FT-NIRS Coupled with PLS Regression as a Complement to HPLC Routine Analysis of Caffeine in Tea Samples
Abstract
1. Introduction
2. Materials and Methods
2.1. Collection and Preparation of the Tea Samples and FT-NIRS Analysis
2.2. Partial Least-Squares Regression Analysis
2.3. HPLC-DAD Analysis
3. Results and Discussion
3.1. Near Infrared Spectra of the Caffeine and Tea Samples
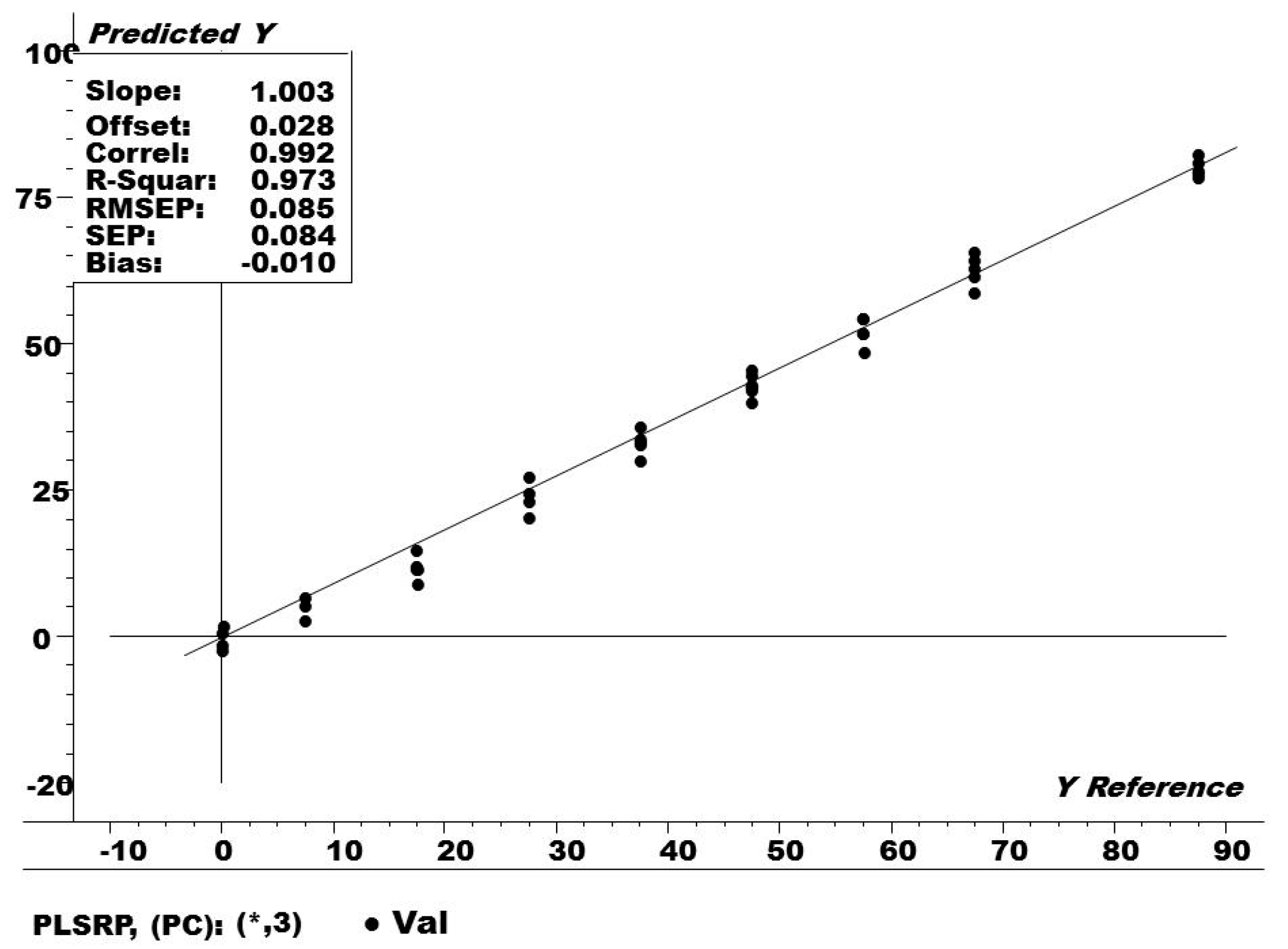
3.2. PLS Regression
3.3. HPLC Results
4. Conclusions
Supplementary Materials
Author Contributions
Funding
Acknowledgments
Conflicts of Interest
References
- Agelet, L.E.; Hurburgh, C.R., Jr. A tutorial on near infrared spectroscopy and its calibration. Crit. Rev. Anal. Chem. 2010, 40, 246–260. [Google Scholar] [CrossRef]
- Dong, W.; Ni, Y.; Kokot, S. A near-infrared reflectance spectroscopy method for direct analysis of several chemical components and properties of fruit, for example, Chinese hawthorn. J. Agric. Food Chem. 2013, 61, 540–546. [Google Scholar] [CrossRef] [PubMed]
- León, L.; Kelly, J.D.; Downey, G. Detection of apple juice adulteration using near-infrared transflectance spectroscopy. Appl. Spectrosc. 2005, 59, 593–599. [Google Scholar] [CrossRef] [PubMed]
- Chen, L.; Wang, J.; Ye, Z.; Zhao, J.; Xue, X.; Vander Heyden, Y.; Sun, Q. Classification of Chinese honeys according to their floral origin by near infrared spectroscopy. Food Chem. 2012, 135, 338–342. [Google Scholar] [CrossRef]
- Al-Harrasi, A.; Rehman, N.U.; Mabood, F.; Albroumi, M.; Ali, L.; Hussain, J.; Hussain, H.; Csuk, R.; Khan, A.L.; Alam, T. Application of NIRS coupled with PLS regression as a rapid, non-destructive alternative method for quantification of KBA in Boswellia sacra. Spectrochim Acta A Mol. Biomol. Spectrosc. 2017, 184, 277–285. [Google Scholar] [CrossRef] [PubMed]
- Alpdoğan, G.; Karabina, K.; Sungur, S. Derivative spectrophotometric determination of caffeine in some beverages. Turk. J. Chem. 2002, 26, 295–302. [Google Scholar]
- Dinç, E.; Baleanu, D.; Onur, F. Spectrophotometric multicomponent analysis of a mixture of metamizol, acetaminophen and caffeine in pharmaceutical formulations by two chemometric techniques. J. Pharmaceut. Biomed. Anal. 2001, 26, 949–957. [Google Scholar] [CrossRef]
- Groisser, D.S. A study of caffeine in tea. I. A new spectrophotometric micro-method. II. Concentration of caffeine in various strengths, brands, blends, and types of teas. Am. J. Clin. Nutr. 1978, 31, 1727–1731. [Google Scholar] [CrossRef]
- Grasel, F.; Ferrão, M. A rapid and non-invasive method for the classification of natural tannin extracts by near-infrared spectroscopy and PLS-DA. Anal. Methods 2016, 8, 644–649. [Google Scholar] [CrossRef]
- Cen, H.; He, Y. Theory and application of near infrared reflectance spectroscopy in determination of food quality. Trends Food Sci. Tech. 2007, 18, 72–83. [Google Scholar] [CrossRef]
- Guo, Z.; Chen, Q.; Chen, L.; Huang, W.; Zhang, C.; Zhao, C. Optimization of informative spectral variables for the quantification of EGCG in green tea using Fourier transform near-infrared (FT-NIR) spectroscopy and multivariate calibration. Appl. Spectrosc. 2011, 65, 1062–1067. [Google Scholar] [CrossRef] [PubMed]
- Geladi, P.; Kowalski, B.R. Partial least-squares regression: A tutorial. Anal. Chim. Acta 1986, 185, 1–17. [Google Scholar] [CrossRef]
- Khanchi, A.R.; Mahani, M.K.; Hajihosseini, M.; Maragheh, M.G.; Chaloosi, M.; Bani, F. Simultaneous spectrophotometric determination of caffeine and theobromine in Iranian tea by artificial neural networks and its comparison with PLS. Food Chem. 2007, 103, 1062–1068. [Google Scholar] [CrossRef]
- Dou, Y.; Sun, Y.; Ren, Y.; Ju, P.; Ren, Y. Simultaneous non-destructive determination of two components of combined paracetamol and amantadine hydrochloride in tablets and powder by NIR spectroscopy and artificial neural networks. J. Pharmaceut. Biomed. Anal. 2005, 37, 543–549. [Google Scholar] [CrossRef]
- Esteban-Diez, I.; González-Sáiz, J.; Pizarro, C. Prediction of sensory properties of espresso from roasted coffee samples by near-infrared spectroscopy. Anal. Chim. Acta 2004, 525, 171–182. [Google Scholar] [CrossRef]
- De Maesschalck, R.; Van den Kerkhof, T. Implementation of a simple semi-quantitative near-infrared method for the classification of clinical trial tablets. J. Pharmaceut. Biomed. Anal. 2005, 37, 109–114. [Google Scholar] [CrossRef]
- Chen, X.; Wu, J.; Zhou, S.; Yang, Y.; Ni, X.; Yang, J.; Zhu, Z.; Shi, C. Application of near-infrared reflectance spectroscopy to evaluate the lutein and β-carotene in Chinese kale. J. Food Compos. Anal. 2009, 22, 148–153. [Google Scholar] [CrossRef]
- Shibata, K.; Moriyama, M.; Fukushima, T.; Kaetsu, A.; Miyazaki, M.; Une, H. Green tea consumption and chronic atrophic gastritis: A cross-sectional study in a green tea production village. J. Epidemiol. 2000, 10, 310–316. [Google Scholar] [CrossRef] [PubMed]
- Setiawan, V.W.; Zhang, Z.F.; Yu, G.P.; Lu, Q.Y.; Li, Y.L.; Lu, M.L.; Wang, M.R.; Guo, C.H.; Yu, S.Z.; Kurtz, R.C. Protective effect of green tea on the risks of chronic gastritis and stomach cancer. Int. J. Cancer 2001, 92, 600–604. [Google Scholar] [CrossRef]
- Fujiki, H.; Suganuma, M.; Okabe, S.; Sueoka, E.; Sueoka, N.; Fujimoto, N.; Goto, Y.; Matsuyama, S.; Imai, K.; Nakachi, K. Cancer prevention with green tea and monitoring by a new biomarker, hnRNP B1. Mutat. Res. Fundam. Mol. Mech. Mutagenesis 2001, 480, 299–304. [Google Scholar] [CrossRef]
- Jian, L.; Xie, L.P.; Lee, A.H.; Binns, C.W. Protective effect of green tea against prostate cancer: A case-control study in southeast China. Int. J. Cancer 2004, 108, 130–135. [Google Scholar] [CrossRef] [PubMed]
- Nakachi, K.; Matsuyama, S.; Miyake, S.; Suganuma, M.; Imai, K. Preventive effects of drinking green tea on cancer and cardiovascular disease: Epidemiological evidence for multiple targeting prevention. Biofactors 2000, 13, 49–54. [Google Scholar] [CrossRef]
- Chen, Q.; Zhao, J.; Zhang, H.; Wang, X. Feasibility study on qualitative and quantitative analysis in tea by near infrared spectroscopy with multivariate calibration. Anal. Chim. Acta 2006, 572, 77–84. [Google Scholar] [CrossRef]
- Li, D.; Wang, R.; Huang, J.; Cai, Q.; Yang, C.S.; Wan, X.; Xie, Z. Effects and mechanisms of tea regulating blood pressure: Evidences and promises. Nutrients 2019, 11, 1115. [Google Scholar] [CrossRef] [PubMed]
- Trevisanato, S.I.; Kim, Y.I. Tea and health. Nutr. Rev. 2000, 58, 1–10. [Google Scholar] [CrossRef] [PubMed]
- Tzanavaras, P.D.; Themelis, D.G. Development and validation of a high-throughput high-performance liquid chromatographic assay for the determination of caffeine in food samples using a monolithic column. Anal. Chim. Acta 2007, 581, 89–94. [Google Scholar] [CrossRef]
- Seeram, N.P.; Henning, S.M.; Niu, Y.; Lee, R.; Scheuller, H.S.; Heber, D. Catechin and caffeine content of green tea dietary supplements and correlation with antioxidant capacity. J. Agric. Food Chem. 2006, 54, 1599–1603. [Google Scholar] [CrossRef]
- Yousefi, S.; Kamankesh, M.; Jazaeri, S.; Attaran, A.; Mohammadi, A. A simple, effective and highly sensitive analytical method used for the determination of caffeine in tea and energy drink samples, and method optimization using a central composite design. Anal. Methods 2017, 9, 1665–1671. [Google Scholar] [CrossRef]
- Butt, M.S.; Sultan, M.T. Coffee and its consumption: Benefits and risks. Crit. Rev. Food Sci. Nutr. 2011, 51, 363–373. [Google Scholar] [CrossRef]
- Reissig, C.J.; Strain, E.C.; Griffiths, R.R. Caffeinated energy drinks—A growing problem. Drug Alcohol Depend. 2009, 99, 1–10. [Google Scholar] [CrossRef]
- Zuo, Y.; Chen, H.; Deng, Y. Simultaneous determination of catechins, caffeine and gallic acids in green, Oolong, black and pu-erh teas using HPLC with a photodiode array detector. Talanta 2002, 57, 307–316. [Google Scholar] [CrossRef]
- Srdjenovic, B.; Djordjevic-Milic, V.; Grujic, N.; Injac, R.; Lepojevic, Z. Simultaneous HPLC determination of caffeine, theobromine, and theophylline in food, drinks, and herbal products. J. Chromatogr. Sci. 2008, 46, 144–149. [Google Scholar] [CrossRef] [PubMed]
- Shrivas, K.; Wu, H.F. Rapid determination of caffeine in one drop of beverages and foods using drop-to-drop solvent microextraction with gas chromatography/mass spectrometry. J. Chromatogr. A 2007, 1170, 9–14. [Google Scholar] [CrossRef]
- Injac, R.; Srdjenovic, B.; Prijatelj, M.; Boskovic, M.; Karljikovic-Rajic, K.; Strukelj, B. Determination of caffeine and associated compounds in food, beverages, natural products, pharmaceuticals, and cosmetics by micellar electrokinetic capillary chromatography. J. Chromatogr. Sci. 2008, 46, 137–143. [Google Scholar] [CrossRef]
- Vochyánová, B.; Opekar, F.; Tůma, P. Simultaneous and rapid determination of caffeine and taurine in energy drinks by MEKC in a short capillary with dual contactless conductivity/photometry detection. Electrophoresis 2014, 35, 1660–1665. [Google Scholar] [CrossRef]
- Aranda, M.; Morlock, G. New method for caffeine quantification by planar chromatography coupled with electropray ionization mass spectrometry using stable isotope dilution analysis. Rapid Commun. Mass Spectrom. 2007, 21, 1297–1303. [Google Scholar] [CrossRef]
- Belay, A.; Ture, K.; Redi, M.; Asfaw, A. Measurement of caffeine in coffee beans with UV/vis spectrometer. Food Chem. 2008, 108, 310–315. [Google Scholar] [CrossRef]
- Amos-Tautua, W.; Diepreye, E. Ultra-violet spectrophotometric determination of caffeine in soft and energy drinks available in Yenagoa, Nigeria. Adv. J. Food Sci. Tech. 2014, 6, 155–158. [Google Scholar] [CrossRef]
- Atomssa, T.; Gholap, A. Characterization of caffeine and determination of caffeine in tea leaves using uv-visible spectrometer. Afr. J. Pure Appl. Chem. 2011, 5, 1–8. [Google Scholar]
- Sethuraman, S.; Radhakrishnan, K. Analytical method development and validation of caffeine in tablet dosage form by using UV-spectroscopy. Int. J. Novel Trends Pharm. Sci. 2013, 3, 82–86. [Google Scholar]
- Pelozo, M.I.d.G.; Cardoso, M.L.C.; Mello, J.C.P.D. Spectrophotometric determination of tannins and caffeine in preparations from Paullinia cupana var. sorbilis. Braz. Arch. Biol. Technol. 2008, 51, 447–451. [Google Scholar] [CrossRef]
- Maidon, A.; Mansoer, A.O.; Sulistyarti, H. Study of various solvents for caffeine determination using UV spectrophotometeric. J. Appl. Sci. Res. 2012, 8, 2439–2442. [Google Scholar]
- Sinija, V.R.; Mishra, H.N. FT-NIR spectroscopy for caffeine estimation in instant green tea powder and granules. LWT Food Scie. Technol. 2009, 42, 998–1002. [Google Scholar] [CrossRef]
- Mumin, M.A. Determination and characterization of caffeine in tea, coffee and soft drinks by solid phase extraction and high performance liquid chromatography (SPE–HPLC). Mal. J. Chem. 2006, 8, 45–51. [Google Scholar]
- Lee, M.S.; Hwang, Y.S.; Lee, J.; Choung, M.G. The characterization of caffeine and nine individual catechins in the leaves of green tea (Camellia sinensis L.) by near-infrared reflectance spectroscopy. Food Chem. 2014, 158, 351–357. [Google Scholar] [CrossRef]
- Tefera, M.; Geto, A.; Tessema, M.; Admassie, S. Simultaneous determination of caffeine and paracetamol by square wave voltammetry at poly (4-amino-3-hydroxynaphthalene sulfonic acid)-modified glassy carbon electrode. Food Chem. 2016, 210, 156–162. [Google Scholar] [CrossRef]




| PLS Regression | PLS Prediction | |||||
|---|---|---|---|---|---|---|
| Type of Spectra | Pre-Processing | RMSECV (ppm) | R2 | RMSEP (ppm) | r2 | No. of Factors |
| Full Spectra (4000 to 10000 cm−1) | Without pre-processing | 1.5 | 0.94 | 2.3 | 0.95 | 5 |
| Full Spectra (4000 to 10000 cm−1) | Unit Vector Normalization | 0.03 | 0.99 | 0.08 | 0.97 | 3 |
| Full Spectra (4000 to 10000 cm−1) | SNV | 0.53 | 0.98 | 1.23 | 0.96 | 5 |
| Full Spectra (4000 to 10000 cm−1) | SNV | 0.43 | 0.97 | 0.75 | 0.94 | 5 |
| Full Spectra (4000 to 10000 cm−1) | First derivation with 11 smoothing points | 2.08 | 0.99 | 4.11 | 0.97 | 3 |
| Spectra (4000 to 5400 cm−1) | First derivation with 11 smoothing points | 1.87 | 0.99 | 1.92 | 0.97 | 3 |
| S. No | Sample Name | NIR | HPLC |
|---|---|---|---|
| 1 | Decaf Bland Black Tea Bags | 2.45 ± 0.07 | 2.47 ± 0.05 |
| 2 | Classic Bland Tea Bags | 2.43 ± 0.10 | 2.46 ± 0.08 |
| 3 | Irish Breakfast Tea Bags | 2.32 ± 0.08 | 2.34 ± 0.09 |
| 4 | Gold Bland Tea bags | 2.39 ± 0.08 | 2.41 ± 0.01 |
| 5 | Extra strong Black Tea | 1.96 ± 0.29 | 1.97 ± 0.21 |
| 6 | Black Tea Cardamom Bags | 2.01 ± 0.07 | 2.03 ± 0.05 |
| 7 | Yellow Label Black Tea | 2.05 ± 0.15 | 2.09 ± 0.19 |
| 8 | Earl Grey Black Tea Bags | 1.70 ± 0.15 | 1.71 ± 0.12 |
| 9 | Hibiscus Herbal Infusion Bags | (ND) | ND |
| 10 | Mint Herbal Infusion Bags | ND | ND |
| 11 | Anise Herbal Infusion | Trace | Trace |
| 12 | Lemon Ginger Flavored Herbal Infusion | ND | ND |
| 13 | Black Tea Blended | 1.73 ± 0.18 | 1.74 ± 0.11 |
| 14 | Green Tea Bags | 2.13 ± 0.13 | 2.14 ± 0.11 |
| 15 | Tea Special Blend | 2.21 ± 0.05 | 2.22 ± 0.04 |
| 16 | Society Tea | 2.36 ± 0.13 | 2.38 ± 0.14 |
| 17 | Society Masala Tea | 2.10 ± 0.11 | 2.11 ± 0.12 |
| 18 | Red label | 2.11 ± 0.29 | 2.13 ± 0.28 |
| 19 | Premium Black | 2.04 ± 0.03 | 2.05 ± 0.04 |
| 20 | Kanan Devan Classic Black | 2.05 ± 0.09 | 2.09 ± 0.06 |
| 21 | Black Loose Tea Gold | 1.35 ± 0.08 | 1.37 ± 0.07 |
| 22 | Green Tea Bags Mint | 1.45 ± 0.02 | 1.49 ± 0.03 |
| 23 | Black Tea | 2.15 ± 0.32 | 2.14 ± 0.31 |
| 24 | Finest Garden Tea | 1.80 ± 0.03 | 1.83 ± 0.02 |
| 25 | Laxative Tea Filter Bags | ND | ND |
© 2020 by the authors. Licensee MDPI, Basel, Switzerland. This article is an open access article distributed under the terms and conditions of the Creative Commons Attribution (CC BY) license (http://creativecommons.org/licenses/by/4.0/).
Share and Cite
Ur Rehman, N.; Al-Harrasi, A.; Boqué, R.; Mabood, F.; Al-Broumi, M.; Hussain, J.; Alameri, S. FT-NIRS Coupled with PLS Regression as a Complement to HPLC Routine Analysis of Caffeine in Tea Samples. Foods 2020, 9, 827. https://doi.org/10.3390/foods9060827
Ur Rehman N, Al-Harrasi A, Boqué R, Mabood F, Al-Broumi M, Hussain J, Alameri S. FT-NIRS Coupled with PLS Regression as a Complement to HPLC Routine Analysis of Caffeine in Tea Samples. Foods. 2020; 9(6):827. https://doi.org/10.3390/foods9060827
Chicago/Turabian StyleUr Rehman, Najeeb, Ahmed Al-Harrasi, Ricard Boqué, Fazal Mabood, Muhammed Al-Broumi, Javid Hussain, and Saif Alameri. 2020. "FT-NIRS Coupled with PLS Regression as a Complement to HPLC Routine Analysis of Caffeine in Tea Samples" Foods 9, no. 6: 827. https://doi.org/10.3390/foods9060827
APA StyleUr Rehman, N., Al-Harrasi, A., Boqué, R., Mabood, F., Al-Broumi, M., Hussain, J., & Alameri, S. (2020). FT-NIRS Coupled with PLS Regression as a Complement to HPLC Routine Analysis of Caffeine in Tea Samples. Foods, 9(6), 827. https://doi.org/10.3390/foods9060827

