Cadmium Minimization in Grains of Maize and Wheat Grown on Smelting-Impacted Land Ameliorated by Limestone
Abstract
1. Introduction
2. Materials and Methods
2.1. Field Location
2.2. Experimental Method
2.3. Soil and Plant Sampling
2.4. Sample Analyses
2.5. Data Collection and Statistics
3. Results
3.1. Soil pH
3.2. Soil Cd Speciation
3.3. DTPA-Extractable Cd
3.4. Cd Content in Maize and Wheat
3.5. The Relationship between Grain Cd and DTPA-Extractable Cd
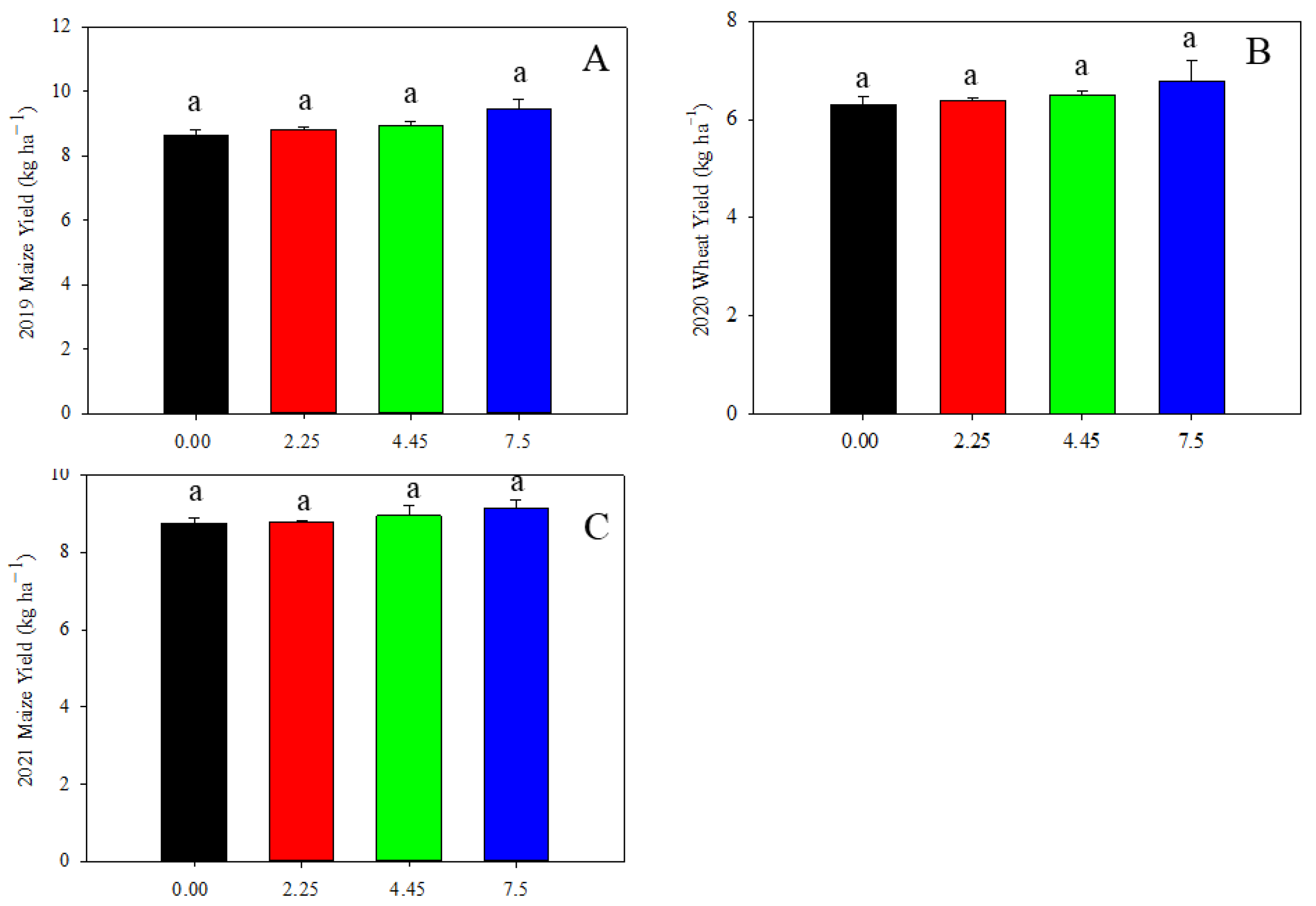
3.6. The Effect of Limestone on Wheat and Maize Grain Yield
4. Discussion
4.1. Limestone Addition Significantly Increased Soil pH
4.2. Limestone Promotes Soil Cd Transformation and Decreases Cd Bioavailability in Smelting-Impacted Farmland in Northern China
4.3. Limestone Decreases Wheat and Maize Grain Cd Accumulation
5. Conclusions
Supplementary Materials
Author Contributions
Funding
Institutional Review Board Statement
Informed Consent Statement
Data Availability Statement
Acknowledgments
Conflicts of Interest
References
- Smolders, E.; Mertens, J. Key heavy metals and metalloids: Cadmium. In Heavy Metals in Soils: Trace Metals and Metalloids in Soils and their Bioavailability; Springer: Berlin/Heidelberg, Germany, 2013; pp. 283–311. [Google Scholar]
- Zhao, F.J.; Ma, Y.; Zhu, Y.-G.; Tang, Z.; McGrath, S.P. Soil contamination in China: Current status and mitigation strategies. Environ. Sci. Technol. 2015, 49, 750–759. [Google Scholar] [CrossRef]
- Luo, L.; Ma, Y.; Zhang, S.; Wei, D.; Zhu, Y.-G. An inventory of trace element inputs to agricultural soils in China. J. Environ. Manag. 2009, 90, 2524–2530. [Google Scholar] [CrossRef]
- Jones, K.C.; Johnston, A.E. Cadmium in cereal grain and herbage from long-term experimental plots at Rothamsted, UK. Environ. Pollut. 1989, 57, 199–216. [Google Scholar] [CrossRef]
- Zhuang, P.; McBride, M.B. Changes During a Century in Trace Element and Macronutrient Concentrations of an Agricultural Soil. Soil. Sci. 2013, 178, 105–108. [Google Scholar] [CrossRef]
- Gray, C.W.; McDowell, R.W.; Noble, A.D.L. Total soil cadmium concentrations in the Winchmore long-term phosphorus fertiliser trial are still increasing. N. Z. J. Agric. Res. 2020, 65, 103–110. [Google Scholar] [CrossRef]
- Zhang, X.; Chen, D.; Zhong, T.; Zhang, X.; Cheng, M.; Li, X. Assessment of cadmium (Cd) concentration in arable soil in China. Environ. Sci. Pollut. Res. Int. 2015, 22, 4932–4941. [Google Scholar] [CrossRef]
- Peng, H.; Chen, Y.; Weng, L.; Ma, J.; Ma, Y.; Li, Y.; Islam, S. Comparisons of heavy metal input inventory in agricultural soils in North and South China: A review. Sci. Total Environ. 2019, 660, 776–786. [Google Scholar] [CrossRef]
- Wang, S.; Huang, D.-Y.; Zhu, Q.-H.; Zhu, H.-H.; Liu, S.-L.; Luo, Z.-C.; Cao, X.-L.; Wang, J.-Y.; Rao, Z.-X.; Shen, X. Speciation and phytoavailability of cadmium in soil treated with cadmium-contaminated rice straw. Environ. Sci. Pollut. Res. Int. 2015, 22, 2679–2686. [Google Scholar] [CrossRef]
- Zhao, F.-J.; Wang, P. Arsenic and cadmium accumulation in rice and mitigation strategies. Plant Soil. 2019, 446, 1–21. [Google Scholar] [CrossRef]
- Mclaughlin, M.J.; Smolders, E.; Degryse, F.; Rietra, R. Uptake of metals from soil into vegetables—Chapter 8. In Dealing with Contaminated Sites: From Theory towards Practical Application; Springer: Berlin/Heidelberg, Germany, 2010. [Google Scholar]
- Clemens, S.; Aarts, M.G.; Thomine, S.; Verbruggen, N. Plant science: The key to preventing slow cadmium poisoning. Trends Plant Sci. 2013, 18, 92–99. [Google Scholar] [CrossRef] [PubMed]
- Kries, I.A.; Wijga, A.; Wijnen, J.H.V. Assessment of the lifetime accumulated cadmium intake from food in kempenland. Sci. Total Environ. 1992, 127, 281–292. [Google Scholar] [CrossRef]
- Nawrot, T.; Plusquin, M.; Hogervorst, J.; Roels, H.; Celis, H.; Thijs, L.; Vangronsveld, J.; Van Hecke, E.; Staessen, J. Environmental exposure to cadmium and risk of cancer: A prospective population-based study. Lancet Oncol. 2006, 7, 119–126. [Google Scholar] [CrossRef]
- Song, Y.; Wang, Y.; Mao, W.; Sui, H.; Yong, L.; Yang, D.; Jiang, D.; Zhang, L.; Gong, Y. Dietary cadmium exposure assessment among the Chinese population. PLoS ONE 2017, 12, e0177978. [Google Scholar] [CrossRef]
- Chen, H.; Tang, Z.; Wang, P.; Zhao, F.-J. Geographical variations of cadmium and arsenic concentrations and arsenic speciation in Chinese rice. Environ. Pollut. 2018, 238, 482–490. [Google Scholar] [CrossRef]
- Hu, Y.; Cheng, H.; Tao, S. The Challenges and Solutions for Cadmium-contaminated Rice in China: A Critical Review. Environ. Int. 2016, 92–93, 515–532. [Google Scholar] [CrossRef]
- Duan, G.; Shao, G.; Tang, Z.; Chen, H.; Wang, B.; Tang, Z.; Yang, Y.; Liu, Y.; Zhao, F.-J. Genotypic and Environmental Variations in Grain Cadmium and Arsenic Concentrations Among a Panel of High Yielding Rice Cultivars. Rice 2017, 10, 9. [Google Scholar] [CrossRef]
- Sui, F.-Q.; Chang, J.-D.; Tang, Z.; Liu, W.-J.; Huang, X.-Y.; Zhao, F.-J. Nramp5 expression and functionality likely explain higher cadmium uptake in rice than in wheat and maize. Plant Soil 2018, 433, 377–389. [Google Scholar] [CrossRef]
- Li, X.F.; Zhou, D.M. A Meta-Analysis on Phenotypic Variation in Cadmium Accumulation of Rice and Wheat: Implications for Food Cadmium Risk Control. Pedosphere 2019, 29, 545–553. [Google Scholar] [CrossRef]
- Zaid, I.U.; Muhammad, S.H.; Zhang, N.; Zheng, X.; Wang, L.; Li, X. Phenotypic variations of wheat cultivars from the North China Plain in response to cadmium stress and associated single nucleotide polymorphisms identified by a genome-wide association study. Pedosphere 2022, 32, 555–564. [Google Scholar] [CrossRef]
- Xing, W.; Zhang, H.; Scheckel, K.G.; Li, L. Heavy metal and metalloid concentrations in components of 25 wheat (Triticum aestivum) varieties in the vicinity of lead smelters in Henan province, China. Environ. Monit. Assess. 2016, 188, 23. [Google Scholar] [CrossRef] [PubMed]
- Li, L.; Zhang, Y.; Ippolito, J.A.; Xing, W.; Tu, C. Lead smelting alters wheat flour heavy metal concentrations and health risks. J. Environ. Qual. 2021, 50, 454–464. [Google Scholar] [CrossRef] [PubMed]
- Wiebe, K.; Harris, N.S.; Faris, J.D.; Clarke, J.M.; Knox, R.E.; Taylor, G.J.; Pozniak, C.J. Targeted mapping of Cdu1, a major locus regulating grain cadmium concentration in durum wheat (Triticum turgidum L. var durum). Theor. Appl. Genet. 2010, 121, 1047–1058. [Google Scholar] [CrossRef] [PubMed]
- Zhuang, Z.; Niño-Savala, A.G.; Mi, Z.-D.; Wan, Y.-N.; Su, D.-C.; Li, H.-F.; Fangmeier, A. Cadmium accumulation in wheat and maize grains from China: Interaction of soil properties, novel enrichment models and soil thresholds. Environ. Pollut. 2021, 275, 116623. [Google Scholar] [CrossRef]
- Bolan, N.S.; Makino, T.; Kunhikrishnan, A.; Kim, P.J.; Ishikawa, S.; Murakami, M.; Naidu, R.; Kirkham, M.B. Cadmium Contamination and Its Risk Management in Rice Ecosystems. Adv. Agron. 2013, 119, 183–273. [Google Scholar]
- Wang, A.S.; Angle, J.S.; Chaney, R.L.; Delorme, T.A.; Reeves, R.D. Soil pH effects on uptake of Cd and Zn by Thlaspi caerulescens. Plant Soil. 2006, 281, 325–337. [Google Scholar] [CrossRef]
- Wang, J.; Wang, P.-M.; Gu, Y.; Kopittke, P.M.; Zhao, F.-J.; Wang, P. Iron-Manganese (Oxyhydro)oxides, Rather than Oxidation of Sulfides, Determine Mobilization of Cd during Soil Drainage in Paddy Soil Systems. Environ. Sci. Technol. 2019, 53, 2500–2508. [Google Scholar] [CrossRef] [PubMed]
- Blake, L.; Goulding, K.W.T. Effects of atmospheric deposition, soil pH and acidification on heavy metal contents in soils and vegetation of semi-natural ecosystems at Rothamsted Experimental Station, UK. Plant Soil 2002, 240, 235–251. [Google Scholar] [CrossRef]
- Guo, J.H.; Liu, X.J.; Zhang, Y.; Shen, J.L.; Han, W.X.; Zhang, W.F.; Christie, P.; Goulding, K.W.T.; Vitousek, P.M.; Zhang, F.S. Significant Acidification in Major Chinese Croplands. Science 2010, 327, 1008–1010. [Google Scholar] [CrossRef] [PubMed]
- Zhu, Q.; de Vries, W.; Liu, X.; Hao, T.; Zeng, M.; Shen, J.; Zhang, F. Enhanced acidification in Chinese croplands as derived from element budgets in the period 1980-2010. Sci. Total Environ. 2018, 618, 1497–1505. [Google Scholar] [CrossRef]
- Wu, Z.; Sun, X.; Sun, Y.; Yan, J.; Zhao, Y.; Chen, J. Soil acidification and factors controlling topsoil pH shift of cropland in central China from 2008 to 2018. Geoderma. 2022, 408, 115586. [Google Scholar] [CrossRef]
- Tian, D.; Niu, S. A global analysis of soil acidification caused by nitrogen addition. Environ. Res. Lett. 2015, 10, 024019. [Google Scholar] [CrossRef]
- Gray, C.W.; Mclaren, R.G.; Roberts, A.H.C.; Condron, L.M. Effect of soil pH on cadmium phytoavailability in some New Zealand soils. N. Z. J. Crop Hortic. Sci. 1999, 27, 169–179. [Google Scholar] [CrossRef]
- Romkens, P.F.; Guo, H.-Y.; Chu, C.-L.; Liu, T.-S.; Chiang, C.-F.; Koopmans, G.F. Characterization of soil heavy metal pools in paddy fields in Taiwan: Chemical extraction and solid-solution partitioning. J. Soils Sediments 2009, 9, 216–228. [Google Scholar] [CrossRef]
- Chen, H.; Zhang, W.; Yang, X.; Wang, P.; McGrath, S.P.; Zhao, F.-J. Effective methods to reduce cadmium accumulation in rice grain. Chemosphere 2018, 207, 699–707. [Google Scholar] [CrossRef] [PubMed]
- Wang, P.; Chen, H.; Kopittke, P.M.; Zhao, F.-J. Cadmium contamination in agricultural soils of China and the impact on food safety. Environ. Pollut. 2019, 249, 1038–1048. [Google Scholar] [CrossRef] [PubMed]
- Sui, F.; Zhao, D.; Zhu, H.; Gong, Y.; Tang, Z.; Huang, X.-Y.; Zhang, G.; Zhao, F.-J. Map-based cloning of a new total loss-of-function allele of OsHMA3 causes high cadmium accumulation in rice grain. J. Exp. Bot. 2019, 70, 2857–2871. [Google Scholar] [CrossRef] [PubMed]
- GB/T 23739-2009; Soil quality—Analysis of available lead and cadmium contents in soils—Atomic absorption spectrometry (In Chinese). Available online: https://openstd.samr.gov.cn/bzgk/gb/newGbInfo?hcno=A4096576E2DEC4738952D47061AF2234 (accessed on 1 May 2019).
- Tessier, A.; Campbell, P.; Bisson, M.J.A.C. Sequential extraction procedure for the speciation of particulate trace metals. Anal. Chem. 1979, 51, 844–851. [Google Scholar] [CrossRef]
- National Standard Sample Sharing Platform. Available online: http://www.gbwpt.cn (accessed on 18 July 2020).
- Hou, R.; Wang, L.; O’Connor, D.; Tsang, D.C.; Rinklebe, J.; Hou, D. Effect of immobilizing reagents on soil Cd and Pb lability under freeze-thaw cycles: Implications for sustainable agricultural management in seasonally frozen land. Environ. Int. 2020, 144, 106040. [Google Scholar] [PubMed]
- Jiang, X.; Yang, Y.; Wang, Q.; Liu, N.; Li, M. Seasonal variations and feedback from microplastics and cadmium on soil organisms in agricultural fields. Environ. Int. 2022, 161, 107096. [Google Scholar] [CrossRef]
- Zhu, H.; Chen, C.; Xu, C.; Zhu, Q.; Huang, D. Effects of soil acidification and liming on the phytoavailability of cadmium in paddy soils of central subtropical China. Environ. Pollut. 2016, 219, 99–106. [Google Scholar] [CrossRef]
- Hong, C.O.; Lee, D.K.; Chung, D.Y.; Kim, P.J. Liming effects on cadmium stabilization in upland soil affected by gold mining activity. Arch. Environ. Contam. Toxicol. 2007, 52, 496–502. [Google Scholar] [CrossRef] [PubMed]
- Bolan, N.S.; Adriano, D.C.; Curtin, D. Soil acidification and liming interactions with nutrientand heavy metal transformationand bioavailability. Adv. Agron. 2003, 78, 215–272. [Google Scholar]
- Zeng, F.; Ali, S.; Zhang, H.; Ouyang, Y.; Qiu, B.; Wu, F.; Zhang, G. The influence of pH and organic matter content in paddy soil on heavy metal availability and their uptake by rice plants. Environ. Pollut. 2011, 159, 84–91. [Google Scholar] [CrossRef] [PubMed]
- Elbana, T.A.; Selim, H.M. Modeling of cadmium and nickel release from different soils. Geoderma 2019, 338, 78–87. [Google Scholar] [CrossRef]
- Liu, R.; Lian, B. Immobilisation of Cd(II) on biogenic and abiotic calcium carbonate. J. Hazard. Mater. 2019, 378, 120707. [Google Scholar] [CrossRef] [PubMed]
- Ueno, D.; Yamaji, N.; Kono, I.; Huang, C.F.; Ando, T.; Yano, M.; Ma, J.F. Gene limiting cadmium accumulation in rice. Proc. Natl. Acad. Sci. USA 2010, 107, 16500–16505. [Google Scholar] [CrossRef]
- Zhang, L.; Gao, C.; Chen, C.; Zhang, W.; Huang, X.-Y.; Zhao, F.-J. Overexpression of rice OsHMA3 in wheat greatly decreases cadmium accumulation in wheat grains. Environ. Sci. Technol. 2020, 54, 10100–10108. [Google Scholar] [CrossRef] [PubMed]
- Tang, B.; Luo, M.; Zhang, Y.; Guo, H.; Li, J.; Song, W.; Zhang, R.; Feng, Z.; Kong, M.; Li, H.; et al. Natural variations in the P-type ATPase heavy metal transporter gene ZmHMA3 control cadmium accumulation in maize grains. J. Exp. Bot. 2021, 72, 6230–6246. [Google Scholar] [CrossRef] [PubMed]
- Yan, J.; Fischel, M.; Chen, H.; Siebecker, M.G.; Wang, P.; Zhao, F.-J.; Sparks, D.L. Cadmium speciation and release kinetics in a paddy soil as affected by soil amendments and flooding-draining cycle. Environ. Pollut. 2021, 268, 115944. [Google Scholar] [CrossRef] [PubMed]
- Modareszadeh, M.; Bahmani, R.; Kim, D.; Hwang, S. CAX3 (cation/proton exchanger) mediates a Cd tolerance by decreasing ROS through Ca elevation in Arabidopsis. Plant Mol. Biol. 2021, 105, 115–132. [Google Scholar] [CrossRef]








Disclaimer/Publisher’s Note: The statements, opinions and data contained in all publications are solely those of the individual author(s) and contributor(s) and not of MDPI and/or the editor(s). MDPI and/or the editor(s) disclaim responsibility for any injury to people or property resulting from any ideas, methods, instructions or products referred to in the content. |
© 2024 by the authors. Licensee MDPI, Basel, Switzerland. This article is an open access article distributed under the terms and conditions of the Creative Commons Attribution (CC BY) license (https://creativecommons.org/licenses/by/4.0/).
Share and Cite
Sui, F.; Yang, Y.; Wu, Y.; Yan, J.; Fu, H.; Li, C.; Qin, S.; Wang, L.; Zhang, W.; Gao, W.; et al. Cadmium Minimization in Grains of Maize and Wheat Grown on Smelting-Impacted Land Ameliorated by Limestone. Toxics 2024, 12, 532. https://doi.org/10.3390/toxics12080532
Sui F, Yang Y, Wu Y, Yan J, Fu H, Li C, Qin S, Wang L, Zhang W, Gao W, et al. Cadmium Minimization in Grains of Maize and Wheat Grown on Smelting-Impacted Land Ameliorated by Limestone. Toxics. 2024; 12(8):532. https://doi.org/10.3390/toxics12080532
Chicago/Turabian StyleSui, Fuqing, Yanzheng Yang, Yong Wu, Jiali Yan, Haichao Fu, Chang Li, Shiyu Qin, Long Wang, Wenwen Zhang, Wei Gao, and et al. 2024. "Cadmium Minimization in Grains of Maize and Wheat Grown on Smelting-Impacted Land Ameliorated by Limestone" Toxics 12, no. 8: 532. https://doi.org/10.3390/toxics12080532
APA StyleSui, F., Yang, Y., Wu, Y., Yan, J., Fu, H., Li, C., Qin, S., Wang, L., Zhang, W., Gao, W., Liu, H., & Zhao, P. (2024). Cadmium Minimization in Grains of Maize and Wheat Grown on Smelting-Impacted Land Ameliorated by Limestone. Toxics, 12(8), 532. https://doi.org/10.3390/toxics12080532

