Development of Fish Oil-Loaded Microcapsules Containing Whey Protein Hydrolysate as Film-Forming Material for Fortification of Low-Fat Mayonnaise
Abstract
1. Introduction
2. Materials and Methods
2.1. Materials
2.2. Enzymatic Hydrolysis of Whey Protein
2.3. Microencapsulation of Fish Oil by Spray-Drying
2.4. Oil Droplet Size Distribution (ODSD)
2.5. Physicochemical Characterization of Microencapsulates
2.5.1. Moisture Content (MC) and Water Activity (aw)
2.5.2. Encapsulation Efficiency (EE)
2.5.3. Morphology and Size
2.5.4. Oxidative Stability
Peroxide Value (PV)
Tocopherol Content (TC)
Secondary Volatiles Oxidation Products (SVOP)—Dynamic Headspace GC-MS
2.6. Production of Fortified Mayonnaise
2.7. Characterization of Fortified Mayonnaise
2.7.1. Physical Stability: Droplet Size Distribution and Viscosity
2.7.2. Oxidative Stability
Peroxide Value (PV)
P-Anisidine Value (AV)
2.8. Statistical Analysis
3. Results
3.1. Oil Droplet Size Distribution (ODSD) of Emulsions
3.2. Physicochemical Characterization of Microencapsulates
3.2.1. Moisture Content, Water Activity and Encapsulation Efficiency (EE)
3.2.2. Morphology and Size
3.2.3. Oxidative Stability of the Microencapsulates
Peroxide Value (PV) and Tocopherol Content (TC)
Secondary Volatile Oxidation Products (SVOP)
3.3. Physical and Oxidative Stabilities of Fortified Low-Fat Mayonnaise
3.3.1. Physical Stability: Droplet Size Distribution and Viscosity
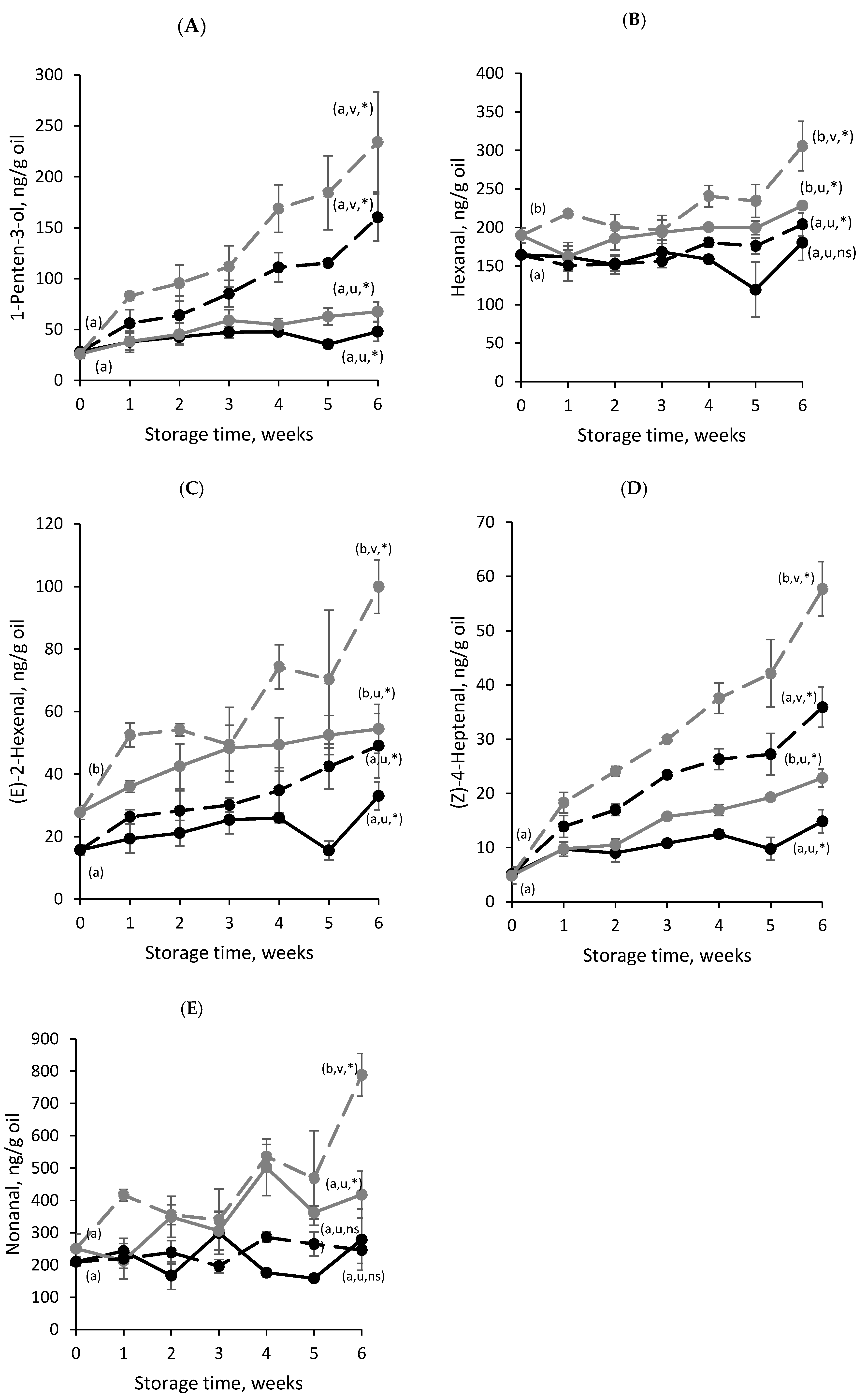
3.3.2. Oxidative Stability of the Fortified Mayonnaise
Peroxide Value (PV)
P-Anisidine Value (AV)
4. Conclusions
Supplementary Materials
Author Contributions
Funding
Acknowledgments
Conflicts of Interest
References
- Jacobsen, C. Enrichment of foods with omega-3 fatty acids: A multidisciplinary challenge. Ann. N. Y. Acad. Sci. 2010, 1190, 141–150. [Google Scholar] [CrossRef]
- Calder, P.C. Very long chain omega-3 (n-3) fatty acids and human health. Eur. J. Lipid Sci. Technol. 2014, 116, 1280–1300. [Google Scholar] [CrossRef]
- Jacobsen, C. Fish Oils: Composition and Health Effects. In Encyclopedia of Food and Health; Elsevier: Oxford, UK, 2016; pp. 686–692. [Google Scholar]
- Arab-Tehrany, E.; Jacquot, M.; Gaiani, C.; Imran, M.; Desobry, S.; Linder, M. Beneficial effects and oxidative stability of omega-3 long-chain polyunsaturated fatty acids. Trends Food Sci. Technol. 2012, 25, 24–33. [Google Scholar] [CrossRef]
- Desai, K.G.H.; Park, H.J. Recent developments in microencapsulation of food ingredients. Dry. Technol. Int. J. 2005, 23, 1361–1394. [Google Scholar] [CrossRef]
- Jacobsen, C.; García-Moreno, P.J.; Mendes, A.C.; Mateiu, R.V.; Chronakis, I.S. Use of Electrohydrodynamic Processing for Encapsulation of Sensitive Bioactive Compounds and Applications in Food. Annu. Rev. Food Sci. Technol. 2018, 9, 525–549. [Google Scholar] [CrossRef] [PubMed]
- Encina, C.; Vergara, C.; Giménez, B.; Oyarzún-Ampuero, F.; Robert, P. Conventional spray-drying and future trends for the microencapsulation of fish oil. Trends Food Sci. Technol. 2016, 56, 46–60. [Google Scholar] [CrossRef]
- Serfert, Y.; Drusch, S.; Schwarz, K. Chemical stabilisation of oils rich in long-chain polyunsaturated fatty acids during homogenisation, microencapsulation and storage. Food Chem. 2009, 113, 1106–1112. [Google Scholar] [CrossRef]
- Morales-Medina, R.; Tamm, F.; Guadix, A.M.; Guadix, E.M.; Drusch, S. Functional and antioxidant properties of hydrolysates of sardine (S. pilchardus) and horse mackerel (T. mediterraneus) for the microencapsulation of fish oil by spray-drying. Food Chem. 2016, 194, 1208–1216. [Google Scholar] [CrossRef]
- McClements, D.J.; Decker, E. Interfacial Antioxidants: A Review of Natural and Synthetic Emulsifiers and Coemulsifiers That Can Inhibit Lipid Oxidation. J. Agric. Food Chem. 2018, 66, 20–25. [Google Scholar] [CrossRef]
- Shahidi, F.; Zhong, Y. Revisiting the polar paradox theory: A critical overview. J. Agric. Food Chem. 2011, 59, 3499–3504. [Google Scholar] [CrossRef]
- Hernández-Ledesma, B.; Dávalos, A.; Bartolomé, B.; Amigo, L. Preparation of antioxidant enzymatic hydrolysates from α-lactalbumin and β-lactoglobulln. Identification of active peptides by HPLC-MS/MS. J. Agric. Food Chem. 2005, 53, 588–593. [Google Scholar] [CrossRef] [PubMed]
- Eberhardt, A.; López, E.C.; Ceruti, R.J.; Marino, F.; Mammarella, E.J.; Manzo, R.M.; Sihufe, G.A. Influence of the degree of hydrolysis on the bioactive properties of whey protein hydrolysates using Alcalase®. Int. J. Dairy Technol. 2019, 72, 573–584. [Google Scholar] [CrossRef]
- Ramakrishnan, S.; Ferrando, M.; Aceña-Muñoz, L.; De Lamo-Castellví, S.; Güell, C. Fish Oil Microcapsules from O/W Emulsions Produced by Premix Membrane Emulsification. Food Bioprocess Technol. 2013, 6, 3088–3101. [Google Scholar] [CrossRef]
- Ramakrishnan, S.; Ferrando, M.; Aceña-Muñoz, L.; Mestres, M.; De Lamo-Castellví, S.; Güell, C. Influence of Emulsification Technique and Wall Composition on Physicochemical Properties and Oxidative Stability of Fish Oil Microcapsules Produced by Spray Drying. Food Bioprocess Technol. 2014, 7, 1959–1972. [Google Scholar] [CrossRef]
- Tamm, F.; Gies, K.; Diekmann, S.; Serfert, Y.; Strunskus, T.; Brodkorb, A.; Drusch, S. Whey protein hydrolysates reduce autoxidation in microencapsulated long chain polyunsaturated fatty acids. Eur. J. Lipid Sci. Technol. 2015, 117, 1960–1970. [Google Scholar] [CrossRef]
- Morales-Medina, R.; García-Moreno, P.J.; Pérez-Gálvez, R.; Muñío, M.; Guadix, A.; Guadix, E.M. Seasonal variations in the regiodistribution of oil extracted from small-spotted catshark and bogue. Food Funct. 2015, 6, 2646–2652. [Google Scholar] [CrossRef]
- Camacho, F.; González-Tello, P.; Páez-Dueñas, M.P.; Guadix, E.M.; Guadix, A. Correlation of base consumption with the degree of hydrolysis in enzymic protein hydrolysis. J. Dairy Res. 2001, 68, 251–265. [Google Scholar] [CrossRef]
- García-Moreno, P.J.; Pelayo, A.; Yu, S.; Busolo, M.; Lagaron, J.M.; Chronakis, I.S.; Jacobsen, C. Physicochemical characterization and oxidative stability of fish oil-loaded electrosprayed capsules: Combined use of whey protein and carbohydrates as wall materials. J. Food Eng. 2018, 231, 42–53. [Google Scholar] [CrossRef]
- Danviriyakul, S.; McClements, D.J.; Decker, E.; Nawar, W.W.; Chinachoti, P. Physical stability of spray-dried milk fat emulsion as affected by emulsifiers and processing conditions. J. Food Sci. 2002, 67, 2183–2189. [Google Scholar] [CrossRef]
- Bligh, E.G.; Dyer, W.J. A rapid method of total lipid extraction and purification. Can. J. Biochem. Physiol. 1959, 37, 911–917. [Google Scholar] [CrossRef]
- Shantha, N.C.; Decker, E.A. Rapid, sensitive, iron-based spectrophotometric methods for determination of peroxide values of food lipids. J. AOAC Int. 1994, 77, 421–424. [Google Scholar] [CrossRef] [PubMed]
- AOCS Official Method CE 8-89. Determination of Tocopherols and Tocotrienols in Vegetable Oils and Fats by HPLC; AOCS Press: Champaing, IL, USA, 1998. [Google Scholar]
- Miguel, G.A.; Jacobsen, C.; Prieto, C.; Kempen, P.J.; Lagaron, J.M.; Chronakis, I.S.; García-Moreno, P.J. Oxidative stability and physical properties of mayonnaise fortified with zein electrosprayed capsules loaded with fish oil. J. Food Eng. 2019, 263, 348–358. [Google Scholar] [CrossRef]
- Drusch, S.; Serfert, Y.; Berger, A.; Shaikh, M.Q.; Rätzke, K.; Zaporojtchenko, V.; Schwarz, K. New insights into the microencapsulation properties of sodium caseinate and hydrolyzed casein. Food Hydrocoll. 2012, 27, 332–338. [Google Scholar] [CrossRef]
- ISO 6885:2006. Animal and Vegetable Fats and Oils—Determination of Anisidine Value; ISO: Geneva, Switzerland, 2006. [Google Scholar]
- Hogan, S.A.; McNamee, B.F.; O’Riordan, E.D.; O’Sullivan, M. Emulsification and microencapsulation properties of sodium caseinate/carbohydrate blends. Int. Dairy J. 2001, 11, 137–144. [Google Scholar] [CrossRef]
- Drusch, S.; Serfert, Y.; Scampicchio, M.; Schmidt-Hansberg, B.; Schwarz, K. Impact of physicochemical characteristics on the oxidative stability of fish oil microencapsulated by spray-drying. J. Agric. Food Chem. 2007, 55, 11044–11051. [Google Scholar] [CrossRef] [PubMed]
- Sheu, T.Y.; Rosenberg, M. Microencapsulation by Spray Drying Ethyl Caprylate in Whey Protein and Carbohydrate Wall Systems. J. Food Sci. 1995, 60, 98–103. [Google Scholar] [CrossRef]
- Young, S.L.; Sarda, X.; Rosenberg, M. Microencapsulating Properties of Whey Proteins. 2. Combination of Whey Proteins with Carbohydrates. J. Dairy Sci. 1993, 76, 2878–2885. [Google Scholar] [CrossRef]
- Gharsallaoui, A.; Roudaut, G.; Chambin, O.; Voilley, A.; Saurel, R. Applications of spray-drying in microencapsulation of food ingredients: An overview. Food Res. Int. 2007, 40, 1107–1121. [Google Scholar] [CrossRef]
- Jacobsen, C.; Rustad, T.; Nielsen, N.S.; Falch, E.; Jansson, S.; Storr, I. Processing of marine lipids and factors affecting their quality when used for functional foods. In Marine Functional Food; Luten, J.B., Ed.; Wageningen Academic Publishers: Wageningen, The Netherlands, 2009; Volume 2, pp. 89–114. [Google Scholar]
- Jeyakumari, A.; Zynudheen, A.A.; Parvathy, U.; Binsi, P.K. Impact of chitosan and oregano extract on the physicochemical properties of microencapsulated fish oil stored at different temperature. Int. J. Food Prop. 2018, 21, 942–955. [Google Scholar] [CrossRef]
- Unnikrishnan, P.; Puthenveetil Kizhakkethil, B.; Annamalai, J.; Ninan, G.; Aliyamveetil Abubacker, Z.; Chandragiri Nagarajarao, R. Tuna red meat hydrolysate as core and wall polymer for fish oil encapsulation: A comparative analysis. J. Food Sci. Technol. 2019, 56, 2134–2146. [Google Scholar] [CrossRef]
- Drusch, S.; Rätzke, K.; Shaikh, M.Q.; Serfert, Y.; Steckel, H.; Scampicchio, M.; Voigt, I.; Schwarz, K.; Mannino, S. Differences in free volume elements of the carrier matrix affect the stability of microencapsulated lipophilic food ingredients. Food Biophys. 2009, 4, 42–48. [Google Scholar] [CrossRef]
- Boerekamp, D.M.W.; Andersen, M.L.; Jacobsen, C.; Chronakis, I.S.; García-Moreno, P.J. Oxygen permeability and oxidative stability of fish oil-loaded electrosprayed capsules measured by Electron Spin Resonance: Effect of dextran and glucose syrup as main encapsulating materials. Food Chem. 2019, 287, 287–294. [Google Scholar] [CrossRef]
- Drusch, S.; Berg, S. Extractable oil in microcapsules prepared by spray-drying: Localisation, determination and impact on oxidative stability. Food Chem. 2008, 109, 17–24. [Google Scholar] [CrossRef] [PubMed]
- Frankel, E.N. Methods to determine extent of oxidation. In Lipid Oxidation; Woodhead Publishing Limited: Cambridge, UK, 2012; pp. 99–127. [Google Scholar]
- Fu, X.; Xu, S.; Wang, Z. Kinetics of lipid oxidation and off-odor formation in silver carp mince: The effect of lipoxygenase and hemoglobin. Food Res. Int. 2009, 42, 85–90. [Google Scholar] [CrossRef]
- Frankel, E.N. Foods. In Lipid Oxidation; Woodhead Publishing Limited: Cambridge, UK, 2012; pp. 299–354. [Google Scholar]
- Drusch, S.; Serfert, Y.; Van Den Heuvel, A.; Schwarz, K. Physicochemical characterization and oxidative stability of fish oil encapsulated in an amorphous matrix containing trehalose. Food Res. Int. 2006, 39, 807–815. [Google Scholar] [CrossRef]
- Elias, R.J.; McClements, D.J.; Decker, E.A. Antioxidant activity of cysteine, tryptophan, and methionine residues in continuous phase β-lactoglobulin in oil-in-water emulsions. J. Agric. Food Chem. 2005, 53, 10248–10253. [Google Scholar] [CrossRef]
- Elias, R.J.; Kellerby, S.S.; Decker, E.A. Antioxidant activity of proteins and peptides. Crit. Rev. Food Sci. Nutr. 2008, 48, 430–441. [Google Scholar] [CrossRef]
- Aluko, R.E. Amino acids, peptides, and proteins as antioxidants for food preservation. In Handbook of Antioxidants for Food Preservation; Woodhead Publishing: Cambridge, UK, 2015; pp. 105–140. ISBN 978-178-2420-972. [Google Scholar]
- Hermund, D.; Jacobsen, C.; Chronakis, I.S.; Pelayo, A.; Yu, S.; Busolo, M.; Lagaron, J.M.; Jónsdóttir, R.; Kristinsson, H.G.; Akoh, C.C.; et al. Stabilization of Fish Oil-Loaded Electrosprayed Capsules with Seaweed and Commercial Natural Antioxidants: Effect on the Oxidative Stability of Capsule-Enriched Mayonnaise. Eur. J. Lipid Sci. Technol. 2019, 121, 1800396. [Google Scholar] [CrossRef]
- Pal, R. Effect of Droplet Size on the Rheology of Emulsions. AIChE J. 1996, 42, 3181–3190. [Google Scholar] [CrossRef]
- Schröder, A.; Berton-Carabin, C.; Venema, P.; Cornacchia, L. Interfacial properties of whey protein and whey protein hydrolysates and their influence on O/W emulsion stability. Food Hydrocoll. 2017, 73, 129–140. [Google Scholar] [CrossRef]
- Yang, X.; Boyle, R.A. Sensory Evaluation of Oils/Fats and Oil/Fat-Based Foods. In Oxidative Stability and Shelf Life of Foods Containing Oils and Fats; Academic Press: Cambridge, MA, USA; OCS Press: Urbana, IL, USA, 2016; pp. 157–185. ISBN 978-163-067-0566. [Google Scholar]
- Let, M.B.; Jacobsen, C.; Meyer, A.S. Lipid oxidation in milk, yoghurt, and salad dressing enriched with neat fish oil or pre-emulsified fish oil. J. Agric. Food Chem. 2007, 55, 7802–7809. [Google Scholar] [CrossRef] [PubMed]
- Nielsen, N.S.; Jacobsen, C. Retardation of Lipid Oxidation in Fish Oil-Enriched Fish Pâté- Combination Effects. J. Food Biochem. 2013, 37, 88–97. [Google Scholar] [CrossRef]
- Sims, R.J.; Fioriti, J.A.; Trumbetas, J. Effect of sugars and sugar alcohols on autoxidation of safflower oil in emulsions. J. Am. Oil Chem. Soc. 1979, 56, 742–745. [Google Scholar] [CrossRef]






| d90, µm | |||
|---|---|---|---|
| - | GS | MD21 | |
| Parent emulsions | 0.587 ± 0.001 +,* | 0.555 ± 0.001 +,* | |
| Reconstituted emulsion after spray-drying | |||
| Week 0 | 0.613 ± 0.006 +,a,u,* | 0.663 ± 0.001 +,a,u,* | |
| 4 °C | Week 2 | 0.624 ± 0.006 a,j,* | 0.699 ± 0.005 b,j,* |
| Week 4 | 0.653 ± 0.002 b,j,* | 0.730 ± 0.001 c,j,* | |
| Week 6 | 0.654 ± 0.004 b,j,* | 0.825 ± 0.001 d,j,* | |
| 25 °C | Week 2 | 0.599 ± 0.001 u,k,* | 0.703 ± 0.011 v,j,* |
| Week 4 | 0.669 ± 0.005 v,j,* | 0.717 ± 0.003 v,k,* | |
| Week 6 | 0.659 ± 0.010 v,j,* | 0.882 ± 0.002 w,k,* | |
| Droplet Size | Apparent Viscosity | |||||
|---|---|---|---|---|---|---|
| Day 0 | Day 28 | (γ = 10 s−1), Pa·s | ||||
| Sample | D[3,2], µm | D[4,3], µm | D[3,2], µm | D[4,3], µm | Day 0 | Day 28 |
| M-NFO | 1.555 ± 0.020 a | 2.724 ± 0.035 a | 1.487 ± 0.006 a,* | 2.553 ± 0.011 a,* | 2.6 ± 0.3a | 2.0 ± 0.1 a,* |
| M-EM | 0.310 ± 0.008 b | 1.865 ± 0.052 b | 0.516 ± 0.038 b,* | 1.985 ± 0.045 b,ns | 4.8 ± 0.1b | 5.1 ± 0.5 b,ns |
| M-GS | 0.302 ± 0.001 b | 1.436 ± 0.039 c | 0.519 ± 0.027 b,* | 1.538 ± 0.068 c,ns | 9.7 ± 0.3c | 9.4 ± 0.2 c,ns |
© 2020 by the authors. Licensee MDPI, Basel, Switzerland. This article is an open access article distributed under the terms and conditions of the Creative Commons Attribution (CC BY) license (http://creativecommons.org/licenses/by/4.0/).
Share and Cite
Rahmani-Manglano, N.E.; González-Sánchez, I.; García-Moreno, P.J.; Espejo-Carpio, F.J.; Jacobsen, C.; Guadix, E.M. Development of Fish Oil-Loaded Microcapsules Containing Whey Protein Hydrolysate as Film-Forming Material for Fortification of Low-Fat Mayonnaise. Foods 2020, 9, 545. https://doi.org/10.3390/foods9050545
Rahmani-Manglano NE, González-Sánchez I, García-Moreno PJ, Espejo-Carpio FJ, Jacobsen C, Guadix EM. Development of Fish Oil-Loaded Microcapsules Containing Whey Protein Hydrolysate as Film-Forming Material for Fortification of Low-Fat Mayonnaise. Foods. 2020; 9(5):545. https://doi.org/10.3390/foods9050545
Chicago/Turabian StyleRahmani-Manglano, Nor E., Irene González-Sánchez, Pedro J. García-Moreno, F. Javier Espejo-Carpio, Charlotte Jacobsen, and Emilia M. Guadix. 2020. "Development of Fish Oil-Loaded Microcapsules Containing Whey Protein Hydrolysate as Film-Forming Material for Fortification of Low-Fat Mayonnaise" Foods 9, no. 5: 545. https://doi.org/10.3390/foods9050545
APA StyleRahmani-Manglano, N. E., González-Sánchez, I., García-Moreno, P. J., Espejo-Carpio, F. J., Jacobsen, C., & Guadix, E. M. (2020). Development of Fish Oil-Loaded Microcapsules Containing Whey Protein Hydrolysate as Film-Forming Material for Fortification of Low-Fat Mayonnaise. Foods, 9(5), 545. https://doi.org/10.3390/foods9050545

