In Vitro Antibacterial Activity of Hibiscus sabdariffa L. Phenolic Extract and Its In Situ Application on Shelf-Life of Beef Meat
Abstract
1. Introduction
2. Materials and Methods
2.1. Phenolic Extraction
2.2. Organic Phase Fractionation
2.3. Solid Phase Extraction (SPE)
2.4. Total Polyphenols Quantification
2.5. Polyphenols Characterization
2.6. Antimicrobial Activity (In Vitro)
2.7. Antimicrobial Activity (In Situ)
2.8. Shelf-Life Microbiological Analysis
2.9. Color Evaluation
2.10. Sensory Evaluation
2.11. Statistical Analysis
3. Results
3.1. Polyphenols Characterization
3.2. Fractionation
3.3. Antimicrobial Activity (In Vitro)
3.4. Antimicrobial Activity (In Situ)
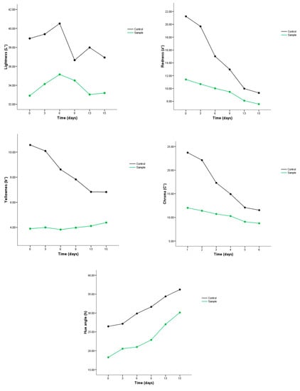
3.5. Color Evaluation
3.6. Sensory Evaluation
4. Conclusions
Author Contributions
Funding
Acknowledgments
Conflicts of Interest
References
- Fu, L.; Lu, W.Q.; Zhou, X.M. Phenolic Compounds and In Vitro Antibacterial and Antioxidant Activities of Three Tropic Fruits: Persimmon, Guava, and Sweetsop. BioMed. Res. Int. 2016, 2016. [Google Scholar] [CrossRef]
- Tajkarimi, M.M.; Ibrahim, S.A.; Cliver, D.O. Antimicrobial Herb and Spice Compounds in Food. Food Control 2010, 21, 1199–1218. [Google Scholar] [CrossRef]
- Burt, S. Essential Oils: Their Antibacterial Properties and Potential Applications in Foods—A Review. Int. J. Food Microbiol. 2004, 94, 223–253. [Google Scholar] [CrossRef]
- Ceylan, E.; Fung, D.Y.C. Antimicrobial Activity of Spices. J. Rapid Methods Autom. Microbiol. 2004, 12, 1–55. [Google Scholar] [CrossRef]
- Palaniappan, K.; Holley, R.A. Use of Natural Antimicrobials to Increase Antibiotic Susceptibility of Drug Resistant Bacteria. Int. J. Food Microbiol. 2010, 140, 164–168. [Google Scholar] [CrossRef] [PubMed]
- Da-Costa-Rocha, I.; Bonnlaender, B.; Sievers, H.; Pischel, I.; Heinrich, M. Hibiscus Sabdariffa L.—A Phytochemical and Pharmacological Review. Food Chem. 2014, 165, 424–443. [Google Scholar] [CrossRef] [PubMed]
- Cid-Ortega, S.; Guerrero-Beltrán, J.A. Roselle Calyces (Hibiscus Sabdariffa), an Alternative to the Food and Beverages Industries: A Review. J. Food Sci. Technol. 2015, 52, 6859–6869. [Google Scholar] [CrossRef]
- Shruthi, V.H.; Ramachandra, C.T.; Nidoni, U.; Hiregoudar, S.; Naik, N.; Kurubar, A. Roselle (Hibiscus Sabdariffa L.) as a Source of Natural Colour: A Review. Plant Arch. 2016, 16, 515–522. [Google Scholar]
- Herald, P.J.; Davidson, P.M. Antibacterial Activity of Selected Hydroxycinnamic Acids. J. Food Sci. 1983, 48, 1378–1379. [Google Scholar] [CrossRef]
- Taylor, P.W.; Hamilton-Miller, J.M.T.; Stapleton, P.D. Antimicrobial Properties of Green Tea Catechins. Food Sci. Technol. Bull. 2005, 2, 71–81. [Google Scholar] [CrossRef]
- Jaroni, D.; Ravishankar, S. Bactericidal Effects of Roselle (Hibiscus Sabdariffa) against Foodborne Pathogens in vitro and on Romaine Lettuce and Alfalfa Sprouts. Qual. Assur. Saf. Crop. Foods 2012, 4, 33–40. [Google Scholar] [CrossRef]
- Higginbotham, K.L.; Burris, K.P.; Zivanovic, S.; Davidson, P.M.; Stewart, C.N. Aqueous Extracts of Hibiscus Sabdariffa Calyces as an Antimicrobial Rinse on Hot Dogs against Listeria Monocytogenes and Methicillin-Resistant Staphylococcus Aureus. Food Control 2014, 40, 274–277. [Google Scholar] [CrossRef]
- Higginbotham, K.L.; Burris, K.P.; Zivanovic, S.; Davidson, P.M.; Stewart, C.N. Antimicrobial Activity of Hibiscus Sabdariffa Aqueous Extracts against Escherichia Coli O157:H7 and Staphylococcus Aureus in a Microbiological Medium and Milk of Various Fat Concentrations. J. Food Prot. 2014, 77, 262–268. [Google Scholar] [CrossRef] [PubMed]
- Al-Hashimi, A.G. Antioxidant and Antibacterial Activities of Hibiscus Sabdariffa L. Extracts. African J. Food Sci. 2012, 6, 506–511. [Google Scholar] [CrossRef]
- Olaleye, T.M. Cytotoxicity and Antibacterial Activity of Methanolic Extract of Hibiscus Sabdariffa. J. Med. Plants Res. 2007, 1, 9–13. [Google Scholar]
- Balouiri, M.; Sadiki, M.; Ibnsouda, S.K. Methods for in Vitro Evaluating Antimicrobial Activity: A Review. J. Pharm. Anal. 2016, 6, 71–79. [Google Scholar] [CrossRef]
- Singleton, V.L.; Rossi, J.A. Colorimetry of Total Phenolics with Phosphomolybdic-Phosphotungstic Acid Reagents. Am. J. Enol. Vitic. 1965, 16, 144–158. [Google Scholar]
- Salas, E.; Fulcrand, H.; Poncet-Legrand, C.; Meudec, E.; Köhler, N.; Winterhalter, P.; Cheynier, V. Isolation of flavanol-anthocyanin adducts by countercurrent chromatography. J. Chroma Sci. 2005, 488–493. [Google Scholar] [CrossRef]
- CLS. M07 Methods for Dilution Antimicrobial Susceptibility Tests for Bacteria That Grow; CLSI: Wayne, PA, USA, 2018. [Google Scholar]
- De Secretaría, S. NORMA Oficial Mexicana NOM-092-SSA1-1994, Bienes y Servicios. Método Para La Cuenta de Bacterias Aerobias En Placa; Diario Oficial de la Federación: Ciudad de México, Mexico, 1995. [Google Scholar]
- Anzaldúa-Morales, A. La Evaluación Sensorial de Los Alimentos En La Teoría y La Práctica; Editorial Acribia S.A.: Zaragoza España, Spain, 1994. [Google Scholar]
- Grajeda-Iglesias, C.; Figueroa-Espinoza, M.C.; Barouh, N.; Baréa, B.; Fernandes, A.; De Freitas, V.; Salas, E. Isolation and Characterization of Anthocyanins from Hibiscus Sabdariffa Flowers. J. Nat. Prod. 2016, 79, 1709–1718. [Google Scholar] [CrossRef]
- Grajeda-Iglesias, C.; Salas, E.; Barouh, N.; Baréa, B.; Figueroa-Espinoza, M.C. Lipophilization and MS characterization of the main anthocyanins purified from hibiscus flowers. Food Chem. 2017, 189–194. [Google Scholar] [CrossRef]
- Sáyago-Ayerdi, S.G.; Arranz, S.; Serrano, J.; Goñi, I. Dietary Fiber Content and Associated Antioxidant Compounds in Roselle Flower (Hibiscus Sabdariffa L.) Beverage. J. Agric. Food Chem. 2007, 55, 7886–7890. [Google Scholar] [CrossRef] [PubMed]
- Abou-Arab, A.A.; Abu-Salem, F.M.; Abou-Arab, E.A. Physico-Chemical Properties of Natural Pigments (Anthocyanin) Extracted from Roselle Calyces (Hibiscus Subdariffa). J. Am. Sci. 2011, 7, 445–456. [Google Scholar]
- Borrás-Linares, I.; Fernández-Arroyo, S.; Arráez-Roman, D.; Palmeros-Suárez, P.A.; Del Val-Díaz, R.; Andrade-Gonzáles, I.; Fernández-Gutiérrez, A.; Gómez-Leyva, J.F.; Segura-Carretero, A. Characterization of Phenolic Compounds, Anthocyanidin, Antioxidant and Antimicrobial Activity of 25 Varieties of Mexican Roselle (Hibiscus Sabdariffa). Ind. Crops Prod. 2015, 69, 385–394. [Google Scholar] [CrossRef]
- Zhang, H.; Wu, J.; Guo, X. Effects of Antimicrobial and Antioxidant Activities of Spice Extracts on Raw Chicken Meat Quality. Food Sci. Hum. Wellness 2016, 5, 39–48. [Google Scholar] [CrossRef]
- Oussalah, M.; Caillet, S.; Salmiéri, S.; Saucier, L.; Lacroix, M. Antimicrobial and Antioxidant Effects of Milk Protein-Based Film Containing Essential Oils for the Preservation of Whole Beef Muscle. J. Agric. Food Chem. 2004, 52, 5598–5605. [Google Scholar] [CrossRef]
- Larraín, R.E.; Krueger, C.G.; Richards, M.P.; Reed, J.D. Color Changes and Lipid Oxidation in Pork Products Made from Pigs Fed with Cranberry Juice Powder. J. Muscle Foods 2008, 19, 17–33. [Google Scholar] [CrossRef]







| Concentration (mg/L) GAE | |
|---|---|
| Brute hibiscus phenolic extract (HE) | 15,250 |
| Aqueous phase (AP) | 12,700 |
| Organic phase (OP) | 13,500 |
| Fraction 1 (F1) | 3190 |
| Fraction 2 (F2) | 3290 |
| Fraction 3 (F3) | 3180 |
| Fraction rich in anthocyanins (FRA) | 4800 |
| Gram-Negative | Gram-Positive | |||||||||
|---|---|---|---|---|---|---|---|---|---|---|
| E. coli | S. enterica serovar Typhimurium | S. aureus | L. monocytogenes | Bacillus cereus | ||||||
| MIC | MBC | MIC | MBC | MIC | MBC | MIC | MBC | MIC | MBC | |
| Hibiscus extract | 300 | 500 | 300 | 500 | 200 | 400 | 200 | 400 | 200 | 300 |
| AP | 300 | 400 | 250 | 400 | 300 | 400 | 250 | 400 | 200 | 250 |
| FRA | 300 | 400 | 300 | 300 | 300 | >500 | 300 | >500 | 200 | 400 |
| OP | 125 | 200 | 150 | 200 | 125 | 150 | 125 | 150 | 90 | 100 |
| F1 | 25 | 25 | 25 | 25 | 25 | 50 | 25 | 50 | 25 | >75 |
| F2 | 300 | 300 | 300 | 300 | 300 | 750 | 300 | 750 | 200 | >500 |
| F3 | 300 | 500 | 300 | 500 | 500 | 750 | 500 | 750 | 300 | >750 |
| Gram-Negative | Gram-Positive | |||||||||
|---|---|---|---|---|---|---|---|---|---|---|
| E. coli | S. enterica serovar Typhimurium | S. aureus | L. monocytogenes | Bacillus cereus | ||||||
| MIC | MBC | MIC | MBC | MIC | MBC | MIC | MBC | MIC | MBC | |
| Chlorogenic acid | >1000 | >1000 | >1000 | >1000 | >1000 | >1000 | >1000 | >1000 | >1000 | >1000 |
| Caffeic acid | >1000 | >1000 | 300 | 500 | >1000 | >1000 | >1000 | >1000 | 800 | >1000 |
| Gallic acid | >1000 | >1000 | 50 | 50 | 600 | >800 | 400 | >600 | 100 | 150 |
| Protocatechuic acid | >1000 | >1000 | >1000 | >1000 | >1000 | >1000 | 600 | >800 | 500 | 700 |
| Quercetin | >1000 | >1000 | >1000 | >1000 | >1000 | >1000 | >1000 | >1000 | >1000 | >1000 |
| Psychrophiles CFU/g | Mesophiles CFU/g | |
|---|---|---|
| Control | 2.76 × 109 | 1.86 × 109 |
| 3.46 × 109 | 1.86 × 109 | |
| 4.16 × 109 | 2.20 × 109 | |
| 250 mg/L | 1.09 × 108 | 9.60 × 107 |
| 1.16 × 108 | 8.70 × 107 | |
| 1.09 × 108 | 8.70 × 107 | |
| 500 mg/L | 2.45 × 107 | 5.80 × 107 |
| 2.15 × 107 | 7.70 × 107 | |
| 2.06 × 107 | 7.10 × 107 | |
| 750 mg/L | 1.38 × 105 | 6.00 × 106 |
| 1.38 × 105 | 6.00 × 106 | |
| 1.02 × 105 | 8.00 × 106 | |
| 1000 mg/L | 4.04 × 106 | 1.22 × 108 |
| 4.04 × 106 | 1.22 × 108 | |
| 1.09 × 106 | 1.16 × 108 | |
| 1250 mg/L | 6.35 × 105 | 3.65 × 106 |
| 6.35 × 105 | 3.65 × 106 | |
| 8.07 × 105 | 3.91 × 106 |
© 2020 by the authors. Licensee MDPI, Basel, Switzerland. This article is an open access article distributed under the terms and conditions of the Creative Commons Attribution (CC BY) license (http://creativecommons.org/licenses/by/4.0/).
Share and Cite
Márquez-Rodríguez, A.S.; Nevárez-Baca, S.; Lerma-Hernández, J.C.; Hernández-Ochoa, L.R.; Nevárez-Moorillon, G.V.; Gutiérrez-Méndez, N.; Muñoz-Castellanos, L.N.; Salas, E. In Vitro Antibacterial Activity of Hibiscus sabdariffa L. Phenolic Extract and Its In Situ Application on Shelf-Life of Beef Meat. Foods 2020, 9, 1080. https://doi.org/10.3390/foods9081080
Márquez-Rodríguez AS, Nevárez-Baca S, Lerma-Hernández JC, Hernández-Ochoa LR, Nevárez-Moorillon GV, Gutiérrez-Méndez N, Muñoz-Castellanos LN, Salas E. In Vitro Antibacterial Activity of Hibiscus sabdariffa L. Phenolic Extract and Its In Situ Application on Shelf-Life of Beef Meat. Foods. 2020; 9(8):1080. https://doi.org/10.3390/foods9081080
Chicago/Turabian StyleMárquez-Rodríguez, Ana Selene, Susana Nevárez-Baca, Julio César Lerma-Hernández, León Raul Hernández-Ochoa, Guadalupe Virginia Nevárez-Moorillon, Néstor Gutiérrez-Méndez, Laila Nayzzel Muñoz-Castellanos, and Erika Salas. 2020. "In Vitro Antibacterial Activity of Hibiscus sabdariffa L. Phenolic Extract and Its In Situ Application on Shelf-Life of Beef Meat" Foods 9, no. 8: 1080. https://doi.org/10.3390/foods9081080
APA StyleMárquez-Rodríguez, A. S., Nevárez-Baca, S., Lerma-Hernández, J. C., Hernández-Ochoa, L. R., Nevárez-Moorillon, G. V., Gutiérrez-Méndez, N., Muñoz-Castellanos, L. N., & Salas, E. (2020). In Vitro Antibacterial Activity of Hibiscus sabdariffa L. Phenolic Extract and Its In Situ Application on Shelf-Life of Beef Meat. Foods, 9(8), 1080. https://doi.org/10.3390/foods9081080

