The Migration Mechanism of BTEX in Single- and Double-Lithology Soil Columns under Groundwater Table Fluctuation
Abstract
1. Introduction
2. Methodology
2.1. Conceptual Model for Pollutants in Water Table Fluctuation Zone
2.2. Experimental Setup
2.3. Simulation Materials
2.4. Analytical Methods
3. Results
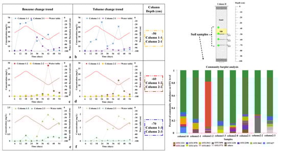
3.1. Benzene and Toluene Change with Depth
3.2. Benzene and Toluene Changes with GTF and Bacterial Community Structure
4. Discussion
4.1. Single- and Double-Lithology Structure Effect on BTEX Migration Mechanisms
4.2. Water Table Fluctuation Effect on BTEX Migration Mechanisms
4.3. Bacterial Community Structure Effect on BTEX Migration Mechanisms
5. Conclusions
- (1)
- As demonstrated, groundwater table fluctuations can promote considerable LNAPL dissolution and, consequently, significant changes in the BTEX concentration over time. The migration of benzene and toluene in a single-lithology soil column packed with sand is mainly affected by flushing due to the hydraulic force induced by water table fluctuations, causing dissolution and adsorption onto the porous media. However, benzene and toluene migration in a double-lithology soil column packed with sand and silt is significantly affected by retention due to the higher adsorption induced by the 10 cm silt. The effect of GTF is lower in the single-lithology soil column than in the double-lithology soil column.
- (2)
- The migration of benzene and toluene in the GTF zone is complex, and there is no clear relationship between the contaminant concentration change trend and the water table fluctuation. However, the contaminant concentration near and in the saturated zone increases as the water table falls, and decreases as the water table rises, especially when the water table near the sample collection point and dissolution mainly correlate with the BTEX migration in the saturated zone.
- (3)
- For a contaminated site with a single-lithology structure consisting of sand, GTF promotes downward BTEX migration, and the contaminant concentration in the saturated zone increases, which is why more attention should be paid to organic contaminant removal within the groundwater. A contaminated site with a double-lithology structure containing silt has more retention contamination with BTEX and is more suited to the removal of organic contaminants from the silt layer. The bacterial community structures in the two columns are very different, especially in the GTF zone, and further research can provide important data for BTEX biodegradation. Biodegradation kinetics should be considered in long-term prediction models of groundwater table fluctuations and should be better understood for the remediation of BTEX compounds.
Author Contributions
Funding
Institutional Review Board Statement
Informed Consent Statement
Data Availability Statement
Acknowledgments
Conflicts of Interest
References
- Li, Y.; Bai, G.; Zou, X.; Qu, J.; Wang, L. Nitrogen Migration and Transformation Mechanism in the Groundwater Level Fluctuation Zone of Typical Medium. Water 2021, 13, 3626. [Google Scholar] [CrossRef]
- Technical Guide For Addressing Petroleum Vapor Intrusion At Leaking Underground Storage. U.S. Environmental Protection Agence, Office of Underground Storage Tanks, Washington, DC, USA. 2015. Available online: https://www.epa.gov/vaporintrusion/technical-guide-addressing-petroleum-vapor-intrusion-leaking-underground-storage (accessed on 10 June 2023).
- Murphy, C.W.; Davis, G.B.; Rayner, J.L.; Walsh, T.; Bastow, T.P.; Butler, A.P.; Puzon, G.J.; Morgan, M.J. The role of predicted chemotactic and hydrocarbon degrading taxa in natural source zone depletion at a legacy petroleum hydrocarbon site. J. Hazard. Mater. 2022, 430, 128482. [Google Scholar] [CrossRef] [PubMed]
- Lari, K.S.; Rayner, J.L.; Davis, G.B.; Johnston, C.D. LNAPL Recovery Endpoints: Lessons Learnt Through Modeling, Experiments, and Field Trials. Groundw. Monit. Remediat. 2020, 40, 21–29. [Google Scholar] [CrossRef]
- Teng, M.; Zhou, Y.; Song, M.; Dong, K.; Chen, X.; Wang, C.; Bi, S.; Zhu, W. Chronic Toxic Effects of Flutolanil on the Liver of Zebrafish (Danio rerio). Chem. Res. Toxicol. 2019, 32, 995–1001. [Google Scholar] [CrossRef]
- Yang, Y.; Li, J.; Lv, N.; Wang, H.; Zhang, H. Multiphase migration and transformation of BTEX on groundwater table fluctuation in riparian petrochemical sites. Environ. Sci. Pollut. Res. 2023, 30, 55756–55767. [Google Scholar] [CrossRef]
- Yang, Y.; Li, P.; Zhang, X.; Li, M.; Lu, Y.; Xu, B.; Yu, T. Lab-based investigation of enhanced BTEX attenuation driven by groundwater table fluctuation. Chemosphere 2017, 169, 678–684. [Google Scholar] [CrossRef]
- Cavelan, A.; Golfier, F.; Colombano, S.; Davarzani, H.; Deparis, J.; Faure, P. A critical review of the influence of groundwater level fluctuations and temperature on LNAPL contaminations in the context of climate change. Sci. Total Environ. 2021, 806, 150412. [Google Scholar] [CrossRef]
- Kamon, M.; Li, Y.; Flores, G.; Inui, T.; Katsumi, T. Experimental and Numerical Study on Migration of LNAPL under the Influence of Fluctuating Water Table in Subsurface. Annu. Disas Prev. Res. Inst. 2006, 49, 383–392. [Google Scholar]
- Boutt, D.F. Assessing hydrogeologic controls on dynamic groundwater storage using long-term instrumental records of water table levels. Hydrol. Process. 2017, 31, 1479. [Google Scholar] [CrossRef]
- Jeong, J.; Jeong, J.; Park, E.; Lee, B.S.; Song, S.-H.; Han, W.S.; Chung, S. Development of an efficient data-driven method to estimate the hydraulic properties of aquifers from groundwater level fluctuation pattern features. J. Hydrol. 2020, 590, 125453. [Google Scholar] [CrossRef]
- Hillel, D.J.N. Fundamentals of Soil Physics; Academic Press: San Diego, CA, USA, 1980. [Google Scholar]
- Lehmann, P.; Stauffer, F.; Hinz, C.; Dury, O.; Flühler, H. Effect of hysteresis on water flow in a sand column with a fluctuating capillary fringe. J. Contam. Hydrol. 1998, 33, 81–100. [Google Scholar] [CrossRef]
- Cui, M.; Li, Y.; Xu, D.; Lu, J.; Gao, B. Geochemical characteristics and ecotoxicological risk of arsenic in water-level-fluctuation zone soils of the Three Gorges Reservoir, China. Sci. Total Environ. 2023, 881, 163495. [Google Scholar] [CrossRef] [PubMed]
- Ye, C.; Cheng, X.; Liu, W.; Zhang, Q. Revegetation impacts soil nitrogen dynamics in the water level fluctuation zone of the Three Gorges Reservoir, China. Sci. Total Environ. 2015, 517, 76–85. [Google Scholar] [CrossRef] [PubMed]
- Nanditha, H.S.; Reshmidevi, T.V.; Simha, L.U.; Kunhikrishnan, P. Statistical analysis of rainfall and groundwater interaction in Bhadra catchment. Environ. Dev. Sustain. 2023, 1–21. [Google Scholar] [CrossRef]
- Sun, Y.; Yue, G.; Ma, J. Transport and natural attenuation of benzene vapor from a point source in the vadose zone. Chemosphere 2023, 323, 138222. [Google Scholar] [CrossRef]
- Cao, Z.; Yang, M.; Tan, T.; Song, X. Vertical Transportation Diversity of Petroleum Pollutants under Groundwater Fluctuations and the Instructions for Remediation Strategy. Sustainability 2023, 15, 6514. [Google Scholar] [CrossRef]
- Gupta, P.K.; Yadav, B.; Yadav, B.K.; Sushkova, S.; Basu, S. Engineered Bioremediation of NAPL Polluted Sites: Experimental and Simulation-Optimization Approach under Heterogeneous Moisture and Temperature Conditions. J. Environ. Eng. 2021, 147, 04021023. [Google Scholar] [CrossRef]
- Rani, P.; Piegari, E.; Di Maio, R.; Vitagliano, E.; Soupios, P.; Milano, L. Monitoring time evolution of self-potential anomaly sources by a new global optimization approach. Application to organic contaminant transport. J. Hydrol. 2019, 575, 955–964. [Google Scholar] [CrossRef]
- Mao, B.; Liu, Z.; Liu, S.; Zhang, M.; Lu, T. Investigation of relative permeability, saturation and capillary pressure relations of NAPL-contaminated sands. J. Soils Sediments 2019, 20, 1609–1620. [Google Scholar] [CrossRef]
- Liu, Y.; Sun, Y.; Yu, J.; Xia, X.; Ding, A.; Zhang, D. Impacts of groundwater level fluctuation on soil microbial community, alkane degradation efficiency and alkane-degrading gene diversity in the critical zone: Evidence from an accelerated water table fluctuation simulation. Environ. Sci. Pollut. Res. 2022, 29, 83060–83070. [Google Scholar] [CrossRef] [PubMed]
- DeBofsky, A.; Xie, Y.; Jardine, T.D.; Hill, J.E.; Jones, P.D.; Giesy, J.P. Effects of the husky oil spill on gut microbiota of native fishes in the North Saskatchewan River, Canada. Aquat. Toxicol. 2020, 229, 105658. [Google Scholar] [CrossRef] [PubMed]
- Schriks, M.; Heringa, M.B.; van der Kooi, M.M.E.; de Voogt, P.; van Wezel, A.P. Toxicological Relevance of Emerging Contaminants for Drinking Water Quality. Water Res. 2010, 44, 461–476. [Google Scholar] [CrossRef] [PubMed]
- Sun, C.; Zhang, J.; Ma, Q.; Chen, Y. Human Health and Ecological Risk Assessment of 16 Polycyclic Aromatic Hydrocarbons in Drinking Source Water from a Large Mixed-Use Reservoir. Int. J. Environ. Res. Public Health 2015, 12, 13956–13969. [Google Scholar] [CrossRef] [PubMed]
- Da Silva, M.L.B.; Corseuil, H.X. Groundwater Microbial Analysis to Assess Enhanced BTEX Biodegradation by Nitrate Injection at a Gasohol-Contaminated Site. Int. Biodeterior. Biodegrad. 2012, 67, 21–27. [Google Scholar] [CrossRef]
- Gupta, P.K.; Yadav, B.K. Remediation and Management of Petrochemical-Polluted Sites Under Climate Change Conditions. Environ. Contam. Ecol. Implic. Manag. 2019, 14, 25–47. [Google Scholar] [CrossRef]
- Lari, K.S.; Davis, G.B.; Rayner, J.L.; Bastow, T.P.; Puzon, G.J. Natural source zone depletion of LNAPL: A critical review supporting modelling approaches. Water Res. 2019, 157, 630–646. [Google Scholar] [CrossRef]
- Blanco-Enríquez, E.G.; de la Serna, F.J.Z.-D.; Peralta-Pérez, M.D.R.; Ballinas-Casarrubias, L.; Salmerón, I.; Rubio-Arias, H.; Rocha-Gutiérrez, B.A. Characterization of a Microbial Consortium for the Bioremoval of Polycyclic Aromatic Hydrocarbons (PAHs) in Water. Int. J. Environ. Res. Public Health 2018, 15, 975. [Google Scholar] [CrossRef]
- Vigneron, A.; Bishop, A.; Alsop, E.B.; Hull, K.; Rhodes, I.; Hendricks, R.; Head, I.; Tsesmetzis, N. Microbial and Isotopic Evidence for Methane Cycling in Hydrocarbon-Containing Groundwater from the Pennsylvania Region. Front. Microbiol. 2017, 8, 593. [Google Scholar] [CrossRef]
- Zhou, A.-X.; Zhang, Y.-L.; Dong, T.-Z.; Yu-Ling, Z.; Su, X.-S. Response of the microbial community to seasonal groundwater level fluctuations in petroleum hydrocarbon-contaminated groundwater. Environ. Sci. Pollut. Res. 2015, 22, 10094–10106. [Google Scholar] [CrossRef]
- Ishida, C.K.; Kelly, J.J.; Gray, K.A. Effects of variable hydroperiods and water level fluctuations on denitrification capacity, nitrate removal, and benthic-microbial community structure in constructed wetlands. Ecol. Eng. 2006, 28, 363–373. [Google Scholar] [CrossRef]
- Rainwater, K.; Mayfield, M.P.; Heintz, C.; Claborn, B.J. Enhanced in situ biodegradation of diesei fuel by cyclic vertical water table movement: Preliminary studies. Water Environ. Res. 1993, 65, 717–725. [Google Scholar] [CrossRef]
- Sinke, A.; Dury, O.; Zobrist, J. Effects of a fluctuating water table: Column study on redox dynamics and fate of some organic pollutants. J. Contam. Hydrol. 1998, 33, 231–246. [Google Scholar] [CrossRef]
- Kalantar, M.; Zamir, S.M.; Ferdowsi, M.; Shojaosadati, S.A. Removal of toluene in a biotrickling filter in the presence of methanol vapors: Experimental study, mathematical modeling, and kinetic parameters optimization. J. Environ. Chem. Eng. 2020, 9, 104617. [Google Scholar] [CrossRef]
- Aminnaji, M.; Rabbani, A.; Niasar, V.J.; Babaei, M. Effects of Pore-Scale Heterogeneity on Macroscopic NAPL Dissolution Efficiency: A Two-Scale Numerical Simulation Study. Water Resour. Res. 2019, 55, 8779–8799. [Google Scholar] [CrossRef]
- Lee, C.-H.; Lee, J.-Y.; Cheon, J.-Y.; Lee, K.-K. Attenuation of Petroleum Hydrocarbons in Smear Zones: A Case Study. J. Environ. Eng. 2001, 127, 639–647. [Google Scholar] [CrossRef]
- Teramoto, E.H.; Chang, H.K. Field data and numerical simulation of btex concentration trends under water table fluctuations: Example of a jet fuel-contaminated site in Brazil. J. Contam. Hydrol. 2017, 198, 37–47. [Google Scholar] [CrossRef]
- Xianyin, Z.; Lianying, A.; Chunge, L.; Li, C. The Dissolution Experiment of Polyhalite at Different Temperature and Pressure. Acta Geol. Sin. (Engl. Ed.) 2014, 88, 412–413. [Google Scholar]
- Ministry of Housing and Urban-Rural Development of the People’s Republic of China. Code for Investigation of Geotechnical Engineering GB50021-2001; China Planning Press: Beijing, China, 2002.
- Olivella, L.; Figueras, M.; Fraile, J.; Vilanova, M.; Ginebreda, A.; Barcelo, D. Fate of MTBE and DCPD Compounds Relative to BTEX in Gasoline Contaminated Aquifers. J. Sci. World J. 2002, 2, 1108–1114. [Google Scholar] [CrossRef]
- Handelsman, J.; Rondon, M.R.; Brady, S.F.; Clardy, J.; Goodman, R.M. Molecular biological access to the chemistry of unknown soil microbes: A new frontier for natural products. Chem. Biol. 1998, 5, R245–R249. [Google Scholar] [CrossRef]
- Knight, R.; Jansson, J.; Field, D.; Fierer, N.; Desai, N.; A Fuhrman, J.; Hugenholtz, P.; van der Lelie, D.; Meyer, F.; Stevens, R.; et al. Unlocking the potential of metagenomics through replicated experimental design. Nat. Biotechnol. 2012, 30, 513–520. [Google Scholar] [CrossRef]
- Piao, H.; Tao, S.; Hu, H.; Lu, X. Estimation of sorption coefficient so for organic compounds with K OW. Environ. Sci. Technol. 1999, 4, 8–13. [Google Scholar]
- Gao, C.; Govind, R.; Tabak, H.H. Predicting Soil Sorption Coefficients of Organic Chemicals Using a Neural Network Model. Environ. Toxicol. Chem. 1996, 15, 1089–1096. [Google Scholar] [CrossRef]
- Padhi, S.K.; Gokhale, S. Benzene biodegradation by indigenous mixed microbial culture: Kinetic modeling and process optimization. Int. Biodeterior. Biodegrad. 2017, 119, 511–519. [Google Scholar] [CrossRef]
- Muller, F.L.L.; Tankéré-Muller, S.P.C. Seasonal Variations in Surface Water Chemistry at Disturbed and Pristine Peatland Sites in the Flow Country of Northern Scotland. Sci. Total Environ. 2012, 435–436, 351–362. [Google Scholar] [CrossRef]
- Dehnavi, S.M.; Ebrahimipour, G. Biostimulation of Petroleum-Contaminated Soils with Synthetic and Natural Sources of NPK Fertilizer. Soil Sediment Contam. Int. J. 2023, 1–14. [Google Scholar] [CrossRef]
- Resende, J.F.; Paulino, I.M.R.; Bergamasco, R.; Vieira, M.F.; Vieira, A.M.S. Hydrogels produced from natural polymers: A review on its use and employment in water treatment. Braz. J. Chem. Eng. 2022, 40, 23–38. [Google Scholar] [CrossRef]
- Sun, J.; Lin, G.; Henghua, Z.; Tang, X.; Zhang, L. Study on Adsorption-Desorption of Benzene in Soil. IOP Conf. Series Earth Environ. Sci. 2020, 546, 042041. [Google Scholar] [CrossRef]
- Han, C.; Zhang, H.; Gu, Q.; Guo, G.; Li, Y.; Li, F. Toluene sorption behavior on soil organic matter and its composition using three typical soils in China. Environ. Earth Sci. 2012, 68, 741–747. [Google Scholar] [CrossRef]
- Liu, X.; Luo, Y.; Zhang, H.; Wu, J.; Zhu, R.; Wang, H. Spatial heterogeneity of particulate organic matter for the sorption of ciprofloxacin at the microstructure scale. Sci. Total Environ. 2022, 847, 157326. [Google Scholar] [CrossRef]
- Lion, L.W.; Stauffef, T.B.; MacIntyre, W.G. Sorption of hydrophobic compounds on aquifer materials: Analysis methods and the effect of organic carbon. J. Contam. Hydrol. 1990, 5, 215–234. [Google Scholar] [CrossRef]
- Viggi, C.C.; Tucci, M.; Resitano, M.; Palushi, V.; Crognale, S.; Matturro, B.; Papini, M.P.; Rossetti, S.; Aulenta, F. Enhancing the Anaerobic Biodegradation of Petroleum Hydrocarbons in Soils with Electrically Conductive Materials. Bioengineering 2023, 10, 441. [Google Scholar] [CrossRef] [PubMed]
- Dobson, R.; Schroth, M.H.; Zeyer, J. Effect of water-table fluctuation on dissolution and biodegradation of a multi-component, light nonaqueous-phase liquid. J. Contam. Hydrol. 2007, 94, 235–248. [Google Scholar] [CrossRef] [PubMed]
- Rezanezhad, F.; Couture, R.-M.; Kovac, R.; O’connell, D.; Van Cappellen, P. Water table fluctuations and soil biogeochemistry: An experimental approach using an automated soil column system. J. Hydrol. 2013, 509, 245–256. [Google Scholar] [CrossRef]
- Abed, R.M.M.; Safi, N.M.D.; Köster, J.; de Beer, D.; El-Nahhal, Y.; Rullkötter, J.; Garcia-Pichel, F. Microbial Diversity of a Heavily Polluted Microbial Mat and Its Community Changes following Degradation of Petroleum Compounds. Appl. Environ. Microbiol. 2002, 68, 1674–1683. [Google Scholar] [CrossRef]
- Jiang, J.; Liu, Z.; Li, B.; Yuan, S.; Lin, R.; Yu, X.; Liu, X.; Zhang, X.; Li, K.; Xiao, D.; et al. Ecotoxicological risk assessment of 14 pesticides and corresponding metabolites to groundwater and soil organisms using China-PEARL model and RQ approach. Environ. Geochem. Health 2022, 45, 3653–3667. [Google Scholar] [CrossRef]
- Teramoto, E.H.; Pede, M.A.Z.; Chang, H.K. Impact of water table fluctuations on the seasonal effectiveness of the pump-and-treat remediation in wet–dry tropical regions. Environ. Earth Sci. 2020, 79, 1–15. [Google Scholar] [CrossRef]






| Porous Media Type | Sand | Silt |
|---|---|---|
| Media Size (mm) | 0.5–1.25 | 0.075–0.1 |
| Soil Bulk Density (g cm−3) | 1.51 | 1.38 |
| Initial Porosity | 0.30 | 0.28 |
| Initial Water Content (%) | 20.5 | 24.8 |
| Permeability Coefficient (cm s−1) | 1.2 × 10−3 | 7.9 × 10−4 |
| pH | 8.51 | 8.45 |
| Organic Matter Content (%) | 0.78 | 3.33 |
| Pollutant | Molecular Formula | Molecular Weight | Density (g cm−3, 20 °C) | Solubility in Water (mg L−1, 25 °C) | Log Kow | Koc |
|---|---|---|---|---|---|---|
| Benzene | C6H6 | 78.1 | 0.8765 | 1800 | 1.6~2.4 | 10~12.9 |
| Toluene | C6H5CH3 | 92.1 | 0.8669 | 347~707 | 2.1~3.0 | 11.9~14.8 |
Disclaimer/Publisher’s Note: The statements, opinions and data contained in all publications are solely those of the individual author(s) and contributor(s) and not of MDPI and/or the editor(s). MDPI and/or the editor(s) disclaim responsibility for any injury to people or property resulting from any ideas, methods, instructions or products referred to in the content. |
© 2023 by the authors. Licensee MDPI, Basel, Switzerland. This article is an open access article distributed under the terms and conditions of the Creative Commons Attribution (CC BY) license (https://creativecommons.org/licenses/by/4.0/).
Share and Cite
Zheng, J.; Yang, Y.; Li, J.; Zhang, H.; Ma, Y. The Migration Mechanism of BTEX in Single- and Double-Lithology Soil Columns under Groundwater Table Fluctuation. Toxics 2023, 11, 630. https://doi.org/10.3390/toxics11070630
Zheng J, Yang Y, Li J, Zhang H, Ma Y. The Migration Mechanism of BTEX in Single- and Double-Lithology Soil Columns under Groundwater Table Fluctuation. Toxics. 2023; 11(7):630. https://doi.org/10.3390/toxics11070630
Chicago/Turabian StyleZheng, Jingwei, Yang Yang, Juan Li, Hao Zhang, and Yan Ma. 2023. "The Migration Mechanism of BTEX in Single- and Double-Lithology Soil Columns under Groundwater Table Fluctuation" Toxics 11, no. 7: 630. https://doi.org/10.3390/toxics11070630
APA StyleZheng, J., Yang, Y., Li, J., Zhang, H., & Ma, Y. (2023). The Migration Mechanism of BTEX in Single- and Double-Lithology Soil Columns under Groundwater Table Fluctuation. Toxics, 11(7), 630. https://doi.org/10.3390/toxics11070630
