Key Component Analysis of the Time Toxicity Interaction of Five Antibiotics to Q67
Abstract
1. Introduction
2. Materials and Methods
2.1. Chemicals and Bacterial Culture
2.2. Five-Component Mixture Design
2.3. Time-Dependent Toxicity Test and Data Fitting
2.4. Pearson Correlation
2.5. Toxicological Interaction Assessment of Mixtures
2.5.1. Combined Index Method
2.5.2. Dose Reduction Index
3. Results and Discussion
3.1. Time-Dependent Toxicity of Five-Component Mixture to Q67
3.2. Analysis of the Toxic Effects of the Mixture on Q67
3.2.1. Mixed Toxic Interactions
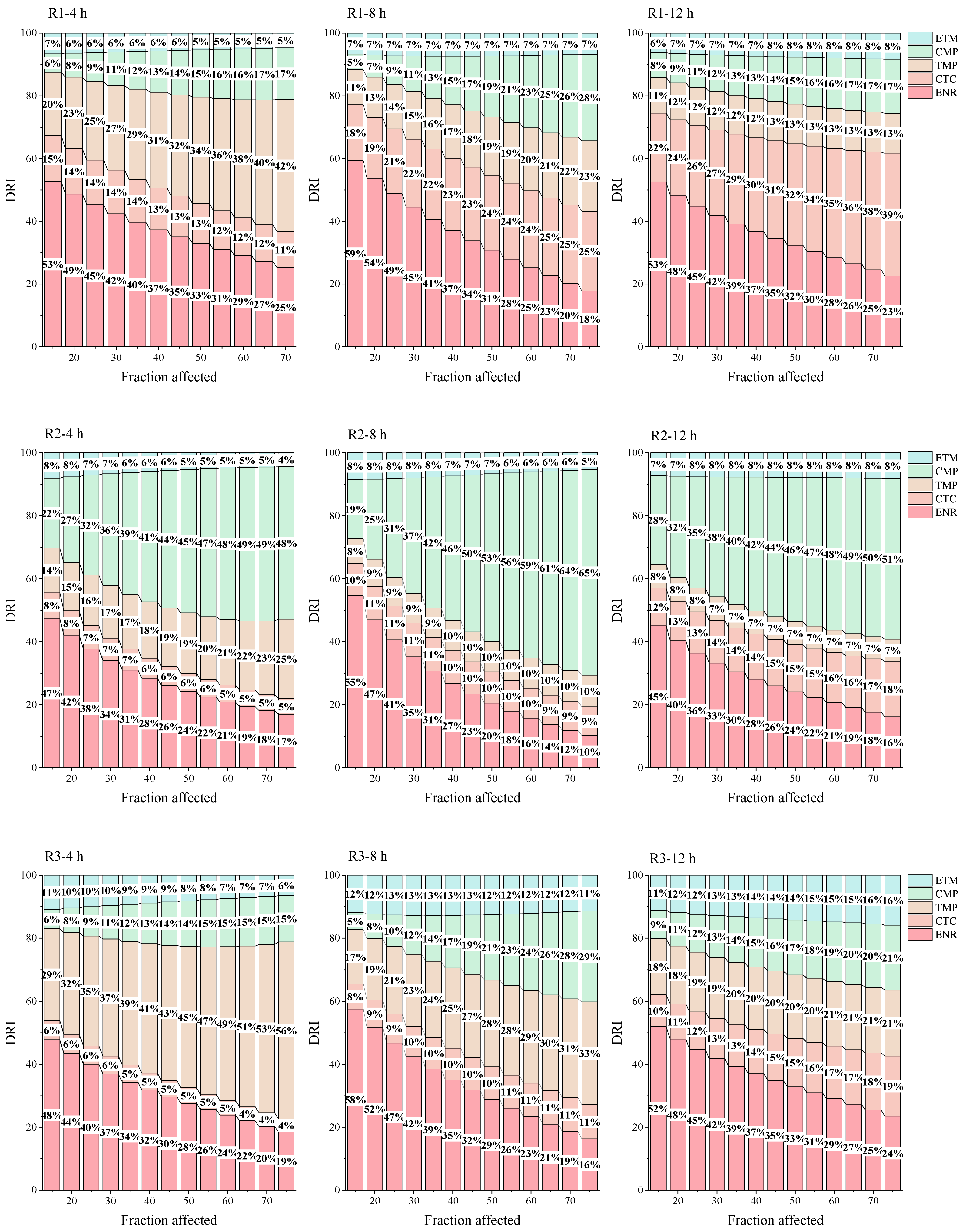
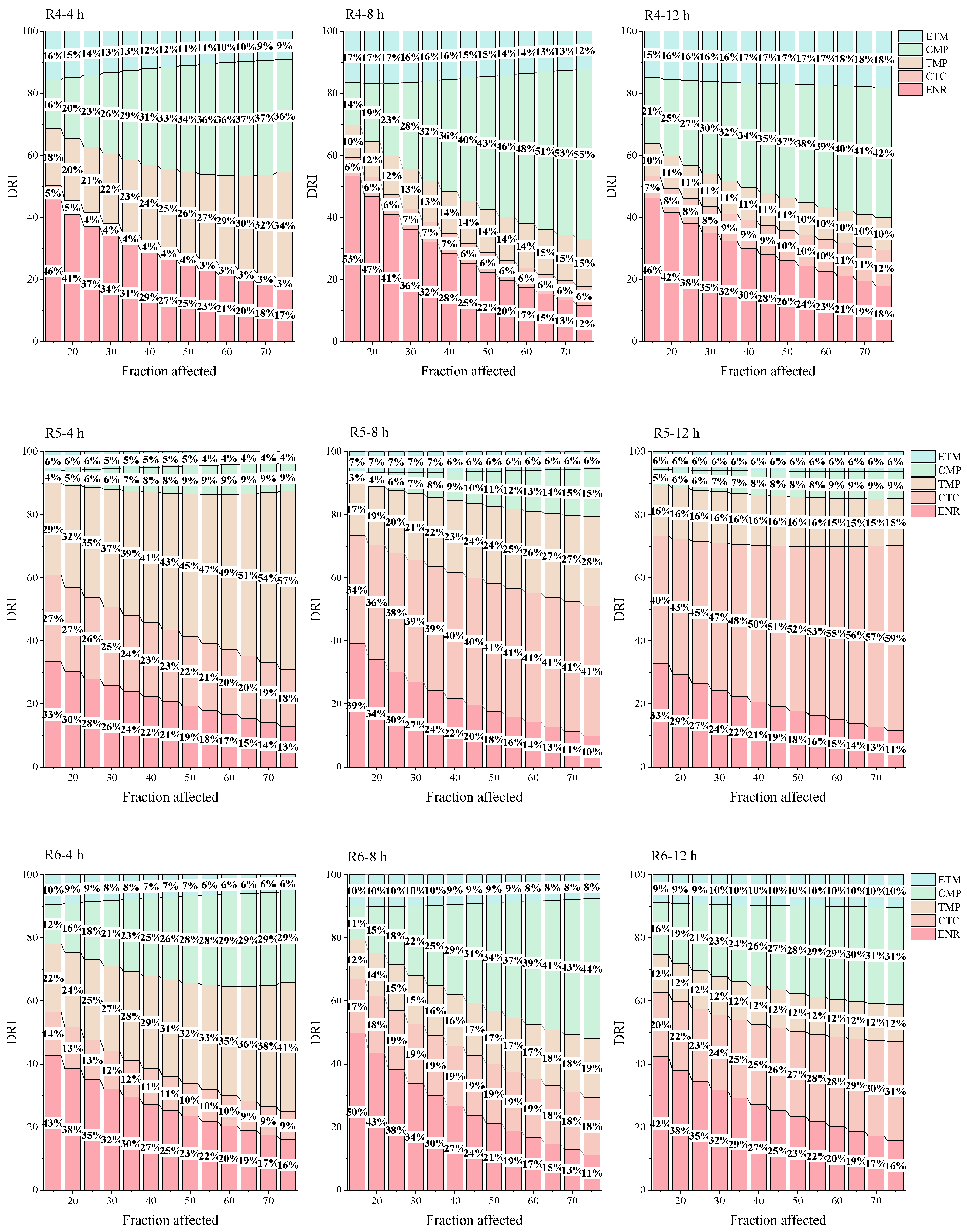
3.2.2. Analysis of Key Components of Mixture Toxicity Interactions
3.2.3. Distribution Pattern of Additive Action, Synergism, and Antagonism
4. Conclusions
Supplementary Materials
Author Contributions
Funding
Institutional Review Board Statement
Informed Consent Statement
Data Availability Statement
Conflicts of Interest
References
- Bu, Q.; Cao, Y.; Yu, G.; He, X.; Zhang, H.; Sun, J.; Yun, M.; Cao, Z. Identifying targets of potential concern by a screening level ecological risk assessment of human use pharmaceuticals in China. Chemosphere 2020, 246, 125818. [Google Scholar] [CrossRef] [PubMed]
- Chen, H.; Bai, X.; Li, Y.; Jing, L.; Chen, R.; Teng, Y. Characterization and source-tracking of antibiotic resistomes in the sediments of a peri-urban river. Sci. Total Environ. 2019, 679, 88–96. [Google Scholar] [CrossRef] [PubMed]
- Li, C.; Chen, J.; Wang, J.; Ma, Z.; Han, P.; Luan, Y.; Lu, A. Occurrence of antibiotics in soils and manures from greenhouse vegetable production bases of Beijing, China and an associated risk assessment. Sci. Total Environ. 2015, 521–522, 101–107. [Google Scholar] [CrossRef] [PubMed]
- Zhang, Q.; Ying, G.; Pan, C.; Liu, Y.; Zhao, J. Comprehensive evaluation of antibiotics emission and fate in the river basins of China: Source analysis, multimedia modeling, and linkage to bacterial resistance. Environ. Sci. Technol. 2015, 49, 6772–6782. [Google Scholar] [CrossRef] [PubMed]
- Manzetti, S.; Ghisi, R. The environmental release and fate of antibiotics. Mar. Pollut. Bull. 2014, 79, 7–15. [Google Scholar] [CrossRef] [PubMed]
- Qin, L.-T.; Pang, X.-R.; Zeng, H.-H.; Liang, Y.-P.; Mo, L.-Y.; Wang, D.-Q.; Dai, J.-F. Ecological and human health risk of sulfonamides in surface water and groundwater of Huixian karst wetland in Guilin, China. Sci. Total Environ. 2019, 708, 134552. [Google Scholar] [CrossRef] [PubMed]
- Jiang, L.; Hu, X.; Yin, D.; Zhang, H.; Yu, Z. Occurrence, distribution and seasonal variation of antibiotics in the Huangpu River, Shanghai, China. Chemosphere 2010, 82, 822–828. [Google Scholar] [CrossRef]
- Yue, W.; Mo, L.; Zhang, J. Reproductive toxicities of 1-ethyl-3-methylimidazolium bromide on Caenorhabditis elegans with oscillation between inhibition and stimulation over generations. Sci. Total Environ. 2020, 765, 144334. [Google Scholar] [CrossRef]
- Yu, Z.; Zhang, J.; Hou, M. The time-dependent stimulation of sodium halide salts on redox reactants, energy supply and luminescence in Vibrio fischeri. J. Hazard. Mater. 2017, 342, 429–435. [Google Scholar] [CrossRef] [PubMed]
- Mo, L.; Wang, J.; Qin, L.; Yang, Y.; Liang, N. Mechanism of time-dependent toxicity of quinolone antibiotics on luminescent bacteria Vibrio qinghaiensis sp.-Q67. Ecotoxicol. Environ. Saf. 2023, 255, 114784. [Google Scholar] [CrossRef]
- Bilal, M.; Ashraf, S.S.; Barceló, D.; Iqbal, H.M.N. Biocatalytic degradation/redefining “removal” fate of pharmaceutically active compounds and antibiotics in the aquatic environment. Sci. Total Environ. 2019, 691, 1190–1211. [Google Scholar] [CrossRef] [PubMed]
- Ben, Y.; Fu, C.; Hu, M.; Liu, L.; Wong, M.H.; Zheng, C. Human health risk assessment of antibiotic resistance associated with antibiotic residues in the environment: A review. Environ. Res. 2018, 169, 483–493. [Google Scholar] [CrossRef] [PubMed]
- Ding, T.; Dong, X.; Zhang, J.; Ban, L.; Lei, W. Comparison of Time-dependent Joint Toxicity Interaction Combined of Three Aminoglycoside Antibiotics between Two Aquatic Organisms. Asian J. Ecotoxicol. 2018, 13, 126–137. [Google Scholar] [CrossRef]
- Neale, P.A.; Leusch, F.D.L.; Escher, B.I. Applying mixture toxicity modelling to predict bacterial bioluminescence inhibition by non-specifically acting pharmaceuticals and specifically acting antibiotics. Chemosphere 2017, 173, 387–394. [Google Scholar] [CrossRef] [PubMed]
- Zhang, J.; Tao, M.; Song, C.; Sun, B. Time-dependent synergism of five-component mixture systems of aminoglycoside antibiotics to Vibrio qinghaiensis sp.-Q67 induced by a key component. RSC Adv. 2020, 10, 12365–12372. [Google Scholar] [CrossRef] [PubMed]
- Huang, P.; Wang, Y.; Liu, S.; Wang, Z.; Xu, Y. SAHmap: Synergistic-antagonistic heatmap to evaluate the combined synergistic effect of mixtures of three pesticides on multiple endpoints of Caenorhabditis elegans. Environ. Pollut. 2022, 315, 120378. [Google Scholar] [CrossRef] [PubMed]
- Nilén, G.; Obamwonyi, O.S.; LiemNguyen, V.; Engwall, M.; Larsson, M.; Keiter, S.H. Observed and predicted embryotoxic and teratogenic effects of organic and inorganic environmental pollutants and their mixtures in zebrafish (Danio rerio). Aquat. Toxicol. 2022, 248, 106175. [Google Scholar] [CrossRef] [PubMed]
- Beate, E.; Georg, B.; Christiane, Z. Exploring the Concepts of Concentration Addition and Independent Action Using a Linear Low-Effect Mixture Model. Environ. Toxicol. Chem. 2020, 39, 2552–2559. [Google Scholar] [CrossRef]
- Faust, M.; Altenburger, R.; Backhaus, T.; Blanck, H.; Boedeker, W.; Gramatica, P.; Hamer, V.; Scholze, M.; Vighi, M.; Grimme, L.H. Predicting the joint algal toxicity of multi-component s-triazine mixtures at low-effect concentrations of individual toxicants. Aquat. Toxicol. 2001, 56, 13–32. [Google Scholar] [CrossRef] [PubMed]
- Altenburger, R.; Backhaus, T.; Boedeker, W.; Faust, M.; Scholze, M.; Grimme, L.H. Predictability of the Toxicity of Multiple Chemical to Vibrio Fischeri: Mixtures Composed of Similarly Acting Chemicals. Environ. Toxicol. Chem. 2000, 19, 2341–2347. [Google Scholar] [CrossRef]
- Spurgeon, D.J.; Jones, O.A.H.; Dorne, J.-L.C.M.; Svendsen, C.; Swain, S.; Stürzenbaum, S.R. Systems toxicology approaches for understanding the joint effects of environmental chemical mixtures. Sci. Total Environ. 2010, 408, 3725–3734. [Google Scholar] [CrossRef] [PubMed]
- Li, K.; Liu, S.; Qu, R. Application of Combination Index in the Assessment of Combined Toxicity of Environmental Mixtures. Asian J. Ecotoxicol. 2017, 12, 62–71. [Google Scholar] [CrossRef]
- Chou, T.C. Theoretical basis, experimental design, and computerized simulation of synergism and antagonism in drug combination studies. Pharmacol. Rev. 2006, 58, 621–681. [Google Scholar] [CrossRef] [PubMed]
- Chen, C.; Wang, Y.; Qian, Y.; Zhao, X.; Wang, Q. The synergistic toxicity of the multiple chemical mixtures: Implications for risk assessment in the terrestrial environment. Environ. Int. 2015, 77, 95–105. [Google Scholar] [CrossRef] [PubMed]
- Yang, Y.; Liu, Y.; Qin, L.; Mo, L.; Wang, D. Assessment of Time-dependent Combined Toxicity of Antibiotic Binary Mixtures to Vibrio qinghaiensis sp-Q67 Based on Combination Index Method. Asian J. Ecotoxicol. 2023, 18, 449–461. [Google Scholar] [CrossRef]
- Kovalakova, P.; Cizmas, L.; McDonald, T.J.; Marsalek, B.; Feng, M.; Sharma, V.K. Occurrence and toxicity of antibiotics in the aquatic environment: A review. Chemosphere 2020, 251, 126351. [Google Scholar] [CrossRef] [PubMed]
- Li, T.; Liu, S.; Qu, R.; Liu, H. Global concentration additivity and prediction of mixture toxicities, taking nitrobenzene derivatives as an example. Ecotoxicol. Environ. Saf. 2017, 144, 475–481. [Google Scholar] [CrossRef]
- Zhang, Y.; Wang, X.; Hu, S.; Zhang, C.; Shen, G. Study on the method of Using Qinghaiensis Q67 Freeze-dried Powder to Detect Acute Toxicity. J. Anhui Agric. Sci. 2014, 42, 4746–4748. [Google Scholar] [CrossRef]
- Liu, S.-S.; Song, X.-Q.; Liu, H.-L.; Zhang, Y.-H.; Zhang, J. Combined photobacterium toxicity of herbicide mixtures containing one insecticide. Chemosphere 2009, 75, 381–388. [Google Scholar] [CrossRef]
- Zhu, X.; Liu, S.; Zhang, Q.; Liu, Y. Short-Term and Long-Term Toxicities of Selected Insecticides and Antibiotics on Photobacteria. Res. Environ. Sci. 2009, 22, 589–594. [Google Scholar] [CrossRef]
- Scholze, M.; Boedeker, W.; Faust, M.; Backhaus, T.; Altenburger, R.; Grimme, L.H. A general best-fit method for concentration-response curves and the estimation of low-effect concentrations. Environ. Toxicol. Chem. 2001, 20, 448–457. [Google Scholar] [CrossRef]
- Cedergreen, N.; Ritz, C.; Streibig, J.C. Improved empirical models describing hormesis. Environ. Toxicol. Chem. 2006, 24, 3166–3172. [Google Scholar] [CrossRef]
- Liu, L.; Liu, S.-S.; Yu, M.; Chen, F. Application of the combination index integrated with confidence intervals to study the toxicological interactions of antibiotics and pesticides in Vibrio qinghaiensis sp.-Q67. Environ. Toxicol. Pharmacol. 2014, 39, 447–456. [Google Scholar] [CrossRef] [PubMed]
- Yao, W.; Mo, L.; Fang, L.; Qin, L. Molecular dynamics simulations on interactions of five antibiotics with luciferase of Vibrio Qinghaiensis sp.-Q67. Ecotoxicol. Environ. Saf. 2023, 256, 114910. [Google Scholar] [CrossRef]
- Tao, M.; Liu, S.; Gu, Z.; Ding, T.; Huang, P. Beneficial or harmful: Time-dependent hormesis induced by typical disinfectants and their mixtures with toxicological interaction. Sci. Total Environ. 2023, 904, 167204. [Google Scholar] [CrossRef]
- Liu, S.; Liu, F.; Liu, H.L. Toxicities of 20 kinds of water-soluble organic solvents to Vibrio-qinghaiensis sp. Q67. China Environ. Sci. 2007, 27, 371–376. [Google Scholar] [CrossRef]
- Gu, Z.; Xie, Y.; Huang, P.; Ding, T.; Tao, M.; Liu, S. Time-dependent hormetic dose responses of skin care product mixtures to Vibrio qinghaiensis sp.-Q67: Appearance and quantification. Sci. Total Environ. 2023, 904, 166651. [Google Scholar] [CrossRef] [PubMed]
- Mo, L.; Liang, L.; Qin, L.; Qing, M.; Gao, H. Qualitative and Quantitative Assessment for the Toxicity Interaction of Mixtures Four Heavy Metals and Two Pesticides on Vibrio fischeri. Asian J. Ecotoxicol. 2018, 13, 251–260. [Google Scholar] [CrossRef]
- Liu, S.; Liu, L.; Chen, F. Application of the Concentration Addition Model in the Assessment of Chemical Mixture Toxicity. Acta Chim. Sin. 2013, 71, 1335–1340. [Google Scholar] [CrossRef]
- Zhang, J.; Tao, M.; Huang, Z.; Hong, G.; Zhu, S. Significant effects of two pesticides on the bacteriostatic activity and antioxidant ability of green tea polyphenols. RSC Adv. 2020, 10, 25662–25668. [Google Scholar] [CrossRef]
- Jakobs, G.; Krüger, J.; Schüttler, A.; Altenburger, R.; Busch, W. Mixture toxicity analysis in zebrafish embryo: A time and concentration resolved study on mixture effect predictivity. Environ. Sci. Eur. 2020, 32, 143. [Google Scholar] [CrossRef]
- Feng, L.; Liu, S.-S.; Li, K.; Tang, H.-X.; Liu, H.-L. The time-dependent synergism of the six-component mixtures of substituted phenols, pesticides and ionic liquids to Caenorhabditis elegans. J. Hazard. Mater. 2016, 327, 11–17. [Google Scholar] [CrossRef] [PubMed]
- Liu, S. Assessment and Prediction of Toxicity of Chemical Mixtures; China Science Publishing: Beijing, China, 2017; Volume 109. [Google Scholar]









| Categories | Antibiotics | CAS No. | Molecular Weight | Chemical Structure | Purity |
|---|---|---|---|---|---|
| Quinolones | Enrofloxacin (ENR) | 93106-60-6 | 359.395 | ![]() | 99.9% |
| Tetracyclines | Chlortetracycline (CTC) | 64-72-2 | 515.341 | ![]() | 93.4% |
| Sulfonamides | Trimethoprim (TMP) | 738-70-5 | 290.318 | ![]() | 99.6% |
| Chloramphenicols | Trimethoprim (CMP) | 56-75-7 | 323.129 | ![]() | 99.9% |
| Macrolides Antibiotics | Erythromycin (ETM) | 114-07-8 | 733.927 | ![]() | 99.9% |
| Ray | Enrofloxacin (ENR) | Chlortetracycline (CTC) | Trimethoprim (TMP) | Trimethoprim (CMP) | Erythromycin (ETM) |
|---|---|---|---|---|---|
| R1 | 0.015 | 0.107 | 0.562 | 0.142 | 0.174 |
| R2 | 0.014 | 0.159 | 0.677 | 0.032 | 0.118 |
| R3 | 0.018 | 0.280 | 0.434 | 0.152 | 0.116 |
| R4 | 0.016 | 0.302 | 0.567 | 0.049 | 0.066 |
| R5 | 0.027 | 0.065 | 0.442 | 0.256 | 0.209 |
| R6 | 0.022 | 0.135 | 0.621 | 0.081 | 0.142 |
| R7 | 0.029 | 0.277 | 0.299 | 0.243 | 0.152 |
| R8 | 0.022 | 0.289 | 0.506 | 0.093 | 0.090 |
| R9 | 0.015 | 0.258 | 0.492 | 0.138 | 0.096 |
| Name | Time/h | Function | a | β/b | c | d | e | f | R2 | RMSE | pEC50 |
|---|---|---|---|---|---|---|---|---|---|---|---|
| Enrofloxacin (ENR) | 4 | Cedergreen | 0.25 | 1.959 | 0.55 | −1.37 × 10−4 | 5.61 × 10−8 | −69.936 | 0.958 | 0.048 | 6.595 |
| 8 | Cedergreen | 0.16 | 3.935 | 0.851 | −0.021 | 1.10 × 10−8 | −1.92 × 108 | 0.981 | 0.063 | 7.152 | |
| 12 | Cedergreen | 0.163 | 4.813 | 0.963 | −0.051 | 1.06 × 10−8 | −8.59 × 108 | 0.996 | 0.042 | 7.281 | |
| Chlortetracycline (CTC) | 4 | Weibull | 9.118 | 1.547 | —— | —— | —— | —— | 0.977 | 0.033 | 6.133 |
| 8 | Weibull | 12.759 | 2.059 | —— | —— | —— | —— | 0.991 | 0.033 | 6.374 | |
| 12 | Weibull | 16.574 | 2.647 | —— | —— | —— | —— | 0.995 | 0.024 | 6.4 | |
| Trimethoprim (TMP) | 4 | Weibull | 7.667 | 1.53 | —— | —— | —— | —— | 0.921 | 0.056 | 5.012 |
| 8 | Weibull | 14.379 | 2.48 | —— | —— | —— | —— | 0.958 | 0.068 | 5.797 | |
| 12 | Weibull | 30.373 | 4.961 | —— | —— | —— | —— | 0.983 | 0.053 | 6.123 | |
| Trimethoprim (CMP) | 4 | Weibull | 8.627 | 1.457 | —— | —— | —— | —— | 0.971 | 0.023 | 5.92 |
| 8 | Weibull | 13.133 | 2.042 | —— | —— | —— | —— | 0.984 | 0.04 | 6.431 | |
| 12 | Weibull | 22.964 | 3.442 | —— | —— | —— | —— | 0.984 | 0.05 | 6.672 | |
| Erythromycin (ETM) | 4 | Weibull | 10.433 | 1.722 | —— | —— | —— | —— | 0.979 | 0.031 | 6.273 |
| 8 | Weibull | 16.676 | 2.526 | —— | —— | —— | —— | 0.978 | 0.051 | 6.747 | |
| 12 | Weibull | 41.778 | 6.185 | —— | —— | —— | —— | 0.992 | 0.037 | 6.814 |
| Mixture Ray | Time/h | Fitting Model | α | β | R2 | RMSE | pEC50 | NOEC | Interaction Type at the Effect Level |
|---|---|---|---|---|---|---|---|---|---|
| R1 | 4 | Weibull | 10.679 | 1.895 | 0.974 | 0.014 | 5.828 | 1.21 × 10−7 | 15~40%: ANT; 40~85%: ADD |
| 8 | Weibull | 12.953 | 2.150 | 0.949 | 0.038 | 6.195 | 1.21 × 10−7 | 15~85%: ADD | |
| 12 | Weibull | 12.713 | 2.073 | 0.951 | 0.043 | 6.310 | 1.21 × 10−7 | 15~45%: ADD; 45~85%: ANT | |
| R2 | 4 | Weibull | 12.835 | 2.228 | 0.976 | 0.017 | 5.925 | 1.46 × 10−7 | 15~50%: ADD; 50~85%: SYN |
| 8 | Weibull | 12.361 | 2.051 | 0.989 | 0.019 | 6.206 | 5.83 × 10−8 | 15~85%: ADD | |
| 12 | Weibull | 11.740 | 1.900 | 0.986 | 0.026 | 6.372 | 4.95 × 10−8 | 15~30%: SYN; 30~60%: ADD; 60~85%: ANT | |
| R3 | 4 | Weibull | 13.909 | 2.351 | 0.988 | 0.013 | 6.071 | 1.23 × 10−7 | 15~35%: ANT; 35~45%: SYN; 45~85%: SYN |
| 8 | Weibull | 11.812 | 1.934 | 0.988 | 0.020 | 6.296 | 1.23 × 10−7 | 15~85%: ADD | |
| 12 | Weibull | 12.482 | 1.994 | 0.985 | 0.027 | 6.445 | 1.23 × 10−7 | 15~25%: SYN; 25~60%: ADD; 60~85%: ANT | |
| R4 | 4 | Weibull | 8.565 | 1.524 | 0.976 | 0.018 | 5.862 | 6.03 × 10−8 | 15~85%: ADD |
| 8 | Weibull | 10.541 | 1.744 | 0.993 | 0.016 | 6.255 | 5.13 × 10−8 | 15~30%: SYN; 30~85%ADD | |
| 12 | Weibull | 10.378 | 1.662 | 0.983 | 0.030 | 6.467 | 4.22 × 10−8 | 15~40%: SYN; 40~85%ADD | |
| R5 | 4 | Weibull | 9.716 | 1.708 | 0.951 | 0.020 | 5.903 | 2.61 × 10−8 | 15~85%: ADD |
| 8 | Weibull | 11.299 | 1.831 | 0.983 | 0.022 | 6.372 | 2.61 × 10−8 | 15~85%: ADD | |
| 12 | Weibull | 10.627 | 1.659 | 0.983 | 0.029 | 6.625 | 1.49 × 10−8 | 15~40%: SYN; 40~70%: ADD; 70~85%: ANT | |
| R6 | 4 | Weibull | 11.039 | 1.917 | 0.968 | 0.018 | 5.951 | 4.06 × 10−8 | 15~70%: ADD; 70~85%: SYN |
| 8 | Weibull | 12.262 | 1.998 | 0.979 | 0.028 | 6.322 | 3.34 × 10−8 | 15~85%: ADD | |
| 12 | Weibull | 12.213 | 1.915 | 0.982 | 0.034 | 6.569 | 3.34 × 10−8 | 15~40%: SYN; 40~85%: ADD | |
| R7 | 4 | Weibull | 10.772 | 1.864 | 0.986 | 0.011 | 5.977 | 9.59 × 10−8 | 15~50%: ANT; 50~85%: ADD |
| 8 | Weibull | 13.752 | 2.194 | 0.984 | 0.025 | 6.436 | 9.59 × 10−8 | 15~85%: ADD | |
| 12 | Weibull | 12.342 | 1.912 | 0.992 | 0.022 | 6.648 | 3.84 × 10−8 | 15~50%: SYN; 50~85%: ADD | |
| R8 | 4 | Weibull | 12.422 | 2.173 | 0.983 | 0.012 | 5.886 | 1.25 × 10−7 | 15~40%: ANT; 40~65%: ADD; 65~85%: SYN |
| 8 | Weibull | 13.921 | 2.266 | 0.991 | 0.019 | 6.304 | 1.25 × 10−7 | 15~30%: SYN; 30~85%: ADD | |
| 12 | Weibull | 13.121 | 2.068 | 0.994 | 0.019 | 6.521 | 3.51 × 10−8 | 15~45%: ANT; 45~70%: ADD; 70~85%: SYN | |
| R9 | 4 | Weibull | 12.978 | 2.284 | 0.975 | 0.013 | 5.843 | 5.49 × 10−8 | 15~45%: ANT; 45~80%: ADD; 80~85%: SYN |
| 8 | Weibull | 10.354 | 1.757 | 0.977 | 0.023 | 6.102 | 5.49 × 10−8 | 15~30%: ADD; 30~80%: ANT | |
| 12 | Weibull | 9.951 | 1.642 | 0.974 | 0.031 | 6.282 | 4.67 × 10−8 | 15~50%: ADD; 50~85%: ANT |
Disclaimer/Publisher’s Note: The statements, opinions and data contained in all publications are solely those of the individual author(s) and contributor(s) and not of MDPI and/or the editor(s). MDPI and/or the editor(s) disclaim responsibility for any injury to people or property resulting from any ideas, methods, instructions or products referred to in the content. |
© 2024 by the authors. Licensee MDPI, Basel, Switzerland. This article is an open access article distributed under the terms and conditions of the Creative Commons Attribution (CC BY) license (https://creativecommons.org/licenses/by/4.0/).
Share and Cite
Liang, L.; Qin, L.; Liu, Y.; Mo, L.; Dai, J.; Wang, D. Key Component Analysis of the Time Toxicity Interaction of Five Antibiotics to Q67. Toxics 2024, 12, 521. https://doi.org/10.3390/toxics12070521
Liang L, Qin L, Liu Y, Mo L, Dai J, Wang D. Key Component Analysis of the Time Toxicity Interaction of Five Antibiotics to Q67. Toxics. 2024; 12(7):521. https://doi.org/10.3390/toxics12070521
Chicago/Turabian StyleLiang, Luyi, Litang Qin, Yongan Liu, Lingyun Mo, Junfeng Dai, and Dunqiu Wang. 2024. "Key Component Analysis of the Time Toxicity Interaction of Five Antibiotics to Q67" Toxics 12, no. 7: 521. https://doi.org/10.3390/toxics12070521
APA StyleLiang, L., Qin, L., Liu, Y., Mo, L., Dai, J., & Wang, D. (2024). Key Component Analysis of the Time Toxicity Interaction of Five Antibiotics to Q67. Toxics, 12(7), 521. https://doi.org/10.3390/toxics12070521






