Safety and Sublethal Effects of Acaricides on Stethorus punctillum, a Neglected Key Natural Enemy of Phytophagous Mites
Abstract
1. Introduction
2. Materials and Methods
2.1. Test Mites and Insects
2.2. Acaricides and Reagents
2.3. Determination of Acaricides Acute Toxicity and Safety Assessment
2.4. Lethal and Sublethal Effects of Abamectin on Predation Ability of S. punctillum
2.5. Lethal and Sublethal Effects of Abamectin on Longevity of S. punctillum
2.6. Statistical Analysis
3. Results
3.1. Acaricides Acute Toxicity and Safety Assessment
3.2. Lethal and Sublethal Effects of Abamectin on Predation Ability of S. punctillum Adults
3.3. Lethal and Sublethal Effects of Abamectin on Longevity of S. punctillum Adults
4. Discussion
5. Conclusions
Author Contributions
Funding
Institutional Review Board Statement
Informed Consent Statement
Data Availability Statement
Acknowledgments
Conflicts of Interest
References
- Liang, Y.; Liu, L. Simulating land-use change and its effect on biodiversity conservation in a watershed in northwest China. Ecosyst. Health Sustain. 2017, 3, 1335933. [Google Scholar] [CrossRef]
- Wyckhuys, K.A.G.; Pozsgai, G.; Ben Fekih, I.; Sanchez-Garcia, F.J.; Elkahky, M. Biodiversity loss impacts top-down regulation of insect herbivores across ecosystem boundaries. Sci. Total Environ. 2024, 930, 172807. [Google Scholar] [CrossRef] [PubMed]
- Wyckhuys, K.A.G.; Abram, P.K.; Barrios, E.; Cancino, J.; Collatz, J.; Fancelli, M.; Klein, A.-M.; Lindell, C.A.; Osterman, J.; Pinto, M.; et al. Orchard systems offer low-hanging fruit for low-carbon, biodiversity-friendly farming. BioScience 2025, biae140. [Google Scholar] [CrossRef]
- Zhao, Z.-H.; Hui, C.; He, D.-H.; Li, B.-L. Effects of agricultural intensification on ability of natural enemies to control aphids. Sci. Rep. 2015, 5, 8024. [Google Scholar] [CrossRef]
- Jaworski, C.C.; Thomine, E.; Rusch, A.; Lavoir, A.-V.; Wang, S.; Desneux, N. Crop diversification to promote arthropod pest management: A review. Agric. Commun. 2023, 1, 100004. [Google Scholar] [CrossRef]
- Li, T.; Chen, X.-L.; Hong, X.-Y. Population genetic structure of Tetranychus urticae and its sibling species Tetranychus cinnabaribus (Acari: Tetranychidae) in China as inferred from microsatellite data. Ann. Entomol. Soc. Am. 2009, 102, 674–683. [Google Scholar] [CrossRef]
- Jin, P.-Y.; Tian, L.; Chen, L.; Hong, X.-Y. Spider mites of agricultural importance in China, with focus on species composition during the last decade (2008–2017). Syst. Appl. Acarol. 2018, 23, 2087. [Google Scholar] [CrossRef]
- Bakker, L.; Van Der Werf, W.; Tittonell, P.; Wyckhuys, K.A.G.; Bianchi, F.J.J.A. Neonicotinoids in global agriculture: Evidence for a new pesticide treadmill? Ecol. Soc. 2020, 25, 26. [Google Scholar] [CrossRef]
- Rott, A.S.; Ponsonby, D.J. Improving the control of Tetranychus urticae on edible glasshouse crops using a specialist coccinellid (Stethorus punctillum Weise) and a generalist mite (Amblyseius californicus McGregor) as biocontrol agents. Biocontrol Sci. Technol. 2000, 10, 487–498. [Google Scholar] [CrossRef]
- Orre Gordon, G.U.S.; Wratten, S.D.; Jonsson, M.; Simpson, M.; Hale, R. ‘Attract and reward’: Combining a herbivore-induced plant volatile with floral resource supplementation-Multi-trophic level effects. Biol. Control 2013, 64, 106–115. [Google Scholar] [CrossRef]
- Desneux, N.; Decourtye, A.; Delpuech, J.-M. The sublethal effects of pesticides on beneficial arthropods. Annu. Rev. Entomol. 2007, 52, 81–106. [Google Scholar] [CrossRef] [PubMed]
- Zhang, D.; Dai, C.; Ali, A.; Liu, Y.; Pan, Y.; Desneux, N.; Lu, Y. Lethal and sublethal effects of chlorantraniliprole on the migratory moths Agrotis ipsilon and A. segetum: New perspectives for pest management strategies. Pest Manag. Sci. 2022, 78, 4105–4113. [Google Scholar] [CrossRef]
- Ullah, F.; Güncan, A.; Abbas, A.; Gul, H.; Guedes, R.N.; Zhang, Z.; Huang, J.; Khan, K.; Ghramh, H.; Chavarín-Gómez, E.; et al. Sublethal effects of neonicotinoids on insect pests. Entomol. Gen. 2024, 44, 1145–1160. [Google Scholar] [CrossRef]
- Zhang, Q.; Liu, Y.; Wyckhuys, K.; Liang, H.; Desneux, N.; Lu, Y. Lethal and sublethal effects of chlorantraniliprole on Helicoverpa armigera adults enhance the potential for use in “attract-and-kill” control strategies. Entomol. Gen. 2020, 41, 111–120. [Google Scholar] [CrossRef]
- Lutz, A.L.; Bertolaccini, I.; Scotta, R.R.; Curis, M.C.; Favaro, M.A.; Fernandez, L.N.; Sánchez, D.E. Lethal and sublethal effects of chlorantraniliprole on Spodoptera cosmioides (Lepidoptera: Noctuidae). Pest Manag. Sci. 2018, 74, 2817–2821. [Google Scholar] [CrossRef]
- Kuk, Y.I.; Kim, S.S. Effects of selected insecticides on the predatory mite, Phytoseiulus persimilis (Acari: Phytoseiidae). J. Entomol. Sci. 2018, 53, 46–54. [Google Scholar] [CrossRef]
- Sáenz-de-Cabezón Irigaray, F.J.; Zalom, F.G.; Thompson, P.B. Residual toxicity of acaricides to Galendromus occidentalis and Phytoseiulus persimilis reproductive potential. Biol. Control 2007, 40, 153–159. [Google Scholar] [CrossRef]
- Ghadim Mollaloo, M.; Kheradmand, K.; Sadeghi, R.; Talebi, A.A. Demographic analysis of sublethal effects of spiromesifen on Neoseiulus californicus (Acari: Phytoseiidae). Acarologia 2017, 57, 571–580. [Google Scholar] [CrossRef]
- Mehrkhou, F.; Fathipour, Y.; Talebi, A.A.; Kamali, K.; Naseri, B. Population density and spatial distribution patterns of Tetranychus urticae (Acari, Tetranychidae) and its predator Stethorus gilvifrons (Coleoptera: Coccinellidae) on different agricultural crops. J. Entomol. Res. Soc. 2008, 10, 23–36. [Google Scholar]
- Riddick, E.W.; Wu, Z. Lima bean-lady beetle interactions: Hooked trichomes affect survival of Stethorus punctillum larvae. BioControl 2011, 56, 55–63. [Google Scholar] [CrossRef]
- Shah, R.; Appleby, M. Testing the contact and residual toxicity of selected low-risk pesticides to Tetranychus urticae Koch and its predators. Sarhad J. Agric. 2019, 35, 1113–1121. [Google Scholar] [CrossRef]
- Abdellah, A.; Abdelaziz, Z.; Philipe, A.; Serge, K.; Abdelhamid, E.M. Seasonal trend of Eutetranychus orientalis in Moroccan citrus orchards and its potential control by Neoseiulus californicus and Stethorus punctillum. Syst. Appl. Acarol. 2021, 26, 1458–1480. [Google Scholar] [CrossRef]
- Aslam, M. Evidence of field-evolved resistance to organophosphates and pyrethriods in Chrsoperla carnea (Neuroptera: Chrysopidae). J. Econ. Entomol. 2008, 101, 1676–1684. [Google Scholar]
- Zhang, C.-X.; Wang, Z.-J.; Li, J.-J.; Wang, N.-M.; Xue, C.-B. Sublethal effects of tolfenpyrad on the development, reproduction, and predatory ability of Chrysoperla sinica. Ecotoxicol. Environ. Saf. 2022, 236, 113482. [Google Scholar] [CrossRef]
- Stanley, J.; Preetha, G. Pesticide toxicity to arthropod predators: Exposure, toxicity and risk assessment methodologies. In Pesticide Toxicity to Non-Target Organisms; Springer: Dordrecht, The Netherlands, 2016; pp. 1–98. ISBN 978-94-017-7750-6. [Google Scholar]
- Begna, T.; Ulziibayar, D.; Bisrat, D.; Jung, C. Acaricidal toxicity of four essential oils, their predominant constituents, their mixtures against Varroa Mite, and their selectivity to honey bees (Apis cerana and A. mellifera). Insects 2023, 14, 735. [Google Scholar] [CrossRef] [PubMed]
- Yan, S.; Gu, N.; Peng, M.; Jiang, Q.; Liu, E.; Li, Z.; Yin, M.; Shen, J.; Du, X.; Dong, M. A preparation method of nano-pesticide improves the selective toxicity toward natural enemies. Nanomaterials 2022, 12, 2419. [Google Scholar] [CrossRef] [PubMed]
- Li, Y.; Zhang, B.; Zhang, J.; Yang, N.; Yang, D.; Zou, K.; Xi, Y.; Chen, G.; Zhang, X. The inappropriate application of imidacloprid destroys the ability of predatory natural enemies to control pests in the food chain: A case study of the feeding behavior of Orius similis on Frankliniella occidentalis. Ecotoxicol. Environ. Saf. 2024, 272, 116040. [Google Scholar] [CrossRef]
- Suarez, A.; Gwozdz, W. On the relation between monocultures and ecosystem services in the Global South: A review. Biol. Conserv. 2023, 278, 109870. [Google Scholar] [CrossRef]
- Jimenez, L.O. Impact of Early Infestation of Two-Spotted Spider Mites (Tetranychus urticae) on Cotton Growth and Yield. Master’s Thesis, University of Arkansas, Fayetteville, AR, USA, 2014. Available online: https://scholarworks.uark.edu/etd/1025 (accessed on 25 February 2025).
- Liang, X.; Chen, Q.; Liu, Y.; Wu, C.; Li, K.; Wu, M.; Yao, X.; Qiao, Y.; Zhang, Y.; Geng, Y. Identification of cassava germplasms resistant to two-spotted spider mite in China: From greenhouse large-scale screening to field validation. Front. Plant Sci. 2022, 13, 1054909. [Google Scholar] [CrossRef]
- Aguilar-Fenollosa, E.; Ibáñez-Gual, M.V.; Pascual-Ruiz, S.; Hurtado, M.; Jacas, J.A. Effect of ground-cover management on spider mites and their phytoseiid natural enemies in clementine mandarin orchards (I): Bottom-up regulation mechanisms. Biol. Control 2011, 59, 158–170. [Google Scholar] [CrossRef]
- Begum, A.; Alam, S.N.; Jalal Uddin, M. Management of pesticides: Purposes, uses, and concerns. In Pesticide Residue in Foods; Khan, M.S., Rahman, M.S., Eds.; Springer International Publishing: Cham, Switzerland, 2017; pp. 53–86. ISBN 978-3-319-52681-2. [Google Scholar]
- Müller, C. Impacts of sublethal insecticide exposure on insects—Facts and knowledge gaps. Basic Appl. Ecol. 2018, 30, 1–10. [Google Scholar] [CrossRef]
- Sari, F. Lethal and sublethal effects of the pyrethroid insecticide tau-fluvalinate on the non-target organism Gammarus roeseli: A study of acute toxicity, genotoxicity and locomotor activity. Arch. Biol. Sci. 2022, 74, 347–358. [Google Scholar] [CrossRef]
- Cheng, S.; Lin, R.; You, Y.; Lin, T.; Zeng, Z.; Yu, C. Comparative sensitivity of Neoseiulus cucumeris and its prey Tetranychus cinnabarinus, after exposed to nineteen pesticides. Ecotoxicol. Environ. Saf. 2021, 217, 112234. [Google Scholar] [CrossRef] [PubMed]
- Jakubowska, M.; Dobosz, R.; Zawada, D.; Kowalska, J. A review of crop protection methods against the two spotted spider mite-Tetranychus urticae Koch (Acari: Tetranychidae)—With special reference to alternative methods. Agriculture 2022, 12, 898. [Google Scholar] [CrossRef]
- Szczepaniec, A.; Creary, S.F.; Laskowski, K.L.; Nyrop, J.P.; Raupp, M.J. Neonicotinoid insecticide imidacloprid causes outbreaks of spider mites on elm trees in urban landscapes. PLoS ONE 2011, 6, e20018. [Google Scholar] [CrossRef]
- Lo, P.L. Toxicity of pesticides to Halmus chalybeus (Coleoptera: Coccinellidae) and the effect of three fungicides on their densities in a citrus orchard. New Zeal. J. Crop Hortic. Sci. 2004, 32, 69–76. [Google Scholar] [CrossRef]
- Stadler, T.; Buteler, M. Modes of entry of petroleum distilled spray-oils into insects: A review. Bull. Insectol. 2009, 62, 169–177. [Google Scholar]
- Najar-Rodríguez, A.J.; Lavidis, N.A.; Mensah, R.K.; Choy, P.T.; Walter, G.H. The toxicological effects of petroleum spray oils on insects-evidence for an alternative mode of action and possible new control options. Food Chem. Toxicol. 2008, 46, 3003–3014. [Google Scholar] [CrossRef]
- Liu, H.; Jiang, G.; Zhang, Y.; Chen, F.; Li, X.; Yue, J.; Ran, C.; Zhao, Z. Effect of six insecticides on three populations of Bactrocera (Tetradacus) minax (Diptera: Tephritidae). Curr. Pharm. Biotechnol. 2015, 16, 77–83. [Google Scholar] [CrossRef]
- Tang, X.; Zhang, Y.-J.; Wu, Q.; Xie, W.; Wang, S. Stage-specific expression of resistance to different acaricides in four field populations of Tetranychus urticae (Acari: Tetranychidae). J. Econ. Entomol. 2014, 107, 1900–1907. [Google Scholar] [CrossRef]
- Tourani, M.A.; Abbasipour, H. Toxicity of selected plant-derived pesticides to the citrus spider mites (Acari: Tetranychidae) and their predator, Stethorus gilvifrons, in the semi-field conditions. Int. J. Acarol. 2021, 46, 644–651. [Google Scholar] [CrossRef]
- Monjarás-Barrera, J.I.; Chacón-Hernández, J.C.; Cerna-Chávez, E.; Ochoa-Fuentes, Y.M.; Aguirre-Uribe, L.A.; Landeros-Flores, J. Sublethal effect of abamectin in the functional response of the predator Phytoseiulus persimilis (Athias-Henriot) on Tetranychus urticae (Koch) (Acari: Phytoseiidae, Tetranychidae). Braz. J. Biol. 2019, 79, 273–277. [Google Scholar] [CrossRef] [PubMed]
- Hamedi, N.; Fathipour, Y.; Saber, M. Sublethal effects of abamectin on the biological performance of the predatory mite, Phytoseius plumifer (Acari: Phytoseiidae). Exp. Appl. Acarol. 2011, 53, 29–40. [Google Scholar] [CrossRef]
- Ibrahim, Y.B.; Yee, T.S. Influence of sublethal exposure to abamectin on the biological performance of Neoseiulus longispinosus (Acari: Phytoseiidae). J. Econ. Entomol. 2000, 93, 1085–1089. [Google Scholar] [CrossRef] [PubMed]
- El-Saber Batiha, G.; Alqahtani, A.; Ilesanmi, O.B.; Saati, A.A.; El-Mleeh, A.; Hetta, H.F.; Magdy Beshbishy, A. Avermectin derivatives, pharmacokinetics, therapeutic and toxic dosages, mechanism of action, and their biological effects. Pharmaceuticals 2020, 13, 196. [Google Scholar] [CrossRef]


| Acaricides | Type | Species | Concentration Gradient (mg/L) |
|---|---|---|---|
| Abamectin | Antibiotics | Mites | 0, 0.25, 0.5, 1, 2, 4 |
| Adults and larvae of ladybugs | 0, 2, 4, 8, 20, 50 | ||
| Pyridaben | Heterocyclic | Mites | 0, 0.25, 0.5, 1, 2, 4 |
| Adults and larvae of ladybugs | 0, 18.75, 37.5, 75, 150, 300 | ||
| Spirotetramat | Quaternonic acid | Mites | 0, 7, 14, 28, 56, 112 |
| Adults and larvae of ladybugs | 0, 14, 28, 56, 112, 224, 448 | ||
| Petroleum oil | Mineral origin | Mites, adults and larvae of ladybugs | 0, 625, 1250, 2500, 5000, 10,000 |
| Species | Acaricides | N | χ2 | df | Slope ± SE | LC20 (mg/L) (95% CL) | LC50 (mg/L) (95% CL) | LC90 (mg/L) (95% CL) | Recommended Field Dose (mg/L) | STR | SF |
|---|---|---|---|---|---|---|---|---|---|---|---|
| Mites | Abamectin | 540 | 2.424 | 3 | 2.30 ± 0.24 | 0.14 (0.09–0.18) | 0.32 (0.26–0.38) | 1.16 (0.96–1.50) | 1.20–3.00 | - | - |
| Pyridaben | 540 | 9.512 | 3 | 1.37 ± 0.15 | 0.19 (0.01–0.41) | 0.77 (0.30–1.52) | 6.65 (2.69–248.78) | 22.23–33.35 | - | - | |
| Spirotetramat | 540 | 3.684 | 3 | 1.18 ± 0.15 | 2.87 (1.30–4.68) | 14.78 (10.72–18.96) | 179.44 (113.57–373.96) | 44.80–74.67 | - | - | |
| Petroleum oil | 540 | 0.645 | 3 | 1.68 ± 1.17 | 446.69 (290.88–604.48) | 1414.36 (1142.92–1695.85) | 8180.15 (6182.31–12,177.16) | 3960.00–6600.00 | - | - | |
| Adult ladybugs | Abamectin | 180 | 2.794 | 3 | 1.25 ± 0.24 | 1.22 (0.36–2.26) | 5.75 (3.49–8.58) | 60.88 (31.49–232.14) | 1.20–3.00 | 17.97 | 1.92–4.79 |
| Pyridaben | 180 | 0.423 | 3 | 1.14 ± 0.26 | 20.07 (5.75–35.17) | 109.72 (71.55–196.93) | 1458.11 (555.98–16,228.88) | 22.23–33.35 | 142.49 | 3.29–4.94 | |
| Spirotetramat | 180 | 0.018 | 3 | 0.83 ± 0.25 | 10.83 (0.73–23.94) | 112.49 (63.13–407.53) | 3973.55 (772.26–2,211,048.65) | 44.80–74.67 | 7.61 | 1.51–2.51 | |
| Petroleum oil | 180 | 0.679 | 3 | 0.93 ± 0.26 | 534.40 (68.52–1087.61) | 4328.38 (2581.76–10,843.12) | 104,628.70 (26,965.73–8,647,436.47) | 3960.00–6600.00 | 3.06 | 0.66–1.09 | |
| Larvae ladybugs | Abamectin | 180 | 0.872 | 3 | 0.93 ± 0.22 | 1.31 (0.21–2.79) | 10.45 (6.02–19.38) | 246.62 (80.23–4507.69) | 1.20–3.00 | 32.66 | 3.48–8.71 |
| Pyridaben | 180 | 0.298 | 3 | 0.86 ± 0.25 | 14.75 (1.25–31.83) | 140.52 (80.64–432.26) | 4349.86 (940.86–11,239,080.53) | 22.23–33.35 | 182.49 | 4.21–6.32 | |
| Spirotetramat | 180 | 1.365 | 3 | 0.95 ± 0.26 | 24.54 (3.67–48.81) | 189.66 (114.35–453.64) | 4269.28 (1156.41–251,385.30) | 44.80–74.67 | 12.83 | 2.54–4.23 | |
| Petroleum oil | 180 | 0.143 | 3 | 1.11 ± 0.26 | 529.71 (120.90–986.00) | 3050.96 (1937.22–5255.81) | 43,884.84 (16,727.33–531,544.38) | 3960.00–6600.00 | 2.16 | 0.46–0.77 |
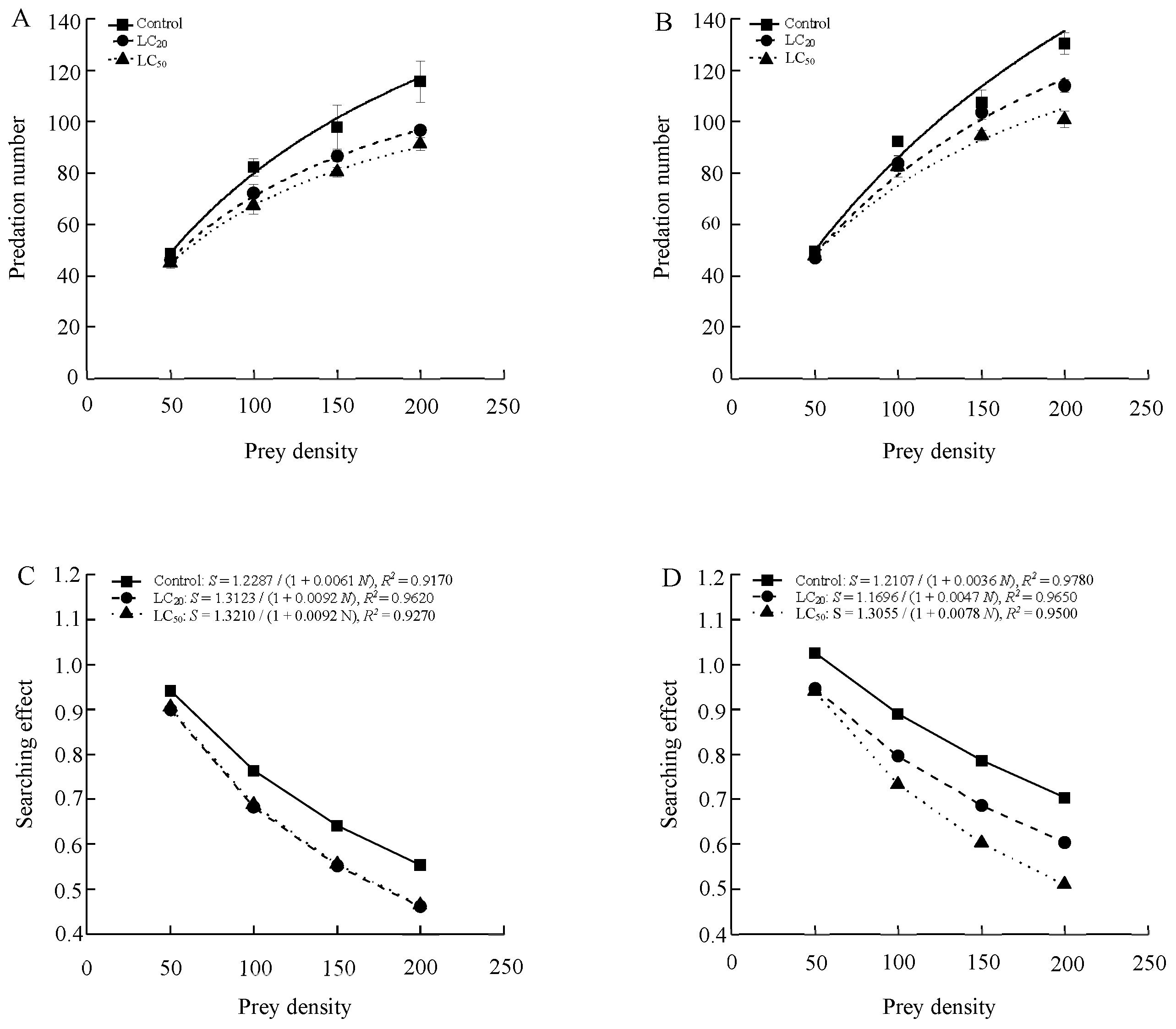
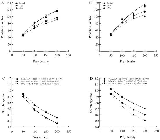
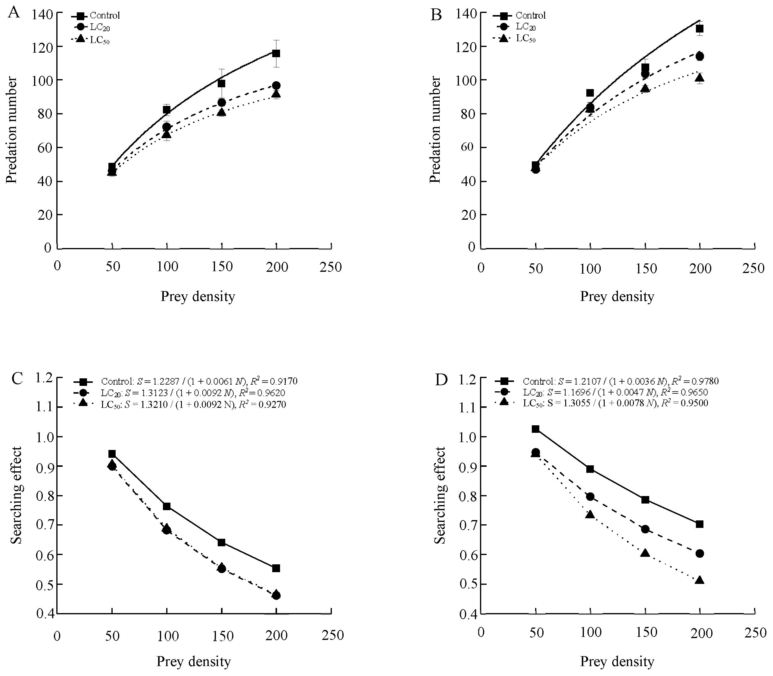
| Treatment | Number of Prey Eaten at Four Prey Densities (50 to 200) | ||||
|---|---|---|---|---|---|
| 50 | 100 | 150 | 200 | ||
| Males | Control | 48.6 ± 0.93 a | 82.2 ± 3.62 a | 97.8 ± 8.49 a | 115.6 ± 8.02 a |
| LC20 | 46 ± 0.71 ab | 72 ± 3.65 ab | 86.6 ± 2.11 ab | 96.6 ± 1.81 b | |
| LC50 | 44.8 ± 1.71 b | 67.4 ± 3.50 b | 80.2 ± 1.93 b | 91.2 ± 2.44 b | |
| Females | Control | 49.6 ± 0.24 a | 92.2 ± 1.91 a | 107.6 ± 4.69 a | 130.4 ± 4.18 a |
| LC20 | 47 ± 1.41 a | 83.8 ± 3.07 ab | 103.6 ± 2.56 ab | 114 ± 2.51 b | |
| LC50 | 47.4 ± 0.93 a | 82.4 ± 4.13 b | 94.6 ± 2.20 b | 100.8 ± 3.34 c | |
| Treatment | Holling-II Disk Equation | R2 | a | Th (d) | a/Th | 1/Th | χ2 | p | |
|---|---|---|---|---|---|---|---|---|---|
| Males | Control | Na = 1.2287 N/(1 + 0.0061 N) | 0.9170 | 1.2887 | 0.0050 | 245.74 | 200.00 | 0.131 | 0.988 |
| LC20 | Na = 1.3123 N/(1 + 0.0092 N) | 0.9620 | 1.3123 | 0.0070 | 187.47 | 142.86 | 0.029 | 0.999 | |
| LC50 | Na = 1.3210 N/(1 + 0.0092 N) | 0.9270 | 1.3210 | 0.0070 | 188.71 | 142.86 | 0.036 | 0.998 | |
| Females | Control | Na = 1.2107 N/(1 + 0.0036 N) | 0.9780 | 1.2107 | 0.0030 | 403.57 | 333.33 | 0.931 | 0.818 |
| LC20 | Na = 1.1696 N/(1 + 0.0047 N) | 0.9650 | 1.1696 | 0.0040 | 292.40 | 250.00 | 0.618 | 0.892 | |
| LC50 | Na = 1.3055 N/(1 + 0.0078 N) | 0.9500 | 1.3055 | 0.0060 | 217.58 | 166.67 | 0.756 | 0.860 |
| Treatment | Longevity of Male Adults (d) | Longevity of Female Adults (d) |
|---|---|---|
| Control | 12.33 ± 0.73 a | 12.38 ± 0.77 a |
| LC20 | 8.38 ± 0.51 b | 10.04 ± 0.69 b |
| LC50 | 7.25 ± 0.46 b | 9.21 ± 0.61 b |
Disclaimer/Publisher’s Note: The statements, opinions and data contained in all publications are solely those of the individual author(s) and contributor(s) and not of MDPI and/or the editor(s). MDPI and/or the editor(s) disclaim responsibility for any injury to people or property resulting from any ideas, methods, instructions or products referred to in the content. |
© 2025 by the authors. Licensee MDPI, Basel, Switzerland. This article is an open access article distributed under the terms and conditions of the Creative Commons Attribution (CC BY) license (https://creativecommons.org/licenses/by/4.0/).
Share and Cite
Guo, H.; Zhang, D.; Wang, H.; He, X.; Wang, S.; Lu, Y. Safety and Sublethal Effects of Acaricides on Stethorus punctillum, a Neglected Key Natural Enemy of Phytophagous Mites. Toxics 2025, 13, 346. https://doi.org/10.3390/toxics13050346
Guo H, Zhang D, Wang H, He X, Wang S, Lu Y. Safety and Sublethal Effects of Acaricides on Stethorus punctillum, a Neglected Key Natural Enemy of Phytophagous Mites. Toxics. 2025; 13(5):346. https://doi.org/10.3390/toxics13050346
Chicago/Turabian StyleGuo, Huan, Dawei Zhang, Haoyu Wang, Xiaoling He, Senshan Wang, and Yanhui Lu. 2025. "Safety and Sublethal Effects of Acaricides on Stethorus punctillum, a Neglected Key Natural Enemy of Phytophagous Mites" Toxics 13, no. 5: 346. https://doi.org/10.3390/toxics13050346
APA StyleGuo, H., Zhang, D., Wang, H., He, X., Wang, S., & Lu, Y. (2025). Safety and Sublethal Effects of Acaricides on Stethorus punctillum, a Neglected Key Natural Enemy of Phytophagous Mites. Toxics, 13(5), 346. https://doi.org/10.3390/toxics13050346

