Microbiological Stability and Overall Quality of Ready-to-Heat Meals Based on Traditional Recipes of the Basilicata Region
Abstract
1. Introduction
2. Materials and Methods
2.1. Samples Preparation
2.2. aw and pH Measurament
2.3. Microbiological Analyses
2.3.1. Evolution of the Microbial Count
2.3.2. Challenge Testing
2.3.3. MW Inactivation of L. monocytogenes
2.4. Nutritional Characterization
2.5. Physical–Mechanical Analyses
2.6. Sensory Analyses
2.6.1. Quantitative Descriptive Analysis
2.6.2. Consumer Test
2.7. Statistical Analyses
3. Results and Discussions
3.1. Microbiological Analyses
3.1.1. Characterization and Microbiological Stability of the Meals
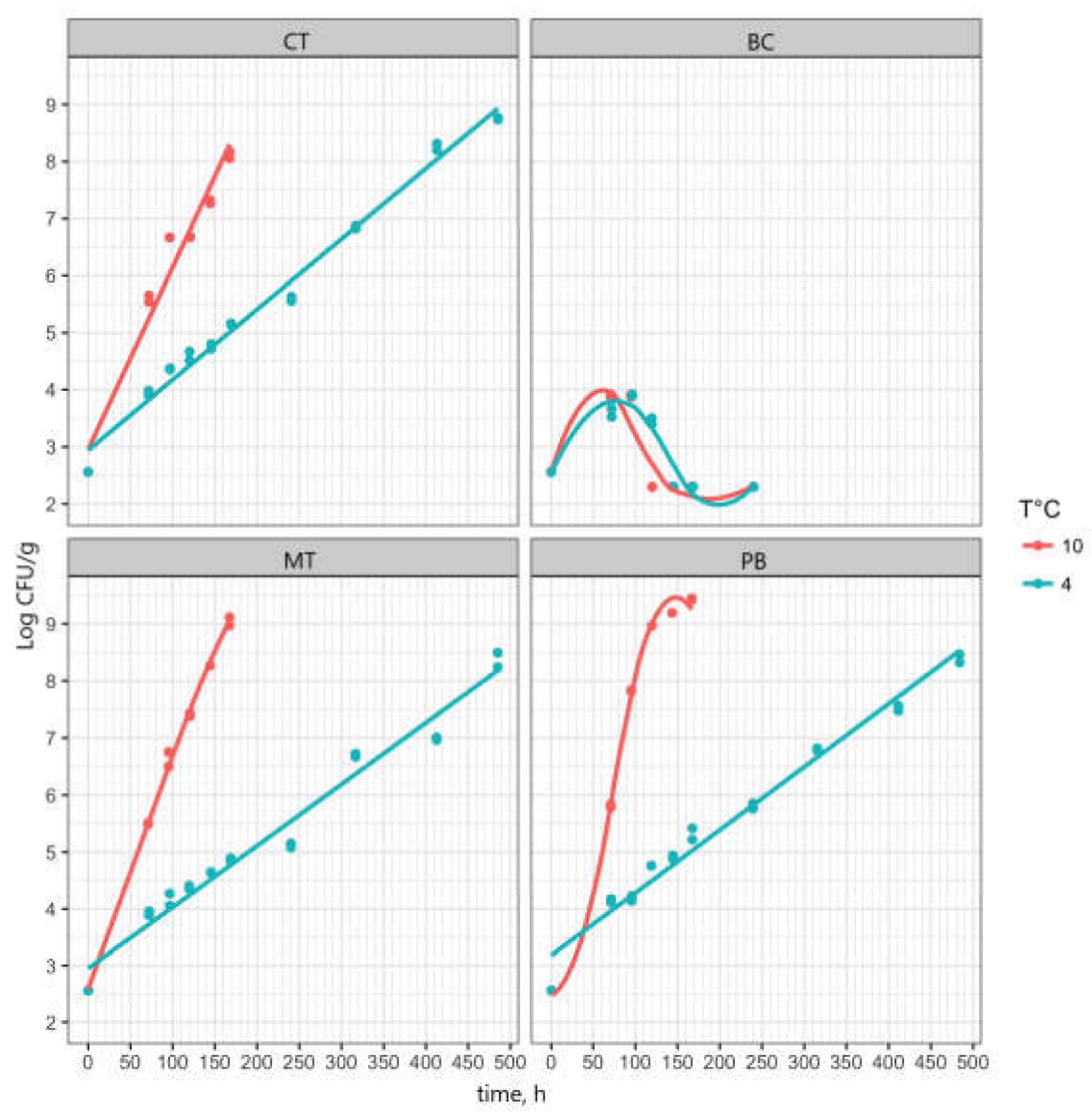
3.1.2. Potential Growth of L. monocytogenes during the Cold Storage
3.1.3. MW Inactivation of Listeria
3.2. Nutritional Profile of the Meals
3.3. Physical–Mechanical Analyses
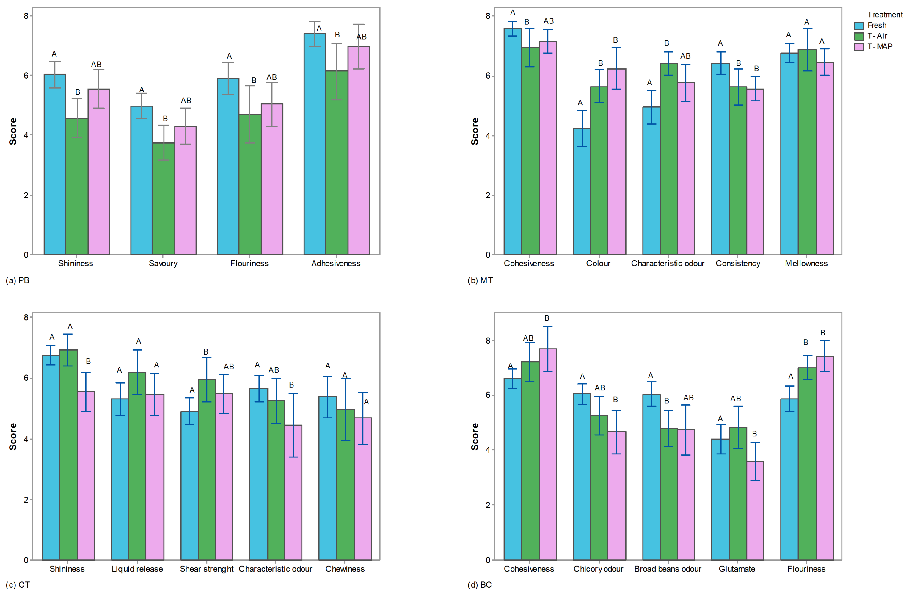
3.4. Sensory Profile of the Meals
4. Conclusions
Author Contributions
Funding
Conflicts of Interest
References
- Reicks, M.; Trofholz, A.C.; Stang, J.S.; Laska, M.N. Impact of Cooking and Home Food Preparation Interventions among Adults: Outcomes and Implications for Future Programs. J. Nutr. Educ. Behav. 2014, 46, 259–276. [Google Scholar] [CrossRef] [PubMed]
- Jabs, J.; Devine, C. Time-scarcity and food-choices: An overview. Appetite 2006, 47, 196–204. [Google Scholar] [CrossRef] [PubMed]
- Casini, L.; Boncinelli, F.; Contini, F.; Gerini, F.; Scozzafava, G.; Alfnes, F. Heterogeneous preferences with respect to food preparation time: Foodies and quickies. Food Qual. Prefer. 2019, 71, 233–241. [Google Scholar] [CrossRef]
- Stranieri, S.; Ricci, E.C.; Banterle, A. Convenience food with environmentally-sustainable attributes: A consumer perspective. Appetite 2017, 116, 11–20. [Google Scholar] [CrossRef] [PubMed]
- Food Drink Europe. Available online: https://www.fooddrinkeurope.eu/uploads/publications_documents/DataandTrends_Report_2017.pdf (accessed on 12 February 2019).
- Statista. Available online: https://www.statista.com/outlook/40080100/102/ready-meals/europe?currency=eur (accessed on 12 February 2019).
- Daelman, J.; Jacxsens, L.; Lahou, E.; Devlieghere, F.; Uyttendaele, M. Assessment of the Microbial Safety and Quality of Cooked Chilled Foods and Their Production Process. Int. J. Food Microbiol. 2013, 160, 193–200. [Google Scholar] [CrossRef] [PubMed]
- Daelman, J.; Membré, J.-M.; Jacxsens, L.; Vermeulen, A.; Devlieghere, F.; Uyttendaele, M. A Quantitative Microbiological Exposure Assessment Model for Bacillus Cereus in REPFEDs. Int. J. Food Microbiol. 2013, 166, 433–449. [Google Scholar] [CrossRef] [PubMed]
- Daelman, J.; Jacxsens, L.; Devlieghere, F.; Uyttendaele, M. Microbial Safety and Quality of Various Types of Cooked Chilled Foods. Food Control 2013, 30, 510–517. [Google Scholar] [CrossRef]
- Monteiro, C.A.; Cannon, G.; Levy, R.B.; Moubarac, J.C.; Louzada, M.L.; Rauber, F.; Khandpur, N.; Cediel, G.; Neri, D.; Martinez-Steele, E.; et al. Ultra-processed foods: What they are and how to identify them. Public Health Nutr. 2018, 22, 936–941. [Google Scholar] [CrossRef]
- Monteiro, C.A.; Cannon, G.; Moubarac, J.-C.; Levy, R.B.; Louzada, M.L.C.; Jaime, P.C. The UN Decade of Nutrition, the NOVA food classification and the trouble with ultra-processing. Public Health Nutr. 2018, 21, 5–17. [Google Scholar] [CrossRef] [PubMed]
- Celnik, D.; Gillespie, L.; Lean, M.E.J. Time-scarcity, ready-meals, ill-health and the obesity epidemic. Trends Food Sci. Technol. 2012, 27, 4–11. [Google Scholar] [CrossRef]
- De Boer, M.; McCarthy, M.; Cowan, C.; Ryan, I. The influence of lifestyle characteristics and beliefs about convenience food on the demand for convenience foods in the Irish market. Food Qual. Prefer. 2004, 15, 155–165. [Google Scholar] [CrossRef]
- Remnant, J.; Adams, J. The nutritional content and cost of supermarket ready-meals. Cross sectional analysis. Appetite 2015, 92, 36–42. [Google Scholar] [CrossRef] [PubMed]
- Van der Horst, K.; Brunner, T.A.; Siegrist, M. Ready-meal consumption. Associations with weight status and cooking skills. Public Health Nutr. 2011, 14, 239–245. [Google Scholar] [CrossRef] [PubMed]
- Kanzler, S.; Manschein, M.; Lammer, G.; Wagner, K.H. The nutrient composition of European ready meals: Protein, fat, total carbohydrates and energy. Food Chem. 2015, 172, 190–196. [Google Scholar] [CrossRef]
- Louzada, M.L.C.; Baraldi, L.C.; Steele, E.M. Consumption of ultraprocessed foods and obesity in Brazilian adolescents and adults. Prev. Med. 2015, 81, 8–15. [Google Scholar] [CrossRef]
- Juul, F.; Steele, E.M.; Parekh, N. Ultra-processed food consumption and excess weight among US adults. Br. J. Nutr. 2018, 120, 90–100. [Google Scholar] [CrossRef]
- Nardocci, M.; Leclerc, B.-S.; Louzada, M.L.C. Consumption of ultraprocessed foods and obesity in Canada. Can. J. Public Health 2018, 110, 4–14. [Google Scholar] [CrossRef]
- Costa, C.S.; Rauber, F.; Leffa, P.S.; Sangalli, C.N.; Campagnolo, P.D.B.; Vitolo, M.R. Ultra-processed food consumption and its effects on anthropometric and glucose profile: A longitudinal study during childhood. Nutr. Metab. Cardiovas. 2019, 29, 177–184. [Google Scholar] [CrossRef]
- Mendonça, R.; Lopes, A.; Pimenta, A.M.; Gea, A.; Martinez-Gonzalez, M.A.; Bes-Rastrollo, M. Ultraprocessed food consumption and the incidence of hypertension in a Mediterranean cohort: The Seguimiento Universidad de Navarra Project. Am. J. Hypertens. 2017, 30, 358–366. [Google Scholar]
- Lavigne-Robichaud, M.; Moubarac, J.-C.; Lantagne-Lopez, S. Diet quality indices in relation to metabolic syndrome in an Indigenous Cree (Eeyouch) population in northern Québec, Canada. Public Health Nutr. 2018, 21, 172–180. [Google Scholar] [CrossRef]
- Schnabel, L.; Buscail, C.; Sabate, J.-M. Association between ultraprocessed food consumption and functional gastrointestinal disorders: Results from the French NutriNet-Santé Cohort. Am. J. Gastroenterol. 2018, 113, 1217–1228. [Google Scholar] [CrossRef] [PubMed]
- Fardet, A. Minimally processed foods are more satiating and less hyperglycemic than ultra-processed foods: A preliminary study with 98 ready-to-eat foods. Food Funct. 2016, 7, 2338–2346. [Google Scholar] [CrossRef]
- Monteiro, C.A. The role of the transnational ultra-processed food industry in the pandemic of obesity and its associated diseases: Problems and solutions. World Nutr. 2019, 10, 89–99. [Google Scholar] [CrossRef]
- Matera, A.; Altieri, G.; Genovese, F.; Di Renzo, G.C. Microwave-assisted heating prototype designed for an interactive ready-to-heat foodstuff delivery system. In Proceedings of the 6th International Symposium on Modeling in Horticoultural Supply Chain, Molfetta, Italy, 9–12 June 2019. in press. [Google Scholar]
- EC (European Commission). Commission Regulation (EU) 2073/2005 of 15 November 2005 on microbiological criteria of foodstuffs. OJEU 2005. [Google Scholar]
- ISO. ISO 4833-2:2013; Microbiology of the Food Chain—Horizontal Method for the Enumeration of Microorganisms—Part 2: Colony Count at 30 Degrees C by the Surface Plating Technique; ISO: Geneva, Switzerland, 2013. [Google Scholar]
- ISO. ISO 17410:2019; Microbiology of the Food Chain—Horizontal Method for the Enumeration of Psychrotrophic Microorganisms; ISO: Geneva, Switzerland, 2019. [Google Scholar]
- ISO. ISO 21528-1:2017; Microbiology of the Food Chain—Horizontal Method for the Detection and Enumeration of Enterobacteriaceae—Part 1: Detection of Enterobacteriaceae; ISO: Geneva, Switzerland, 2017. [Google Scholar]
- ISO. ISO 21527-1:2008; Microbiology of Food and Animal Feeding Stuffs—Horizontal Method for the Enumeration of Yeasts and Moulds—Part 1: Colony Count Technique in Products with Water Activity Greater than 0.95; ISO: Geneva, Switzerland, 2008. [Google Scholar]
- ISO. ISO 11290-2:2017; Microbiology of the Food Chain—Horizontal Method for the Detection and Enumeration of Listeria monocytogenes and of Listeria spp.—Part 2: Enumeration Method; ISO: Geneva, Switzerland, 2017. [Google Scholar]
- Baranyi, J. DMFit Manual Version 3.5; Institute of Food Research: Norwich Research Park, UK, 2015. [Google Scholar]
- ComBase Website. Available online: https://www.combase.cc/index.php/en/8-category-en-gb/21-tools (accessed on 15 March 2018).
- Baldini, M.; Fabietti, F.; Giammarioli, S.; Onori, R.; Orefice, L.; Stacchini, A. Analytical Methods Used in Food Chemical Control; Istituto Superiore di Sanità: Rome, Italy, 1996; Volume 265, pp. 34–40, Rapporti ISTISAN 96/34. (In Italian) [Google Scholar]
- ISO. ISO 20483: 2013; Cereals and Pulses. Determination of the Nitrogen Content and Calculation of the Crude Protein Content—Kjeldahl Method; International Organization for Standardization: Geneva, Switzerland, 2013. [Google Scholar]
- Baldini, M., Fabietti; Giammarioli, S.; Onori, R.; Orefice, L.; Stacchini, A. Analytical Methods Used in Food Chemical Control; Istituto Superiore di Sanità: Rome, Italy, 1996; Volume 265, pp. 66–67, Rapporti ISTISAN 96/34. (In Italian) [Google Scholar]
- Baldini, M.; Fabietti, F.; Giammarioli, S.; Onori, R.; Orefice, L.; Stacchini, A. Analytical Methods Used in Food Chemical Control; Istituto Superiore di Sanità: Rome, Italy, 1996; Volume 265, pp. 124–125, Rapporti ISTISAN 96/34. (In Italian) [Google Scholar]
- Greenfield, H.; Southgate, D.A.T. Food Composition Data—Production, Management and Use, 2nd ed.; FAO Publishing Management Service: Roma, Italy, 2003; ISBN 92-5-104949-1. [Google Scholar]
- Olivera, D.F.; Salvadori, V.O. Instrumental and sensory evaluation of cooked pasta during frozen storage. Int. J. Food Sci. Technol. 2011, 46, 1445–1454. [Google Scholar] [CrossRef]
- Sánchez-Zapata, E.; Muñoz, C.M.; Fuentes, E.; Fernández-López, J.; Sendra, E.; Sayas, E.; Navarro, C.; Pérez-Alvarez, J.A. Effect of tiger nut fibre on quality characteristics of pork burger. Meat Sci. 2010, 86, 70–76. [Google Scholar] [CrossRef]
- Einen, O.; Thomassen, M.S. Starvation prior to slaughter in Atlantic salmon (Salmo salar): II. White muscle composition and evaluation of freshness, texture and colour characteristics in raw and cooked fillets. Aquaculture 1998, 169, 37–53. [Google Scholar] [CrossRef]
- Olivera, D.F.; Salvadori, V.O. Effect of freezing rate in textural and rheological characteristics of frozen cooked organic pasta. J. Food Eng. 2009, 90, 271–276. [Google Scholar] [CrossRef]
- Lee, D.S.; Paik, H.D.; Im, G.H.; Yeo, I.H. Shelf-life extension of Korean fresh pasta by modified atmosphere packaging Preventive Nutrition and Food. Food Sci. Nutr. 2001, 4, 240–243. [Google Scholar]
- Sanguinetti, A.M.; Del Caro, A.; Mangia, N.P.; Secchi, N.; Catzeddu, P.; Piga, A. Quality Changes of Fresh Filled Pasta During Storage: Influence of Modified Atmosphere Packaging on Microbial Growth and Sensory Properties. Food Sci. Technol. Int. 2011, 17, 23–29. [Google Scholar] [CrossRef]
- Zardetto, S. Effect of temperature and modified atmosphere on the growth of Penicillium aurantiogriseum isolated from fresh filled pasta. Tecnica Molitoria 2004, 55, 1–9. [Google Scholar] [CrossRef]
- Daelman, J.; Jacxsens, L.; Membré, J.-M.; Sas, B.; Devlieghere, F.; Uyttendaele, M. Behaviour of Belgian Consumers, Related to the Consumption, Storage and Preparation of Cooked Chilled Foods. Food Control 2013, 34, 681–690. [Google Scholar] [CrossRef]
- Peck, M.W. Clostridium Botulinum and the Safety of Minimally Heated, Chilled Foods: An Emerging Issue? J. Appl. Microbiol. 2006, 101, 556–570. [Google Scholar] [CrossRef]
- Zilelidou, E.A.; Skandamis, P. Growth, detection and virulence of Listeria monocytogenes in the presence of other microorganisms: Microbial interactions from species to strain level. Int. J. Food Microbiol. 2018, 277, 10–25. [Google Scholar] [CrossRef] [PubMed]
- Baranyi, J.; Roberts, T.A. A dynamic approach to predicting bacterial growth in food. Int. J. Food Microbiol. 1994, 23, 1–18. [Google Scholar] [CrossRef]
- Coroller, L.; Kan-King-Yu, D.; Leguerinel, I.; Mafart, P.; Membré, J.M. Modelling of growth, growth/no-growth interface and non-thermal inactivation areas of Listeria in foods. Int. J. Food Microbiol. 2012, 152, 139–152. [Google Scholar] [CrossRef]
- Tang, J. Unlocking potentials of microwaves for food safety and quality. J. Food Sci. 2015, 80, 1776–1793. [Google Scholar] [CrossRef]
- EC (European Commission). Commission regulation (EU) 1169/2011 of 25 October 2011 on the provision of food information to consumers. OJEU 2011, 304, 18–62. [Google Scholar]
- Gök, V.; Akkaya, L.; Obuz, E.; Bulut, S. Effect of ground poppy seed as a fat replacer on meat burgers. Meat Sci. 2011, 89, 400–404. [Google Scholar] [CrossRef]
- Serdaroğlu, M.; Öztürk, B.; Urgu, M. Emulsion characteristics, chemical and textural properties of meat systems produced with double emulsions as beef fat replacers. Meat Sci. 2016, 117, 187–195. [Google Scholar] [CrossRef]
- Balance, S.; Knutsen, S.H.; Fosvold, Ø.W.; Wickham, M.; Trenado, C.D.T.; Monro, J. Glyceamic and insulinaemic response to mashed potato alone, or with broccoli, broccoli fibre or cellulose in healthy adults. Eur. J. Nutr. 2018, 57, 199–207. [Google Scholar] [CrossRef] [PubMed]
- Yu, S.; Ma, Y.; Sun, D.W. Impact of amylose content on starch retrogradation and texture of cooked milled rice during storage. J. Cereal Sci. 2009, 50, 139–144. [Google Scholar] [CrossRef]
- Carini, E.; Curti, E.; Cassotta, F.; Najm, N.E.O.; Vittadini, E. Physico-chemical properties of ready to eat, shelf-stable pasta during storage. Food Chem. 2014, 144, 74–79. [Google Scholar] [CrossRef] [PubMed]
- Palav, T.; Seetharaman, K. Mechanism of starch gelatinization and polymer leaching during microwave heating. Carbohydr. Polym. 2006, 65, 363–370. [Google Scholar] [CrossRef]
- Yu, S.; Ma, Y.; Sun, D.W. Effects of freezing rates on starch retrogradation and textural properties of cooked rice during storage. LWT-Food Sci. Technol. 2010, 43, 1138–1143. [Google Scholar] [CrossRef]
- Perdon, A.A.; Siebenmorgen, T.J.; Buescher, R.W.; Gbur, E. Starch retrogradation and texture of cooked milled rice during storage. J. Food Sci. 1999, 64, 828–832. [Google Scholar] [CrossRef]



| PCA 2 | PCA + TCC 3 | VRBGA 4 | RBC 5 | PALCAM 6 | ||||||||
|---|---|---|---|---|---|---|---|---|---|---|---|---|
| Meal 1 | Pack | °C | %bdl | Log CFU/g | %bdl | Log CFU/g | %bdl | Log CFU/g | %bdl | Log CFU/g | %bdl | Log CFU/g |
| PB | - | 100 | <0.95 | 100 | <2.7 | 100 | <0.95 | 100 | <2.7 | 100 | <2.7 | |
| PB | Air | 4 | 20 | 2.97 ± 1.53 | 40 | 3.19 ± 0.50 | 100 | <0.95 | 20 | 2.98 ± 0.44 | 100 | <2.7 |
| PB | MAP | 4 | 20 | 3.13 ± 1.81 | 40 | 3.02 ± 0.37 | 100 | <0.95 | 60 | 2.82 ± 0.18 | 100 | <2.7 |
| PB | Air | 10 | 20 | 3.99 ± 2.36 | 40 | 3.52 ± 0.64 | 100 | <0.95 | 60 | 3.10 ± 0.62 | 100 | <2.7 |
| PB | MAP | 10 | 20 | 4.38 ± 1.59 | 40 | 3.32 ± 0.60 | 100 | <0.95 | 60 | 3.00 ± 0.51 | 100 | <2.7 |
| MT | - | 100 | <0.95 | 100 | <2.7 | 100 | <0.95 | 100 | <2.7 | 100 | <2.7 | |
| MT | Air | 4 | 100 | <0.95 | 100 | <2.7 | 100 | <0.95 | 100 | <2.7 | 100 | <2.7 |
| MT | MAP | 4 | 100 | <0.95 | 100 | <2.7 | 100 | <0.95 | 100 | <2.7 | 100 | <2.7 |
| MT | Air | 10 | 100 | <0.95 | 100 | <2.7 | 100 | <0.95 | 100 | <2.7 | 100 | <2.7 |
| MT | MAP | 10 | 100 | <0.95 | 100 | <2.7 | 100 | <0.95 | 100 | <2.7 | 100 | <2.7 |
| CT | - | 100 | <0.95 | 100 | <2.7 | 100 | <0.95 | 100 | <2.7 | 100 | <2.7 | |
| CT | Air | 4 | 100 | <0.95 | 100 | <2.7 | 100 | <0.95 | 100 | <2.7 | 100 | <2.7 |
| CT | MAP | 4 | 100 | <0.95 | 100 | <2.7 | 100 | <0.95 | 100 | <2.7 | 100 | <2.7 |
| CT | Air | 10 | 40 | 1.90 ± 1.16 | 100 | <2.7 | 100 | <0.95 | 100 | <2.7 | 100 | <2.7 |
| CT | MAP | 10 | 20 | 1.72 ± 1.33 | 100 | <2.7 | 100 | <0.95 | 100 | <2.7 | 100 | <2.7 |
| BC | - | 40 | 3.30 ± 2.86 | 20 | 2.65 ± 0.09 | 80 | 1.49 ± 1.06 | 100 | <2.7 | 100 | <2.7 | |
| BC | Air | 4 | 80 | 4.47 ± 3.44 | 80 | 2.86 ± 0.37 | 80 | 1.74 ± 1.76 | 100 | <2.7 | 100 | <2.7 |
| BC | MAP | 4 | 40 | 2.63 ± 2.17 | 80 | 2.82 ± 0.24 | 80 | 1.90 ± 1.89 | 100 | <2.7 | 100 | <2.7 |
| BC | Air | 10 | 0 | 6.26 ± 2.86 | 80 | 3.46 ± 1.53 | 80 | 1.90 ± 1.89 | 100 | <2.7 | 80 | 3.2 ± 1.1 |
| BC | MAP | 10 | 0 | 4.94 ± 2.11 | 60 | 3.69 ± 1.72 | 60 | 2.67 ± 2.98 | 100 | <2.7 | 100 | <2.7 |
| Product | °C | µmax (h−1) | R2 | µmax (h−1) 2 |
|---|---|---|---|---|
| PB | 4 | 0.012 ± 0.0068 | 0.976 | 0.016 |
| 10 | 0.083 ± 0.0041 | 0.999 | 0.040 | |
| MT | 4 | 0.010 ± 0.0004 | 0.968 | 0.015 |
| 10 | 0.040 ± 0.0009 | 0.997 | 0.037 | |
| CT | 4 | 0.012 ± 0.0005 | 0.987 | 0.018 |
| 10 | 0.037 ± 0.0031 | 0.963 | 0.047 | |
| BC | 4 | - | - | 0.024 |
| 10 | - | - | 0.061 |
| Product | Rep | T °C a | (Log CFU/g) N0 b | (Log CFU/g) N c | Log(N/N0) d |
|---|---|---|---|---|---|
| PB-10 | A | 82 | 8.50 ± 0.13 | <500 | <−6.46 |
| PB-10 | B | 80 | 8.83 ± 0.09 | <500 | <−6.46 |
| PB-4 | A | 69 | 8.32 ± 0.05 | 6.79 ± 0.02 | −1.60 ± 0.02 |
| PB-4 | B | 78 | 8.47 ± 0.04 | 3.90 ± 0.02 | −4.49 ± 0.02 |
| MT-10 | A | 78 | 8.62 ± 0.06 | 3.89 ± 0.09 | −4.76 ± 0.09 |
| MT-10 | B | 87 | 8.69 ± 0.04 | <500 | <−6.35 |
| MT-4 | A | 74 | 8.49 ± 0.01 | 5.86 ± 0.04 | −2.50 ± 0.04 |
| MT-4 | B | 83 | 8.24 ± 0.21 | <500 | <−6.07 |
| CT-10 | A | 70 | 8.39 ± 0.18 | 5.04 ± 0.04 | −3.40 ± 0.04 |
| CT-10 | B | 78 | 8.49 ± 0.26 | 2.64 ± 0.16 | −5.78 ± 0.16 |
| CT-4 | A | 62 | 8.77 ± 0.04 | 6.91 ± 0.02 | −1.84 ± 0.02 |
| CT-4 | B | 68 | 8.74 ± 0.03 | 6.66 ± 0.06 | −2.09 ± 0.06 |
| BC-10 | A | 74 | 9.06 ± 0.09 | 5.58 ± 0.06 | −3.47 ± 0.06 |
| BC-10 | B | 80 | 9.04 ± 0.01 | 4.39 ± 0.06 | −4.66 ± 0.06 |
| BC-4 | A | 72 | 9.08 ± 0.09 | 6.10 ± 0.30 | −2.69 ± 0.30 |
| BC-4 | B | 72 | 8.50 ± 0.63 | 6.09 ± 0.21 | −2.70 ± 0.21 |
| PB | MT | CT | BC | |||||
|---|---|---|---|---|---|---|---|---|
| Nutrient | Mean 1 | DV 2 | Mean 1 | DV 2 | Mean 1 | DV 2 | Mean 1 | DV 2 |
| Fats (%) | 1.50 | 4.71 | 11.00 | 31.43 | 1.00 | 2.57 | 0.50 | 1.14 |
| Proteins (%) | 5.50 | 24.20 | 17.00 | 68.00 | 15.00 | 54.00 | 6.00 | 19.20 |
| Carbohydrates (%) | 25.00 | 21.15 | 0.50 | 0.38 | 0.00 | 0.00 | 15.00 | 9.23 |
| Sodium (%) | 0.48 | 17.60 | 0.80 | 26.67 | 1.60 | 48.00 | 0.45 | 12.00 |
| Energetic value (Kcal) | 129.00 | 14.19 | 169.00 | 16.90 | 69.00 | 6.21 | 85.00 | 6.80 |
| Parameter | Fresh | Air | MAP |
|---|---|---|---|
| F0 (N) | 0.23 ± 0.02a | 0.27 ± 0.07ab | 0.33 ± 0.06b |
| Aꝏ | 0.58 ± 0.03a | 0.59 ± 0.07a | 0.58 ± 0.06a |
| A1 | 0.20 ± 0.03a | 0.21 ± 0.03a | 0.22 ± 0.03a |
| τ1 (s) | 1.30 ± 0.21a | 0.84 ± 0.07b | 0.83 ± 0.14b |
| A2 | 0.18 ±0.02a | 0.18 ± 0.03a | 0.17 ± 0.03a |
| τ2 (s) | 27.39 ±6.53a | 17.96 ± 1.77b | 17.34 ± 3.66b |
| E1 (kPa) | 1.91 ± 0.43a | 2.94 ± 0.17ab | 3.60 ± 0.81b |
| η1 (10−3 Pa s) | 2.43 ± 0.28a | 2.45 ± 1.00a | 3.00 ± 0.95a |
| E2 (kPa) | 1.71 ± 0.29a | 2.40 ± 0.95ab | 2.82 ± 0.64b |
| η2 (10−3 Pa s) | 47.42 ± 15.00a | 43.64 ± 20.24a | 47.77 ± 10.35a |
| R2 | 0.973 | 0.984 | 0.988 |
| Meals 1 | Treatment | Cohesiveness (-) | Hardness (N) | Firmness (N) |
|---|---|---|---|---|
| PB | Fresh | 0.71 ± 0.11a | 0.7 ± 0.81a | 2.27 ± 0.66a |
| Air | 0.54 ± 0.23b | 1.46 ± 1.51a | 4.98 ± 2.10b | |
| MAP | 0.46 ± 0.08b | 2.06 ± 1.52a | 4.96 ± 2.24b | |
| MT | Fresh | 0.29 ± 0.07a | 10.79 ± 3.47a | 4.27 ± 0.78a |
| Air | 0.34 ± 0.03a | 8.43 ± 2.37a | 2.76 ± 0.77b | |
| MAP | 0.33 ± 0.03a | 9.37 ± 2.18a | 3.05 ± 0.55b | |
| CT | Fresh | 0.36 ± 0.04a | 8.43 ± 3.26a | 30.22 ± 5.78a |
| Air | 0.33 ± 0.02ab | 16.58 ± 5.10b | 11.60 ± 4.19b | |
| MAP | 0.32 ± 0.04b | 11.22 ± 8.52ab | 15.49 ± 1.93b |
| Parameter | Fresh | Air | MAP |
|---|---|---|---|
| K (Pa sn) | 105.04 ± 6.90a | 77.26 ± 8.12b | 105.57 ± 15.8a |
| n (-) | 0.455 ± 0.01ab | 0.487 ± 0.02a | 0.43 ± 0.03b |
| σo (Pa) | 193.86 ± 9.73a | 128.1 ± 21.4b | 253.3 ± 22.4c |
| R2 | 0.994 | 0.996 | 0.989 |
| Products 1 | Fresh | Air | MAP |
|---|---|---|---|
| PB | 6.4 ± 0.7a | 5.3 ± 0.6b | 6.3 ± 0.8a |
| MT | 5.8 ± 0.5a | 4.7 ± 0.9b | 6.6 ± 0.6c |
| CT | 6.6 ± 0.8a | 6.2 ± 0.7ab | 5.5 ± 1.0b |
| BC | 6.2 ± 0.7a | 4.3 ± 0.4b | 4.2 ± 0.5b |
© 2020 by the authors. Licensee MDPI, Basel, Switzerland. This article is an open access article distributed under the terms and conditions of the Creative Commons Attribution (CC BY) license (http://creativecommons.org/licenses/by/4.0/).
Share and Cite
Matera, A.; Altieri, G.; Ricciardi, A.; Zotta, T.; Condelli, N.; Galgano, F.; Genovese, F.; Di Renzo, G.C. Microbiological Stability and Overall Quality of Ready-to-Heat Meals Based on Traditional Recipes of the Basilicata Region. Foods 2020, 9, 406. https://doi.org/10.3390/foods9040406
Matera A, Altieri G, Ricciardi A, Zotta T, Condelli N, Galgano F, Genovese F, Di Renzo GC. Microbiological Stability and Overall Quality of Ready-to-Heat Meals Based on Traditional Recipes of the Basilicata Region. Foods. 2020; 9(4):406. https://doi.org/10.3390/foods9040406
Chicago/Turabian StyleMatera, Attilio, Giuseppe Altieri, Annamaria Ricciardi, Teresa Zotta, Nicola Condelli, Fernanda Galgano, Francesco Genovese, and Giovanni Carlo Di Renzo. 2020. "Microbiological Stability and Overall Quality of Ready-to-Heat Meals Based on Traditional Recipes of the Basilicata Region" Foods 9, no. 4: 406. https://doi.org/10.3390/foods9040406
APA StyleMatera, A., Altieri, G., Ricciardi, A., Zotta, T., Condelli, N., Galgano, F., Genovese, F., & Di Renzo, G. C. (2020). Microbiological Stability and Overall Quality of Ready-to-Heat Meals Based on Traditional Recipes of the Basilicata Region. Foods, 9(4), 406. https://doi.org/10.3390/foods9040406

