Comparison between Pressurized Liquid Extraction and Conventional Soxhlet Extraction for Rosemary Antioxidants, Yield, Composition, and Environmental Footprint
Abstract
1. Introduction
2. Materials and Methods
2.1. Plant Material and Chemicals
2.2. Extraction Procedures
2.2.1. Reference Procedure: Conventional Soxhlet Extraction (CSE)
2.2.2. Pressurized Liquid Extraction (PLE)
2.3. Statistical Analysis
2.3.1. Experimental Design
2.3.2. Reproducibility and Statistical Comparison
2.4. HPLC Analysis
2.4.1. Rosmarinic Acid Analysis
2.4.2. Carnosic Acid and Carnosol Analysis
2.5. Calculations
3. Results and Discussion
3.1. Pressurized Liquid Extraction (PLE): Preliminary Study
3.1.1. Solvent Evaluation of Ethanol/Water Ratio on Extraction Efficiency
3.1.2. Dispersant
3.1.3. Flushing Volume
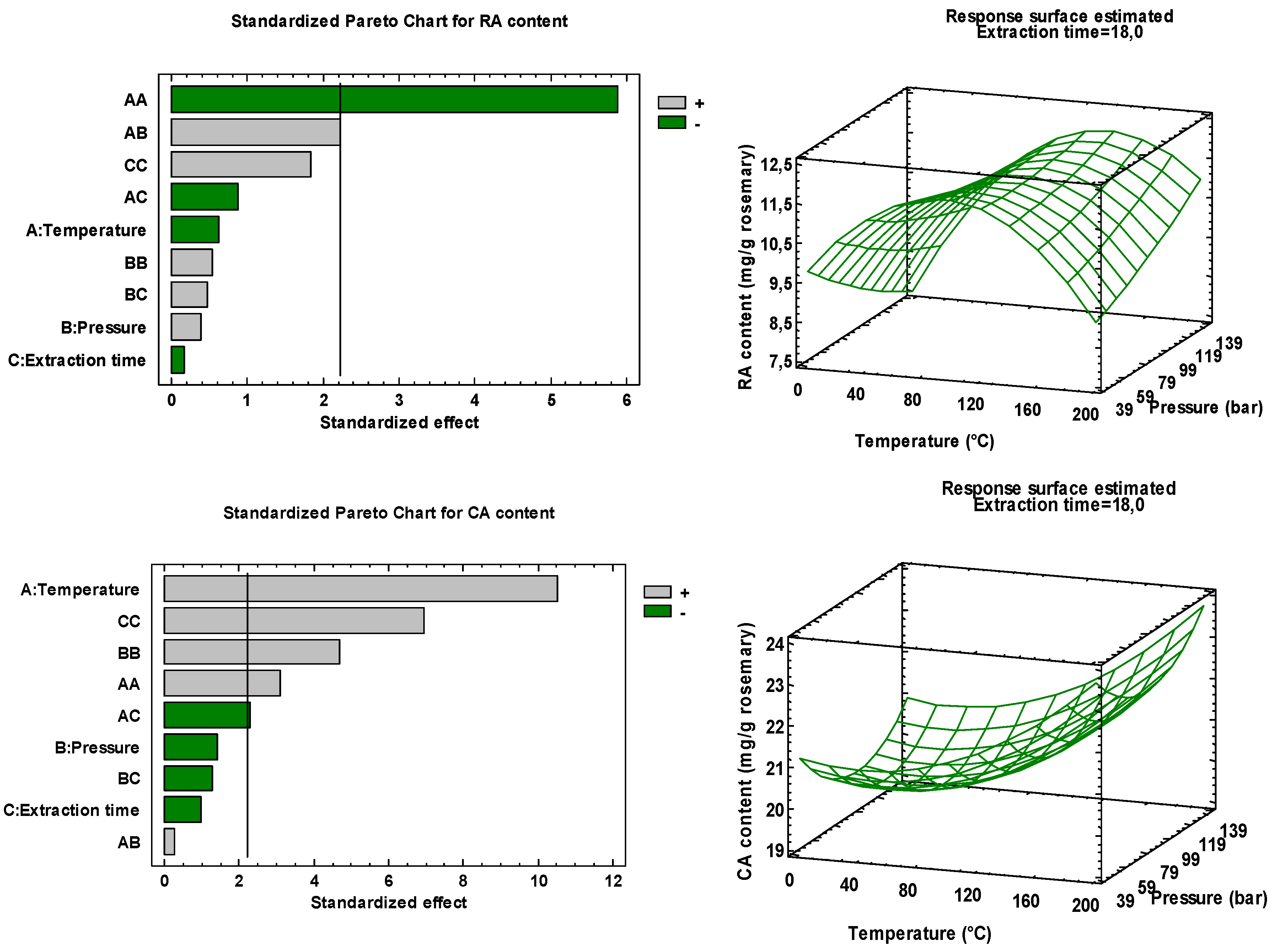
3.2. PLE Extraction: Experimental Design and Statistical Analysis
3.3. Statistical Comparison of CSE and PLE
3.4. Eco-Footprint: CSE vs. PLE Processes
- Raw material (Principle 1): Mass of plant material required for an analysis (in g).
- Solvent (Principle 2): Mass of solvent required for an analysis (in g).
- By-products (Principle 4): Amount of waste generated by an analysis (solvent and plant material) (in g).
- Process (Principle 5): Time of an analysis including steps of preparation, extraction, evaporation, and cleaning (in h).
- Product recovery (Principle 6): (Mass of final product recovered) / (mass of available product in the plant material) (in %).
4. Conclusions
Author Contributions
Funding
Acknowledgments
Conflicts of Interest
References
- Luque de Castro, M.; Ayuso, L. Soxhlet extraction. In Encyclopedia of Separation Science; Wilson, I., Ed.; Academic Press: San Diego, CA, USA, 2000; pp. 2701–2709. [Google Scholar]
- Rodríguez-Solana, R.; Salgado, J.; Domínguez, J.; Cortés-Diéguez, S. Characterization of fennel extracts and quantification of estragole: Optimization and comparison of accelerated solvent extraction and soxhlet techniques. Ind. Crops Prod. 2014, 52, 528–536. [Google Scholar] [CrossRef]
- Wang, L.; Weller, C. Recent advances in extraction of nutraceuticals from plants. Trends Food Sci. Technol. 2006, 17, 300–312. [Google Scholar] [CrossRef]
- Luque de Castro, M.; Priego-Capote, F. 2.05-soxhlet extraction versus accelerated solvent extraction a2. In Comprehensive Sampling and Sample Preparation; Pawliszyn, J., Ed.; Academic Press: Oxford, UK, 2012; pp. 83–103. [Google Scholar]
- Steyaningsih, W.; Saputro, I.E.; Palma, M.; Barroso, C.G. Pressurized liquid extraction of phenolic compounds from rice (Oryza sativa) grains. Food Chem. 2016, 192, 452–459. [Google Scholar] [CrossRef] [PubMed]
- Feuereisen, M.M.; Barraza, M.G.; Zimmermann, B.F.; Schieber, A.; Schulze-Kaysers, N. Pressurized liquid extraction of anthocyanins and biflavonoids from Schinus terebinthifolius Raddi: A multivariate optimization. Food Chem. 2017, 214, 564–571. [Google Scholar] [CrossRef] [PubMed]
- Andreu, V.; Pico, Y. Pressurized liquid extraction of organic contaminants in environmental and food samples. Trends Anal. Chem. 2019, 118, 709–721. [Google Scholar] [CrossRef]
- Saldaña, M.; Valdivieso-Ramírez, C. Pressurized fluid systems: Phytochemical production from biomass. J. Supercrit. Fluids 2015, 96, 228–244. [Google Scholar] [CrossRef]
- Liang, X.; Nielsen, N.J.; Christensen, J.H. Selective pressurized liquid extraction of plant secondary matabolites; Convallaria majalis L. as a case. Anal. Chim. Acta 2020, X4, 100040. [Google Scholar]
- Pereira, D.T.V.; Tarone, A.G.; Cazarin, C.B.B.; Barbero, G.F.; Martinez, J. Pressurized liquid extraction of bioactive compounds from grape marc. J. Food Eng. 2019, 240, 105–113. [Google Scholar] [CrossRef]
- De Oliveira, G.A.; de Oliveira, A.; da Conceição, E.; Leles, M. Multiresponse optimization of an extraction procedure of carnosol and rosmarinic and carnosic acids from rosemary. Food Chem. 2016, 211, 465–473. [Google Scholar] [CrossRef]
- Ribeiro-Santos, R.; Carvalho-Costa, D.; Cavaleiro, C.; Costa, H.; Albuquerque, T.; Castilho, M.; Ramos, F.; Melo, N.; Sanches-Silva, A. A novel insight on an ancient aromatic plant: The rosemary (rosmarinus officinalis L.). Trends Food Sci. Technol. 2015, 45, 355–368. [Google Scholar] [CrossRef]
- Borrás, L.; Arráez-Román, D.; Herrero, M.; Ibáñez, E.; Segura-Carretero, A.; Fernández-Gutiérrez, A. Comparison of different extraction procedures for the comprehensive characterization of bioactive phenolic compounds in rosmarinus officinalis by reversed-phase high-performance liquid chromatography with diode array detection coupled to electrospray time-of-flight mass spectrometry. J. Chromatogr. A. 2011, 1218, 7682–7690. [Google Scholar]
- Herrero, M.; Plaza, M.; Cifuentes, A.; Ibanez, E. Green processes for the extraction of bioactives from rosemary: Chemical and functional characterization via ultra-performance liquid chromatography-tandem mass spectrometry and in-vitro assays. J. Chromatogr. A 2010, 1217, 2512–2520. [Google Scholar] [CrossRef]
- Hossain, B.; Barry-Ryan, C.; Martin-Diana, A.; Brunton, N. Optimisation of accelerated solvent extraction of antioxidant compounds from rosemary (rosmarinus officinalis L.), marjoram (origanum majorana L.) and oregano (origanum vulgare L.) using response surface methodology. Food Chem. 2011, 126, 339–346. [Google Scholar] [CrossRef]
- Rodríguez-Solana, R.; Salgado, J.; Domínguez, J.; Cortés-Diéguez, S. Comparison of soxhlet, accelerated solvent and supercritical fluid extraction techniques for volatile (gc–ms and gc/fid) and phenolic compounds (hplc–esi/ms/ms) from lamiaceae species. Phytochem. Anal. 2015, 26, 61–71. [Google Scholar] [CrossRef] [PubMed]
- Herrero, M.; Arráez-Román, D.; Segura, A.; Kenndler, E.; Gius, B.; Raggi, M.; Ibáñez, E.; Cifuentes, A. Pressurized liquid extraction–capillary electrophoresis–mass spectrometry for the analysis of polar antioxidants in rosemary extracts. J. Chromatogr. A 2005, 1084, 54–62. [Google Scholar] [CrossRef] [PubMed]
- Jacotet-Navarro, M.; Rombaut, N.; Fabiano-Tixier, A.; Danguien, M.; Bily, A.; Chemat, F. Ultrasound versus microwave as green processes for extraction of rosmarinic, carnosic and ursolic acids from rosemary. Ultrason. Sonochem. 2015, 27, 102–109. [Google Scholar] [CrossRef]
- Petersen, M.; Abdullah, Y.; Benner, J.; Eberle, D.; Gehlen, K.; Hücherig, S.; Janiak, V.; Kim, K.; Sander, M.; Weitzel, C.; et al. Evolution of rosmarinic acid biosynthesis. Phytochemistry 2009, 70, 1663–1679. [Google Scholar] [CrossRef]
- Bernatoniene, J.; Cizauskaite, U.; Ivanauskas, L.; Jakstas, V.; Kalveniene, Z.; Kopustinskiene, D. Novel approaches to optimize extraction processes of ursolic, oleanolic and rosmarinic acids from rosmarinus officinalis leaves. Ind. Crops Prod. 2016, 84, 72–79. [Google Scholar] [CrossRef]
- Birtić, S.; Dussort, P.; Pierre, F.; Bily, A.; Roller, M. Carnosic acid. Phytochemistry 2015, 115, 9–19. [Google Scholar] [CrossRef]
- Ho, C.; Osawa, T.; Huang, M.; Rosen, R. Food Phytochemicals for Cancer Prevention II; Teas, Spices, and Herbs; American Chemical Society: Washington, DC, USA, 1994; Volume 547, p. 388. [Google Scholar]
- Rodríguez-Rojo, S.; Visentin, A.; Maestri, D.; Cocero, M. Assisted extraction of rosemary antioxidants with green solvents. J. Food Eng. 2012, 109, 98–103. [Google Scholar] [CrossRef]
- Chemat, F.; Abert-Vian, M.; Cravotto, G. Green extraction of natural products: Concept and principles. Int. J. Mol. Sci. 2012, 13, 8615–8627. [Google Scholar] [CrossRef] [PubMed]
- Larkin, J. Thermodynamic properties of aqueous non-electrolyte mixtures i. Excess enthalpy for water + ethanol at 298.15 to 383.15 k. J. Chem. Thermodyn. 1975, 7, 137–148. [Google Scholar] [CrossRef]
- Newsham, D.; Mendez-Lecanda, E. Isobaric enthalpies of vaporization of water, methanol, ethanol, propan-2-ol, and their mixtures. J. Chem. Thermodyn. 1982, 14, 291–301. [Google Scholar] [CrossRef]
- Pingret, D.; Fabiano-Tixier, A.; Le Bourvellec, C.; Renard, C.; Chemat, F. Lab and pilot-scale ultrasound-assisted water extraction of polyphenols from apple pomace. J. Food Eng. 2012, 111, 73–81. [Google Scholar] [CrossRef]








| Variables | Responses | ||||||||
|---|---|---|---|---|---|---|---|---|---|
| Temperature | Pressure | Extraction Time | Mass Yield | RA Content | CA Content | CO Content | |||
| Actual Value (°C) | Coded Value | Actual Value (bar) | Coded Value | Actual Value (min) | Coded Value | % | mg/g | mg/g | mg/g |
| 160 | +1 | 111.8 | +1 | 27 | +1 | 44.0 | 11.56 | 21.76 | 2.01 |
| 160 | +1 | 111.8 | +1 | 9 | −1 | 41.9 | 11.57 | 22.54 | 2.10 |
| 160 | +1 | 58.2 | -1 | 27 | +1 | 44.9 | 11.18 | 22.32 | 2.07 |
| 160 | +1 | 58.2 | −1 | 9 | −1 | 44.0 | 11.49 | 22.62 | 2.17 |
| 70 | −1 | 111.8 | +1 | 27 | +1 | 31.3 | 11.13 | 20.55 | 2.22 |
| 70 | −1 | 111.8 | +1 | 9 | −1 | 30.5 | 10.83 | 20.49 | 2.40 |
| 70 | −1 | 58.2 | −1 | 27 | +1 | 31.3 | 11.84 | 21.20 | 2.16 |
| 70 | −1 | 58.2 | −1 | 9 | −1 | 31.5 | 11.67 | 20.68 | 2.12 |
| 115 | 0 | 85 | 0 | 18 | 0 | 34.3 | 11.29 | 20.98 | 2.17 |
| 115 | 0 | 85 | 0 | 18 | 0 | 34.5 | 11.70 | 20.12 | 2.17 |
| 115 | 0 | 85 | 0 | 18 | 0 | 34.3 | 11.72 | 20.63 | 2.05 |
| 115 | 0 | 85 | 0 | 18 | 0 | 34.8 | 11.71 | 20.41 | 2.11 |
| 115 | 0 | 85 | 0 | 18 | 0 | 34.3 | 11.68 | 20.39 | 2.18 |
| 115 | 0 | 85 | 0 | 18 | 0 | 34.1 | 12.01 | 20.34 | 2.09 |
| 39.3 | −α | 85 | 0 | 18 | 0 | 26.3 | 10.56 | 19.90 | 2.29 |
| 190.7 | +α | 85 | 0 | 18 | 0 | 49.6 | 9.93 | 22.12 | 2.22 |
| 115 | 0 | 40 | −α | 18 | 0 | 34.0 | 11.32 | 21.28 | 2.30 |
| 115 | 0 | 130 | +α | 18 | 0 | 35.1 | 12.24 | 21.35 | 1.98 |
| 115 | 0 | 85 | 0 | 3 | −α | 34.5 | 12.19 | 21.88 | 2.07 |
| 115 | 0 | 85 | 0 | 33 | +α | 34.7 | 11.99 | 21.63 | 2.10 |
| Variables | Responses | |||||
|---|---|---|---|---|---|---|
| Mass Yield | RA Content | CA Content | ||||
| F-Ratio | p-Value | F-Ratio | p-Value | F-Ratio | p-Value | |
| Temperature (A) | 445.98 | 0 | 0.31 | 0.5871 | 106.25 | 0 |
| Pressure (B) | 0.26 | 0.6225 | 0.12 | 0.7389 | 2.12 | 0.1756 |
| Extraction time (C) | 0.86 | 0.3743 | 0.04 | 0.8487 | 0.89 | 0.3685 |
| A2 | 28.41 | 0.0003 | 32.84 | 0.0002 | 9.79 | 0.0107 |
| A × B | 0.38 | 0.5508 | 5.17 | 0.0463 | 0.07 | 0.7911 |
| A × C | 0.55 | 0.4758 | 0.57 | 0.4661 | 4.74 | 0.0546 |
| B2 | 1.81 | 0.208 | 0.19 | 0.6738 | 21.88 | 0.0009 |
| B × C | 0.46 | 0.5125 | 0.29 | 0.6002 | 1.18 | 0.3020 |
| C2 | 1.97 | 0.1904 | 3.50 | 0.0907 | 49.02 | 0 |
| Error R2 (%) | 97.9518 | 82.1394 | 94.8633 | |||
| R2 adjusted for d.f (%) | 96.1084 | 66.0649 | 90.2402 | |||
| Optimal conditions predicted | A = 190 °C B = 40 bar C = 33 min | A = 100 °C B = 40 bar C = 3 min | A = 190 °C B = 130 bar C = 4 min | |||
| Experiments | 1 | 2 | 3 | 4 | 5 | 6 | 7 | 8 | Mean (%) | SD (%) | RSD (%) | Variance S2 | FCAL | FTAB | tCAL | tTAB | |
|---|---|---|---|---|---|---|---|---|---|---|---|---|---|---|---|---|---|
| Extraction yield (%) | CSE | 26.5 | 26.2 | 28.9 | 26.3 | 28.2 | 28.3 | 28.7 | 30.2 | 27.91 | 1.45 | 5.21 | 1.85 | 0.31 | 3.79 | 2.55 × 10−14 | 2.1 |
| PLE | 47.8 | 44.7 | 46.7 | 46.2 | 46.5 | 45.5 | 45.3 | 46.7 | 46.20 | 0.97 | 2.11 | 0.83 | |||||
| RA content (mg/g) | CSE | 9.71 | 9.23 | 9.98 | 9.14 | 9.70 | 10.39 | 10.23 | 10.49 | 9.86 | 0.51 | 5.13 | 0.22 | 0.11 | 0.35 | ||
| PLE | 11.74 | 10.88 | 9.15 | 9.95 | 8.59 | 9.96 | 9.87 | 9.92 | 10.01 | 0.97 | 9.65 | 0.82 | |||||
| CA content (mg/g) | CSE | 18.18 | 17.08 | 17.38 | 17.56 | 17.61 | 16.16 | 18.67 | 18.78 | 17.68 | 0.86 | 4.88 | 0.65 | 0.69 | 1.83 × 10−6 | ||
| PLE | 22.46 | 20.18 | 22.38 | 20.62 | 21.26 | 19.99 | 20.25 | 21.88 | 21.13 | 1.01 | 4.78 | 0.89 | |||||
| CO content (mg/g) | CSE | 3.51 | 4.29 | 4.34 | 5.64 | 4.25 | 5.36 | 3.62 | 4.14 | 4.39 | 0.75 | 17.14 | 0.50 | 0.01 | 1.67 × 10−7 | ||
| PLE | 2.20 | 1.72 | 1.69 | 2.00 | 1.68 | 1.96 | 1.50 | 2.16 | 1.86 | 0.25 | 13.58 | 0.06 |
© 2020 by the authors. Licensee MDPI, Basel, Switzerland. This article is an open access article distributed under the terms and conditions of the Creative Commons Attribution (CC BY) license (http://creativecommons.org/licenses/by/4.0/).
Share and Cite
Hirondart, M.; Rombaut, N.; Fabiano-Tixier, A.S.; Bily, A.; Chemat, F. Comparison between Pressurized Liquid Extraction and Conventional Soxhlet Extraction for Rosemary Antioxidants, Yield, Composition, and Environmental Footprint. Foods 2020, 9, 584. https://doi.org/10.3390/foods9050584
Hirondart M, Rombaut N, Fabiano-Tixier AS, Bily A, Chemat F. Comparison between Pressurized Liquid Extraction and Conventional Soxhlet Extraction for Rosemary Antioxidants, Yield, Composition, and Environmental Footprint. Foods. 2020; 9(5):584. https://doi.org/10.3390/foods9050584
Chicago/Turabian StyleHirondart, Mathilde, Natacha Rombaut, Anne Sylvie Fabiano-Tixier, Antoine Bily, and Farid Chemat. 2020. "Comparison between Pressurized Liquid Extraction and Conventional Soxhlet Extraction for Rosemary Antioxidants, Yield, Composition, and Environmental Footprint" Foods 9, no. 5: 584. https://doi.org/10.3390/foods9050584
APA StyleHirondart, M., Rombaut, N., Fabiano-Tixier, A. S., Bily, A., & Chemat, F. (2020). Comparison between Pressurized Liquid Extraction and Conventional Soxhlet Extraction for Rosemary Antioxidants, Yield, Composition, and Environmental Footprint. Foods, 9(5), 584. https://doi.org/10.3390/foods9050584

