Copigmentation with Chlorogenic and Ferulic Acid Affected Color and Anthocyanin Stability in Model Beverages Colored with Sambucus peruviana, Sambucus nigra, and Daucus carota during Storage
Abstract
1. Introduction
2. Materials and Methods
2.1. Materials
2.1.1. Chemicals
2.1.2. Plant Materials and ACN Extracts
2.2. Methods
2.2.1. ACN Extraction from SP
2.2.2. ACN Semi-purification
2.2.3. Monomeric ACN and Molymeric Color Quantification
2.2.4. Preparation of Model Beverage Systems
2.2.5. Storage Studies
2.2.6. HPLC Coupled with Photodiode Array Detection and Electrospray MS (HPLC-PDA-ESI-MS) Analyses of Model Beverages Colored with ACNs
2.2.7. Color Measurements
2.2.8. Statistical Analyses
3. Results and Discussion
3.1. Initial Color Characteristics of Model Beverages
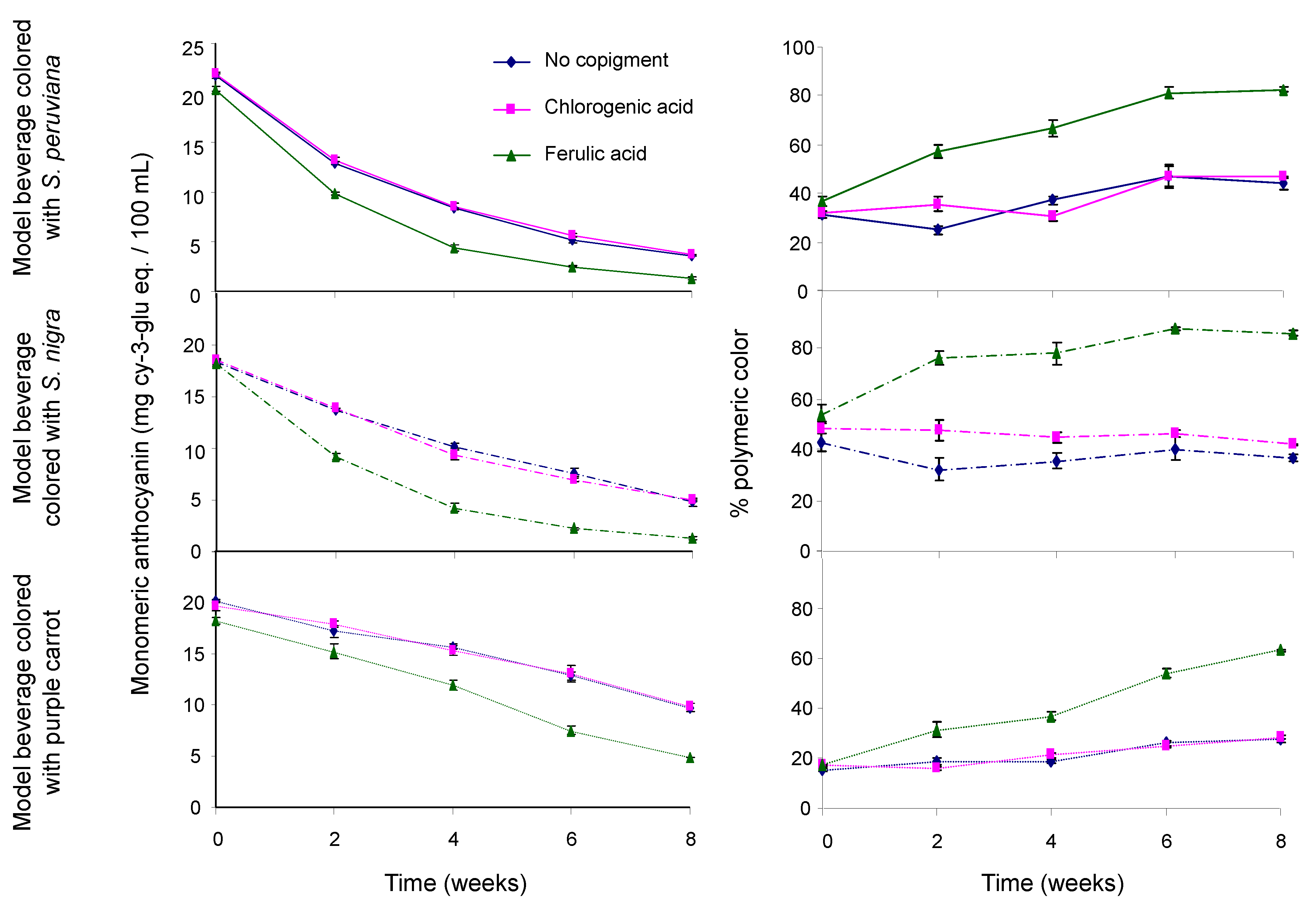
3.2. Color Stability and Monomeric ACN Content in Model Beverages
3.3. Polymeric ACN Content
3.4. HPLC–PDA–ESI–MS Analysis of Pigments in Model Beverages
4. Conclusions
Author Contributions
Funding
Conflicts of Interest
References
- Sigurdson, G.T.; Tang, P.; Giusti, M.M. Natural colorants: Food colorants from natural sources. Annu. Rev. Food Sci. Technol. 2017, 8, 261–280. [Google Scholar] [CrossRef] [PubMed]
- Giusti, M.M.; Wrolstad, R.E. Acylated anthocyanins from edible sources and their applications in food systems. Biochem. Eng. J. 2003, 14, 217–225. [Google Scholar] [CrossRef]
- McCann, D.; Barrett, A.; Cooper, A.; Crumpler, D.; Dalen, L.; Grimshaw, K.; Kitchin, E.; Lok, K.; Porteous, L.; Prince, E.; et al. Food additives and hyperactive behaviour in 3-year-old and 8/9-year-old children in the community: A randomised, double-blinded, placebo-controlled trial. Lancet 2007, 370, 1560–1567. [Google Scholar] [CrossRef]
- Bateman, B.; Warner, J.O.; Hutchinson, E.; Dean, T.; Rowlandson, P.; Gant, C.; Grundy, J.; Fitzgerald, C.; Stevenson, J. The effects of a double blind, placebo controlled, artificial food colourings and benzoate preservative challenge on hyperactivity in a general population sample of preschool children. Arch. Dis. Child. 2004, 89, 506–511. [Google Scholar] [CrossRef] [PubMed]
- Feingold, B.F. Hyperkinesis and learning disabilities linked to the ingestion of artificial food colors and flavors. J. Learn. Disabil. 1976, 9, 551–559. [Google Scholar] [CrossRef]
- Wrolstad, R.E. Anthocyanin pigments—Bioactivity and coloring properties. J. Food Sci. 2004, 69. [Google Scholar] [CrossRef]
- Carvalho, F.B.; Gutierres, J.M.; Bohnert, C.; Zago, A.M.; Abdalla, F.H.; Vieira, J.M.; Palma, H.E.; Oliveira, S.M.; Spanevello, R.M.; Duarte, M.M.; et al. Anthocyanins suppress the secretion of proinflammatory mediators and oxidative stress, and restore ion pump activities in demyelination. J. Nutr. Biochem. 2015, 26, 378–390. [Google Scholar] [CrossRef]
- Cohen-Boulakia, F.; Valensi, P.E.; Boulahdour, H.; Lestrade, R.; Dufour-Lamartinie, J.F.; Hort-Legrand, C.; Behar, A. In vivo sequential study of skeletal muscle capillary permeability in diabetic rats: Effect of anthocyanosides. Metabolism 2000, 49, 880–885. [Google Scholar] [CrossRef]
- Tsuda, T.; Horio, F.; Uchida, K.; Aoki, H.; Osawa, T. Dietary cyanidin 3-O-β-D-glucoside-rich purple corn color prevents obesity and ameliorates hyperglycemia in mice. J. Nutr. 2003, 133, 2125–2130. [Google Scholar] [CrossRef]
- Chen, P.N.; Chu, S.C.; Chiou, H.L.; Kuo, W.H.; Chiang, C.L.; Hsieh, Y.S. Mulberry anthocyanins, cyanidin 3-rutinoside and cyanidin 3-glucoside, exhibited an inhibitory effect on the migration and invasion of a human lung cancer cell line. Cancer Lett. 2006, 235, 248–259. [Google Scholar] [CrossRef]
- Porras-Mija, I.; Chirinos, R.; García-Ríos, D.; Aguilar-Galvez, A.; Huaman-Alvino, C.; Pedreschi, R.; Campos, D. Physico-chemical characterization, metabolomic profile and in vitro antioxidant, antihypertensive, antiobesity and antidiabetic properties of Andean elderberry (Sambucus nigra subsp. peruviana). J. Berry Res. 2019, 10, 193–208. [Google Scholar] [CrossRef]
- Paudel, L. High Field 1H Nuclear Magnetic Resonance (NMR) Spectroscopy Based Metabolomics and Complex Mixture Analysis by Multidimensional NMR and Liquid Chromatography-Mass Spectrometry (LC-MS). Ph.D. Thesis, The University of Akron, Akron, OH, USA, 2012. [Google Scholar]
- Veberic, R.; Jakopic, J.; Stampar, F.; Schmitzer, V. European elderberry (Sambucus nigra L.) rich in sugars, organic acids, anthocyanins and selected polyphenols. Food Chem. 2009, 114, 511–515. [Google Scholar] [CrossRef]
- Kaack, K.; Fretté, X.C.; Christensen, L.P.; Landbo, A.K.; Meyer, A.S. Selection of elderberry (Sambucus nigra L.) genotypes best suited for the preparation of juice. Eur. Food Res. Technol. 2008, 226, 843–855. [Google Scholar] [CrossRef]
- Schmitzer, V.; Veberic, R.; Slatnar, A.; Stampar, F. Elderberry (Sambucus nigra L.) wine: A product rich in health promoting compounds. J. Agric. Food Chem. 2010, 58, 10143–10146. [Google Scholar] [CrossRef]
- Zafrilla, P.; Valero, A.; García-Viguera, C. Stabilization of strawberry jam colour with natural colourants. Food Sci. Technol. Int. 1998, 4, 99–105. [Google Scholar] [CrossRef]
- Kammerer, D.R.; Schillmöller, S.; Maier, O.; Schieber, A.; Carle, R. Colour stability of canned strawberries using black carrot and elderberry juice concentrates as natural colourants. Eur. Food Res. Technol. 2007, 224, 667–679. [Google Scholar] [CrossRef]
- Chatham, L.A.; Howard, J.E.; Juvik, J.A. A natural colorant system from corn: Flavone-anthocyanin copigmentation for altered hues and improved shelf life. Food Chem. 2020, 310, 125734. [Google Scholar] [CrossRef]
- Weber, F.; Boch, K.; Schieber, A. Influence of copigmentation on the stability of spray dried anthocyanins from blackberry. LWT Food Sci. Technol. 2017, 75, 72–77. [Google Scholar] [CrossRef]
- Kanha, N.; Surawang, S.; Pitchakarn, P.; Regenstein, J.M.; Laokuldilok, T. Copigmentation of cyanidin 3-O-glucoside with phenolics: Thermodynamic data and thermal stability. Food Biosci. 2019, 30, 100419. [Google Scholar] [CrossRef]
- Terefe, N.S.; Netzel, G.A.; Netzel, M.E. Copigmentation with Sinapic Acid Improves the Stability of Anthocyanins in High-Pressure-Processed Strawberry Purees. J. Chem. 2019, 2019. [Google Scholar] [CrossRef]
- Wilska-Jeszka, J.; Korzuchowska, A. Anthocyanins and chlorogenic acid copigmentation—Influence on the colour of strawberry and chokeberry juices. Eur. Food Res. Technol. 1996, 203, 38–42. [Google Scholar] [CrossRef]
- Dufour, C.; Sauvaitre, I. Interactions between anthocyanins and aroma substances in a model system. Effect on the flavor of grape-derived beverages. J. Agric. Food Chem. 2000, 48, 1784–1788. [Google Scholar] [CrossRef] [PubMed]
- Rein, M.J.; Heinonen, M. Stability and Enhancement of Berry Juice Color. J. Agric. Food Chem. 2004, 52, 3106–3114. [Google Scholar] [CrossRef]
- Sari, P.; Wijaya, C.H.; Sajuthi, D.; Supratman, U. Colour properties, stability, and free radical scavenging activity of jambolan (Syzygium cumini) fruit anthocyanins in a beverage model system: Natural and copigmented anthocyanins. Food Chem. 2012, 132, 1908–1914. [Google Scholar] [CrossRef]
- Schwarz, M.; Wray, V.; Winterhalter, P. Isolation and identification of novel pyranoanthocyanins from black carrot (Daucus carota L.) juice. J. Agric. Food Chem. 2004, 52, 5095–5101. [Google Scholar] [CrossRef]
- Kumar, N.; Pruthi, V. Potential applications of ferulic acid from natural sources. Biotechnol. Rep. 2014, 4, 86–93. [Google Scholar] [CrossRef] [PubMed]
- De Oliveira Silva, E.; Batista, R. Ferulic Acid and Naturally Occurring Compounds Bearing a Feruloyl Moiety: A Review on Their Structures, Occurrence, and Potential Health Benefits. Compr. Rev. Food Sci. Food Saf. 2017, 16, 580–616. [Google Scholar] [CrossRef]
- Naveed, M.; Hejazi, V.; Abbas, M.; Kamboh, A.A.; Khan, G.J.; Shumzaid, M.; Ahmad, F.; Babazadeh, D.; FangFang, X.; Modarresi-Ghazani, F.; et al. Chlorogenic acid (CGA): A pharmacological review and call for further research. Biomed. Pharmacother. 2018, 97, 67–74. [Google Scholar] [CrossRef]
- Santana-Gálvez, J.; Cisneros-Zevallos, L.; Jacobo-Velázquez, D.A. Chlorogenic Acid: Recent advances on its dual role as a food additive and a nutraceutical against metabolic syndrome. Molecules 2017, 22, 358. [Google Scholar] [CrossRef]
- Mateus, N.; Silva, A.M.S.; Vercauteren, J.; De Freitas, V. Occurrence of anthocyanin-derived pigments in red wines. J. Agric. Food Chem. 2001, 49, 4836–4840. [Google Scholar] [CrossRef]
- He, J.; Carvalho, A.R.F.; Mateus, N.; De Freitas, V. Spectral features and stability of oligomeric pyranoanthocyanin-flavanol pigments isolated from red wines. J. Agric. Food Chem. 2010, 58, 9249–9258. [Google Scholar] [CrossRef]
- Peng, Y.; Zhang, H.; Liu, R.; Mine, Y.; McCallum, J.; Kirby, C.; Tsao, R. Antioxidant and anti-inflammatory activities of pyranoanthocyanins and other polyphenols from staghorn sumac (Rhus hirta L.) in Caco-2 cell models. J. Funct. Foods 2016, 20, 139–147. [Google Scholar] [CrossRef]
- Sun, J.; Li, X.; Luo, H.; Ding, L.; Jiang, X.; Li, X.; Jiao, R.; Bai, W. Comparative Study on the Stability and Antioxidant Activity of Six Pyranoanthocyanins Based on Malvidin-3-glucoside. J. Agric. Food Chem. 2020, 68, 2783–2794. [Google Scholar] [CrossRef]
- McDougall, G.J.; Fyffe, S.; Dobson, P.; Stewart, D. Anthocyanins from red wine—Their stability under simulated gastrointestinal digestion. Phytochemistry 2005, 66, 2540–2548. [Google Scholar] [CrossRef]
- Rodriguez-Saona, L.E.; Wrolstad, R.E. Extraction, isolation, and purification of anthocyanins. Curr. Protoc. Food Anal. Chem. 2001, 7–17. [Google Scholar] [CrossRef]
- Giusti, M.M.; Wrolstad, R.E. Characterization and measurement of anthocyanins by UV-visible spectroscopy. Curr. Protoc. Food Anal. Chem. 2001. [Google Scholar] [CrossRef]
- Rodríguez-Saona, L.E.; Giusti, M.M.; Wrolstad, R.E. Color and pigment stability of red radish and red-fleshed potato anthocyanins in juice model systems. J. Food Sci. 1999, 64, 451–456. [Google Scholar] [CrossRef]
- Qian, B.J.; Liu, J.H.; Zhao, S.J.; Cai, J.X.; Jing, P. The effects of gallic/ferulic/caffeic acids on colour intensification and anthocyanin stability. Food Chem. 2017, 228, 526–532. [Google Scholar] [CrossRef]
- Klisurova, D.; Petrova, I.; Ognyanov, M.; Georgiev, Y.; Kratchanova, M.; Denev, P. Co-pigmentation of black chokeberry (Aronia melanocarpa) anthocyanins with phenolic co-pigments and herbal extracts. Food Chem. 2019, 279, 162–170. [Google Scholar] [CrossRef]
- You, Y.; Li, N.; Han, X.; Guo, J.; Zhao, Y.; Liu, G.; Huang, W.; Zhan, J. Influence of different sterilization treatments on the color and anthocyanin contents of mulberry juice during refrigerated storage. Innov. Food Sci. Emerg. Technol. 2018, 48, 1–10. [Google Scholar] [CrossRef]
- Sui, X.; Bary, S.; Zhou, W. Changes in the color, chemical stability and antioxidant capacity of thermally treated anthocyanin aqueous solution over storage. Food Chem. 2016, 192, 516–524. [Google Scholar] [CrossRef] [PubMed]
- Li, J.; Song, H.; Dong, N.; Zhao, G. Degradation kinetics of anthocyanins from purple sweet potato (Ipomoea batatas L.) as affected by ascorbic acid. Food Sci. Biotechnol. 2014, 23, 89–96. [Google Scholar] [CrossRef]
- Jing, P.; Giusti, M.M. Characterization of anthocyanin-rich waste from purple corncobs (Zea mays L.) and its application to color milk. J. Agric. Food Chem. 2005, 53, 8775–8781. [Google Scholar] [CrossRef] [PubMed]
- Jing, P.; Zhao, S.J.; Ruan, S.Y.; Xie, Z.H.; Dong, Y.; Yu, L. Anthocyanin and glucosinolate occurrences in the roots of Chinese red radish (Raphanus sativus L.), and their stability to heat and pH. Food Chem. 2012, 133, 1569–1576. [Google Scholar] [CrossRef]
- Zhao, C.L.; Yu, Y.Q.; Chen, Z.J.; Wen, G.S.; Wei, F.G.; Zheng, Q.; Wang, C.D.; Xiao, X.L. Stability-increasing effects of anthocyanin glycosyl acylation. Food Chem. 2017, 214, 119–128. [Google Scholar] [CrossRef]
- Castañeda-Ovando, A.; de Pacheco-Hernández, M.L.; Páez-Hernández, M.E.; Rodríguez, J.A.; Galán-Vidal, C.A. Chemical studies of anthocyanins: A review. Food Chem. 2009, 113, 859–871. [Google Scholar] [CrossRef]
- Eiro, M.J.; Heinonen, M. Anthocyanin color behavior and stability during storage: Effect of intermolecular copigmentation. J. Agric. Food Chem. 2002, 50, 7461–7466. [Google Scholar] [CrossRef]
- Sinela, A.; Rawat, N.; Mertz, C.; Achir, N.; Fulcrand, H.; Dornier, M. Anthocyanins degradation during storage of Hibiscus sabdariffa extract and evolution of its degradation products. Food Chem. 2017, 214, 234–241. [Google Scholar] [CrossRef]
- Wallace, T.C.; Giusti, M.M. Determination of color, pigment, and phenolic stability in yogurt systems colored with nonacylated anthocyanins from Berberis boliviana L. as compared to other natural/synthetic colorants. J. Food Sci. 2008, 73. [Google Scholar] [CrossRef]
- Mateus, N.; Oliveira, J.; Haettich-Motta, M.; De Freitas, V. New family of bluish pyranoanthocyanins. J. Biomed. Biotechnol. 2004, 2004, 299–305. [Google Scholar] [CrossRef]
- De Freitas, V.; Mateus, N. Formation of pyranoanthocyanins in red wines: A new and diverse class of anthocyanin derivatives. Anal. Bioanal. Chem. 2011, 401, 1467–1477. [Google Scholar] [CrossRef]


| Colorant | Copigment | L* | Chroma | Hue Angle |
|---|---|---|---|---|
| S. peruviana | No copigment | 56.79 ± 0.04 a | 59.51 ± 0.10 a | 15.53 ± 0.07 a |
| Chlorogenic acid | 54.46 ± 0.35 b | 62.15 ± 0.22 b | 13.85 ± 0.10 b | |
| Ferulic acid | 54.70 ± 0.53 b | 61.53 ± 0.54 b | 12.52 ± 0.33 c | |
| S. nigra | No copigment | 69.13 ± 0.17 a | 47.18 ± 0.27 a | 11.08 ± 0.06 a |
| Chlorogenic acid | 65.16 ± 0.11 b | 52.66 ± 0.14 b | 7.95 ± 0.08 b | |
| Ferulic acid | 65.87 ± 0.55 b | 50.54 ± 0.80 c | 5.78 ± 0.60 c | |
| Purple carrot extract | No copigment | 44.11 ± 0.03 a | 71.34 ± 0.01 a | 24.78 ± 0.03 a |
| Chlorogenic acid | 43.79 ± 0.18 a | 70.38 ± 0.18 b | 22.84 ± 0.20 b | |
| Ferulic acid | 43.69 ± 0.12 a | 69.44 ± 0.08 c | 21.48 ± 0.17 c |
| Colorant | Copigment | Chroma | Monomeric Anthocyanins | ||||
|---|---|---|---|---|---|---|---|
| Equation | Half-Life (weeks) | R2 | Equation | Half-Life (days) | R2 | ||
| S. peruviana | No copigment | y = −0.039x + 1.775 | 23 | 1.00 | y = −0.098x + 1.320 | 47 | 0.99 |
| Chlorogenic acid | y = −0.039x + 1.802 | 23 | 1.00 | y = −0.097x + 1.327 | 47 | 1.00 | |
| Ferulic acid | y = −0.018x + 1.769 | 49 | 0.90 | y = −0.071x + 1.279 | 30 | 0.99 | |
| S. nigra | No copigment | y = −0.037x + 1.685 | 23 | 0.97 | y = −0.071x + 1.279 | 63 | 0.98 |
| Chlorogenic acid | y = −0.041x + 1.739 | 21 | 0.98 | y = −0.072x + 1.274 | 62 | 0.99 | |
| Ferulic acid | y = −0.015x + 1.683 | 55 | 0.85 | y = −0.146x + 1.245 | 29 | 0.99 | |
| Purple carrot extract | No copigment | y = −1.414x + 72.213 | 26 | 0.92 | y = −1.257x + 20.154 | 56 | 0.97 |
| Chlorogenic acid | y = −1.626x + 71.143 | 22 | 0.89 | y = −1.237x + 20.125 | 58 | 0.95 | |
| Ferulic acid | y = −1.865x + 71.035 | 19 | 0.90 | y = −1.723x + 18.451 | 38 | 0.98 | |
| Peak | ID | m/z | ACN Only | CGA | FA | |||
|---|---|---|---|---|---|---|---|---|
| W0 | W8 | W0 | W8 | W0 | W8 | |||
| In model beverages colored with S. peruviana | ||||||||
| 1 | Cyanidin-3-lathyroside | 581,287 | 32 | 37 | 34 | 37 | 34 | 0 |
| 2 | Cyanidin-3-sambubioside | 581,287 | 23 | 26 | 21 | 26 | 17 | 0 |
| 3 | Cyanidin-3-glucoside | 449,287 | 45 | 37 | 45 | 36 | 46 | 0 |
| 4 | Vinylguaiacol adduct of cyanidin-3-sambubioside and vinylguaiacol adduct of cyanidin-3-lathyroside | 727 | - | - | - | - | 2 | 45 |
| 5 | Vinylguaiacol adduct of cyanidin-3-glucoside | 595 | - | - | - | - | 2 | 54 |
| In model beverages colored with S. nigra | ||||||||
| 1′ | Cyanidin-3-sambubioside-5-glucoside | 744,287 | 6 | 14 | 8 | 28 | 7 | 0 |
| 2 | Cyanidin-3-sambubioside | 581,287 | 50 | 36 | 58 | 40 | 52 | 0 |
| 3 | Cyanidin-3-glucoside | 449,287 | 44 | 31 | 34 | 32 | 38 | 0 |
| 4 | Vinylguaiacol adduct of cyanidin-3-sambubioside | 727 | - | - | - | - | 1 | 50 |
| 5 | Vinylguaiacol adduct of cyanidin-3-glucoside | 595 | - | - | - | - | 1 | 50 |
| In model beverages colored with purple carrot | ||||||||
| 6 | Cyanidin-3-xylosyl-galactoside | 581,287 | 6 | 3 | 6 | 3 | 5 | 1 |
| 7 | Cyanidin-3-xylosyl-glucosyl-galactoside | 744,287 | 8 | 2 | 8 | 2 | 7 | 1 |
| 8 | Cyanidin-3-xylosyl-glucosyl-galactoside acylated with p-coumaric acid | 889,287 | 5 | 5 | 5 | 5 | 5 | 6 |
| 9 | Cyanidin-3-xylosyl-glucosyl-galactoside acylated with ferulic acid | 919,287 | 56 | 64 | 56 | 66 | 57 | 54 |
| 10 | Cyanidin-3-xylosyl-glucosyl-galactoside acylated with sinapic acid | 949,287 | 25 | 26 | 25 | 24 | 25 | 18 |
| 11 | Vinylguaiacol adduct of cyanidin-3-xylosyl-galactoside | 701 | - | - | - | - | 0 | 13 |
| 12 | Vinylguaiacol adduct of cyanidin-3-xylosyl-glucosyl-galactoside * | ND | - | - | - | - | 0 | 7 |
Publisher’s Note: MDPI stays neutral with regard to jurisdictional claims in published maps and institutional affiliations. |
© 2020 by the authors. Licensee MDPI, Basel, Switzerland. This article is an open access article distributed under the terms and conditions of the Creative Commons Attribution (CC BY) license (http://creativecommons.org/licenses/by/4.0/).
Share and Cite
Pangestu, N.P.; Miyagusuku-Cruzado, G.; Giusti, M.M. Copigmentation with Chlorogenic and Ferulic Acid Affected Color and Anthocyanin Stability in Model Beverages Colored with Sambucus peruviana, Sambucus nigra, and Daucus carota during Storage. Foods 2020, 9, 1476. https://doi.org/10.3390/foods9101476
Pangestu NP, Miyagusuku-Cruzado G, Giusti MM. Copigmentation with Chlorogenic and Ferulic Acid Affected Color and Anthocyanin Stability in Model Beverages Colored with Sambucus peruviana, Sambucus nigra, and Daucus carota during Storage. Foods. 2020; 9(10):1476. https://doi.org/10.3390/foods9101476
Chicago/Turabian StylePangestu, Nuryati P., Gonzalo Miyagusuku-Cruzado, and M. Monica Giusti. 2020. "Copigmentation with Chlorogenic and Ferulic Acid Affected Color and Anthocyanin Stability in Model Beverages Colored with Sambucus peruviana, Sambucus nigra, and Daucus carota during Storage" Foods 9, no. 10: 1476. https://doi.org/10.3390/foods9101476
APA StylePangestu, N. P., Miyagusuku-Cruzado, G., & Giusti, M. M. (2020). Copigmentation with Chlorogenic and Ferulic Acid Affected Color and Anthocyanin Stability in Model Beverages Colored with Sambucus peruviana, Sambucus nigra, and Daucus carota during Storage. Foods, 9(10), 1476. https://doi.org/10.3390/foods9101476

