Removal of Methyl Violet from Aqueous Solution by Adsorption onto Halloysite Nanoclay: Experiment and Theory
Abstract
:1. Introduction
2. Materials and Methods
2.1. Adsorbent and Adsorbate
2.2. Batch Experimental Procedure
2.3. Molecular Modelling and Monte Carlo Calculations
2.3.1. MV and HNC Molecular Modelling
2.3.2. Monte Carlo and Molecular Dynamic Simulation Details
3. Results and Discussion
3.1. Effect of pH
3.2. Effect of Contact Time and Initial Concentration
3.3. Effect of Adsorbent Dosage
3.4. Effect of Temperature
3.5. Adsorption Isotherms
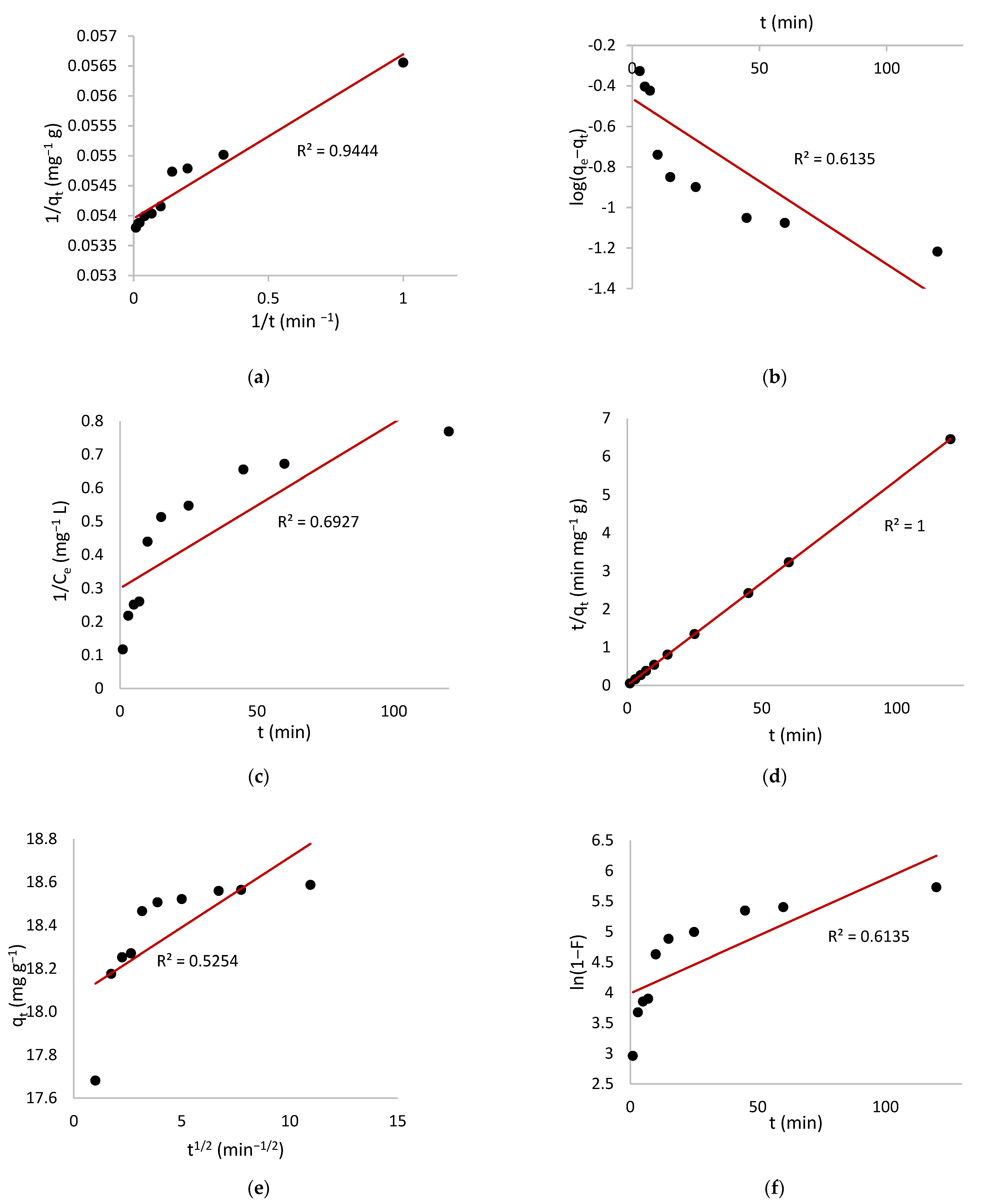
3.6. Adsorption Kinetics
3.7. Adsorption Thermodynamics
3.8. Monte Carlo and Molecular Dynamic Simulations
3.9. FTIR Spectroscopy
4. Conclusions
Author Contributions
Funding
Institutional Review Board Statement
Informed Consent Statement
Data Availability Statement
Acknowledgments
Conflicts of Interest
References
- Abdel Ghafar, H.H.; Radwan, K.E.; El-Wakeel, T.S. Removal of Hazardous Contaminants from Water by Natural and Zwitterionic Surfactant-modified Clay. ACS Omega 2020, 5, 6834–6845. [Google Scholar] [CrossRef] [PubMed] [Green Version]
- Da Silva, B.C.; Zanutto, A.; Pietrobelli, J.M. Biosorption of reactive yellow dye by malt bagasse. Adsorpt. Sci. Technol. 2019, 37, 236–259. [Google Scholar] [CrossRef]
- Conradi, E.; Goncalves, A.C.; Schwantes, D.; Manfrin, J.; Schiller, A.; Zimmerman, J.; Klassen, G.J.; Ziemer, G.L. Development of renewable adsorbent from cigarettes for lead removal from water. J. Environ. Chem. Eng. 2019, 7, 103200. [Google Scholar] [CrossRef]
- Akar, S.T.; Özcan, A.S.; Akar, T.; Özcan, A.; Kaynak, Z. Biosorption of a reactive textile dye from aqueous solutions utilizing an agro-waste. Desalination 2009, 249, 757–761. [Google Scholar] [CrossRef]
- Malik, R.; Ramteke, D.S.; Wate, S.R. Adsorption of malachite green on groundnut shell waste based powdered activated carbon. Waste Manag. 2007, 27, 1129–1138. [Google Scholar] [CrossRef] [PubMed]
- Monvisade, P.; Siriphannon, P. Chitosan intercalated montmorillonite: Preparation, characterization and cationic dye adsorption. Appl. Clay Sci. 2009, 42, 427–431. [Google Scholar] [CrossRef]
- Ofomaja, A.E.; Ukpebor, E.E.; Uzoekwe, S.A. Biosorption of Methyl violet onto palm kernel fiber: Diffusion studies and multistage process design to minimize biosorbent mass and contact time. Biomass Bioenergy 2011, 35, 4112–4123. [Google Scholar] [CrossRef]
- Esteva, M.; Ruiz, A.M.; Stoka, A.M. Trypanosoma cruzi: Methoprene is a potent agent to sterilize blood infected with trypomastigotes. Exp. Parasitol. 2002, 100, 248–251. [Google Scholar] [CrossRef]
- Laube, S. Skin infections and ageing. Ageing Res. Rev. 2004, 3, 69–89. [Google Scholar] [CrossRef]
- Saji, M.; Taguchi, S.; Uchiyama, K.; Osono, E.; Hayama, N.; Ohkuni, H. Efficacy of gentian violet in the eradication of methicillin-resistant Staphylococcus aureus from skin lesions. J. Hosp. Infect. 1995, 31, 225–228. [Google Scholar] [CrossRef] [Green Version]
- Wainwright, M. Dyes for the medical industry. In Handbook of Textile and Industrial Dyeing; Woodhead Publishing: London, UK, 2011; pp. 204–230. [Google Scholar]
- Li, P.; Su, Y.J.; Wang, Y.; Liu, B.; Sun, L.M. Bioadsorption of methyl violet from aqueous solution onto Pu-erh tea powder. J. Hazard. Mater. 2010, 179, 43–48. [Google Scholar] [CrossRef]
- Bonetto, L.R.; Ferrarini, F.; De Marco, C.; Crespo, J.S.; Guégan, R.; Giovanela, M. Removal of methyl violet 2B dye from aqueous solution using a magnetic composite as an adsorbent. J. Water Process Eng. 2015, 6, 11–20. [Google Scholar] [CrossRef] [Green Version]
- Wu, J.; Eiteman, M.A.; Law, S.E. Evaluation of membrane filtration and ozonation processes for treatment of reactive-dye wastewater. J. Environ. Eng. 1998, 124, 272–277. [Google Scholar] [CrossRef]
- Vimonses, V.; Lei, S.; Jin, B.; Chow, C.W.K.; Saint, C. Kinetic study and equilibrium isotherm analysis of Congo Red adsorption by clay materials. Chem. Eng. J. 2009, 148, 354–364. [Google Scholar] [CrossRef]
- Moghaddam, S.S.; Moghaddam, M.R.A.; Arami, M. Coagulation/flocculation process for dye removal using sludge from water treatment plant: Optimization through response surface methodology. J. Hazard. Mater. 2010, 175, 651–657. [Google Scholar] [CrossRef]
- Hisaindee, S.; Meetani, M.A.; Rauf, M.A. Application of LC-MS to the analysis of advanced oxidation process (AOP) degradation of dye products and reaction mechanisms. TrAC Trends Anal. Chem. 2013, 49, 31–44. [Google Scholar] [CrossRef]
- Turhan, K.; Durukan, I.; Ozturkcan, S.A.; Turgut, Z. Decolorization of textile basic dye in aqueous solution byozone. Dye. Pigment. 2012, 92, 897–901. [Google Scholar] [CrossRef]
- Tong, Z.; Zheng, P.; Bai, B.; Wang, H.; Suo, Y. Adsorption Performance of Methyl Violet via α-Fe2O3@Porous Hollow Carbonaceous Microspheres and Its Effective Regeneration through a Fenton-Like Reaction. Catalysts 2016, 6, 58. [Google Scholar] [CrossRef] [Green Version]
- Wang, L.; Zhang, J.; Zhao, R.; Li, C.; Li, Y.; Zhang, C. Adsorption of basic dyes on activated carbon prepared from Polygonum orientale Linn: Equilibrium, kinetic and thermodynamic studies. Desalination 2010, 254, 68–74. [Google Scholar] [CrossRef]
- Baouch, Z.; Benabadji, K.I.; Bouras, B. Adsorption of Different Dyes from Aqueous Solutions Using Organo-clay Compposites. Phys. Chem. Res. 2020, 8, 767–787. [Google Scholar]
- Çelekli, A.; Birecikligil, S.S.; Geyik, F.; Bozkurt, H. Prediction of removal efficiency of lanaset red G on walnut husk using artificial neural network model. Bioresour. Technol. 2012, 103, 64–70. [Google Scholar] [CrossRef]
- Zhu, H.Y.; Jiang, R.; Fu, Y.Q.; Jiang, J.H.; Xiao, L.; Zeng, G.M. Preparation, characterization and dye adsorption properties of γ-Fe2O3/SiO2/Chitosan Composite. Appl. Surf. Sci. 2011, 258, 1337–1344. [Google Scholar] [CrossRef]
- Xu, R.K.; Xiao, S.C.; Yuan, J.H.; Zhao, A.Z. Adsorption of methyl violet from aqueous solutions by the biochars derived from crop residues. Bioresour. Technol. 2011, 102, 10293–10298. [Google Scholar] [CrossRef] [PubMed]
- Akgül, M.; Karabakan, A. Promoted dye adsorption performance over desilicated natural zeolite. Microporous Mesoporous Mater. 2011, 145, 157–164. [Google Scholar] [CrossRef]
- Huang, X.Y.; Bu, H.T.; Jiang, G.B.; Zeng, M.H. Cross-linked succinyl chitosan as an adsorbent for the removal of methylene blue from aqueous solution. Int. J. Biol. Macromol. 2011, 49, 643–651. [Google Scholar] [CrossRef] [PubMed]
- Heddi, D.; Benkhaled, A.; Boussaid, A.; ChoukchouBraham, E. Adsorption of anionic dyes on poly(N-vinylpyrrolidone) modified bentonite. Phys. Chem. Res. 2019, 7, 731–749. [Google Scholar]
- Medjahed, K.; Tennouga, L.; Mansri, A.; Hammouti, B.; Desbrières, J. Interaction between poly(4-vinylpyridine-graft-bromodecane) and textile blue basic dye by spectrophotometric study. Res. Chem. Intermed. 2013, 39, 3199–3208. [Google Scholar] [CrossRef]
- Ghaedi, M.; Hossainian, H.; Montazerozohori, M.; Shokrollahi, A.; Shojaipour, F.; Soylak, M.; Purkait, M.K. A Novel Acorn Based Adsorbent for the Removal of Brilliant Green. Desalination 2011, 281, 226–233. [Google Scholar] [CrossRef]
- Elmoubarki, R.; Mahjoubi, F.Z.; Tounsadi, H.; Moustadraf, J.; Abdennouri, M.; Zouhri, A.; El Albani, A.; Barka, N. Adsorption of textile dyes on raw and decanted moroccan clays: Kinetics, equilibrium and thermodynamics. Water Resour. Ind. 2015, 9, 16–29. [Google Scholar] [CrossRef]
- Bouberka, Z.; Khenifi, A.; Benderdouche, N.; Derriche, Z. Removal of supranol yellow 4GL by adsorption onto Cr-intercalated montmorillonite. J. Hazard. Mater. 2006, 133, 154–161. [Google Scholar] [CrossRef] [PubMed]
- Mousavi, S.M.; Babapoor, A.; Hashemi, S.A.; Medi, B.C. Adsorption and removal characterization of nitrobenzene by graphene oxide coated by polythiophene nanoparticles. Phys. Chem. Res. 2020, 8, 225–240. [Google Scholar]
- Ait Himi, M.; El Ghachtouli, S.; Amarray, A.; Zaroual, Z.; Bonnaillie, P.; Azzi, M. Removal of azo dye calcon using polyaniline films electrodeposited on SnO2 substrate. Phys. Chem. Res. 2020, 8, 111–124. [Google Scholar]
- Salari, H.; Kohantorabi, M. Fabrication of novel Fe2O3/MoO3/AgBr nanocomposites with enhanced photocatalytic activity under visible light irradiation for organic pollutant degradation. Adv. Powder Technol. 2020, 31, 493–503. [Google Scholar] [CrossRef]
- Salari, H.; Kohantorabi, M. Facile template-free synthesis of new α-MnO2 nanorod/silver iodide p-n junction nanocomposites with high photocatalytic performance. N. J. Chem. 2020, 44, 7401–7411. [Google Scholar] [CrossRef]
- Yahyaei, B.; Azizian, S. Rapid adsorption of binary dye pollutants onto the nanostructred mesoporous alumina. J. Mol. Liq. 2014, 199, 88–95. [Google Scholar] [CrossRef]
- Zolgharnein, J.; Bagtash, M.; Shariatmanesh, T. Simultaneous removal of binary mixture of Brilliant Green and Crystal Violet using derivative spectrophotometric determination, multivariate optimization and adsorption characterization of dyes on surfactant modified nano-γ-alumina. Spectrochim. Acta Part A Mol. Biomol. Spectrosc. 2015, 137, 1016–1028. [Google Scholar] [CrossRef] [PubMed]
- Javadian, H.; Angaji, M.T.; Naushad, M. Synthesis and characterization of polyaniline/γ-alumina nanocomposite: A comparative study for the adsorption of three different anionic dyes. J. Ind. Eng. Chem. 2014, 20, 3890–3900. [Google Scholar] [CrossRef]
- Liu, G.; Yang, R.L. Liquid adsorption of basic dye using silica aerogels with different textural properties. J. Non-Cryst. Solids 2010, 356, 250–257. [Google Scholar] [CrossRef]
- Krysztafkiewicz, A.; Binkowski, S.; Jesionowski, T. Adsorption of dyes on a silica surface. Appl. Surf. Sci. 2002, 199, 31–39. [Google Scholar] [CrossRef]
- Errais, E.; Duplay, J.; Elhabiri, M.; Khodja, M.; Ocampo, R.; Baltenweck-Guyot, R.; Darragi, F. Anionic RR120 dye adsorption onto raw clay: Surface properties and adsorption mechanism. Colloids Surf. Physicochem. Eng. Asp. 2012, 403, 69–78. [Google Scholar] [CrossRef]
- Miyamoto, N.; Kawai, R.; Kuroda, K.; Ogawa, M. Adsorption and aggregation of a cationic cyanine dye on layered clay minerals. Appl. Clay Sci. 2000, 16, 161–170. [Google Scholar] [CrossRef]
- Lagaly, G.; Ogawa, M.; Dékány, I. Chapter 10.3—Clay Mineral-Organic Interactions. Dev. Clay Sci. 2013, 5, 215–225. [Google Scholar]
- El Mouzdahir, Y.; Elmchaouri, A.; Mahboub, R.; Gil, A.; Korili, S.A. Equilibrium modeling for the adsorption of methylene blue from aqueous solutions on activated clay minerals. Desalination 2010, 250, 335–338. [Google Scholar] [CrossRef]
- Yuan, G.; Theng, B.; Churchman, G.; Gates, W. Clays and Clay Minerals for Pollution Control. Dev. Clay Sci. 2013, 5, 587–644. [Google Scholar]
- Vargas-Rodríguez, Y.M.; Obaya, A.; García-Petronilo, J.E.; Vargas-Rodríguez, G.I.; Gómez-Cortés, A.; Tavizón, G.; Chávez-Carvayar, J.A. Adsorption Studies of Aqueous Solutions of Methyl Green for Halloysite Nanotubes: Kinetics, Isotherms, and Thermodynamic Parameters. Am. J. Nanomater. 2021, 9, 1–11. [Google Scholar] [CrossRef]
- Ali, I.; Asim, M.; Khan, T.A. Low cost adsorbents for the removal of organic pollutants from wastewater. J. Environ. Manag. 2012, 113, 170–183. [Google Scholar] [CrossRef] [PubMed]
- Özcan, A.S.; Erdem, B.; Özcan, A. Adsorption of acid blue 193 from aqueous solutions onto Na-bentonite and DTMA-bentonite. J. Colloid Interface Sci. 2004, 280, 44–54. [Google Scholar] [CrossRef] [PubMed]
- Liu, R.; Zhang, B.; Mei, D.; Zhang, H.; Li, J. Adsorption of methyl violet from aqueous solution by halloysite nanotubes. Desalination 2011, 268, 111–116. [Google Scholar] [CrossRef]
- Chowdhury, S.; Mishra, R.; Saha, P.; Kushwaha, P. Adsorption thermodynamics, kinetics and isosteric heat of adsorption of malachite green onto chemically modified rice husk. Desalination 2011, 265, 159–168. [Google Scholar] [CrossRef]
- Hasani, N.; Selimi, T.; Mele, A.; Thaçi, V.; Halili, J.; Berisha, A.; Sadiku, M. Theoretical, Equilibrium, Kinetics and Thermodynamic Investigations of Methylene Blue Adsorption onto Lignite Coal. Molecules 2022, 27, 1856. [Google Scholar] [CrossRef]
- Berisha, A.; Podvorica, F.I.; Vataj, R. Corrosion Inhibition Study of Mild Steel in an Aqueous Hydrochloric Acid Solution Using Brilliant Cresyl Blue—A Combined Experimental and Monte Carlo Study. Port. Electrochim. Acta 2021, 39, 393–401. [Google Scholar] [CrossRef]
- Babas, H.; Khachani, M.; Warad, I.; Ajebli, S.; Guessous, A.; Guenbour, A.; Safi, Z.; Berisha, A.; Bellaouchou, A.; Abdelkader, Z.; et al. Sofosbuvir adsorption onto activated carbon derived from argan shell residue: Optimization, kinetic, thermodynamic and theoretical approaches. J. Mol. Liq. 2022, 356, 119019. [Google Scholar] [CrossRef]
- Sun, H.; Jin, Z.; Yang, C.; Akkermans, R.L.C.; Robertson, S.H.; Spenley, N.A.; Miller, S.; Todd, S.M. COMPASS II: Extended coverage for polymer and drug-like molecule databases. J. Mol. Model. 2016, 22, 47. [Google Scholar] [CrossRef]
- Dagdag, O.; Berisha, A.; Safi, Z.; Dagdag, S.; Berrani, M.; Jodeh, S.; Verma, C.; Ebenso, E.E.E.E.; Wazzan, N.; El Harfi, A. Highly durable macromolecular epoxy resin as anticorrosive coating material for carbon steel in 3% NaCl: Computational supported experimental studies. J. Appl. Polym. Sci. 2020, 137, 49003. [Google Scholar] [CrossRef]
- Berisha, A. The influence of the grafted aryl groups on the solvation properties of the graphyne and graphdiyne—A MD study. Open Chem. 2019, 17, 703–710. [Google Scholar] [CrossRef]
- Crini, G.; Peindy, H.N.; Gimbert, F.; Robert, C. Removal of C. I. Basic Green 4 (Malachite Green) from Aqueous Solutions by Adsorption Using Cyclodextrin-based Adsorbent: Kinetic and Equilibrium Studies. Sep. Purif. Technol. 2007, 53, 97–110. [Google Scholar] [CrossRef]
- Hussin, M.Z.; Talib, N.; Hussin, M.N.; Hanafiah, A.K.M.M.; Khalir, K.A.W.M.W. Methylene Blue Adsorption onto NaOH Modified Durian Leaf Powder: Isotherm and Kinetic Studies. Am. J. Environ. Eng. 2015, 5, 38–43. [Google Scholar]
- Ahmad, R.; Kumar, R. Adsorption studies of hazardous malachite green onto treated ginger waste. J. Environ. Manag. 2010, 91, 1032–1038. [Google Scholar] [CrossRef]
- Khattri, S.D.; Singh, M.K. Removal of malachite green from dye wastewater using neem sawdust by adsorption. J. Hazard. Mater. 2009, 167, 1089–1094. [Google Scholar] [CrossRef] [PubMed]
- Mahini, R.; Esmaeili, H.; Foroutan, R. Adsorption of methyl violet from aqueous solution using brown algae Padina sanctae-crucis. Turk. J. Biochem. 2018, 43, 623–631. [Google Scholar] [CrossRef]
- Mane, V.S.; Deo Mall, I.; Chandra Srivastava, V. Kinetic and equilibrium isotherm studies for the adsorptive removal of Brilliant Green dye from aqueous solution by rice husk ash. J. Environ. Manag. 2007, 84, 390–400. [Google Scholar] [CrossRef] [PubMed]
- Ukkund, S.J.; Puthiyillam, P.; Anqi, A.E.; Taqui, S.N.; Ali, M.A.; Syed, U.T.; Alghamdi, M.N.; Siddiqui, M.I.H.; Alshehri, H.M.; Safaei, M.R.; et al. A Recent Study on Remediation of Direct Blue 15 Dye Using Halloysite Nanotubes. Appl. Sci. 2021, 11, 8196. [Google Scholar] [CrossRef]
- Afroze, S.; Sen, T.K.; Ang, M.; Nishioka, H. Adsorption of methylene blue dye from aqueous solution by novel biomass Eucalyptus sheathiana bark: Equilibrium, kinetics, thermodynamics and mechanism. Desalination Water Treat. 2016, 57, 5858–5878. [Google Scholar] [CrossRef]
- Ghodbane, I.; Hamdaoui, O. Removal of mercury (II) from aqueous media using eucalyptus bark: Kinetic and equilibrium studies. J. Hazard. Mater. 2008, 160, 301–309. [Google Scholar] [CrossRef] [PubMed]
- Ponnusami, V.; Vikram, S.; Srivastava, S. Guava (Psidium guajava) leaf powder: Novel adsorbent for removal of methylene blue from aqueous solutions. J. Hazard. Mater. 2008, 152, 276–286. [Google Scholar] [CrossRef] [PubMed]
- Ponnusami, V.; Gunasekar, V.; Srivastava, S. Kinetics of methylene blue removal from aqueous solution using gulmohar (Delonix regia) plant leaf powder: Multivariate regression analysis. J. Hazard. Mater. 2009, 169, 119–127. [Google Scholar] [CrossRef] [PubMed]
- Kumar, P.S.; Ramalingam, S.; Sathishkumar, K. Removal of methylene blue dye from aqueous solution by activated carbon prepared from cashew nut shell as a new low-cost adsorbent. Korean J. Chem. Eng. 2011, 28, 149–155. [Google Scholar] [CrossRef]
- Zhao, M.; Liu, P. Adsorption behavior of methylene blue on halloysite nanotubes. Microporous Mesoporous Mater. 2008, 112, 419–424. [Google Scholar] [CrossRef]
- Dahri, M.K.; Kooh, M.R.R.; Lim, L.B.L. Removal of Methyl Violet 2B from Aqueous Solution Using Casuarina equisetifolia Needle. ISRN Environ. Chem. 2013, 8. [Google Scholar] [CrossRef] [Green Version]
- Yener, J.; Kopac, T.; Dogu, G.; Dogu, T. Adsorption of Basic Yellow 28 from aqueous solutions with clinoptilolite and amberlite. J. Colloid Interface Sci. 2006, 294, 255–264. [Google Scholar] [CrossRef] [PubMed]
- Fil, B.A.; Yilmaz, M.T.; Bayar, S.; Elkoca, M.T. Investigation of adsorption of the dyestuff astrazon red violet 3rn (basic violet 16) on montmorillonite clay. Braz. J. Chem. Eng. 2014, 31, 171–182. [Google Scholar] [CrossRef] [Green Version]
- Langmuir, I. The adsorption of gases on plane surfaces of glass, mica and platinum. J. Am. Chem. 1918, 40, 1361–1403. [Google Scholar] [CrossRef] [Green Version]
- Irannajad, M.; Haghighi, K.H.; Safarzade, E. Kinetic, thermodynamic and equilibrium studies on the removal of copper ions from aqueous solutions by natural and modified clinoptilolites. Korean J. Chem. Eng. 2015, 32, 1–11. [Google Scholar] [CrossRef]
- Khan, T.; Dahiya, A.S.; Ali, I. Use of kaolinite as adsorbent: Equilibrium, dynamics and thermodynamic studies on the adsorption of Rhodamine B from aqueous solution. Appl. Clay Sci. 2012, 69, 58–66. [Google Scholar] [CrossRef]
- Hu, Q.; Zhang, Z. Application of Dubinin–Radushkevich isotherm model at the solid/solution interface: A theoretical analysis. J. Mol. Liq. 2018, 277, 646–648. [Google Scholar] [CrossRef]
- Mittal, H.; Kumar, V.; Saruchi; Ray, S.S. Adsorption of methyl violet from aqueous solution using gum xanthan/Fe3O4 based nanocomposite hydrogel. Int. J. Biol. Macromol. 2016, 89, 1–11. [Google Scholar] [CrossRef]
- Bertolini, T.C.; Izidoro, J.D.; Magdalena, C.P.; Fungaro, D.A. Adsorption of Crystal Violet Dye from Aqueous Solution onto Zeolites from Coal Fly and Bottom Ashes. Orbital Electron. J. Chem. 2013, 5, 179–191. [Google Scholar]
- Hubbe, M.A.; Azizian, S.; Douven, S. Implications of apparent pseudo-second-order adsorption kinetics onto cellulosic materials: A review. BioResources 2019, 43, 7582–7626. [Google Scholar] [CrossRef]
- Oloo, M.C.; Onyari, M.J.; Wanyonyi, C.W.; Wabomba, N.J.; Muinde, M.V. Adsorptive removal of hazardous crystal violet dye form aqueous solution using Rhizophora mucronata stem-barks: Equilibrium and kinetics studies. Environ. Chem. Ecotoxicol. 2020, 2, 64–72. [Google Scholar] [CrossRef]
- Shee, A.; Onyari, J.M.; Wabomba, J.N.; Munga, D. Methylene Blue Adsorption onto Coconut husks/Polylactide Blended Films: Equilibrium and Kinetic Studies. Chem. Mater. Res. 2014, 6, 28–37. [Google Scholar]
- Cheruiyot, G.K.; Wanyonyi, W.C.; Kiplimo, J.J.; Maina, E.N. Adsorption of toxic crystal violet dye using coffee husks: Equilibrium, kinetics and thermodynamics study. Sci. Afr. 2019, 5, e00116. [Google Scholar] [CrossRef]
- Tran, H.N.; You, S.J.; Chao, H.P. Thermodynamic parameters of cadmium adsorption onto orange peel calculated from various methods: A comparison study. J. Environ. Chem. Eng. 2016, 4, 2671–2682. [Google Scholar] [CrossRef]
- Xie, S.; Zhang, C.; Zhou, X.; Yang, J.; Zhang, X.; Wang, J. Comments on “removal of uranium (VI) from aqueous solution by adsorption of hematite”. J. Environ. Radioact. 2009, 100, 921–922. [Google Scholar]
- Chiou, M.S.; Li, H.Y. Adsorption behaviour of reactive dye in aqueous solution on chemical cross-linked chitosan beads. Chemosphere 2003, 50, 1095–1105. [Google Scholar] [CrossRef]
- Nollet, H.; Roels, M.; Lutgen, P.; Van der Meeren, P.; Verstraete, W. Removal of PCBs from wastewater using fly ash. Chemosphere 2003, 53, 655–665. [Google Scholar] [CrossRef]














| Model | Equation | Parameters |
|---|---|---|
| Isotherm models | ||
| Langmuir | qe (mg g−1)—equilibrium adsorption capacity | |
| qm (mg g−1)—maximum adsorption capacity | ||
| KL (L mg−1)—Langmuir constant Ce (mg L−1)—equilibrium dye concentration | ||
| Freundlich | KF—(mg g−1) (L g−1)1/n—Freundlich constant n—heterogeneity factor | |
| Temkin | KT (L g−1)—Temkin constant related to adsorption capacity. bT (J mol−1)—Temkin constant related to the heat of sorption | |
| Dubinin–Radushkevich (D-R) | β (mol2/J2): D-R constant ε (J mol−1): Polanyi potential R (8.314 J mol−1 K−1)—universal gas constant T (K)—temperature | |
| Kinetic models | ||
| First-order | qt (mg g−1): amount of adsorbate adsorbed at time t k1 (min−1): first-order rate constant | |
| Pseudo-first-order | k1 (min−1): pseudo-first-order rate constant | |
| Second-order | k2 (L mg−1 min−1): second-order rate constant | |
| Pseudo-second order | k2 (g mg−1 min−1): pseudo-second-order rate constant | |
| Intraparticle-diffusion | ki (mg g−1 min−0.5): intraparticle diffusion rate constant | |
| Liquid film diffusion | F—fractional attainment of equilibrium, equal to qt/qe | |
| Model | Parameters | ||||
|---|---|---|---|---|---|
| Equation | 284.15 K | 298.15 K | 313.15 K | ||
| Langmuir | qm (mg g−1) KL (L mg−1) RL R2 RMSE | 27.8550 2.0200 0.0025 0.9990 0.4700 | 27.7000 2.3900 0.0021 0.9940 0.6500 | 25.3800 8.9500 0.0006 0.9998 0.7000 | |
| Freundlich | KF (mg g−1) n R2 RMSE | 17.5700 3.3200 0.9600 0.9200 | 18.4000 3.3300 0.9575 0.8000 | 21.0800 5.3600 0.8086 1.9900 | |
| Temkin | KT (L mg−1) RT/b (kJ/mol) bT (J mol−1) R2 RMSE | 27.9300 5.4310 435.0000 0.9834 0.5500 | 32.7200 5.4220 457.1800 0.9770 0.6400 | 529.1100 3.4400 755.7800 0.8642 9.7100 | |
| D-R | qm (mg g−1) β E (kJ/mol) R2 RMSE | 23.0100 7 ×10−8 2.6720 0.9402 1.1600 | 23.9700 6 × 10−8 2.890 0.9761 0.8400 | 24.8300 2 × 10−8 5.000 0.9811 6.6000 | |
| Adsorbent | qmax/mg g−1 | Ref |
|---|---|---|
| Natural and Zwitterionic Surfactant-modified Clay | 54.61 | [1] |
| Halloysite Nanotubes | 187.18 | [46] |
| DTMA-bentonite | 740.5 | [48] |
| Lignit coal | 40.82 | [50] |
| Halloysite Nanotubes | 97.96 | [75] |
| Halloysite Nanotubes | 84.32 | [78] |
| Na-bentonite | 67.1 | [48] |
| Magnetic composite | 20.04 | [13] |
| HNC | 27.7 | This study |
| Model | qe,exp (mg g−1) | Parameters | |
|---|---|---|---|
| First-order | 18.648 | k1 (min−1) qe,calc (mg g−1) R2 | 0.0500 18.5200 0.9444 |
| Pseudo first-order | k1 (min−1) qe,calc (mg g−1) R2 | 0.0188 0.3450 0.6135 | |
| Second-order | k2 (g mg−1 min−1) R2 | 0.0050 0.6927 | |
| Pseudo second-order | k2 (gmg−1 min−1) qe,calc (mg g−1) R2 | 0.6300 18.5900 1 | |
| Intrapaticle diffusion | ki (mg g−1 min−1/2) C R2 | 0.0650 18.0700 0.5254 | |
| Liquid film diffusion | Kfd C R2 | 0.0188 3.9895 0.6135 | |
| Temperature (K) | ΔG0 (kJ/mol) | ΔH0 (kJ/mol) | ΔS0 (J/mol K) |
|---|---|---|---|
| 313.15 | −41.68 | 37.84 | 252.30 |
| 298.15 | −36.40 | ||
| 284.15 | −34.30 |
| Molecule | Adsorption Media | ||
|---|---|---|---|
| Min. | Max. | Mean Value | |
| MV | −847.15 | −903.55 | −875.35 |
Publisher’s Note: MDPI stays neutral with regard to jurisdictional claims in published maps and institutional affiliations. |
© 2022 by the authors. Licensee MDPI, Basel, Switzerland. This article is an open access article distributed under the terms and conditions of the Creative Commons Attribution (CC BY) license (https://creativecommons.org/licenses/by/4.0/).
Share and Cite
Sadiku, M.; Selimi, T.; Berisha, A.; Maloku, A.; Mehmeti, V.; Thaçi, V.; Hasani, N. Removal of Methyl Violet from Aqueous Solution by Adsorption onto Halloysite Nanoclay: Experiment and Theory. Toxics 2022, 10, 445. https://doi.org/10.3390/toxics10080445
Sadiku M, Selimi T, Berisha A, Maloku A, Mehmeti V, Thaçi V, Hasani N. Removal of Methyl Violet from Aqueous Solution by Adsorption onto Halloysite Nanoclay: Experiment and Theory. Toxics. 2022; 10(8):445. https://doi.org/10.3390/toxics10080445
Chicago/Turabian StyleSadiku, Makfire, Teuta Selimi, Avni Berisha, Arsim Maloku, Valbonë Mehmeti, Veprim Thaçi, and Naim Hasani. 2022. "Removal of Methyl Violet from Aqueous Solution by Adsorption onto Halloysite Nanoclay: Experiment and Theory" Toxics 10, no. 8: 445. https://doi.org/10.3390/toxics10080445
APA StyleSadiku, M., Selimi, T., Berisha, A., Maloku, A., Mehmeti, V., Thaçi, V., & Hasani, N. (2022). Removal of Methyl Violet from Aqueous Solution by Adsorption onto Halloysite Nanoclay: Experiment and Theory. Toxics, 10(8), 445. https://doi.org/10.3390/toxics10080445

