Health: Carcinogenic and Non-Carcinogenic Risk Assessment Methods
2.6. Statical Analysis
3. Results
3.1. Heavy Metal Analysis in Sediment
3.2. Correlation and Cluster Analysis of Heavy Metals in Sediments
3.3. Correlation and Cluster Analysis of Heavy Metals in Sediments
3.4. Evaluation of the Potential Ecological Risk from Toxic Metals
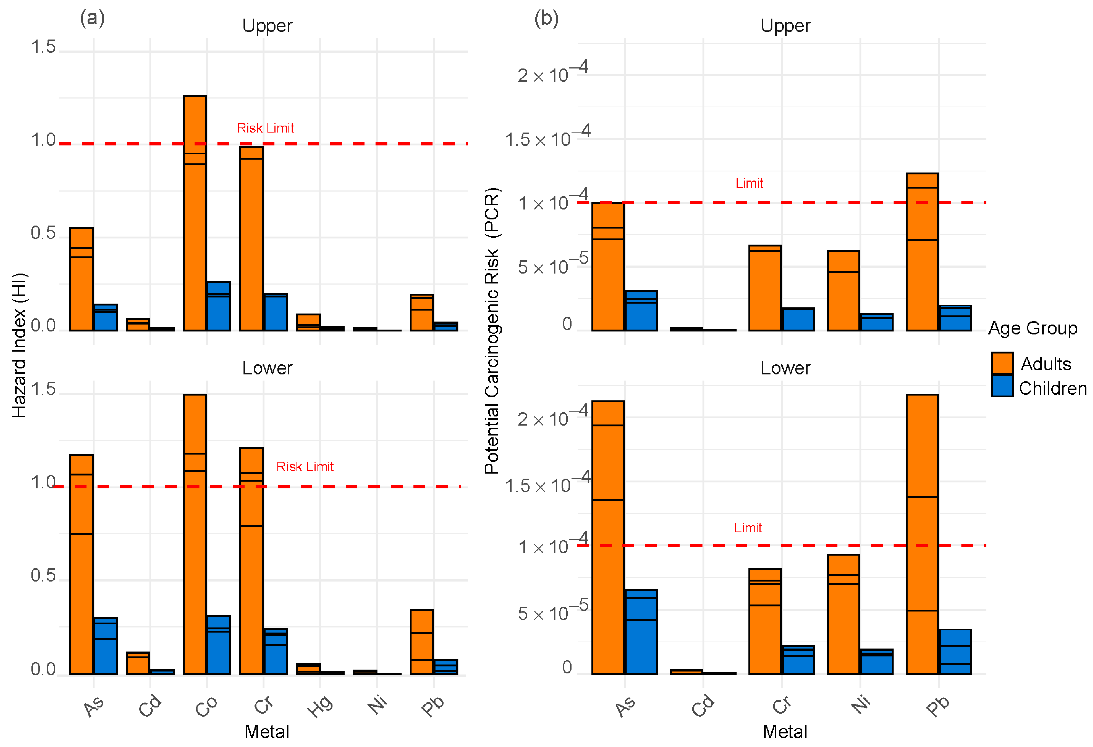
3.5. Human Health Risk Assessment
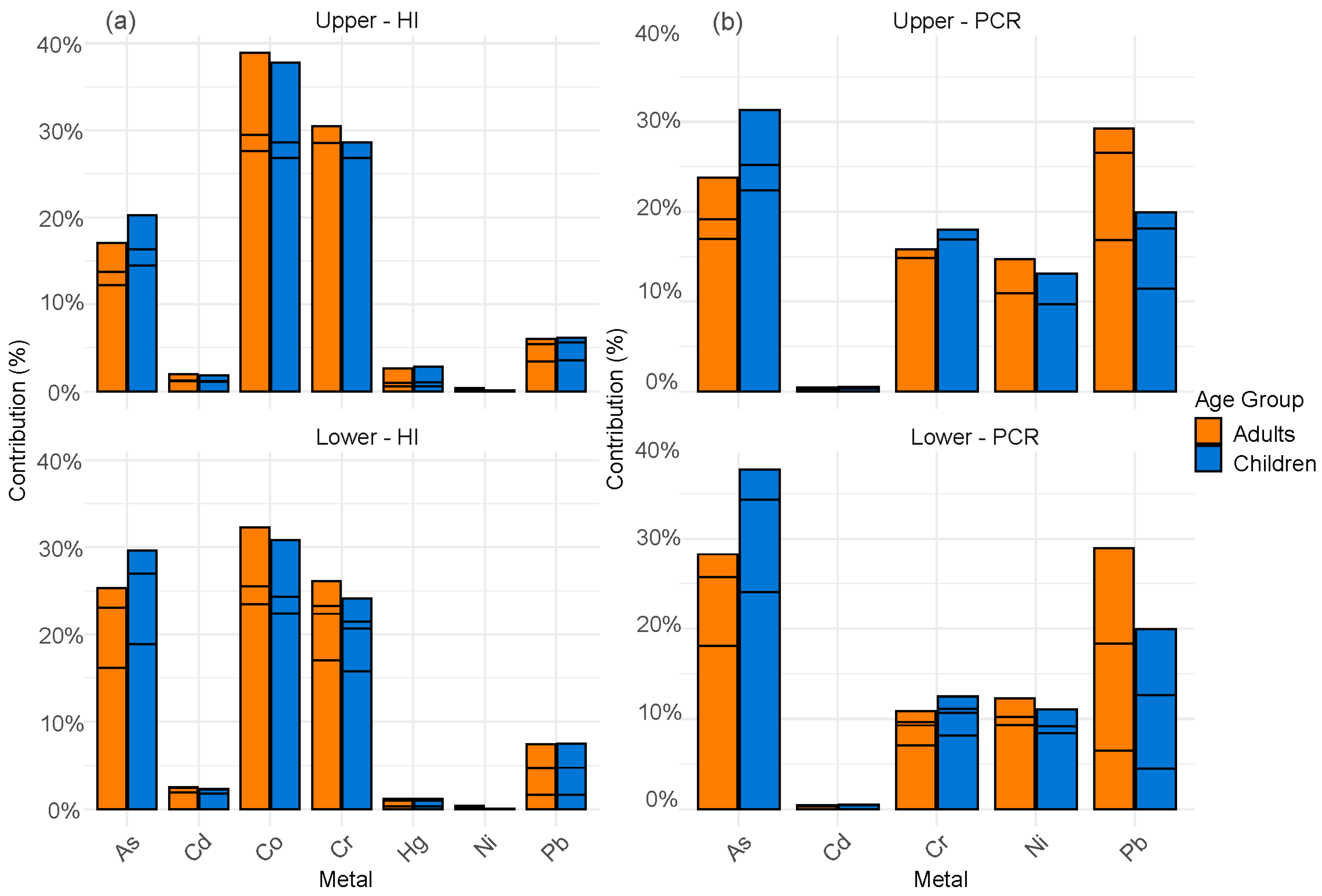
3.6. Contribution of Metals to Carcinogenic Risk (HI and PCR) Across Zones and Age Groups
4. Discussion
4.1. Contamination Patterns and Ecological Risk
4.2. Human Health Risk Implications and Food Web Concerns
4.3. Management and Research Implications
5. Conclusions
Author Contributions
Funding
Institutional Review Board Statement
Informed Consent Statement
Data Availability Statement
Acknowledgments
Conflicts of Interest
Appendix A
| Index | Equation | Contamination Categories | Reference |
|---|---|---|---|
| Cf | Low (<1), Moderate (1–3), High (3–6), Very High (≥6) | [29] | |
| Igeo | Uncontaminated (<0), Low (0–1), Moderate (1–2), Moderate to High (2–3), High (3–4), High to Extreme (4–5), Extreme (>5) | [33] | |
| PLI | 0 (Ideal ecosystem), 1 (Basic contamination levels), >1 (Progressive deterioration) | [31] | |
| mCd | Uncontaminated (≤1.5), Low (1.5–2), Moderate (2–4), High (4–8), Very High (8–16), Extremely High (16–32), Ultra High (>32) | [15] |
| Characteristic | Lower, N = 6 1 | Upper, N = 6 1 | p-Value 2 |
|---|---|---|---|
| Al | 5573.8333 ± 1730.4762 | 4710.3333 ± 1938.3396 | 0.5 |
| Sb | 1.1284 ± 0.7923 | 0.4082 ± 0.1191 | 0.004 |
| As | 15.4237 ± 7.1133 | 7.6582 ± 2.2380 | 0.065 |
| Ba | 88.2800 ± 26.7440 | 110.6100 ± 79.7292 | >0.9 |
| Be | 0.2939 ± 0.0558 | 0.2443 ± 0.0721 | 0.2 |
| Bo | 5.9485 ± 2.2898 | 7.2113 ± 2.4421 | 0.4 |
| Cd | 0.4054 ± 0.1258 | 0.1889 ± 0.0501 | 0.009 |
| Ca | 109,415.0000 ± 19,860.5102 | 117,123.5000 ± 27,134.7066 | 0.8 |
| Co | 3.9005 ± 0.9129 | 3.0567 ± 0.8640 | 0.2 |
| Cu | 8.0985 ± 2.5829 | 6.1958 ± 2.6516 | 0.13 |
| Cr | 9.4828 ± 3.0827 | 7.8412 ± 2.6078 | 0.2 |
| Sn | 0.7381 ± 0.5195 | 2.1044 ± 3.3719 | >0.9 |
| Sr | 136.5000 ± 14.2346 | 141.3433 ± 46.7255 | 0.7 |
| Fe | 9986.1667 ± 1607.0001 | 9094.0000 ± 2187.4855 | 0.3 |
| Li | 6.3513 ± 2.2018 | 6.8760 ± 3.5481 | >0.9 |
| Mg | 8177.1667 ± 4729.7011 | 4261.5000 ± 953.6894 | 0.002 |
| Mn | 413.9333 ± 197.2829 | 316.1833 ± 138.9736 | 0.6 |
| Hg | 0.1090 ± 0.0563 | 0.1606 ± 0.0845 | 0.2 |
| Mo | 0.9428 ± 0.3608 | 0.5379 ± 0.1458 | 0.026 |
| Ni | 10.9673 ± 4.1551 | 7.1133 ± 2.2742 | 0.093 |
| Ag | 0.2209 ± 0.1789 | 0.0380 ± 0.0379 | 0.011 |
| Pb | 23.0670 ± 10.4145 | 11.1030 ± 4.8790 | 0.092 |
| K | 799.1667 ± 234.6085 | 738.8333 ± 273.1772 | 0.6 |
| Se | 0.5828 ± 0.1679 | 0.5095 ± 0.0862 | 0.3 |
| SI | 734.7833 ± 643.6402 | 993.0833 ± 1259.5507 | 0.8 |
| Na | 310.1167 ± 182.9327 | 287.0833 ± 166.8301 | 0.8 |
| Tl | 0.1992 ± 0.0824 | 0.1541 ± 0.0792 | 0.13 |
| Ti | 164.5000 ± 30.1517 | 175.9500 ± 76.4781 | >0.9 |
| Va | 26.9467 ± 1.9740 | 23.3617 ± 5.1338 | 0.4 |
| Zn | 101.2833 ± 58.7266 | 35.8633 ± 6.5779 | 0.013 |
| Contamination Factor—Cf | PLI | mCD | |||||||||||||||
|---|---|---|---|---|---|---|---|---|---|---|---|---|---|---|---|---|---|
| Site | Cu | Cr | Fe | Mn | Hg | Mo | Ni | Pb | V | Zn | Sb | As | Cd | Mn | |||
| Yanacancha | Upper | 0.10 | 0.06 | 0.17 | 0.26 | 0.29 | 0.17 | 0.09 | 0.37 | 0.14 | 0.34 | 3.64 | 3.64 | 1.11 | 0.29 | 0.78 | 0.10 |
| S. J. Jarpa | Upper | 0.09 | 0.06 | 0.15 | 0.25 | 0.53 | 0.28 | 0.07 | 0.34 | 0.13 | 0.39 | 4.13 | 4.13 | 1.06 | 0.34 | 0.85 | 0.09 |
| Colpa | Upper | 0.24 | 0.12 | 0.26 | 0.62 | 0.40 | 0.18 | 0.16 | 0.39 | 0.22 | 0.39 | 7.51 | 7.51 | 1.13 | 0.50 | 1.44 | 0.24 |
| San Blas | Lower | 0.18 | 0.15 | 0.26 | 0.55 | 0.29 | 0.33 | 0.24 | 1.58 | 0.18 | 0.63 | 15.96 | 15.96 | 3.50 | 0.72 | 3.04 | 0.18 |
| Angasmayo | Lower | 0.14 | 0.06 | 0.19 | 0.28 | 0.47 | 0.29 | 0.10 | 1.59 | 0.22 | 1.62 | 4.63 | 4.63 | 1.78 | 0.50 | 1.19 | 0.14 |
| La Perla | Lower | 0.28 | 0.13 | 0.23 | 0.46 | 0.23 | 0.56 | 0.16 | 1.59 | 0.22 | 1.62 | 11.47 | 11.47 | 3.18 | 0.74 | 2.41 | 0.28 |
| Yanacancha | Upper | 0.09 | 0.06 | 0.14 | 0.53 | 0.75 | 0.27 | 0.07 | 0.90 | 0.17 | 0.48 | 3.95 | 3.95 | 1.94 | 0.42 | 0.97 | 0.09 |
| S. J. Jarpa | Upper | 0.14 | 0.11 | 0.22 | 0.31 | 0.28 | 0.16 | 0.11 | 0.82 | 0.22 | 0.39 | 6.04 | 6.04 | 1.20 | 0.42 | 1.21 | 0.14 |
| Colpa | Upper | 0.17 | 0.11 | 0.22 | 0.26 | 0.16 | 0.18 | 0.12 | 0.52 | 0.20 | 0.27 | 5.36 | 5.36 | 1.12 | 0.38 | 1.07 | 0.17 |
| San Blas | Lower | 0.18 | 0.13 | 0.24 | 0.51 | 0.13 | 0.24 | 0.20 | 0.79 | 0.21 | 1.64 | 14.53 | 14.53 | 3.46 | 0.64 | 2.82 | 0.18 |
| Angasmayo | Lower | 0.12 | 0.07 | 0.19 | 0.24 | 0.39 | 0.24 | 0.08 | 1.01 | 0.20 | 0.41 | 4.92 | 4.92 | 1.59 | 0.41 | 1.08 | 0.12 |
| La Perla | Lower | 0.18 | 0.10 | 0.17 | 0.88 | 0.12 | 0.51 | 0.18 | 0.36 | 0.21 | 0.48 | 10.19 | 10.19 | 2.70 | 0.54 | 2.01 | 0.18 |
References
- Casso-Hartmann, L.; Rojas-Lamos, P.; McCourt, K.; Vélez-Torres, I.; Barba-Ho, L.E.; Bolaños, B.W.; Montes, C.L.; Mosquera, J.; Vanegas, D. Water pollution and environmental policy in artisanal gold mining frontiers: The case of La Toma, Colombia. Sci. Total Environ. 2022, 852, 158417. [Google Scholar] [CrossRef]
- Jomova, K.; Alomar, S.Y.; Nepovimova, E.; Kuca, K.; Valko, M. Heavy metals: Toxicity and human health effects. Arch. Toxicol. 2025, 99, 153–209. [Google Scholar] [CrossRef]
- Qian, L.; Shi, Y.; Zheng, L.; Xu, X.; Xu, Q.; Zhou, X.; Li, X.; Shao, X.; Wang, J. Assessing ecological risks of soil heavy metal contamination around diverse metal mining areas in China: From criteria derivation to risk attribution. J. Clean. Prod. 2025, 486, 144536. [Google Scholar] [CrossRef]
- Yang, E.; Wang, Q.; Zhang, Z.; Shao, W.; Luo, H.; Xiao, X.; Ni, F.; Mi, J.; Sun, X.; Guan, Q. Source-oriented health risk assessment of heavy metals in a soil-river continuum in northwest China. Int. J. Sediment Res. 2024, 39, 916–928. [Google Scholar] [CrossRef]
- Wang, S.; Xu, Q.; Yi, J. Multi-scale identification of driving forces for landscape ecological risk: A case study of the basin containing three plateau lakes in Yunnan, China. Ecol. Indic. 2025, 170, 113037. [Google Scholar] [CrossRef]
- Yang, N.; Zhang, T.; Li, J.; Feng, P.; Yang, N. Landscape ecological risk assessment and driving factors analysis based on optimal spatial scales in Luan River Basin, China. Ecol. Indic. 2024, 169, 112821. [Google Scholar] [CrossRef]
- Valko, M.; Rhodes, C.J.; Moncol, J.; Izakovic, M.; Mazur, M. Free radicals, metals and antioxidants in oxidative stress-induced cancer. Chem. Biol. Interact. 2006, 160, 1–40. [Google Scholar] [CrossRef]
- Mestanza-Ramón, C.; Jiménez-Oyola, S.; Gavilanes Montoya, A.V.; Vizuete, D.D.C.; D’Orio, G.; Cedeño-Laje, J.; Urdánigo, D.; Straface, S. Human health risk assessment due to mercury use in gold mining areas in the Ecuadorian Andean region. Chemosphere 2023, 344, 140351. [Google Scholar] [CrossRef] [PubMed]
- Tejada-purizaca, T.R.; Garcia-chevesich, P.A.; Ticona-quea, J.; Martínez, G.; Martínez, K.; Morales-paredes, L.; Romero-Mariscal, G.; Arenazas-Rodríguez, A.; Vanzin, G.; Sharp, J.O.; et al. Heavy Metal Bioaccumulation in Peruvian Food and Medicinal Products. Foods 2024, 13, 762. [Google Scholar] [CrossRef]
- Das, B.; Islam, M.A.; Tamim, U.; Ahmed, F.T.; Hossen, M.B. Heavy metal analysis of water and sediments of the Kaptai Lake in Bangladesh: Contamination and concomitant health risk assessment. Appl. Radiat. Isot. 2024, 210, 111358. [Google Scholar] [CrossRef]
- Shetaia, S.A.; Nasr, R.A.; Lasheen, E.S.R.; Dar, M.A.; Al-Mur, B.A.; Zakaly, H.M.H. Assessment of heavy metals contamination of sediments and surface waters of Bitter lake, Suez Canal, Egypt: Ecological risks and human health. Mar. Pollut. Bull. 2023, 192, 115096. [Google Scholar] [CrossRef] [PubMed]
- Wang, J.; Wang, B.; Zhao, Q.; Cao, J.; Xiao, X.; Zhao, D.; Chen, Z.; Wu, D. Sources analysis and risk assessment of heavy metals in soil in a polymetallic mining area in southeastern Hubei based on Monte Carlo simulation. Ecotoxicol. Environ. Saf. 2025, 290, 117607. [Google Scholar] [CrossRef] [PubMed]
- Dippong, T.; Resz, M.A. Heavy metal contamination assessment and potential human health risk of water quality of lakes situated in the protected area of Tisa, Romania. Heliyon 2024, 10, e28860. [Google Scholar] [CrossRef]
- Niu, S.; Wang, R.; Jiang, Y. Quantification of heavy metal contamination and source in urban water sediments using a statistically determined geochemical baseline. Environ. Res. 2024, 263, 120080. [Google Scholar] [CrossRef] [PubMed]
- Custodio, V.M.; Chanamé, Z.F.; Bulege, G.W. Evaluación de la calidad del agua del río Cunas índices fisicoquimicos y biologicos, Junìn-Perú. Prospect. Univ. 2019, 10, 98–105. [Google Scholar] [CrossRef]
- Custodio, M.; Pantoja, R. Impactos antropogénicos en la calidad del agua del río Cunas. Apunt. De Cienc. Soc. 2012, 2, 130–137. [Google Scholar] [CrossRef][Green Version]
- Quispe, K.A.O.; Deudor, L.L.V. Captación y almacenamiento pluvial como modelo histórico para conservación del agua en los Andes peruanos. Desafios 2023, 14, 32–39. [Google Scholar] [CrossRef]
- Ortega-Quispe, K.; Ccopi-Trucios, D.; Lozano-Povis, A.; Llanos-Del-pino, A.; Gabriel-Campos, E.; Cordova-Buiza, F. Sustainable Management of Wastewater Sludge Through Composting with Effective Microorganisms: Enhancing the Growth of Tecoma stans. Org. Farming 2024, 10, 108–119. [Google Scholar] [CrossRef]
- Correa Cuba, O. Contaminación Por Metales Pesados De La Microcuenca Agropecuaria Del Río Huancaray– Perú. Rev. De La Soc. Química Del. Perú 2021, 87, 26–38. [Google Scholar] [CrossRef]
- Zhang, H.; Liu, S.; Wu, K.; Cui, J.; Zhu, A.; Zhang, Y.; Mohamed, C.A.R.; Shi, X. Distribution and assessment of heavy metal contents in surface sediments of the western Sunda Shelf. Mar. Pollut. Bull. 2021, 168, 112433. [Google Scholar] [CrossRef]
- Novoa Villa, H.H.; Arizaca Ávalos, A.; Huisa Mamani, F. Efectos en los ecosistemas por presencia de metales pesados en la actividad minera de pequeña escala en Puno. Rev. De Investig. Altoandinas-J. High Andean Res. 2022, 24, 182–189. [Google Scholar] [CrossRef]
- Custodio, M.; Cuadrado, W.; Peñaloza, R.; Montalvo, R.; Ochoa, S.; Quispe, J. Human risk from exposure to heavy metals and arsenic in water from rivers with mining influence in the Central Andes of Peru. Water 2020, 12, 1946. [Google Scholar] [CrossRef]
- Han, Q.; Wang, M.; Cao, J.; Gui, C.; Liu, Y.; He, X.; He, Y.; Liu, Y. Health risk assessment and bioaccessibilities of heavy metals for children in soil and dust from urban Parks and schools of Jiaozou, China. Ecotoxicol. Environ. Saf. 2020, 191, 110157. [Google Scholar] [CrossRef]
- ANA (Autoridad Nacional del Agua). Evaluación de Recursos Hídricos en la Cuenca de Mantaro. 2015. Available online: https://repositorio.ana.gob.pe/handle/20.500.12543/36 (accessed on 15 May 2025).
- Rice, E.; Baird, R.; Eaton, A.; Clesceri, L. Standard Methods. Standard Methods for the Examination of Water and Wastewater; American Water Works Association: Washington, DC, USA, 2012; p. 541. ISBN 9780875532356. Available online: https://www.sidalc.net/search/Record/KOHA-OAI-ECOSUR:53329/Description (accessed on 15 May 2025).
- Taylor, S.R.; Mclennan, S.M. The geochemical the continental evolution crust. Rev. Miner. Geochem. 1995, 33, 241–265. [Google Scholar] [CrossRef]
- Turekian, K.K.; Wedepohl, K.H. Distribution of the Elements in Some Major Units of the Earth’s Crust. Geol. Soc. Am. Bull. 1961, 72, 175–192. [Google Scholar] [CrossRef]
- Hakanson, L. An ecological risk index for aquatic pollution control. A Sedimentol. approach. Water Res. 1980, 14, 975–1001. [Google Scholar] [CrossRef]
- Vasudhevan, P.; Pu, S.; Ayyamperumal, R.; Manikandan, E.; Sujitha, S.B.; Singh, S.; Ponniah, J.M.; Dixit, S.; Thangavel, P. Pollution assessment, ecological risk and source identification of heavy metals in paddy soils and rice grains from Salem, South India. J. Hazard. Mater. Adv. 2025, 17, 100526. [Google Scholar] [CrossRef]
- Zhao, Z.; Liu, Q.; Liao, Y.; Yu, P.; Tang, Y.; Liu, Q.; Shi, X.; Shou, L.; Zeng, J.; Chen, Q.; et al. Ecological risk assessment of trace metals in sediments and their effect on benthic organisms from the south coast of Zhejiang province, China. Mar. Pollut. Bull. 2023, 187, 114529. [Google Scholar] [CrossRef] [PubMed]
- Simou, A.; Sarti, O.; Abdelfattah, B.; Mrabet, A.; Khaddor, M.; Allali, N. Assessing ecological and health risks of potentially toxic elements in marine and beach sediments of Tangier Bay, Southwestern Mediterranean sea. Mar. Pollut. Bull. 2024, 209, 117234. [Google Scholar] [CrossRef] [PubMed]
- Custodio, M.; Espinoza, C.; Orellana, E.; Chanamé, F.; Fow, A.; Peñaloza, R. Assessment of toxic metal contamination, distribution and risk in the sediments from lagoons used for fish farming in the central region of Peru. Toxicol. Rep. 2022, 9, 1603–1613. [Google Scholar] [CrossRef]
- Muller, G.; Bonnard, H.; Mathey, F. Derives Magnesiens Et Cadmiens Du Dimethyl-3,4-Phospholyle: Synthese Et Utilisation Pour La Preparation De Nouveaux Phospholes Avec Substituants Fonctionnels Sur Le Phosphore. Phosphorus Sulfur Relat. Elem. 1981, 10, 175–179. [Google Scholar] [CrossRef]
- Ma, S.; Han, G. Distribution, provenance, contamination, and probabilistic ecological risk of rare earth elements in surface sediments of Jiulong River estuary and adjacent watershed. Ocean Coast. Manag. 2024, 254, 107205. [Google Scholar] [CrossRef]
- Tripathi, D.P.; Nema, A.K. Evaluation of ecological risk due to suspended particulate matter-bound heavy metals deposited on selected plants in an urban area. Urban Clim. 2025, 59, 102293. [Google Scholar] [CrossRef]
- Zhang, H.; Zeng, H.; Jiang, Y.; Xie, Z.; Xu, X.; Ding, M.; Wang, P. Using the compound system to synthetically evaluate the enrichment of heavy metal(loid)s in a subtropical basin, China. Environ. Pollut. 2020, 256, 113396. [Google Scholar] [CrossRef]
- Omwene, P.I.; Öncel, M.S.; Çelen, M.; Kobya, M. Heavy metal pollution and spatial distribution in surface sediments of Mustafakemalpaşa stream located in the world’s largest borate basin (Turkey). Chemosphere 2018, 208, 782–792. [Google Scholar] [CrossRef] [PubMed]
- Wang, J.; Ma, Y.; Zhou, X.; Wang, S.; Fu, Y.; Gao, S.; Meng, X.; Shen, Z.; Chen, L. Integrated ecological-health risk assessment of ofloxacin. J. Hazard. Mater. 2025, 487, 137178. [Google Scholar] [CrossRef]
- Delgado, J.; Pérez-López, R.; Galván, L.; Nieto, J.M.; Boski, T. Enrichment of rare earth elements as environmental tracers of contamination by acid mine drainage in salt marshes: A new perspective. Mar. Pollut. Bull. 2012, 64, 1799–1808. [Google Scholar] [CrossRef]
- Khatoon, N.; Ali, S.; Hussain, A.; Huang, J.; Yu, Z.; Liu, H. Evaluating the Carcinogenic and Non-Carcinogenic Health Risks of Heavy Metals Contamination in Drinking Water, Vegetables, and Soil from Gilgit-Baltistan, Pakistan. Toxics 2025, 13, 5. [Google Scholar] [CrossRef] [PubMed]
- Saber, A.A.; Al-Mashhadany, M.F.M.; Hamid, A.; Gabrieli, J.; Tockner, K.; Alsaif, S.S.A.; Al-Marakeby, A.A.M.; Segadelli, S.; Cantonati, M.; Bhat, S.U. Carcinogenic and Non-Carcinogenic Health Risk Evaluation of Heavy Metals in Water Sources of the Nubian Sandstone Aquifer in the El-Farafra Oasis (Egypt). Water 2024, 16, 1649. [Google Scholar] [CrossRef]
- Pheatmap: Pretty Heatmaps, n.d. Available online: https://raivokolde.r-universe.dev/pheatmap (accessed on 8 March 2025).
- Lê, S.; Josse, J.; Husson, F. FactoMineR: An R Package for Multivariate Analysis. J. Stat. Softw. 2008, 25, 1–18. [Google Scholar] [CrossRef]
- Galili, T. dendextend: An R package for visualizing, adjusting and comparing trees of hierarchical clustering. Bioinformatics 2015, 31, 3718–3720. [Google Scholar] [CrossRef]
- Hu, W.; Wang, H.; Dong, L.; Huang, B.; Borggaard, O.K.; Hansen, H.C.B.; He, Y.; Holm, P.E. Source identification of heavy metals in peri-urban agricultural soils of southeast China: An integrated approach. Environ. Pollut. 2018, 237, 650–661. [Google Scholar] [CrossRef]
- Chira, J.; Vargas, L.; Calderón, C.; Arcos, F.; Mogrovejo, M.; De La Cruz, C. Heavy metals and their impact on surface waters of the Mantaro river basin, Junin, Peru. Int. J. Hydrol. 2022, 6, 88–93. [Google Scholar] [CrossRef]
- Pizarro, S.; Pricope, N.G.; Vera, J.; Cruz, J.; Lastra, S.; Solórzano-Acosta, R.; Martínez, P.V. Comprehensive spatial mapping of metals and metalloids in the Peruvian Mantaro Valley using advanced geospatial data Integration. Geoderma 2025, 453, 117138. [Google Scholar] [CrossRef]
- Chen, X.; Fu, X.; Li, G.; Zhang, J.; Li, H.; Xie, F. Source-specific probabilistic health risk assessment of heavy metals in surface water of the Yangtze River Basin. Sci. Total Environ. 2024, 926, 171923. [Google Scholar] [CrossRef]
- Liang, H.Y.; Zhang, Y.H.; Du, S.L.; Cao JLe Liu, Y.F.; Zhao, H.; Ding, T.-T. Heavy metals in sediments of the river-lake system in the Dianchi basin, China: Their pollution, sources, and risks. Sci. Total Environ. 2024, 957, 177652. [Google Scholar] [CrossRef]
- Ebol, E.; Donoso, C.; Saura, R.; Ferol, R.; Mozar, J.; Bermon, A.; Manongas, J.; Libot, J.; Matabilas, C.; Jumawan, J.; et al. Heavy metals accumulation in surface waters, bottom sediments and aquatic organisms in Lake Mainit, Philippines. Int. Lett. Nat. Sci. 2020, 79, 40–49. [Google Scholar] [CrossRef]
- Jahan, S.; Jewel, M.A.S.; Khatun, B.; Barman, A.C.; Akter, S.; Haque, M.A. Heavy metals and metalloid contamination and risk evaluation in the surface sediment of the Bakkhali River estuary in Bangladesh. Heliyon 2024, 10, e37496. [Google Scholar] [CrossRef] [PubMed]
- Kumar, V.; Kumar, J.; Alam, A.; Thakur, V.R.; Kumar, V.; Srivastava, S.K.; Kayal, T.; Jha, D.N.; Das, B.K. Ecological and human health risk from exposure to metal contaminated sediments in a subtropical river affected by anthropogenic activities: A case study from river Yamuna. Mar. Pollut. Bull. 2024, 203, 116498. [Google Scholar] [CrossRef] [PubMed]
- Moreno-Aguirre, S.B.; Vértiz-Osores, J.J.; Paredes-Espinal, C.E.; Meseth, E.; Vílchez-Ochoa, G.L.; Espino-Ciudad, J.A.; del Pino, L.F. Ecological risk of metals in Andean water resources: A framework for early environmental assessment of mining projects in Peru. Heliyon 2024, 10, e30739. [Google Scholar] [CrossRef]
- Khan, K.; Khan, M.S.; Younas, M.; Yaseen, M.; Al-Sehemi, A.G.; Kavil, Y.N.; Su, C.; Ali, N.; Maryam, A.; Liang, R. Pathways and risk analysis of arsenic and heavy metal pollution in riverine water: Application of multivariate statistics and USEPA-recommended risk assessment models. J. Contam. Hydrol. 2025, 269, 104483. [Google Scholar] [CrossRef]
- Sultana, S.; Sultana, N.; Moniruzzaman, M.; Dastagir, M.R.; Hossain, M.K. Unmasking heavy metal contamination: Tracing, risk estimating and source fingerprinting from coastal sediments of the Payra River in Bangladesh. Mar. Pollut. Bull. 2025, 211, 117455. [Google Scholar] [CrossRef]
- Jolaosho, T.L.; Elegbede, I.O.; Akintola, S.L.; Jimoh, A.A.; Ndimele, P.E.; Mustapha, A.A.; Adukonu, J.D. Bioaccumulation dynamics, noncarcinogenic and carcinogenic risks of heavy metals in commercially valuable shellfish and finfish species from the world largest floating slum, Makoko, Nigeria. Mar. Pollut. Bull. 2024, 207, 116807. [Google Scholar] [CrossRef]
- Habineza, E.; Makwinja, R.; Inagaki, Y. Contamination and health risks of trace metals in water and sediments of May Sieley stream, Ethiopia. Phys. Chem. Earth 2023, 129, 103315. [Google Scholar] [CrossRef]
- Wu, L.; Yue, W.; Wu, J.; Cao, C.; Liu, H.; Teng, Y. Metal-mining-induced sediment pollution presents a potential ecological risk and threat to human health across China: A meta-analysis. J. Environ. Manag. 2023, 329, 117058. [Google Scholar] [CrossRef] [PubMed]
- Hefmi, R.; Tanjung, R.; Indrayani, E.; Panji, L.; Agamawan, I. Case Studies in Chemical and Environmental Engineering Ecological and human health risks assessment related to heavy metals in surface sediments and some fish species in Lake Sentani, Indonesia. Case Stud. Chem. Environ. Eng. 2025, 11, 101148. [Google Scholar] [CrossRef]
- Delgado, A.; Gil, F.; Chullunquía, J.; Valdivia, T.; Carbajal, C. Water Quality Analysis in Mantaro River, Peru, Before and After the Tailing’s Accident Using the Grey Clustering Method. Earth 2021, 11, 12. [Google Scholar] [CrossRef]
- Gómez Mandujano, A.V. Mitigación del manganeso con zeolitas en aguas del Río Mantaro, Jauja, Junín. Cátedra Villarreal 2022, 10, 100–111. [Google Scholar] [CrossRef]
- Saha, A.; Sen Gupta, B.; Patidar, S.; Hernández-Martínez, J.L.; Martín-Romero, F.; Meza-Figueroa, D.; Martínez-Villegas, N. A comprehensive study of source apportionment, spatial distribution, and health risks assessment of heavy metal(loid)s in the surface soils of a semi-arid mining region in Matehuala, Mexico. Environ. Res. 2024, 260, 119619. [Google Scholar] [CrossRef] [PubMed]
- Gwira, H.A.; Osae, R.; Abasiya, C.; Peasah, M.Y.; Owusu, F.; Loh, S.K.; Kojo, A.; Aidoo, P.; Agyare, E.A. Hydrogeochemistry and human health risk assessment of heavy metal pollution of groundwater in Tarkwa, a mining community in Ghana. Environ. Adv. 2024, 17, 100565. [Google Scholar] [CrossRef]
- Meunier, P.; Gautheron, B.; Mazouz, A. Synthese par voie organometallique de nouveaux benzodiselenoheterocycles. Phosphorus Sulfur Relat. Elem. 1987, 33, 33–36. [Google Scholar] [CrossRef]
- Ccanccapa-Cartagena, A.; Chavez-Gonzales, F.D.; Paredes, B.; Vera, C.; Gutierrez, G.; Valencia, R.; Alcázar, A.L.P.; Zyaykina, N.N.; Filley, T.R.; Jafvert, C.T. Seasonal differences in trace metal concentrations in the major rivers of the hyper-arid southwestern Andes basins of Peru. J. Environ. Manag. 2023, 344, 118493. [Google Scholar] [CrossRef] [PubMed]






| Type | Element | DS | Upper | Lower | UCC | TEL | PEL |
|---|---|---|---|---|---|---|---|
| Transition metals | Cu | Mean | 6.2 | 8.1 | 45 | 18.7 | 108 |
| SD | 2.2 | 2.6 | |||||
| Max | 10.7 | 12.8 | |||||
| Cr | Mean | 7.8 | 9.5 | 90 | 52.3 | 160 | |
| SD | 2.6 | 3.1 | |||||
| Max | 13.2 | 13.2 | |||||
| Fe | Mean | 9094 | 9986 | 47,200 | - | - | |
| SD | 1939 | 1607 | |||||
| Max | 12,192 | 12,192 | |||||
| Mn | Mean | 316 | 413 | 850 | - | - | |
| SD | 140 | 197 | |||||
| Max | 531 | 752 | |||||
| Mo | Mean | 0.5 | 0.9 | 2.6 | - | - | |
| SD | 0.2 | 0.4 | |||||
| Max | 0.9 | 1.5 | |||||
| Ni | Mean | 7.1 | 11 | 68 | - | - | |
| SD | 4.3 | 4.2 | |||||
| Max | 16.4 | 16.4 | |||||
| V | Mean | 23.4 | 26.9 | 130 | - | - | |
| SD | 4.5 | 2 | |||||
| Post-transition metals | Cd | Mean | 0.2 | 0.4 | 0.1 | - | - |
| SD | 0.2 | 0.1 | |||||
| Max | 0.5 | 0.5 | |||||
| Hg | Mean | 0.2 | 0.1 | 0.4 | 0.13 | 0.7 | |
| SD | 0.1 | 0.1 | |||||
| Max | 0.2 | 0.2 | |||||
| Pb | Mean | 11.1 | 23.1 | 20 | 30.2 | 112 | |
| SD | 9.2 | 10.4 | |||||
| Max | 31.8 | 31.8 | |||||
| Mean | 35.9 | 101 | 95 | 124 | 271 | ||
| Zn | SD | 48.9 | 58.7 | ||||
| Max | 156 | 156 | |||||
| Mean | 0.4 | 1.1 | 0.2 | - | - | ||
| Metalloids | Sb | SD | 0.2 | 0.8 | |||
| Max | 1.3 | 2.7 | |||||
| Mean | 7.7 | 15.4 | 1.5 | - | - | ||
| As | SD | 7.6 | 7.1 | ||||
| Max | 23.9 | 23.9 |
Disclaimer/Publisher’s Note: The statements, opinions and data contained in all publications are solely those of the individual author(s) and contributor(s) and not of MDPI and/or the editor(s). MDPI and/or the editor(s) disclaim responsibility for any injury to people or property resulting from any ideas, methods, instructions or products referred to in the content. |
© 2025 by the authors. Licensee MDPI, Basel, Switzerland. This article is an open access article distributed under the terms and conditions of the Creative Commons Attribution (CC BY) license (https://creativecommons.org/licenses/by/4.0/).
Share and Cite
Custodio, M.; Pizarro, S.; Huarcaya, J.; Ortega, K.; Ccopi, D. Ecological and Human Health Risk Assessment of Heavy Metals in Mining-Affected River Sediments in the Peruvian Central Highlands. Toxics 2025, 13, 783. https://doi.org/10.3390/toxics13090783
Custodio M, Pizarro S, Huarcaya J, Ortega K, Ccopi D. Ecological and Human Health Risk Assessment of Heavy Metals in Mining-Affected River Sediments in the Peruvian Central Highlands. Toxics. 2025; 13(9):783. https://doi.org/10.3390/toxics13090783
Chicago/Turabian StyleCustodio, María, Samuel Pizarro, Javier Huarcaya, Kevin Ortega, and Dennis Ccopi. 2025. "Ecological and Human Health Risk Assessment of Heavy Metals in Mining-Affected River Sediments in the Peruvian Central Highlands" Toxics 13, no. 9: 783. https://doi.org/10.3390/toxics13090783
APA StyleCustodio, M., Pizarro, S., Huarcaya, J., Ortega, K., & Ccopi, D. (2025). Ecological and Human Health Risk Assessment of Heavy Metals in Mining-Affected River Sediments in the Peruvian Central Highlands. Toxics, 13(9), 783. https://doi.org/10.3390/toxics13090783

