Texture Preferences of Chinese, Korean and US Consumers: A Case Study with Apple and Pear Dried Fruits
Abstract
1. Introduction
2. Materials and Methods
2.1. Experimental Overview
2.2. Consumers
2.3. Samples
2.3.1. Experiment 1: Cross-Cultural Drivers of Liking for Dried Fruit Chips
2.3.2. Experiment 2: Hedonic Transfer of Texture Preference
2.4. Procedure
2.4.1. Experiment 1: Cross-Cultural Drivers of Liking for Dried Fruit Chips
2.4.2. Experiment 2: Hedonic Transfer of Texture Preference
2.5. Demographic Information
2.6. Statistical Analysis
2.6.1. Experiment 1: Cross-Cultural Drivers of Liking for Dried Fruit Chips
2.6.2. Experiment 2: Hedonic Transfer of Texture Preference
3. Results
3.1. Consumption Frequencies of Fresh Fruits, Dried Fruits and Snacks
3.2. Cross-Cultural Drivers of Liking for Dried Fruit Chips
3.2.1. Cross-Cultural Comparisons of Consumer Acceptance of Dried Fruit Chips
3.2.2. Multiple Factor Analysis of the Consumer Perceptual Configuration of Dried Fruit Chips
Liking and Disliking Terms Generated for Profiling Dried Fruit Samples
Cross-Cultural Comparison of Consumer’s Perceptual Configuration of Dried Fruit Chips
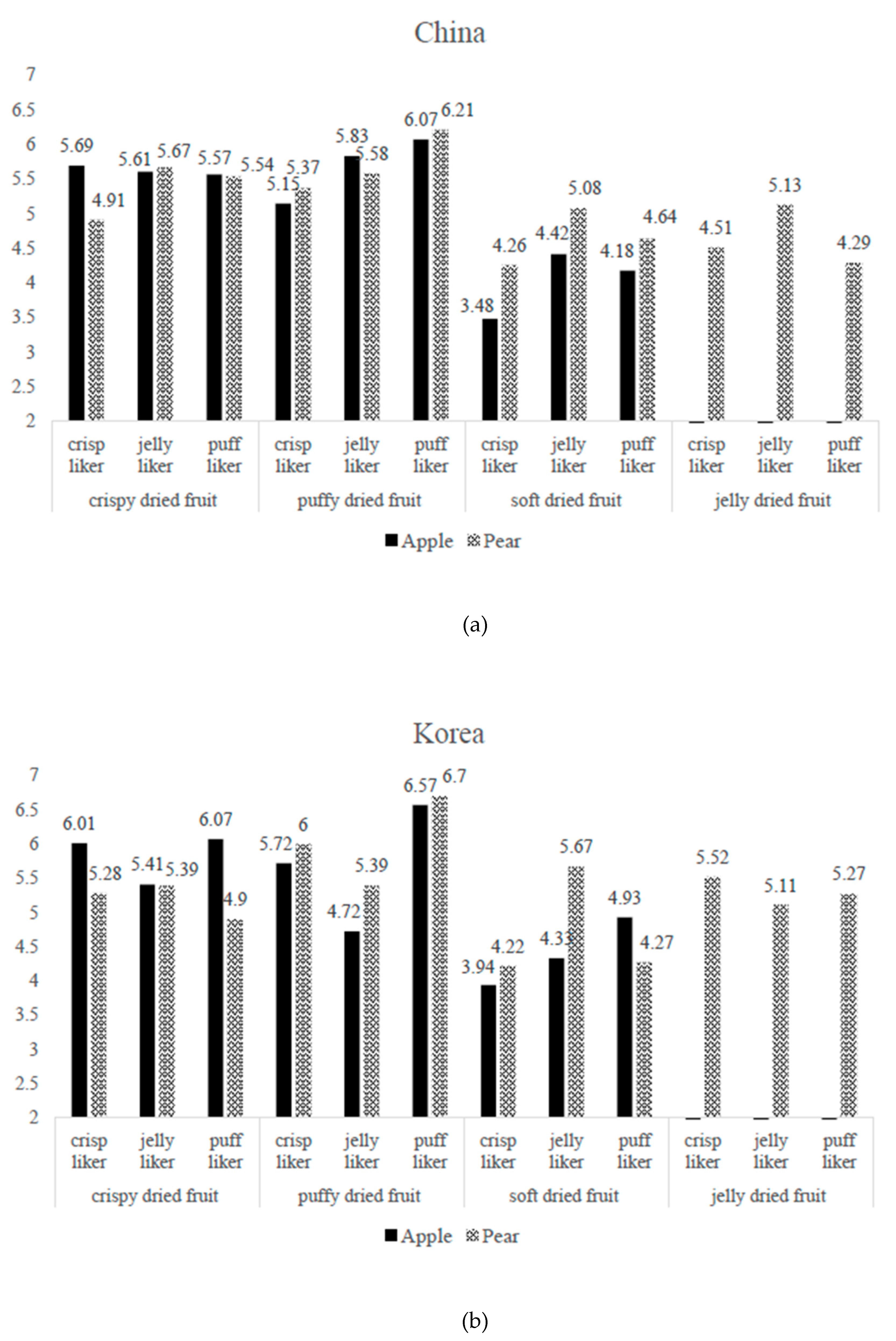
3.3. Hedonic Transfer of Texture Preference
4. Discussion
5. Conclusions
Author Contributions
Funding
Acknowledgments
Conflicts of Interest
Appendix A
| Fruit Type | Factor | Attributes | F-Value | p-Value |
|---|---|---|---|---|
| Apple | Dried fruit texture type | Overall liking | 57.759 | 0.000 |
| Appearance liking | 42.182 | 0.000 | ||
| Taste and flavor liking | 34.661 | 0.000 | ||
| Texture liking | 87.569 | 0.000 | ||
| Nationality | Overall liking | 5.965 | 0.003 | |
| Appearance liking | 12.009 | 0.000 | ||
| Taste and flavor liking | 7.824 | 0.001 | ||
| Texture liking | 1.451 | 0.237 | ||
| Dried fruit texture type ×1 Nationality | Overall liking | 4.799 | 0.001 | |
| Appearance liking | 13.194 | 0.000 | ||
| Taste and flavor liking | 2.623 | 0.033 | ||
| Texture liking | 3.053 | 0.016 | ||
| Nationality ×1 Panelist | Overall liking | 2.042 | 0.000 | |
| Appearance liking | 1.766 | 0.000 | ||
| Taste and flavor liking | 2.058 | 0.000 | ||
| Texture liking | 2.152 | 0.000 | ||
| Pear | Dried fruit texture type | Overall liking | 17.353 | 0.000 |
| Appearance liking | 41.936 | 0.000 | ||
| Taste and flavor liking | 8.850 | 0.000 | ||
| Texture liking | 22.692 | 0.000 | ||
| Nationality | Overall liking | 2.070 | 0.129 | |
| Appearance liking | 0.075 | 0.928 | ||
| Taste and flavor liking | 3.100 | 0.047 | ||
| Texture liking | 0.151 | 0.860 | ||
| Dried fruit texture type ×1 Nationality | Overall liking | 5.156 | 0.000 | |
| Appearance liking | 12.378 | 0.000 | ||
| Taste and flavor liking | 2.383 | 0.027 | ||
| Texture liking | 7.124 | 0.000 | ||
| Nationality ×1 Panelist | Overall liking | 1.804 | 0.000 | |
| Appearance liking | 1.915 | 0.000 | ||
| Taste and flavor liking | 1.895 | 0.000 | ||
| Texture liking | 1.922 | 0.000 |
References
- Lee, Y.S.; Park, J.W. The Increase of Imported Fruits, What Is the Countermeasure of Consumption and Production? Available online: https://dbpia.co.kr/pdf/pdfView.do?nodeId=NODE06597563. (accessed on 4 October 2019).
- Kim, S.W.; Park, M.S.; Park, H.W.; Choi, G.L.; Hong, S.P. Agricultural Outlook 2018: Trends and Prospects of Fruit Supply and Demand. Available online: http://library.krei.re.kr/pyxis-api/1/digital-files/66306611-d1b4-4144-875b-885204a3ae2c. (accessed on 4 October 2019).
- Grunert, K.G. Trends in food choice and nutrition. In Consumer Attitudes to Food Quality Products: Emphasis on Southern Europe; Klopčič, M., Kuipers, A., Hocquette, J.-F., Eds.; Wageningen Academic Publishers: Wageningen, The Netherlands, 2013; pp. 23–30. [Google Scholar]
- Ares, G.; Saldamando, L.; Giménez, A.; Claret, A.; Cunha, L.M.; Guerrero, L.; Moura, A.; Oliveira, R.; Symoneaux, D.C.R.; Deliza, R. Consumers’ associations with wellbeing in a food-related context: A cross-cultural study. Food Qual. Prefer. 2015, 40B, 304–315. [Google Scholar] [CrossRef]
- Román, S.; Sánchez-Siles, L.M.; Siegrist, M. The importance of food naturalness for consumers: Results of a systematic review. Trends Food Sci. Technol. 2017, 67, 44–57. [Google Scholar] [CrossRef]
- Luckow, T.; Sheehan, V.; Fitzgerald, G.; Delahunty, C. Exposure, health information and flavor-masking strategies for improving the sensory quality of probiotic juice. Appetite 2006, 47, 315–325. [Google Scholar] [CrossRef] [PubMed]
- Threlfall, R.; Morris, J.; Meullenet, J.F. Product development and nutraceutical analysis to enhance the value of dried fruit. J. Food Qual. 2007, 30, 552–566. [Google Scholar] [CrossRef]
- Sabbe, S.; Verbeke, W.; Van Damme, P. Confirmation/disconfirmation of consumers’ expectations of fresh and processed tropical fruit products. Int. J. Food Sci. Technol. 2009, 44, 539–551. [Google Scholar] [CrossRef]
- Michon, C.; O’Sullivan, M.G.; Sheehan, E.; Delahunty, C.M.; Kerry, J.P. Investigation of the influence of age, gender and consumption habits on the liking of jam-filled cakes. Food Qual. Prefer. 2010, 21, 553–561. [Google Scholar] [CrossRef]
- Koppel, K.; Chambers, E.; Vázquez-Araújo, L.; Timberg, L.; Carbonell-Barrachina, A.; Suwansichon, S. Cross-country comparison of pomegranate juice acceptance in Estonia, Spain, Thailand, and United States. Food Qual. Prefer. 2014, 31, 16–123. [Google Scholar] [CrossRef]
- Morais, R.M.S.C.; Morais, A.M.M.B.; Dammak, I.; Bonilla, J.; Sobral, P.J.A.; Laguerre, J.C.; Afonso, M.J.; Ramalhosa, E.C.D. Functional dehydrated foods for health preservation. J. Food Qual. 2018, 1–29. [Google Scholar] [CrossRef]
- Global Market Insight. 2019. Available online: https://www.gminsights.com/industry-analysis/fruit-snacks-market (accessed on 12 October 2019).
- Food Information Statistics System. Agriculture, Forestry, and Fisheries Import & Export & Statistics. 2018. Available online: https://www.atfis.or.kr/article/M001040000/view.do?articleId=3218&page=&searchKey=&searchString=&searchCategory= (accessed on 2 March 2020).
- Rababah, T.M.; Ereifej, K.I.; Howard, L. Effect of ascorbic acid and dehydration on concentrations of total phenolics, antioxidant capacity, anthocyanins, and color in fruits. J. Agric. Food Chem. 2005, 53, 4444–4447. [Google Scholar] [CrossRef]
- Asioli, D.; Rocha, C.; Wongprawmas, R.; Popa, M.; Gogus, F.; Almli, V.L. Microwave-Dried or Air-Dried? Consumers’ stated preferences and attitudes for organic dried strawberries. A multi-country investigation in Europe. Food Res. Int. 2019, 120, 763–775. [Google Scholar] [CrossRef]
- Jaeger, S.R.; Andani, Z.; Wakeling, I.N.; MacFie, H.J.H. Consumer preferences for fresh and aged apples: A cross-cultural comparison. Food Qual Prefer. 1998, 9, 355–366. [Google Scholar] [CrossRef]
- Pasquariello, M.S.; Rega, P.; Migliozzi, T.; Capuano, L.R.; Scortichini, M.; Petriccione, M. Effect of cold storage and shelf life on physiological and quality traits of early ripening pear cultivars. Sci. Hortic. 2013, 162, 341–350. [Google Scholar] [CrossRef]
- Tunick, M.H.; Onwulata, C.I.; Thomas, A.E.; Phillips, J.G.; Mukhopadhyay, S.; Sheen, S.; Liu, C.; Latona, N.; Pimentel, M.R.; Cooke, P.H. Critical evaluation of crispy and crunchy textures: A review. Int. J. Food Prop. 2012, 16, 949–963. [Google Scholar] [CrossRef]
- Zou, K.; Teng, J.; Huang, L.; Dai, X.; Wei, B. Effect of osmotic pretreatment on quality of mango chips by explosion puffing drying. Lwt Food Sci. Technol. 2013, 51, 253–259. [Google Scholar] [CrossRef]
- Prescott, J. Comparisons of taste perceptions and preferences of Japanese and Australian consumers: Overview and implications for cross-cultural sensory research. Food Qual. Prefer. 1998, 9, 393–402. [Google Scholar] [CrossRef]
- Kohno, K.; Hayakawa, F.; Xichang, W.; Shunsheng, C.; Yokoyama, M.; Kasai, M.; Hatae, K. Comparative study on flavor preference between Japanese and Chinese for dried bonito stock and chicken bouillon. J. Food Sci. 2005, 70, S193–S198. [Google Scholar] [CrossRef]
- Wan, X.; Woods, A.T.; Jacquot, M.; Knoeferle, K.; Kikutani, M.; Spence, C. The effects of receptacle on the expected flavor of a colored beverage: Cross-cultural comparison among French, Japanese, and Norwegian consumers. J. Sens. Stud. 2016, 31, 233–244. [Google Scholar] [CrossRef]
- Lee, S.M.; Kim, S.E.; Guinard, J.X.; Kim, K.O. Exploration of flavor familiarity effect in Korean and US consumers’ hot sauces perceptions. Food Sci. Biotechnol. 2016, 25, 745–756. [Google Scholar] [CrossRef]
- Tepper, B.J.; White, E.A.; Koelliker, Y.; Lanzara, C.; d’Adamo, P.; Gasparini, P. Genetic variation in taste sensitivity to 6-n-propylthiouracil and its relationship to taste perception and food selection. International Symposium on Olfaction and Taste. Ann. NY Acad. Sci. 2009, 1170, 126–139. [Google Scholar] [CrossRef]
- Bajec, M.R.; Pickering, G.J. Association of thermal taste and PROP responsiveness with food liking, neophobia, body mass index, and waist circumference. Food Qual. Prefer. 2010, 21, 589–601. [Google Scholar] [CrossRef]
- Chung, L.; Chung, S.J.; Kim, J.Y.; Kim, K.O.; O’Mahony, M.; Vickers, Z.; Cha, S.M.; Ishii, R.; Baures, K.; Kim, H.R. Comparing the liking for Korean style salad dressings and beverages between US and Korean consumers: Effects of sensory and non-sensory factors. Food Qual. Prefer. 2012, 26, 105–118. [Google Scholar] [CrossRef]
- Hong, J.H.; Park, H.S.; Chung, S.J.; Chung, L.; Cha, S.M.; Lê, S.; Kim, K.O. Effect of familiarity on a cross-cultural acceptance of a sweet ethnic food: A case study with Korean traditional cookie (Yackwa). J. Sens. Stud. 2014, 29, 110–125. [Google Scholar] [CrossRef]
- Torrico, D.D.; Fuentes, S.; Gonzalez Viejo, C.; Ashman, H.; Dunshea, F.R. Cross-cultural effects of food product familiarity on sensory acceptability and non-invasive physiological responses of consumers. Food Res. Int. 2019, 115, 439–450. [Google Scholar] [CrossRef] [PubMed]
- Rødbotten, M.; Martinsen, B.K.; Borge, G.I.; Mortvedt, H.S.; Knutsen, S.H.; Lea, P.; Næs, T. A cross-cultural study of preference for apple juice with different sugar and acid contents. Food Qual. Prefer. 2009, 20, 277–284. [Google Scholar] [CrossRef]
- Kim, J.Y.; Prescott, J.; Kim, O. Patterns of sweet liking in sucrose solutions and beverages. Food Qual. Prefer. 2014, 36, 96–103. [Google Scholar] [CrossRef]
- Risvik, E.; McEwan, J.A.; Colwill, J.S.; Rogers, R.; Lyon, D.H. Projective mapping: A tool for sensory analysis and consumer research. Food Qual. Prefer. 1994, 5, 263–269. [Google Scholar] [CrossRef]
- Pagès, J. Collection and analysis of perceived product inter-distances using multiple factor analysis: Application to the study of 10 white wines from the Loire Valley. Food Qual. Prefer. 2005, 16, 642–649. [Google Scholar] [CrossRef]
- Dehlholm, C.; Brockhoff, P.B.; Meinert, L.; Aaslyng, M.D.; Bredie, W.L. Rapid descriptive sensory methods–comparison of free multiple sorting, partial napping, napping, flash profiling and conventional profiling. Food Qual. Prefer. 2012, 26, 267–277. [Google Scholar] [CrossRef]
- Varela, P.; Berget, I.; Hersleth, M.; Carlehög, M.; Asioli, D.; Næs, T. Projective mapping based on choice or preference: An affective approach to projective mapping. Food Res. Int. 2017, 100, 241–251. [Google Scholar] [CrossRef]
- Kim, M.-R.; Kim, K.-P.; Chung, S.-J. Utilizing hedonic frame for projective mapping: A case study with Korean fermented soybean paste soup. Food Qual. Prefer. 2019, 71, 279–285. [Google Scholar] [CrossRef]
- Williams, E.J. Experimental designs balanced for the estimation of residual effects of treatments. Aust. J. Sci. Res. 1949, 2, 149–168. [Google Scholar] [CrossRef]
- Nestrud, M.A.; Lawless, H.T. Perceptual mapping of apples and cheeses using projective mapping and sorting. J. Sens. Stud. 2010, 25, 390–405. [Google Scholar] [CrossRef]
- Husson, F.; Josse, J.; Lê, S.; Mazet, J. FactoMineR: Multivariate Exploratory Data Analysis and Data Mining with R. R Package Version 1.16. 2011. Available online: http://factominer.free.fr, http://www.agrocampus-rennes.fr/math/ (accessed on 4 October 2019).
- Prescott, J.; Young, O.; Zhang, S.; Cummings, T. Effects of added “flavour principles” on liking and familiarity of a sheepmeat product: A comparison of Singaporean and New Zealand consumers. Food Qual. Prefer. 2004, 15, 187–194. [Google Scholar] [CrossRef]
- Tu, V.P.; Valentin, D.; Husson, F.; Dacremont, C. Cultural differences in food description and preference: Contrasting Vietnamese and French panellists on soy yogurts. Food Qual. Prefer. 2010, 21, 602–610. [Google Scholar] [CrossRef]
- Choi, J.H.; Gwak, M.J.; Chung, S.J.; Kim, K.O.; O’Mahony, M.; Ishii, R.; Bae, Y.W. Identifying the drivers of liking by investigating the reasons for (dis)liking using CATA in cross-cultural context: A case study on barbecue sauce. J. Sci. Food Agric. 2015, 95, 1613–1625. [Google Scholar] [CrossRef] [PubMed]
- Kim, H.-J.; Chung, S.-J.; Kim, K.-O.; Nielsen, B.; Ishii, R.; O’Mahony, M. A cross-cultural study of acceptability and food pairing for hot sauces. Appetite 2018, 123, 306–316. [Google Scholar] [CrossRef]
- Blancher, G.; Chollet, S.; Kesteloot, R.; Nguyen, D.; Cuvelier, G.; Sieffermann, J.-M. French and Vietnamese: How do they describe texture characteristics of the same food? A case study with jellies. Food Qual. Prefer. 2007, 18, 560–575. [Google Scholar] [CrossRef]
- Symoneaux, R.; Galmarini, M.V.; Mehinagic, E. Comment analysis of consumer’s likes and dislikes as an alternative tool to preference mapping. A case study on apples. Food Qual. Prefer. 2012, 24, 59–66. [Google Scholar] [CrossRef]
- Seppä, L.; Railio, J.; Vehkalahti, K.; Tahvonen, R.; Tuorila, H. Hedonic responses and individual definitions of an ideal apple as predictors of choice. J. Sens. Stud. 2013, 28, 346–357. [Google Scholar] [CrossRef]
- Food Information Statistics System. POS Retail Store Sales by Items. 2017. Available online: https://www.atfis.or.kr/sales/M002020000/ (accessed on 15 January 2020).
- Wang, H. Sector Trend Analysis- Savoury Snacks in the United States; Agriculture and Agri-Food Canada: Ottawa, ON, Canada, 2018.
- Wong, B. China’s Packaged Food Market: Consumer Snack Preferences; Hong Kong Trade Development Council Research: Hong Kong, China, 2018. [Google Scholar]
- Joshi, A.; Rupasinghe, H.; Khanizadeh, S. Impact of drying processes on bioactive phenolics, vitamin C and antioxidant capacity of red-fleshed apple slices. J. Food Process. Preserv. 2011, 35, 453–457. [Google Scholar] [CrossRef]
- Brown, W.E.; Braxton, D. Dynamics of food breakdown during eating in relation to perceptions of texture and preference: A study on biscuits. Food Qual. Prefer. 2000, 11, 259–267. [Google Scholar] [CrossRef]
- Jaworska, D.; Hoffmann, M. Relative importance of texture properties in the sensory quality and acceptance of commercial crispy products. J. Sci. Food Agric. 2008, 88, 1804–1818. [Google Scholar] [CrossRef]
- Harwood, M.L.; Ziegler, G.R.; Hayes, J.E. Rejection thresholds in chocolate milk: Evidence for segmentation. Food Qual. Prefer. 2012, 26, 128–133. [Google Scholar] [CrossRef]
- Harwood, M.L.; Loquasto, J.R.; Roberts, R.F.; Ziegler, G.R.; Hayes, J.E. Explaining tolerance for bitterness in chocolate ice cream using solid chocolate preferences. J. Dairy Sci. 2013, 96, 4938–4944. [Google Scholar] [CrossRef] [PubMed]
- Divert, C.; Chabanet, C.; Schoumacker, R.; Martin, C.; Lange, C.; Issanchou, S.; Nicklaus, S. Relation between sweet food consumption and liking for sweet taste in French children. Food Qual. Prefer. 2017, 56, 18–27. [Google Scholar] [CrossRef]
- Jeltema, M.; Beckley, J.; Vahalik, J. Model for understanding consumer textural food choice. Food Sci. Nutr. 2015, 3, 202–212. [Google Scholar] [CrossRef]







| Fruit Type | Product Name | Origin | Manufacturer |
|---|---|---|---|
| Pear | Northwest pear chips (Crisp_P_SF) | USA | Sisters Fruit Company, Cornelius, OR, USA. |
| Seneca pear chips (Crisp_P_SNC) | USA | Seneca Foods Corp., New York, NY, USA. | |
| Ichibiya freeze-dried pear chips (Puff_P_ICBY) | South Korea | Dami Dry Food Industry. Mungyeong, South Korea. | |
| Heswim pear chips (Puff_P_HS) | South Korea | Good Food Co., Ltd. Naju, South Korea. | |
| Starbucks real fruits pear (Soft_P_STBS) | South Korea | Midm Agricultural Union Co., Pyeongtaek, South Korea. | |
| GugGu miao li gan tiao(Jelly_P_GGM) | China | Ji ning shi gu gu miao Food Company, Jining, China. | |
| Yi cun nong fu (Jelly_P_YCNF) | China | Qing zhou shi ting you fu Food Company, Qingzhou, China. | |
| Apple | Northwest apple chips (Crisp_A_SF) | USA | Sisters Fruit Company, Cornelius, Oregon, USA. |
| Seneca apple chips (Crisp_A_SF) | USA | Seneca Foods Co. New York, NY, USA. | |
| Ichibiya freeze-dried apple Chips (Puff_A_ICBY) | South Korea | Dami Dry Food Industry. Mungyeong, South Korea. | |
| Apple ring (Puff_A_AR) | South Korea | Shingi Farm, Mungyeong, South Korea. | |
| Ibisak apple chips (Soft_A_IBS) | South Korea | Hephzibah Food and Beverage, Naju, South Korea. | |
| Sol to sa rang apple chips (Soft_A_STSR) | South Korea | Daon Food, Seoul, South Korea. | |
| Kyeong chang nong won apple chips (Crisp_A_KCNW) | South Korea | Safe Food, Busan, South Korea. |
| Product Name | Origin | Manufacturer |
|---|---|---|
| Honey butter maple syrup chips (Crisp_MS) | South Korea | Haitai Confectionery & Foods Co., Seoul, South Korea |
| Terra sweet potato chips (Crisp_SP2) | USA | The Hain Celestial Group, Inc, New York, NY, USA |
| Coconut chips (Crisp_C) | Thailand | Thitinan Bee Food Co., Bangkok, Thailand |
| Korea sweet potato chips (Crisp_SP1) | South Korea | Lotte Confectionery Co. Seoul, South Korea ood Food Co., South Korea |
| Apple and yogurt cubes (Puff_A) | South Korea | GoodFood Co. Naju, South Korea. |
| Handmade meringue-white, non-artificial pigment (Puff_M2) | South Korea | Miacake, Busan, South Korea |
| Aramonde meringue (Puff_M1) | South Korea | Aramonde, Seoul, South Korea |
| Fruit by the foot jelly -grape and green grape flavor (Jelly_G) | USA | General Mills, Minneapolis, MN, USA |
| Juicy mango soft jelly (Jelly_MG) | China | Fuijia Foods Co., Quanzhou, China |
| Factor | Attributes | F-Value | p-Value |
|---|---|---|---|
| Sample | Overall liking | 33.092 | 0.000 |
| Appearance liking | 51.220 | 0.000 | |
| Taste and flavor liking | 18.295 | 0.000 | |
| Texture liking | 40.588 | 0.000 | |
| Nationality | Overall liking | 5.131 | 0.007 |
| Appearance liking | 3.755 | 0.025 | |
| Taste and flavor liking | 7.817 | 0.001 | |
| Texture liking | 1.358 | 0.260 | |
| Nationality × Sample | Overall liking | 3.596 | 0.000 |
| Appearance liking | 8.340 | 0.000 | |
| Taste and flavor liking | 2.881 | 0.000 | |
| Texture liking | 3.318 | 0.000 | |
| Nationality × Panelist | Overall liking | 3.193 | 0.000 |
| Appearance liking | 3.189 | 0.000 | |
| Taste and flavor liking | 3.141 | 0.000 | |
| Texture liking | 3.634 | 0.000 |
| Attributes | Overall Liking | Appearance Liking | Taste and Flavor Liking | Texture Liking | |||||||||
|---|---|---|---|---|---|---|---|---|---|---|---|---|---|
| Nationality | CHN | KOR | USA | CHN | KOR | USA | CHN | KOR | USA | CHN | KOR | USA | |
| Sample | |||||||||||||
| Crisp_A_KCNW | 4.2 ± 1.4 a* | 4.6 ± 2.0 ab | 4.8 ± 1.9 ab | 3.8 ± 1.3 a | 3.7 ± 1.3 a | 4.7 ± 1.8 ab | 4.6 ± 1.5 a | 5.2 ± 2.0 cd | 5.7 ± 2.1 abc | 4.4 ± 1.8 ab | 4.7 ± 2.2 abc | 4.4 ± 2.2 ab | |
| Crisp_A_SF | 6.3 ± 1.8 f | 6.2 ± 1.8 c | 7.6 ± 1.4 f | 6.4 ± 1.6 e | 6.5 ± 1.5 g | 7.5 ± 1.4 g | 6.1 ± 1.9 de | 5.7 ± 2.0 defg | 7.5 ± 1.7 e | 6.6 ± 1.8 f | 6.9 ± 1.4 g | 7.4 ± 1.5 f | |
| Crisp_A_SNC | 5.6 ± 1.7 de | 6.3 ± 1.7 c | 6.5 ± 1.8 e | 5.7 ± 1.6 d | 5.4 ± 1.6 de | 6.8 ± 1.9 f | 5.6 ± 1.7 bcd | 6.3 ± 1.6 g | 6.4 ± 1.9 cd | 5.9 ± 1.5 e | 6.2 ± 1.8 fg | 6.8 ± 1.8 ef | |
| Puff_A_AR | 6.2 ± 1.5 ef | 6.0 ± 2.0 c | 5.9 ± 1.9 cde | 6.5 ± 1.5 e | 6.6 ± 1.4 g | 6.6 ± 1.6 ef | 6.4 ± 1.6 e | 6.4 ± 1.6 g | 6.2 ± 1.8 cd | 5.6 ± 2.2 de | 5.4 ± 2.3 de | 5.2 ± 2.3 bc | |
| Puff_A_ICBY | 5.6 ± 1.7 de | 6.1 ± 2.0 c | 5.7 ± 2.0 cd | 6 ± 1.4 de | 6.3 ± 1.7 fg | 5.3 ± 2.1 bc | 5.8 ± 1.5 cde | 6.0 ± 1.9 efg | 6.3 ± 1.9 cd | 5.5 ± 1.7 de | 6.0 ± 2.1 ef | 5.3 ± 2.2 cd | |
| Soft_A_IBS | 4.3 ± 1.6 ab | 4.4 ± 1.8 ab | 4.9 ± 1.7 ab | 4.8 ± 1.3 c | 4.8 ± 1.4 bc | 5.9 ± 1.7 cd | 4.8 ± 1.7 a | 4.7 ± 1.9 bc | 5.1 ± 2.1 ab | 3.8 ± 1.9 a | 4.1 ± 1.8 a | 4.1 ± 1.7 a | |
| Soft_A_STSR | 4.1 ± 1.5 a | 4.5 ± 1.9 ab | 5.7 ± 1.8 cd | 4.1 ± 1.3 a | 4.6 ± 1.6 bc | 6.0 ± 1.7 de | 4.8 ± 1.7 ab | 5.4 ± 1.7 de | 6.1 ± 1.9 cd | 3.9 ± 1.6 a | 4.2 ± 1.9 a | 5.1 ± 2.4 bc | |
| Crisp_P_SF | 5.7 ± 2.1 de | 4.8 ± 2.0 b | 6.1 ± 2.2 cde | 6.0 ± 1.6 de | 5.6 ± 1.7 de | 7.0 ± 1.4 fg | 5.8 ± 2.3 cde | 5.2 ± 2.1 cd | 5.9 ± 2.5 c | 5.7 ± 2.0 de | 5.1 ± 2.1 cd | 6.0 ± 2.1 de | |
| Jelly_P_GGM | 5.1 ± 1.9 cd | 5.8 ± 2.0 c | 6.4 ± 2.0 de | 5.0 ± 1.9 c | 5.4 ± 1.8 de | 5.6 ± 2.1 cd | 5.2 ± 1.9 abc | 5.8 ± 1.9 defg | 6.8 ± 1.9 d | 5.1 ± 1.9 bcd | 5.9 ± 1.8 ef | 6.4 ± 2.1 e | |
| Jelly_P_YCNF | 4.4 ± 2.1 ab | 4.0 ± 1.7 a | 4.7 ± 2.3 a | 4.6 ± 1.8 bc | 4.4 ± 1.5 b | 4.9 ± 1.9 ab | 4.9 ± 1.9 a | 4.1 ± 1.9 a | 4.9 ± 2.2 a | 4.1 ± 1.9 a | 4.9 ± 1.9 bcd | 4.9 ± 2.4 bc | |
| Puff_P_HS | 5.7 ± 1.5 de | 6.1 ± 2.0 c | 5.5 ± 2.0 bc | 5.7 ± 1.6 d | 5.9 ± 2.0 ef | 4.4 ± 2.0 a | 5.9 ± 1.3 de | 5.9 ± 1.9 efg | 6.1 ± 2.0 cd | 5.8 ± 1.6 de | 6.3 ± 2.0 fg | 5.1 ± 2.4 bc | |
| Puff_P_ICBY | 5.7 ± 1.6 de | 6.2 ± 2.0 c | 5.4 ± 2.2 abc | 5.7 ± 1.4 d | 5.9 ± 1.6 ef | 4.6 ± 2.1 ab | 5.8 ± 1.5 cde | 6.1 ± 1.6 fg | 5.8 ± 2.2 bc | 5.7 ± 1.6 de | 5.9 ± 2.1 ef | 5.1 ± 2.4 bc | |
| Soft_P_STBS | 4.5 ± 1.6 abc | 4.5 ± 1.7 ab | 4.8 ± 1.9 a | 4.2 ± 1.4 ab | 4.3 ± 1.4 b | 4.3 ± 1.9 a | 5.1 ± 1.7 a | 5.4 ± 1.6 def | 5.7 ± 1.8 abc | 4.5 ± 1.8 ab | 4.4 ± 1.9n ab | 3.9 ± 2.1 a | |
| CHN | KOR | USA | |||
|---|---|---|---|---|---|
| Liking | Disliking | Liking | Disliking | Liking | Disliking |
| appearance apple flavor/aroma appropriate sweetness chewy color crispy fresh fruit texture looks clean & neat melt in mouth natural fruity flavor none smell good soft sour sweet and sour sweet flavor taste/flavor texture white color | appearance artificial taste/flavor color feels old looks unfresh mushy none off taste/flavor oily skin soft texture stick to teeth sticky texture too hard too sour too sweet unappetizing appearance | appearance apple flavor/aroma appropriate sweetness chewy color crispy looks delicious looks like apple melt in mouth none refreshing taste/flavor/odor soft spongy sweet taste/flavor taste like snack texture thin | appearance artificial browning cosmetic taste/flavor/aroma feels like sponge hard looks unfresh none not crispy off taste/flavor/aroma oily skin soggy sour taste/flavor/aroma stick to teeth sticky strong taste/flavor/aroma taste/flavor texture too sour too sweet tough unknown taste/flavor | appearance chewy color crispy crunchy texture fruity flavor/aroma none skin sweet taste/flavor taste like fresh fruit tastes like candy texture | appearance artificial bland taste/flavor brown color dissolves too fast in mouth feel like Styrofoam nasty none soft texture stick to teeth taste/flavor tastes like candy texture too chewy too crunchy too hard too sweet too thick |
| Apple | Pear | ||||
|---|---|---|---|---|---|
| Factor | Attributes | F-Value | p-Value | F-Value | p-Value |
| Texture preference of snack | Overall liking | 1.117 | 0.331 | 0.970 | 0.382 |
| Appearance liking | 1.669 | 0.193 | 0.342 | 0.711 | |
| Taste/flavor liking | 0.208 | 0.813 | 1.848 | 0.162 | |
| Texture liking | 2.761 | 0.068 | 1.142 | 0.323 | |
| Dried fruit texture type | Overall liking | 35.642 | 0.000 | 15.185 | 0.000 |
| Appearance liking | 58.803 | 0.000 | 22.827 | 0.000 | |
| Taste/flavor liking | 17.929 | 0.000 | 9.990 | 0.000 | |
| Texture liking | 47.874 | 0.000 | 12.850 | 0.000 | |
| Nationality | Overall liking | 0.513 | 0.475 | 0.188 | 0.666 |
| Appearance liking | 0.160 | 0.690 | 0.341 | 0.561 | |
| Taste/flavor liking | 0.526 | 0.470 | 0.000 | 0.984 | |
| Texture liking | 0.732 | 0.394 | 0.993 | 0.321 | |
| Dried fruit texture type × Nationality | Overall liking | 0.948 | 0.388 | 2.541 | 0.055 |
| Appearance liking | 0.745 | 0.475 | 1.694 | 0.167 | |
| Taste/flavor liking | 0.857 | 0.425 | 2.009 | 0.111 | |
| Texture liking | 0.577 | 0.562 | 1.922 | 0.125 | |
| Texture preference of snack × Nationality | Overall liking | 1.435 | 0.243 | 0.090 | 0.914 |
| Appearance liking | 0.928 | 0.398 | 0.675 | 0.511 | |
| Taste/flavor liking | 1.528 | 0.222 | 0.842 | 0.434 | |
| Texture liking | 1.661 | 0.195 | 0.566 | 0.569 | |
| Texture preference of snack × Dried fruit texture type | Overall liking | 3.773 | 0.005 | 2.393 | 0.027 |
| Appearance liking | 1.371 | 0.242 | 4.107 | 0.000 | |
| Taste/flavor liking | 2.935 | 0.020 | 1.012 | 0.417 | |
| Texture liking | 3.425 | 0.009 | 2.731 | 0.013 | |
| Texture preference of snack × Dried fruit texture type × Nationality | Overall liking | 0.634 | 0.638 | 0.393 | 0.883 |
| Appearance liking | 1.443 | 0.218 | 0.469 | 0.831 | |
| Taste/flavor liking | 0.758 | 0.553 | 0.777 | 0.588 | |
| Texture liking | 0.612 | 0.654 | 0.857 | 0.526 | |
| Texture preference of snack × Nationality × Panelist | Overall liking | 2.767 | 0.000 | 2.391 | 0.000 |
| Appearance liking | 1.955 | 0.000 | 2.487 | 0.000 | |
| Taste/flavor liking | 2.606 | 0.000 | 2.085 | 0.000 | |
| Texture liking | 2.720 | 0.000 | 2.444 | 0.000 | |
© 2020 by the authors. Licensee MDPI, Basel, Switzerland. This article is an open access article distributed under the terms and conditions of the Creative Commons Attribution (CC BY) license (http://creativecommons.org/licenses/by/4.0/).
Share and Cite
Wong, R.; Kim, S.; Chung, S.-J.; Cho, M.-S. Texture Preferences of Chinese, Korean and US Consumers: A Case Study with Apple and Pear Dried Fruits. Foods 2020, 9, 377. https://doi.org/10.3390/foods9030377
Wong R, Kim S, Chung S-J, Cho M-S. Texture Preferences of Chinese, Korean and US Consumers: A Case Study with Apple and Pear Dried Fruits. Foods. 2020; 9(3):377. https://doi.org/10.3390/foods9030377
Chicago/Turabian StyleWong, Runrou, Seulgi Kim, Seo-Jin Chung, and Mi-Sook Cho. 2020. "Texture Preferences of Chinese, Korean and US Consumers: A Case Study with Apple and Pear Dried Fruits" Foods 9, no. 3: 377. https://doi.org/10.3390/foods9030377
APA StyleWong, R., Kim, S., Chung, S.-J., & Cho, M.-S. (2020). Texture Preferences of Chinese, Korean and US Consumers: A Case Study with Apple and Pear Dried Fruits. Foods, 9(3), 377. https://doi.org/10.3390/foods9030377
