Feasibility Study on the Application of Biodegradable Plastic Film in Farmland Soil in Southern Xinjiang, China—Planting Tomatoes as an Example
Abstract
1. Introduction
2. Materials and Methods
2.1. Site Description
2.2. Used Materials
2.3. Experimental Design
2.4. Test Methods
2.4.1. Degradation Rate and Intensity of the Plastic Films
2.4.2. Atmospheric, Soil Temperature, and Humidity
2.4.3. Plant Height and Stem Diameter of Tomatoes
2.4.4. Yield and Vegetable Quality
Yield
Quality
2.4.5. SEM Analysis
2.5. Statistical Methods
3. Results
3.1. Degradation Characteristics of Plastic Film in Different Periods
3.1.1. Changes in Surface Morphology of Plastic Film
3.1.2. Changes in the Microstructure of Plastic Film
3.1.3. Changes in Weight Loss and the Degradation Rate
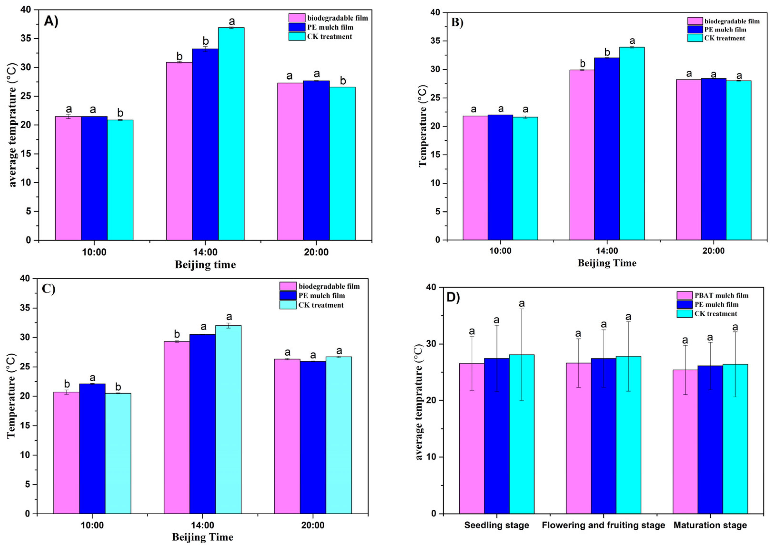
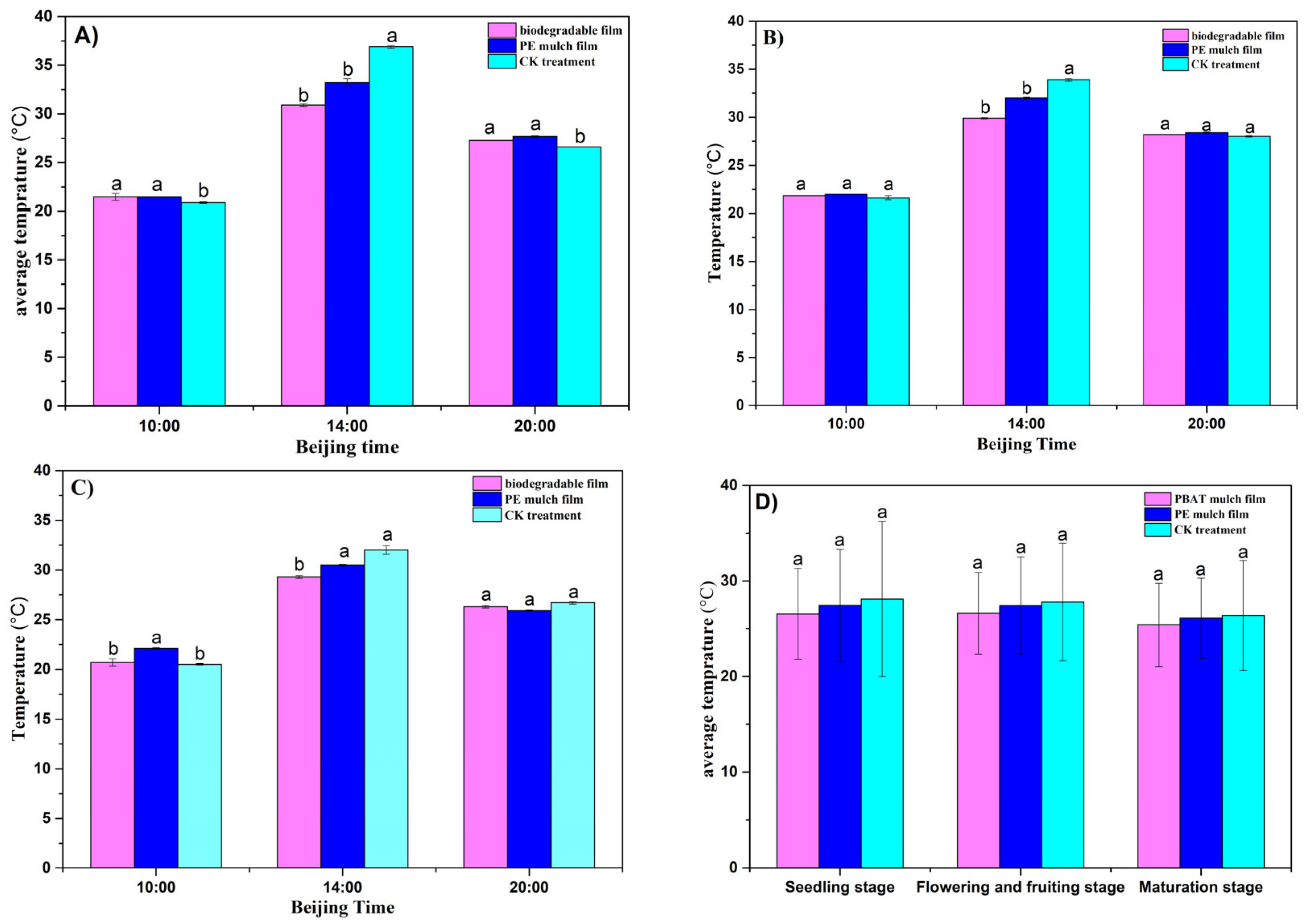
3.2. Effect of Different Mulching Treatments on Soil Temperature and Humidity
3.2.1. Effect of Different Covering Treatments on Soil Temperature
3.2.2. Effect of Different Treatments on Soil Humidity
3.3. Effects of Different Treatments on Tomato Growth, Yield, and Quality
3.3.1. Effects on Tomato Growth
3.3.2. Effect of Different Treatments on Tomato Yield
3.3.3. Effect of Different Plastic Films on Tomato Quality
4. Discussion
5. Conclusions
Author Contributions
Funding
Institutional Review Board Statement
Informed Consent Statement
Data Availability Statement
Acknowledgments
Conflicts of Interest
References
- Wang, B.; Wan, Y.; Wang, J.; Sun, J.; Wang, X.; Huai, G.; Kong, L. Effects of PBAT biodegradable plastic mulch film on soil physical and chemical properties and yields of cotton and maize in Southern Xinjiang, China. J. Agro-Environ. Sci. 2019, 38, 148–156. [Google Scholar]
- Zhu, Y.; Wu, W.; Wen, S.; Wei, J.; Zhan, Y.; Chen, K.; Yang, R. The effect of degradable plastic film on the growth and yield of cotton in southern Xinjiang. Agric. Res. Arid Areas 2016, 34, 4. [Google Scholar]
- Dong, H.; Liu, T.; Li, Y.; Liu, H.; Wang, D. Effects of plastic film on cotton yield and soil physical and chemical properties in Xinjiang. Trans. China Soc. Agric. Eng. 2013, 29, 91–99. (In Chinese) [Google Scholar]
- Zhang, D.; Liu, H.; Hu, W.; Qin, X.; Ma, X.; Yan, C.; Wang, H. The status and distribution characteristics of residual mulching film in Xinjiang, China. J. Integr. Agric. 2016, 15, 2639–2646. [Google Scholar] [CrossRef]
- Zhang, T.; Zhang, C.; Song, X.; Weng, Y. Progress in preparation and application of PBAT thin films. China Plast. 2021, 35, 115–125. (In Chinese) [Google Scholar]
- Liu, H.; Yang, X.; Liu, G.; Liang, C.; Xue, S.; Chen, H.; Ritsema, C.J.; Geissen, V. Response of soil dissolved organic matter to microplastic addition in Chinese loess soil. Chemosphere 2017, 185, 907–917. [Google Scholar] [CrossRef]
- Ma, Y.; Zhang, A.; Yang, J.; Ren, J. Preparation and properties of PBAT. Plastics 2010, 39, 98–101. (In Chinese) [Google Scholar]
- He, X. Analysis of the development status of degradable plastics. High Technol. Commer. 2020, 2, 56–62. (In Chinese) [Google Scholar]
- Kang, H.; Ao, L.; Qin, L.; Su, H. Field degradation process of biodegradable plastic film and its effect on maize growth. China Agron. Bull. 2013, 29, 54–58. [Google Scholar]
- Wang, L.; He, X.; Hu, C.; Wang, X.; Liu, Q.; Yan, C. Effects of Biodegradable Plastic Film on Soil Temperature and Humidity and Cotton Yield in South Xinjiang. Agric. Res. Arid Areas 2021, 39, 8. [Google Scholar]
- Cui, Y.; Wei, J.; Gou, L.; Han, C.; Han, Y.; Zhu, J.; Liu, K.; Xie, Y. Shule County 2021 fully biodegradable plastic film test demonstration and appropriate promotion and application. Agric. Technol. Equip. 2022, 5, 44–46. [Google Scholar]
- Zhao, J.; Li, J. The effect of PBAT type fully biodegradable plastic film on cotton yield and soil physicochemical properties. China Biogas 2022, 429, 040. [Google Scholar]
- Liu, X.; He, W.; Li, Z.; Li, Z.; Lv, J. The effect of degradable plastic film on the agronomic traits and yield of cotton in the Shihezi reclamation area. Chin. J. Agric. 2021, 37, 4. [Google Scholar]
- Wang, B.; Wan, Y.; Wang, J.; Sun, J.; Huai, G.; Lv, C.; Cui, L. The effect of fully biodegradable plastic film on peanut yield and soil physicochemical properties in southern Xinjiang. J. Peanuts 2019, 48, 7. [Google Scholar]
- Su, H.; Bao, Z.; Liu, Q.; Dong, D.; Yan, C.; Lei, H.; Xue, Y.; Xu, Z. Feasibility of applying PBAT fully biodegradable mulching film to processing tomatoes in Xinjiang. Agric. Environ. Dev. 2020, 37, 615–622. [Google Scholar]
- Wu, Q.; Wang, Z.; Zheng, X.; Zhang, J.; Li, W. Effects of biodegradation film mulching on soil temperature, moisture and yield of cotton under drip irrigation in typical oasis area. Trans. Chin. Soc. Agric. Eng. 2017, 33, 135–143. [Google Scholar]
- Wuerguli, T. Lication Experiment of Zepu County Degradable Film in Corn Production. Rural Sci. Exp. 2022, 3, 163–165. [Google Scholar]
- Wang, B.; Wang, J.; Sun, J.; Sun, C.; Huai, G.; Cui, L. The effect of fully biodegradable plastic film on maize yield and soil physicochemical properties in southern Xinjiang. Agric. Sci. 2021, 11, 10. [Google Scholar]
- Hou, S.; Wang, S.; Qi, J.; Xu, J. The degradability of PBAT biodegradable film and thickened plastic film and their effect on tomato growth. Vegetables 2020, 7, 4. [Google Scholar]
- Su, H.; Bao, Z.; Liu, Q.; Dong, D.; Yan, C.; Lei, H.; Xue, Y.; Xu, Z. Feasibility of using PBAT fully biodegradable plastic film for processing tomatoes in Xinjiang. J. Agric. Resour. Environ. 2020, 37, 8. [Google Scholar]
- Wang, B.; Wan, Y.; Wang, J.; Sun, J.; Huai, G.; Cui, L.; Liu, G. The effect of PBAT type fully biodegradable plastic film on potato yield, soil temperature, humidity, and nutrients in southern Xinjiang. Northwest Agric. J. 2020, 29, 9. [Google Scholar]
- Liu, C.; Xie, Y.; Yan, C.; Han, C.; Han, Y.; Zhu, J.; Zhang, Y.; Feng, Z.; Gao, H.; Li, G. The effect of fully biodegradable plastic film on sugar beet yield in Kashgar region. Agric. Dev. Equip. 2021, 349, 3. [Google Scholar]
- He, W.; Zhao, C.; Liu, S.; Yan, C.; Chang, R.; Cao, S. Degradation characteristics of biodegradable film in the field and its impact on cotton yield. J. China Agric. Univ. 2011, 16, 21–27. [Google Scholar]
- Zhao, C.; He, W.; Liu, S.; Yan, C.; Cao, C. Degradation characteristics of biodegradable film in Xinjiang and its impact on cotton yield. J. Agric. Environ. Sci. 2011, 30, 1616–1621. [Google Scholar]
- Hu, W.; Sun, J.; Shan, N.; Yan, J.; Wang, X.Y. Effect of degradable plastic film on soil temperature and crop yield and its degradability analysis. Xinjiang Agric. Sci. 2015, 52, 317–320. [Google Scholar]
- Wang, L.; Zhang, M. Development planning and existing problems of facility agriculture in Moyu County. Xinjiang Agric. Sci. Technol. 2009, 6, 9–10. [Google Scholar]
- Qu, P.; Guo, B.; Wang, H.; Zhao, Y. Degradation characteristics of PBAT biodegradable plastic film in corn field. J. Agric. Eng. 2017, 33, 6. [Google Scholar]
- Yan, C.; He, W.; Liu, E.; Lin, T.; Pasquale, M.; Liu, S.; Liu, Q. Discussion on the concept and estimation method of safety period of crop plastic film mulching. J. Agric. Eng. 2015, 31, 4. [Google Scholar]
- Shen, L.; Wang, P.; Zhang, L. The degradability of degradable plastic film and its effect on soil temperature, moisture and maize growth. J. Agric. Eng. 2012, 28, 6. [Google Scholar]
- Wu, S.; Gao, W.; Cai, K.; Jiao, J.; Zhang, S. Response of degradation characteristics of PBAT biodegradable plastic film to different soil moisture. J. Irrig. Drain. 2020, 39, 8. [Google Scholar]
- Diliber, D.; Tang, Q.; Lei, L.; Lili, S. Degradation characteristics of biodegradable plastic film and its effect on maize yield. Xinjiang Agric. Sci. 2021, 58, 9. [Google Scholar]
- Zhang, N.; Li, Q.; Hou, W.; Ye, J. Effect of polylactic acid-degradable film mulch on soil temperature and cotton yield. J. Agric. Resour. Environ. 2016, 33, 114–119. [Google Scholar]
- He, W.; Zhao, C.; Liu, S.; Yan, C.; Chang, R.; Cao, S. Study on the degradation of biodegradable plastic mulch film and its effect on the yield of cotton. J. China Agric. Univ. 2011, 16, 21–27. [Google Scholar]
- Shen, L.; Wang, P.; Zhang, L. Degradation property of degradable film and its effect on soil temperature and moisture and maize growth. Trans. Chin. Soc. Agric. Eng. (Trans. CSAE) 2012, 28, 111–116. [Google Scholar]
- Ibarra, L.; Zermeño, A.; Munguía, J.; Rosario, M.A.; De, M. Photosynthesis, soil temperature and yield of cucumber as affected by colored plastic mulch. Acta Agric. Scand. Sect. B Plant Soil Sci. 2008, 58, 372–378. [Google Scholar]
- Wang, X.; Lv, J.; Sun, B. Effects of mulching degradable plastic film on maize growth and soil environment. J. Agric. Environ. Sci. 2003, 22, 5. [Google Scholar]
- Wang, B.; Wan, Y.; Wang, J.; Sun, J.; Huai, G.; Cui, L.; Liu, G. Effects of PBAT biodegradable mulch film on the physical and chemical properties of soil and tomato yield in southern Xinjiang, China. J. Agric. Resour. Environ. 2019, 36, 640–648. [Google Scholar]
- Zhan, Y.; Wei, J.; Yang, X.; Zhang, Z. The performance of degradable plastic film and its application in cotton fields in northern Xinjiang. Northwest Agric. J. 2010, 7, 5–10. [Google Scholar]
- Cao, Y.; Wei, W.; Xu, G.; Wang, X.; Wang, H.; Liu, C.; Bian, S.; Liu, H.; Wang, Y. Effects of drip irrigation with different film mulching on soil water, temperature and maize growth in semi-arid region. Maize Sci. 2013, 1, 7. [Google Scholar]
- Duan, Y.; Zhang, X. Influence of biodegradable membrane on soil fertility and photo yield. Crop Res. 2018, 32, 25–29. [Google Scholar]
- Abduwaiti, A.; Liu, X.; Yan, C.; Xue, Y.; Jin, T.; Wu, H.; He, P.; Bao, Z.; Liu, Q. Testing Biodegradable Films as Alternatives to Plastic-Film Mulching for Enhancing the Yield and Economic Benefits of Processed Tomato in Xinjiang Region. Sustainability 2021, 13, 3097. [Google Scholar] [CrossRef]






| pH | Organic Matter (g/kg) | Conductivity (dS/m) | Available Nitrogen (mg/kg) | Available Phosphorus (mg/kg) | Available Potassium (mg/kg) |
|---|---|---|---|---|---|
| 8.69 | 5.86 | 0.07 | 12.766 | 7.162 | 214.5 |
| Type of Film Covering | Number of Days Covered with Film (d) | Final Weight (g/piece) | Weight Loss (g/piece) | Degradation Rate of Plastic Film (%) |
|---|---|---|---|---|
| PBAT (polybutylene adipate-co-terephthalate) film | 20 | 0.6068a ± 0.0120 | 0.0132 | 2.13a ± 1.94 |
| 40 | 0.5845a ± 0.0293 | 0.0355 | 5.73a ± 4.73 | |
| 60 | 0.5267a ± 0.0401 | 0.0933 | 15.05a ± 6.47 | |
| 100 | 0.2419b ± 0.0155 | 0.3781 | 60.98b ± 2.50 | |
| PE (polyethylene) film | 20 | 0.5770a ± 0.0039 | 0.003 | 0.52a ± 0.63 |
| 40 | 0.5754a ± 0.0039 | 0.003 | 0.79a ± 0.63 | |
| 60 | 0.5724a ± 0.0060 | 0.0076 | 1.31a ± 0.96 | |
| 100 | 0.5715a ± 0.0021 | 0.0085 | 1.47a ± 0.34 |
| Plant Height (cm) | ||||
|---|---|---|---|---|
| Different Treatment | Seedling Stage | Flowering and Fruit–Setting Stage | Mature Stage | Daily Average Increment |
| PBAT Film | 14.06a ± 1.09 | 35.8a ± 1.92 | 79.8a ± 4.76 | 0.858 |
| PE Film | 13.8a ± 1.96 | 36.8a ± 2.95 | 82.04a ± 5.36 | 0.882 |
| CK | 13.0a ± 1.58 | 32.6b ± 2.07 | 69.92b ± 5.73 | 0.752 |
| Stem Thickness (cm) | ||||
| Different Treatment | Seedling Stage | Flowering and Fruit–Setting Stage | Mature Stage | Daily Average Increment |
| PBAT Film | 0.568a ± 0.07a | 0.778a ± 0.09 | 1.198a ± 0.11 | 0.013 |
| PE Film | 0.628a ± 0.06a | 0.844a ± 0.10 | 1.242a ± 0.10 | 0.013 |
| CK | 0.556a ± 0.07a | 0.756a ± 0.08 | 1.124b ± 0.09 | 0.012 |
| Different Treatment | Average per Plant Weight/kg | % Increase/CK | % Increase/PE Film | 667 m2 Weight/kg | % Increase/CK | % Increase/PE Film |
|---|---|---|---|---|---|---|
| BAT Film | 1.80a ± 0.10 | 59.3 | −9.44 | 3517a ± 364.6 | 63.38 | −3.14 |
| PE Film | 1.97a ± 0.21 | 73.3 | - | 3631a ± 357.5 | 68.68 | - |
| CK | 1.13b ± 0.12 | - | −42.6 | 2152b ± 237.5 | - | −40.72 |
| Different Treatment | VC mg/g | Soluble Sugar (mg/g) | Soluble Protein (mg/g) |
|---|---|---|---|
| PBAT Film | 0.174a ± 0.003 | 1.7969a ± 0.0506 | 0.0808a ± 0.0020 |
| PE Film | 0.272a ± 0.123 | 1.7890a ± 0.2775 | 0.0795a ± 0.0002 |
| CK | 0.287a ± 0.055 | 1.9310a ± 0.1495 | 0.0794a ± 0.0012 |
Disclaimer/Publisher’s Note: The statements, opinions and data contained in all publications are solely those of the individual author(s) and contributor(s) and not of MDPI and/or the editor(s). MDPI and/or the editor(s) disclaim responsibility for any injury to people or property resulting from any ideas, methods, instructions or products referred to in the content. |
© 2023 by the authors. Licensee MDPI, Basel, Switzerland. This article is an open access article distributed under the terms and conditions of the Creative Commons Attribution (CC BY) license (https://creativecommons.org/licenses/by/4.0/).
Share and Cite
Wufuer, R.; Duo, J.; Pei, L.; Wang, S.; Li, W. Feasibility Study on the Application of Biodegradable Plastic Film in Farmland Soil in Southern Xinjiang, China—Planting Tomatoes as an Example. Toxics 2023, 11, 467. https://doi.org/10.3390/toxics11050467
Wufuer R, Duo J, Pei L, Wang S, Li W. Feasibility Study on the Application of Biodegradable Plastic Film in Farmland Soil in Southern Xinjiang, China—Planting Tomatoes as an Example. Toxics. 2023; 11(5):467. https://doi.org/10.3390/toxics11050467
Chicago/Turabian StyleWufuer, Rehemanjiang, Jia Duo, Liang Pei, Shuzhi Wang, and Wenfeng Li. 2023. "Feasibility Study on the Application of Biodegradable Plastic Film in Farmland Soil in Southern Xinjiang, China—Planting Tomatoes as an Example" Toxics 11, no. 5: 467. https://doi.org/10.3390/toxics11050467
APA StyleWufuer, R., Duo, J., Pei, L., Wang, S., & Li, W. (2023). Feasibility Study on the Application of Biodegradable Plastic Film in Farmland Soil in Southern Xinjiang, China—Planting Tomatoes as an Example. Toxics, 11(5), 467. https://doi.org/10.3390/toxics11050467

