Metal Chelates of Petunidin Derivatives Exhibit Enhanced Color and Stability
Abstract
1. Introduction
2. Materials and Methods
2.1. Materials & Reagents
2.2. Pigment Extraction
2.3. Pigment Purification
2.4. Pigment Identification
2.5. Pigment Quantification
2.6. Buffer System and Sample Preparation
2.7. Spectrophotometric Analysis
2.8. Half-Life Calculation
2.9. Colorimetric Analysis
2.10. Statistical Analysis
3. Results and Discussion
3.1. Anthocyanin Profiles in Purple Potato and Black Goji
3.2. Spectrophotometric and Colorimetric Properties of Purple Potato and Black Goji Extracts
3.3. Colorimetric Properties of Petunidin-Rich Extracts after Metal Addition
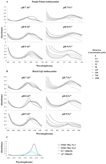
3.4. Spectrophotometric Properties of Petunidin Derivatives Chelated with Metals
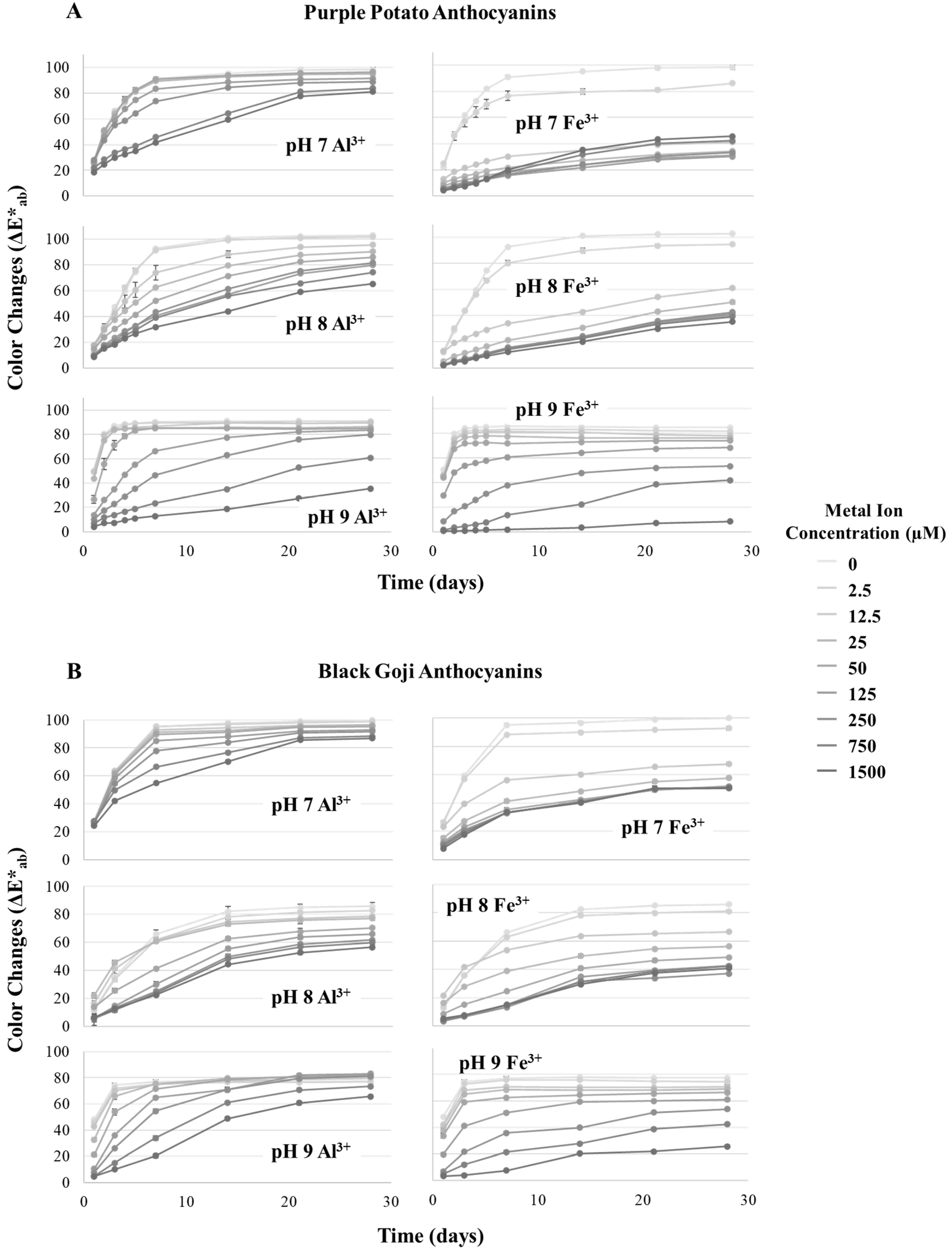
3.5. Impact of Metal Chelation on the Stability of Petunidin Derivatives
4. Conclusions
Supplementary Materials
Author Contributions
Funding
Conflicts of Interest
References
- He, J.; Giusti, M.M. Anthocyanins: Natural Colorants with Health-Promoting Properties. Annu. Rev. Food Sci. Technol. 2010, 1, 163–187. [Google Scholar] [CrossRef] [PubMed]
- Brouillard, R.; Dubois, J.E. Mechanism of the Structural Transformations of Anthocyanins in Acidic Media. J. Am. Chem. Soc. 1977, 99, 1359–1364. [Google Scholar] [CrossRef]
- Tang, P.; Giusti, M.M. Black Goji (Lycium ruthenicum Murr.) PolyphenolsPotent Antioxidants and Natural Colorants. In Phytochemicals in Goji Berries; CRC Press: Boca Raton, FL, USA, 2020; pp. 109–134. [Google Scholar]
- Sharma, V.; McKone, H.T.; Markow, P.G. A Global Perspective on the History, Use, and Identification of Synthetic Food Dyes. J. Chem. Educ. 2010, 88, 24–28. [Google Scholar] [CrossRef]
- Sigurdson, G.T.; Tang, P.; Giusti, M.M. Natural Colorants: Food Colorants from Natural Sources. Annu. Rev. Food Sci. Technol. 2017, 8, 261–280. [Google Scholar] [CrossRef] [PubMed]
- Cavalcanti, R.N.; Santos, D.T.; Meireles, M.A.A. Non-thermal stabilization mechanisms of anthocyanins in model and food systems—An overview. Food Res. Int. 2011, 44, 499–509. [Google Scholar] [CrossRef]
- Cortez, R.; Luna-Vital, D.A.; Margulis, D.; Gonzalez de Mejia, E. Natural Pigments: Stabilization Methods of Anthocyanins for Food Applications. Compr. Rev. Food Sci. Food Saf. 2017, 16, 180–198. [Google Scholar] [CrossRef]
- Sigurdson, G.T.; Robbins, R.J.; Collins, T.M.; Giusti, M.M. Evaluating the role of metal ions in the bathochromic and hyperchromic responses of cyanidin derivatives in acidic and alkaline pH. Food Chem. 2016, 208, 26–34. [Google Scholar] [CrossRef]
- Yoshida, K.; Kitahara, S.; Ito, D.; Kondo, T. Ferric ions involved in the flower color development of the Himalayan blue poppy, Meconopsis grandis. Phytochemistry 2006, 67, 992–998. [Google Scholar] [CrossRef]
- Yoshida, K.; Mori, M.; Kondo, T. Blue flower color development by anthocyanins: From chemical structure to cell physiology. Nat. Prod. Rep. 2009, 26, 884–915. [Google Scholar] [CrossRef]
- Schreiber, H.D.; Swink, A.M.; Godsey, T.D. The chemical mechanism for Al3+ complexing with delphinidin: A model for the bluing of Hydrangea sepals. J. Inorg. Biochem. 2010, 104, 732–739. [Google Scholar] [CrossRef]
- Tachibana, N.; Kimura, Y.; Ohno, T. Examination of molecular mechanism for the enhanced thermal stability of anthocyanins by metal cations and polysaccharides. Food Chem. 2014, 143, 452–458. [Google Scholar] [CrossRef] [PubMed]
- Pyysalo, H.; Kuusi, T. The role of iron and tin in discoloration of berry and red beet juices. Z. Lebensm. Unters. Forch. 1973, 153, 224–233. [Google Scholar] [CrossRef]
- Sigurdson, G.T.; Giusti, M.M. Bathochromic and hyperchromic effects of aluminum salt complexation by anthocyanins from edible sources for blue color development. J. Agric. Food Chem. 2014, 62, 6955–6965. [Google Scholar] [CrossRef] [PubMed]
- Sigurdson, G.T.; Robbins, R.J.; Collins, T.M.; Giusti, M.M. Effects of hydroxycinnamic acids on blue color expression of cyanidin derivatives and their metal chelates. Food Chem. 2017, 234, 131–138. [Google Scholar] [CrossRef]
- Fenger, J.-A.; Roux, H.; Robbins, R.J.; Collins, T.M.; Dangles, O. The influence of phenolic acyl groups on the color of purple sweet potato anthocyanins and their metal complexes. Dye. Pigment. 2020, 108792. [Google Scholar]
- Wrolstad, R.E.; Erlandson, J.A. Effect of metal ions on the color of strawberry puree. J. Food Sci. 1973, 38, 460–463. [Google Scholar] [CrossRef]
- Buchweitz, M.; Carle, R.; Kammerer, D.R. Bathochromic and stabilising effects of sugar beet pectin and an isolated pectic fraction on anthocyanins exhibiting pyrogallol and catechol moieties. Food Chem. 2012, 135, 3010–3019. [Google Scholar] [CrossRef]
- Sigurdson, G.T.; Robbins, R.J.; Collins, T.M.; Giusti, M.M. Spectral and colorimetric characteristics of metal chelates of acylated cyanidin derivatives. Food Chem. 2017, 221, 1088–1095. [Google Scholar] [CrossRef]
- Giusti, M.M.; Polit, M.F.; Ayvaz, H.; Tay, D.; Manrique, I. Characterization and quantitation of anthocyanins and other phenolics in native andean potatoes. J. Agric. Food Chem. 2014, 62, 4408–4416. [Google Scholar] [CrossRef]
- Shiroma-Kian, C.; Tay, D.; Manrique, I.; Giusti, M.M.; Rodriguez-Saona, L.E. Improving the screening process for the selection of potato breeding lines with enhanced polyphenolics content. J. Agric. Food Chem. 2008, 56, 9835–9842. [Google Scholar] [CrossRef]
- Lachman, J.; Hamouz, K.; Orsák, M.; Pivec, V.; Dvořák, P. The influence of flesh colour and growing locality on polyphenolic content and antioxidant activity in potatoes. Sci. Hortic. 2008, 117, 109–114. [Google Scholar] [CrossRef]
- Zheng, J.; Ding, C.; Wang, L.; Li, G.; Shi, J.; Li, H.; Wang, H.; Suo, Y. Anthocyanins composition and antioxidant activity of wild Lycium ruthenicum Murr. from Qinghai-Tibet Plateau. Food Chem. 2011, 126, 859–865. [Google Scholar] [CrossRef]
- Tang, P.; Giusti, M.M. Black goji as a potential source of natural color in a wide pH range. Food Chem. 2018, 269, 419–426. [Google Scholar] [CrossRef] [PubMed]
- Sigurdson, G.T.; Tang, P.; Giusti, M.M. Cis-trans configuration of coumaric acid acylation affects the spectral and colorimetric properties of anthocyanins. Molecules 2018, 23. [Google Scholar] [CrossRef]
- Rodriguez-Saona, L.E.; Wrolstad, R.E. Extraction, Isolation, and Purification of Anthocyanin. Curr. Protoc. Food Anal. Chem. 2001, F1.1.1–F1.1.11. [Google Scholar] [CrossRef]
- Mónica Giusti, M.; Wrolstad, R.E. Characterization and Measurement of Anthocyanins by UV-visible Spectroscopy. In Handbook of Food Analytical Chemistry; Wiley: Hoboken, NJ, USA, 2005; Volume 2, pp. 19–31. ISBN 9780471709084. [Google Scholar]
- Dawson, R.M.C.; Elliott, D.C.; Elliott, W.H.; Jones, K.M. Data for Biochemical Research; Oxford Science Publications: Oxford, UK, 1986. [Google Scholar]
- Stushnoff, C.; Holm, D.; Thompson, M.D.; Jiang, W.; Thompson, H.J.; Joyce, N.I.; Wilson, P. Antioxidant properties of cultivars and selections from the Colorado potato breeding program. In Proceedings of the American Journal of Potato Research; The Potato Association of America: Washington, DC, USA, 2008; Volume 85, pp. 267–276. [Google Scholar]
- Nayak, B.; Berrios, J.D.J.; Powers, J.R.; Tang, J. Thermal degradation of anthocyanins from purple potato (Cv. Purple Majesty) and impact on antioxidant capacity. J. Agric. Food Chem. 2011, 59, 11040–11049. [Google Scholar] [CrossRef]
- Wu, T.; Lv, H.; Wang, F.; Wang, Y. Characterization of Polyphenols from Lycium ruthenicum Fruit by UPLC-Q-TOF/MSE and Their Antioxidant Activity in Caco-2 Cells. J. Agric. Food Chem. 2016. [Google Scholar] [CrossRef]
- Zhang, G.; Chen, S.; Zhou, W.; Meng, J.; Deng, K.; Zhou, H.; Hu, N.; Suo, Y. Rapid qualitative and quantitative analyses of eighteen phenolic compounds from Lycium ruthenicum Murray by UPLC-Q-Orbitrap MS and their antioxidant activity. Food Chem. 2018. [Google Scholar] [CrossRef]
- Brouillard, R.; Delaporte, B.; Dubois, J.E. Chemistry of Anthocyanin Pigments. 3.1 Relaxation Amplitudes in pH-Jump Experiments. J. Am. Chem. Soc. 1978, 100, 6202–6205. [Google Scholar] [CrossRef]
- Dangles, O.; Elhabiri, M.; Brouillard, R. Kinetic and Thermodynamic Investigation of the Aluminium-Anthocyanin Complexation in Aqueous Solution. J. Chem. Soc. Perkin Trans. 2 1994, 2587–2596. [Google Scholar] [CrossRef]
- Buchweitz, M.; Brauch, J.; Carle, R.; Kammerer, D.R. Application of ferric anthocyanin chelates as natural blue food colorants in polysaccharide and gelatin based gels. Food Res. Int. 2013, 51, 274–282. [Google Scholar] [CrossRef]
- Becaria, A.; Campbell, A.; Bondy, S.C. Aluminum as a toxicant. Toxicol. Ind. Health 2002, 18, 309–320. [Google Scholar] [CrossRef] [PubMed]
- Makris, D.P.; Rossiter, J.T. Heat-induced, metal-catalyzed oxidative degradation of quercetin and rutin (quercetin 3-O-rhamnosylglucoside) in aqueous model systems. J. Agric. Food Chem. 2000, 48, 3830–3838. [Google Scholar] [CrossRef] [PubMed]
- Brouillard, R.; Delaporte, B. Chemistry of Anthocyanin Pigments. 2.1 Kinetic and Thermodynamic Study of Proton Transfer, Hydration, and Tautomeric Reactions of Malvidin 3-Glucoside. J. Am. Chem. Soc. 1977, 99, 8461–8468. [Google Scholar] [CrossRef]
- León-Carmona, J.R.; Galano, A.; Alvarez-Idaboy, J.R. Deprotonation routes of anthocyanidins in aqueous solution, pKa values, and speciation under physiological conditions. RSC Adv. 2016, 6, 53421–53429. [Google Scholar] [CrossRef]






| pH 3 | pH 4 | pH 5 | pH 6 | pH 7 | pH 8 | pH 9 | pH 10 | |
|---|---|---|---|---|---|---|---|---|
| Purple Potato | ||||||||
| L*(lightness) | 91.5 (0.6) | 93.0 (0.9) | 94.6 (0.3) | 90.4 (0.4) | 80.2 (1.6) | 75.7 (0.5) | 74.4 (0.9) | 80.8 (2.2) |
| C*ab(chroma) | 8.6 (1.2) | 5.0 (1.5) | 2.6 (0.1) | 6.9 (0.8) | 17.7 (2.1) | 18.8 (0.7) | 18.6 (1.2) | 7.8 (1.7) |
| hab(hue) | 357.3 (3.0) | 17.8 (1.2) | 54.3 (1.7) | 341.6 (4.3) | 306.5 (0.4) | 262.2 (1.9) | 242.6 (3.4) | 207.8 (5.6) |
| λvis-max | 524 (0.0) | 524 (0.0) | 529 (0.6) | 539 (0.0) | 558 (0.0) | 577 (0.0) | 578 (0.0) | 578 (0.0) |
| Black Goji | ||||||||
| L*(lightness) | 90.4 (3.1) | 93.0 (1.1) | 93.6 (1.1) | 81.9 (1.1) | 70.2 (0.1) | 68.1 (1.2) | 69.7 (1.4) | 77.1 (1.1) |
| C*ab(chroma) | 11.4 (0.9) | 5.0 (0.5) | 3.7 (1.1) | 39.7 (1.7) | 40.7 (1.4) | 36.4 (1.1) | 24.8 (1.9) | 27.7 (1.1) |
| hab(hue) | 350.2 (2.4) | 16.5 (1.8) | 30.1 (2.4) | 327.7 (1.7) | 306.6 (1.7) | 275.6 (1.4) | 259.3 (1.8) | 282.6 (1.4) |
| λvis-max | 525 (0.7) | 527 (0) | 536 (0.7) | 539 (1.4) | 558 (0.7) | 578 (0) | 578 (0) | NM |
| Purple Potato Extract | |||||||||
|---|---|---|---|---|---|---|---|---|---|
| [M3+] | |||||||||
| 2.5 μM | 12.5 μM | 25 μM | 50 μM | 125 μM | 250 μM | 750 μM | 1500 μM | ||
| pH 7 | 1.4 (0.2) | 2.3 (0.3) | 3.6 (0.2) | 4.8 (0.5) | 10.4 (0.2) | 20.9 (0.5) | 44.8 (1.5) | 49.1 (1.7) | |
| Al3+ | pH 8 | 5.1 (0.1) | 21.0 (0.7) | 29.2 (0.8) | 35.1 (1.4) | 36.7 (1.4) | 36.9 (1.4) | 38.3 (1.7) | 38.4 (1.8) |
| pH 9 | 5.2 (0.3) | 22.8 (0.0) | 38.6 (1.3) | 43.4 (1.2) | 39.5 (1.6) | 35.4 (1.6) | 30.7 (1.4) | 24.3 (0.9) | |
| pH 7 | 11.4 (0.9) | 39.0 (1.4) | 43.1 (1.9) | 45.5 (1.1) | 49.2 (1.2) | 53.0 (1.8) | 61.0 (1.5) | 66.8 (2.2) | |
| Fe3+ | pH 8 | 5.0 (0.3) | 32.2 (1.6) | 41.7 (1.5) | 43.6 (1.6) | 44.4 (1.3) | 45.5 (1.2) | 49.4 (1.2) | 52.3 (1.8) |
| pH 9 | 1.1 (0.1) | 3.1 (0.4) | 5.3 (0.2) | 10.7 (0.4) | 26.4 (1.0) | 35.2 (2.0) | 41.3 (2.0) | 42.7 (1.3) | |
| Black Goji Extract | |||||||||
| [M3+] | |||||||||
| 2.5 μM | 12.5 μM | 25 μM | 50 μM | 125 μM | 250 μM | 750 μM | 1500 μM | ||
| pH 7 | 2.1 (0.2) | 4.1 (0.7) | 6.1 (0.3) | 8.5 (0.4) | 13.2 (1.0) | 18.3 (1.3) | 27.0 (2.2) | 36.5 (1.8) | |
| Al3+ | pH 8 | 3.1 (0.1) | 5.7 (0.5) | 8.0 (0.6) | 35.2 (1.7) | 40.8 (2.2) | 40.3 (1.9) | 38.2 (1.9) | 35.5 (2.5) |
| pH 9 | 4.1 (0.7) | 20.5 (0.9) | 37.8 (1.8) | 41.3 (1.5) | 40.0 (1.7) | 37.8 (2.2) | 35.8 (1.3) | 33.2 (1.5) | |
| pH 7 | 6.6 (0.8) | 29.6 (1.2) | 40.7 (1.8) | 45.4 (1.8) | 48.7 (1.9) | 52.1 (2.2) | 59.9 (2.9) | 66.6 (3.1) | |
| Fe3+ | pH 8 | 0.5 (0.1) | 3.7 (0.1) | 19.6 (1.2) | 32.6 (1.1) | 35.3 (1.2) | 35.9 (1.9) | 40.1 (2.7) | 45.1 (1.9) |
| pH 9 | 1.1 (0.2) | 2.6 (0.2) | 5.6 (0.2) | 10.1 (0.6) | 25.2 (2.0) | 30.9 (2.6) | 43.9 (3.0) | 48.0 (2.2) | |
© 2020 by the authors. Licensee MDPI, Basel, Switzerland. This article is an open access article distributed under the terms and conditions of the Creative Commons Attribution (CC BY) license (http://creativecommons.org/licenses/by/4.0/).
Share and Cite
Tang, P.; Giusti, M.M. Metal Chelates of Petunidin Derivatives Exhibit Enhanced Color and Stability. Foods 2020, 9, 1426. https://doi.org/10.3390/foods9101426
Tang P, Giusti MM. Metal Chelates of Petunidin Derivatives Exhibit Enhanced Color and Stability. Foods. 2020; 9(10):1426. https://doi.org/10.3390/foods9101426
Chicago/Turabian StyleTang, Peipei, and M. Monica Giusti. 2020. "Metal Chelates of Petunidin Derivatives Exhibit Enhanced Color and Stability" Foods 9, no. 10: 1426. https://doi.org/10.3390/foods9101426
APA StyleTang, P., & Giusti, M. M. (2020). Metal Chelates of Petunidin Derivatives Exhibit Enhanced Color and Stability. Foods, 9(10), 1426. https://doi.org/10.3390/foods9101426

