Effect of Three Different Aloe vera Gel-Based Edible Coatings on the Quality of Fresh-Cut “Hayward” Kiwifruits
Abstract
1. Introduction
2. Materials and Methods
2.1. Vegetal Material
2.2. Preparation of Aloe vera Gel
2.3. Coating Formulation
- AVG, for samples treated with 40% v/w of Aloe vera gel only,
- HPMC, for samples treated with 40% v/w of Aloe vera gel and 0.1% v/w of hydroxypropyl methylcellulose,
- LEO, for samples treated with 40% v/w of Aloe vera gel and 1% v/w of lemon essential oil and
- CTR, for the untreated samples (treated only with chlorinated water 0.5% v/w).
2.4. Sample Preparation and Experimental Design
2.5. Physicochemical Analysis
2.6. Microbiological Analysis
2.7. Sensory Analysis
- marketability parameters, i.e., visual appearance (VA), color (C), sweetness (S), aroma intensity (AI), acidity (A) and fibrous meat texture (FFT) and
- parameters of physiological alterations, i.e., astringency (As), juiciness (J), dehydration (D) and rare flavors (RF).
2.8. Statistical Analysis
3. Results and Discussions
3.1. Flesh Color and Browning Determination
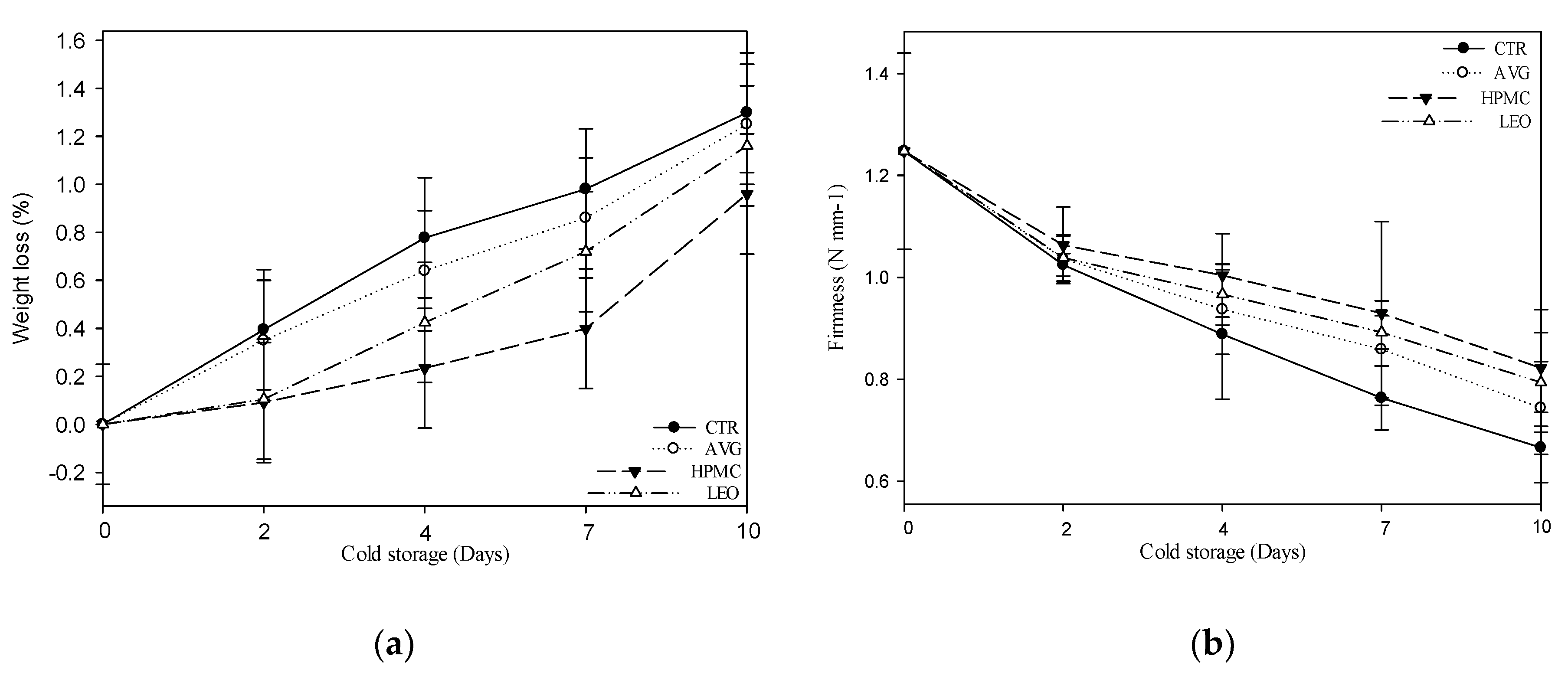
3.2. Weight Loss and Firmness
3.3. Total Soluble Solids Content, Titratable Acidity and pH
3.4. Microbiological Analysis
3.5. Sensory Analysis
4. Conclusions
Author Contributions
Funding
Acknowledgments
Conflicts of Interest
References
- Agar, I.T.; Massantini, R.; Hess-Pierce, B.; Kader, A.A. Postharvest CO2 and ethylene production and quality maintenance of fresh-cut kiwifruit slices. J. Food Sci. 1999, 64, 433–440. [Google Scholar] [CrossRef]
- Rico, D.; Martín-Diana, A.B.; Barat, J.M.; Barry-Ryan, C. Extending and measuring the quality of fresh-cut fruit and vegetables: A review. Trends Food Sci. Technol. 2007, 18, 373–386. [Google Scholar] [CrossRef]
- Xu, S.; Chen, X.; Sun, D. Preservation of kiwifruit coated with an edible film at ambient temperature. J. Food Eng. 2001, 50, 211–216. [Google Scholar] [CrossRef]
- Beever, D.J.; Hopkirk, G. Fruit development and fruit physiology. In Kiwifruit: Science and Management; Warrington, I.J., Weston, G.C., Eds.; Ray Richards Publisher: Auckland, New Zealand, 1990; pp. 97–126. [Google Scholar]
- Cozzolino, R.; De Giulio, B.; Petriccione, M.; Martignetti, A.; Malorni, L.; Zampella, L.; Pellicano, M.P. Comparative analysis of volatile metabolites, quality and sensory attributes of Actinidia chinensis fruit. Food Chem. 2020, 316, 126–340. [Google Scholar] [CrossRef]
- Antunes, M.D.C.; Neves, N.; Curado, F.; Rodrigues, S.; Franco, J.; Panagopoulos, T. The effect of calcium applications on kiwifruit quality preservation during storage. Acta Hort. (ISHS) 2007, 753, 727–732. [Google Scholar] [CrossRef]
- Diab, T.; Biliaderis, C.G.; Gerasopoulos, D.; Sfakiotakis, E. Physicochemical properties and application of pullulan edible films and coatings in fruit preservation. J. Sci. Food Agric. 2001, 81, 988–1000. [Google Scholar] [CrossRef]
- Du, J.; Gemma, H.; Iwahori, S. Effect of chitosan coating on the storage of peach, Japanese pear, and kiwifruit. J. Jpn. Soc. Hortic. Sci. 1997, 66, 15–22. [Google Scholar] [CrossRef]
- Fisk, C.L.; Silver, A.M.; Strik, B.C.; Zhao, Y. Postharvest quality of hardy kiwifruit (Actinidia arguta ‘Ananasnaya’) associated with packaging and storage conditions. Postharvest Biol. Technol. 2008, 47, 338–345. [Google Scholar] [CrossRef]
- Hertog, M.L.A.T.M.; Nicholson, S.E.; Jeffery, P.B. The effect of modified atmospheres on the rate of firmness change of ‘Hayward’ kiwifruit. Postharvest Biol. Technol. 2004, 31, 251–261. [Google Scholar] [CrossRef]
- Li, X.H.; Wang, C.J.; Wang, A.L.; Xiao, Y.; Tang, Y.; Li, W.L. Effect of polyolefin film on the quality of kiwifruit with 1-MCP treatment in modified atmosphere packages. Adv. Mater. Res. 2011, 236, 2769–2772. [Google Scholar] [CrossRef]
- Huang, Z.; Li, J.; Zhang, J.; Gao, Y.; Hui, G. Physicochemical properties enhancement of chinese kiwi kruit (Actinidia chinensis Planch) via chitosan coating enriched with salicylic acid treatment. J. Food Meas. Charac. 2016, 11, 184–191. [Google Scholar] [CrossRef]
- Allegra, A.; Inglese, P.; Sortino, G.; Settanni, L.; Todaro, A.; Liguori, G. The influence of Opuntia ficus-indica mucilage edible coating on the quality of ‘Hayward’ kiwifruit slices. Postharvest Biol. Technol. 2016, 120, 45–51. [Google Scholar] [CrossRef]
- Benítez, S.; Achaerandio, I.; Pujolà, M.; Sepulcre, F. Aloe vera as an alternative to traditional edible coatings used in fresh-cut fruits: A case of study with kiwifruit slices. LWT Food Sci. Technol. 2015, 61, 184–193. [Google Scholar] [CrossRef]
- Maskan, M. Drying, shrinkage and rehydration characteristics of kiwifruits during hot air and microwave drying. J. Food Eng. 2001, 48, 177–182. [Google Scholar] [CrossRef]
- Xiloyannis, C.; Montanaro, G.; Mininni, A.N.; Dichio, B. Sustainable production systems in fruit tree orchards. II Int. Symp. Hortic. Eur. 2012, 1099, 319–324. [Google Scholar] [CrossRef]
- Wiryawan, F.S.; Djatna, T. Value Chain and Sustainability Analysis of Fresh-cut Vegetable: A Case Study at SSS Co. J. Clean Prod. 2020, 121039. [Google Scholar] [CrossRef]
- Cha, D.S.; Chinnan, M.S. Biopolymer-based antimicrobial packaging: A review. Crit. Rev. Food Sci. Nutr. 2004, 44, 223–237. [Google Scholar] [CrossRef]
- Valverde, J.M.; Valero, D.; Martinez-Romero, D.; Guillen, F.; Castillo, S.; Serrano, M. Novel coating based on Aloe vera gel to maintain table grape quality and safety. J. Agric. Food Chem. 2005, 53, 7807–7813. [Google Scholar] [CrossRef]
- Xu, S.; Xu, L.D.; Chen, X. Determining optimum edible films for kiwifruits using an analytical hierarchy process. Comput. Oper. Res. 2003, 30, 877–886. [Google Scholar] [CrossRef]
- Baldwin, E.A.; Nisperos-Carriedo, M.O.; Baker, R.A. Use of edible coatings to preserve quality of lightly (and slightly) processed products. Crit. Rev. Food Sci. Nutr. 1995, 35, 509–524. [Google Scholar] [CrossRef]
- Barbosa, A.A.T.; de Arau´jo, H.G.S.; Matos, P.N.; Carnelossi, M.A.G.; De Castro, A.A. Effects of nisin incorporated films on the microbiological and physicochemical quality of minimally processed mangoes. Int. J. Food Microbiol. 2013, 164, 35–140. [Google Scholar] [CrossRef] [PubMed]
- Saba, M.K.; Sogvar, O.B. Combination of carboxymethyl cellulose-based coatings with calcium and ascorbic acid impacts in browning and quality of fresh-cut apples. LWT Food Sci. Technol. 2016, 66, 165–171. [Google Scholar] [CrossRef]
- Ni, Y.; Turner, D.; Yates, K.M.; Tizard, I. Isolation and characterization of structural components of Aloe vera L. leaf pulp. Int. Immunopharmacol. 2004, 4, 1745–1755. [Google Scholar] [CrossRef] [PubMed]
- Ahmed, M.J.; Singh, Z.; Khan, A.S. Postharvest Aloe vera gel-coating modulates fruit ripening and quality of ‘Arctic Snow’ nectarine kept in ambient and cold storage. Int. J. Food Sci. Technol. 2009, 44, 1024–1033. [Google Scholar] [CrossRef]
- Dang, K.T.H.; Singh, Z.; Swinny, E.E. Edible coatings influence fruit ripening, quality, and aroma biosynthesis in mango fruit. J. Agric. Food Chem. 2008, 56, 1361–1370. [Google Scholar] [CrossRef] [PubMed]
- Farina, V.; Passafiume, R.; Tinebra, I.; Palazzolo, E.; Sortino, G. Use of Aloe vera Gel-Based Edible Coating with Natural Anti-Browning and Anti-Oxidant Additives to Improve Post-Harvest Quality of Fresh-Cut ‘Fuji’ Apple. Agronomy 2020, 10, 515. [Google Scholar] [CrossRef]
- Ergun, M.; Satici, F. Use of Aloe vera gel as biopreservative for ‘Granny Smith’ and ‘Red Chief’ apples. J. Anim. Plant Sci. 2012, 22, 363–368. [Google Scholar]
- Farina, V.; Passafiume, R.; Tinebra, I.; Scuderi, D.; Saletta, F.; Gugliuzza, G.; Sortino, G. Postharvest Application of Aloe vera Gel-Based Edible Coating to Improve the Quality and Storage Stability of Fresh-Cut Papaya. J. Food Qual. 2020, 2020, 1–10. [Google Scholar] [CrossRef]
- Sortino, G.; Saletta, F.; Puccio, S.; Scuderi, D.; Allegra, A.; Inglese, P.; Farina, V. Extending the Shelf Life of White Peach Fruit with 1-Methylcyclopropene and Aloe arborescens Edible Coating. Agriculture 2020, 10, 151. [Google Scholar] [CrossRef]
- Saritha, V.; Anilakumar, K.R.; Khanum, F. Antioxidant and antibacterial activity of Aloe vera gel extracts. Int. J. Pharm. Biol. Arch. 2010, 1, 376–384. [Google Scholar] [CrossRef]
- Navarro-Tarazaga, M.L.; Del Rio, M.A.; Krochta, J.M.; Perez-Gago, M.B. Fatty Acid Effect on Hydroxypropyl Methylcellulose−Beeswax Edible Film Properties and Postharvest Quality of Coated ‘Ortanique’ Mandarins. J. Agric. Food Chem. 2008, 56, 10689–10696. [Google Scholar] [CrossRef] [PubMed]
- Fahs, A.; Brogly, M.; Bistac, S.; Schmitt, M. Hydroxypropyl methylcellulose (HPMC) formulated films: Relevance to adhesion and friction surface properties. Carbohydr. Polym. 2010, 80, 105–114. [Google Scholar] [CrossRef]
- Wang, S.; Lu, A.; Zhang, L. Recent advances in regenerated cellulose materials. Prog. Polym. Sci. 2016, 53. [Google Scholar] [CrossRef]
- Burdock, G.A. Safety assessment of hydroxypropyl methylcellulose as a food ingredient. Food Chem. Toxicol. 2007, 45, 2341–2351. [Google Scholar] [CrossRef]
- Benavides, S.; Villalobos-Carvajal, R.; Reyes, J.E. Physical, mechanical and antibacterial properties of alginate film: Effect of the cross-linking degree and oregano essential oil concentration. J. Food Eng. 2012, 110, 232–239. [Google Scholar] [CrossRef]
- Hosseini, S.F.; Rezaei, M.; Zandi, M.; Farahmandghavi, F. Bio-based composite edible films containing Origanum vulgare L. essential oil. Ind. Crops Prod. 2015, 67, 403–413. [Google Scholar] [CrossRef]
- Perone, N.; Torrieri, E.; Cavella, S.; Masi, P. Effect of rosemary oil on functional properties of HPMC films at different concentration. Food Bioprocess Technol. 2014, 7, 605–609. [Google Scholar] [CrossRef]
- Tirado, C.B.; Stashenko, E.E.; Combariza, M.Y.; Martinez, J.R. Comparative study of Colombian citrus oils by high-resolution gas chromatography and gas chromatography-mass spectrometry. J. Chromatogr. A 1995, 697, 501–513. [Google Scholar] [CrossRef]
- Bakkali, F.; Averbeck, S.; Averbeck, D.; Idaomar, M. Biological effects of essential oils—A review. Food Chem. Toxicol. 2008, 46, 446–475. [Google Scholar] [CrossRef]
- Burt, S. Essential oils: Their antibacterial properties and potential applications in foods—A review. Int. J. Food Microbiol. 2004, 94, 223–253. [Google Scholar] [CrossRef]
- Perdones, A.; Sánchez-González, L.; Chiralt, A.; Vargas, M. Effect of chitosan–lemon essential oil coatings on storage-keeping quality of strawberry. Postharvest Biol. Technol. 2012, 70, 32–41. [Google Scholar] [CrossRef]
- Passafiume, R.; Perrone, A.; Sortino, G.; Gianguzzi, G.; Saletta, F.; Gentile, C.; Farina, V. Chemical–physical Characteristics, Polyphenolic Content and Total Antioxidant Activity of Three Italian-Grown Pomegranate Cultivars. NFS J. 2019, 16, 9–14. [Google Scholar] [CrossRef]
- Ruangchakpet, A.; Sajjaanantakul, T. Effect of browning on total phenolic, flavonoid content and antioxidant activity in Indian gooseberry (Phyllanthus emblica Linn.). Kasetsart J. (Nat. Sci.) 2007, 41, 331–337. [Google Scholar] [CrossRef]
- Herigstad, B.; Hamilton, M.; Heersink, J. How to optimize the drop plate method for enumerating bacteria. J. Microbiol. Methods 2001, 44, 121–129. [Google Scholar] [CrossRef]
- Farina, V.; Sortino, G.; Saletta, F.; Passafiume, R.; Giuffré, D.; Gianguzzi, G.; Inglese, P.; Liguori, G. Effects of rapid refrigeration and modified atmosphere packaging on litchi (Litchi chinensis Sonn.) fruit quality traits. Chem. Eng. Trans. 2017, 58, 415–420. [Google Scholar] [CrossRef]
- Marsh, K.; Attanayake, S.; Walker, S.; Gunson, A.; Boldingh, H.; MacRae, E. Acidity and taste in kiwifruit. Postharvest Biol. Technol. 2004, 32, 159–168. [Google Scholar] [CrossRef]
- Chauhan, O.P.; Raju, P.S.; Singh, A.; Bawa, A.S. Shellac and aloe-gel-based surface coatings for maintaining keeping quality of apple slices. Food Chem. 2011, 126, 961–966. [Google Scholar] [CrossRef]
- Nishiyama, I.; Fukuda, T.; Oota, T. Genotypic differences in chlorophyll, lutein, and β-carotene contents in the fruits of Actinidia species. J. Agric. Food Chem. 2005, 53, 6403–6407. [Google Scholar] [CrossRef]
- Vargas, M.; Albors, A.; Chiralt, A.; González-Martínez, C. Quality of cold-stored strawberries as affected by chitosan–oleic acid edible coatings. Postharvest Biol. Technol. 2006, 41, 164–171. [Google Scholar] [CrossRef]
- Chitravathi, K.; Chauhan, O.P.; Raju, P.S. Postharvest shelf-life extension of green chillies (Capsicum annuum L.) using shellac-based edible surface coatings. Postharvest Biol. Technol. 2014, 92, 146–148. [Google Scholar] [CrossRef]
- Hodges, D.M. Postharvest Oxidative Stress in Horticultural Crops; CRC Press: Boca Raton, FL, USA, 2003. [Google Scholar]
- Ebrahimi, F.; Rastegar, S. Preservation of mango fruit with guar-based edible coatings enriched with Spirulina platensis and Aloe vera extract during storage at ambient temperature. Sci. Hort. 2020, 265, 109258. [Google Scholar] [CrossRef]
- Schroder, R.; Atkinson, R.G. Kiwifruit cell walls: Towards an understanding of softening. N. Z. J. For. Sci. 2006, 36, 112–129. [Google Scholar]
- Allegra, A.; Farina, V.; Inglese, P.; Gallotta, A.; Sortino, G. Qualitative traits and shelf life of fig fruit (cv Melanzana) treated with Aloe vera gel coating. VI International Symposium on Fig. Acta Hort. 2020, in press. [Google Scholar]
- Morillon, V.; Debeaufort, F.; Blond, G.; Capelle, M.; Voilley, A. Factors affecting the moisture permeability of lipid-based edible films: A review. Crit. Rev. Food Sci. Nutr. 2002, 42, 67–89. [Google Scholar] [CrossRef] [PubMed]
- Perez-Gago, M.B.; Rojas, C.; DelRio, M.A. Effect of lipid type and amount of edible hydroxypropyl methylcellulose-lipid composite coatings used to protect postharvest quality of mandarins cv. Fortune. J. Food Sci. 2002, 67, 2903–2909. [Google Scholar] [CrossRef]
- Navarro-Tarazaga, M.L.; Perez-Gago, M.B. Effect of edible coatings on quality of mandarins cv. Clemenules. Proc. Fla. Hortic. Soc. 2006, 119, 350–352. [Google Scholar]
- Choi, W.S.; Singh, S.; Lee, Y.S. Characterization of edible film containing essential oils in hydroxypropyl methylcellulose and its effect on quality attributes of ‘Formosa’ plum (Prunus salicina L.). LWT 2016, 70, 213–222. [Google Scholar] [CrossRef]
- Wiley, R.C. Introduction to minimally processed refrigerated fruits and vegetables. In Minimally Processed Refrigerated Fruits & Vegetables; Springer: Boston, MA, USA, 1994; pp. 1–14. [Google Scholar]
- Sànchez-Gonzàlez, L.; Pastor, C.; Vargas, M.; Chiralt, A.; Gonzalez-Martinez, C.; Chafer, M. Effect of hydroxypropyl methylcellulose and chitosan coatings with and without bergamot essential oil on quality and safety of cold-stored grapes. Postharvest Biol. Technol. 2011, 60, 57–63. [Google Scholar] [CrossRef]
- Benítez, S.; Achaerandio, I.; Sepulcre, F.; Pujolà, M. Aloe vera based edible coatings improve the quality of minimally processed ‘Hayward’ kiwifruit. Postharvest Biol. Technol. 2013, 81, 29–36. [Google Scholar] [CrossRef]
- Alfonzo, A.; Gaglio, R.; Miceli, A.; Francesca, N.; Di Gerlando, R.; Moschetti, G.; Settanni, L. Shelf life evaluation of fresh-cut red chicory subjected to different minimal processes. Food Microb. 2018, 73, 298–304. [Google Scholar] [CrossRef]
- Barth, M.; Hankinson, T.R.; Zhuang, H.; Breidt, F. Microbiological spoilage of fruits and vegetables. In Compendium of the Microbiological Spoilage of Foods and Beverages; Springer: New York, NY, USA, 2009; pp. 35–183. [Google Scholar] [CrossRef]
- Jay, J.M. Natural microbial ecosystems and their progression in fresh foods. Food Borne Microbes 2009, 41–61. [Google Scholar] [CrossRef]
- Martinez-Romero, D.; Albuurquerque, N.; Valverde, J.M.; Guillen, F.; Castillo, S.; Valero, D.; Serrano, M. Postharvest sweet cherry quality and safety maintenance by Aloe vera treatment: A new edible coating. Postharvest Biol. Technol. 2006, 39, 93–100. [Google Scholar] [CrossRef]
- Aloui, H.; Khwaldia, K. Natural antimicrobial edible coatings for microbial safety and food quality enhancement. Compr. Rev. Food Sci. Food Saf. 2016, 15, 1080–1103. [Google Scholar] [CrossRef]
- Randazzo, W.; Jimenez-Belenguer, A.; Settanni, L.; Perdones, A.; Moschetti, M.; Palazzolo, E. Antilisterial effect of citrus essential oils and their performance in edible film formulations. Food Control 2016, 59, 750–758. [Google Scholar] [CrossRef]
- Settanni, L.; Randazzo, W.; Palazzolo, E.; Moschetti, M.; Aleo, A.; Guarrasi, V. Seasonal variations of antimicrobial activity and chemical composition of essential oils extracted from three Citrus limon L. Burm. cultivars. Nat. Prod. Res. 2014, 28, 383–391. [Google Scholar] [CrossRef]
- Jacxsens, L.; Devlieghere, F.; Debevere, J. Behaviour of Listeria monocytogenes and Aeromonas spp. on fresh-cut produce packaged under equilibrium modified atmosphere. J. Food Prot. 1999, 62, 1128–1135. [Google Scholar] [CrossRef]
- Ragaert, P.; Verbeke, W.; Devlieghere, F.; Debevere, J. Consumer perception and choice of minimally processed vegetables and packaged fruits. Food Qual. Prefer. 2004, 15, 259–270. [Google Scholar] [CrossRef]
- O’Connor-Shaw, R.E.; Roberts, R.; Ford, A.L.; Nottingham, S.M. Shelf life of minimally processed honeydew, kiwifruit, papaya, pineapple and cantaloupe. J. Food Sci. 1994, 59, 1202–1206. [Google Scholar] [CrossRef]




| Treatments | 0 d | 2 d | 4 d | 7 d | 10 d | |||||||||||||||
|---|---|---|---|---|---|---|---|---|---|---|---|---|---|---|---|---|---|---|---|---|
| SSC (°Brix) | ||||||||||||||||||||
| CTR | 13.03 | ± | 1.8 | cA | 13.7 | ± | 1.89 | bB | 13.7 | ± | 0.42 | bB | 14 | ± | 0.81 | aB | 13.6 | ± | 1.61 | bB |
| AVG | 13.03 | ± | 1.8 | cA | 13.9 | ± | 0.21 | bA | 14.3 | ± | 4.08 | aA | 14.2 | ± | 0.56 | abA | 13.8 | ± | 1.76 | bcA |
| HPMC | 13.03 | ± | 1.8 | cA | 13.1 | ± | 0.62 | abC | 13.7 | ± | 0.96 | abB | 14.1 | ± | 0.31 | aB | 13.9 | ± | 2.27 | bA |
| LEO | 13.03 | ± | 1.8 | cA | 13.1 | ± | 0.78 | cC | 13.3 | ± | 1.86 | bC | 14.1 | ± | 0.38 | aB | 13.9 | ± | 0.87 | aA |
| TA (g citric acid·L−1) | ||||||||||||||||||||
| CTR | 0.77 | ± | 0.1 | aA | 0.44 | ± | 0.25 | bB | 0.27 | ± | 0.09 | cB | 0.23 | ± | 0.12 | cB | 0.18 | ± | 0.05 | cC |
| AVG | 0.77 | ± | 0.1 | aA | 0.43 | ± | 0.1 | bB | 0.37 | ± | 0.07 | bB | 0.32 | ± | 0.1 | bB | 0.26 | ± | 0.14 | bC |
| HPMC | 0.77 | ± | 0.1 | aA | 0.71 | ± | 0.1 | bAB | 0.64 | ± | 0.21 | abA | 0.6 | ± | 0.16 | abA | 0.5 | ± | 0.13 | abA |
| LEO | 0.77 | ± | 0.1 | aA | 0.7 | ± | 0.05 | aA | 0.53 | ± | 0.13 | bA | 0.51 | ± | 0.18 | bA | 0.42 | ± | 0.13 | bB |
| SSC/TA | ||||||||||||||||||||
| CTR | 17.00 | ± | 0.7 | bA | 30.8 | ± | 23.7 | aA | 50.2 | ± | 16.4 | abA | 61.9 | ± | 43.1 | abA | 77.2 | ± | 36.8 | abA |
| AVG | 17.00 | ± | 0.7 | bA | 32.4 | ± | 8.72 | abA | 38.3 | ± | 14.2 | aAB | 44.4 | ± | 13.6 | aA | 53.9 | ± | 54.7 | abA |
| HPMC | 17.00 | ± | 0.7 | aA | 18.5 | ± | 3.95 | aBC | 21.5 | ± | 9.35 | aB | 23.4 | ± | 5.64 | aA | 27.8 | ± | 6.22 | aA |
| LEO | 17.00 | ± | 0.7 | bA | 18.7 | ± | 2.99 | abC | 25 | ± | 9.99 | abB | 27.6 | ± | 13.9 | abA | 32.8 | ± | 12.9 | aA |
| Treatments | TMM | TPM | ||||||||
|---|---|---|---|---|---|---|---|---|---|---|
| 0 d | 2 d | 4 d | 7 d | 10 d | 0 d | 2 d | 4 d | 7 d | 10 d | |
| CTR | <2a | <2a | 3.39 ± 0.20a | 3.99 ± 0.10a | 4.73 ± 0.21a | <2a | <2a | <2a | 4.07 ± 0.29a | 4.88 ± 0.27b |
| AVG | <2a | <2a | 2.67 ± 0.10b | 3.47 ± 0.20b | 4.08 ± 0.13b | <2a | <2a | <2a | 3.35 ± 0.11b | 4.01 ± 0.10b |
| HPMC | <2a | <2a | 2.35 ± 0.19b | 3.15 ± 0.09bc | 3.65 ± 0.23b | <2a | <2a | <2a | 2.94 ± 0.17b | 3.78 ± 0.08b |
| LEO | <2a | <2a | 2.37 ± 0.23b | 2.97 ± 0.23c | 3.65 ± 0.25b | <2a | <2a | <2a | 3.00 ± 0.21b | 3.73 ± 0.15b |
| p-value | NS | NS | 0.0001 | 0.0001 | 0.001 | NS | NS | NS | 0.001 | 0.0001 |
| Treatments | Yeast | Molds | ||||||||
|---|---|---|---|---|---|---|---|---|---|---|
| 0 d | 2 d | 4 d | 7 d | 10 d | 0 d | 2 d | 4 d | 7 d | 10 d | |
| CTR | <2a | <2a | 3.21 ± 0.17a | 3.64 ± 0.23a | 3.97 ± 0.15a | <2a | <2a | <2a | 3.88 ± 0.17a | 4.46 ± 0.17a |
| AVG | <2a | <2a | 2.55 ± 0.14b | 2.87 ± 0.19b | 3.37 ± 0.20b | <2a | <2a | <2a | 3.13 ± 0.10b | 3.71 ± 0.09b |
| HPMC | <2a | <2a | 2.21 ± 0.25b | 2.44 ± 0.27b | 3.05 ± 0.25b | <2a | <2a | <2a | 2.84 ± 0.25b | 3.65 ± 0.21b |
| LEO | <2a | <2a | 2.29 ± 0.29b | 2.50 ± 0.23b | 3.07 ± 0.10b | <2a | <2a | <2a | 2.90 ± 0.21b | 3.67 ± 0.20b |
| p-value | NS | NS | 0.002 | 0.001 | 0.001 | NS | NS | NS | 0.001 | 0.001 |
© 2020 by the authors. Licensee MDPI, Basel, Switzerland. This article is an open access article distributed under the terms and conditions of the Creative Commons Attribution (CC BY) license (http://creativecommons.org/licenses/by/4.0/).
Share and Cite
Passafiume, R.; Gaglio, R.; Sortino, G.; Farina, V. Effect of Three Different Aloe vera Gel-Based Edible Coatings on the Quality of Fresh-Cut “Hayward” Kiwifruits. Foods 2020, 9, 939. https://doi.org/10.3390/foods9070939
Passafiume R, Gaglio R, Sortino G, Farina V. Effect of Three Different Aloe vera Gel-Based Edible Coatings on the Quality of Fresh-Cut “Hayward” Kiwifruits. Foods. 2020; 9(7):939. https://doi.org/10.3390/foods9070939
Chicago/Turabian StylePassafiume, Roberta, Raimondo Gaglio, Giuseppe Sortino, and Vittorio Farina. 2020. "Effect of Three Different Aloe vera Gel-Based Edible Coatings on the Quality of Fresh-Cut “Hayward” Kiwifruits" Foods 9, no. 7: 939. https://doi.org/10.3390/foods9070939
APA StylePassafiume, R., Gaglio, R., Sortino, G., & Farina, V. (2020). Effect of Three Different Aloe vera Gel-Based Edible Coatings on the Quality of Fresh-Cut “Hayward” Kiwifruits. Foods, 9(7), 939. https://doi.org/10.3390/foods9070939

