Effect of High Hydrostatic Pressure Processing on the Chemical Characteristics of Different Lamb Cuts
Abstract
1. Introduction
2. Materials and Methods
2.1. Preparation of Lamb Samples
2.2. HPP Processing
2.3. Lipid Oxidation
2.4. Fatty Acid Methyl Ester (FAME) Analysis
2.5. Free Amino Acids
2.6. Statistical Analysis
3. Results and Discussion
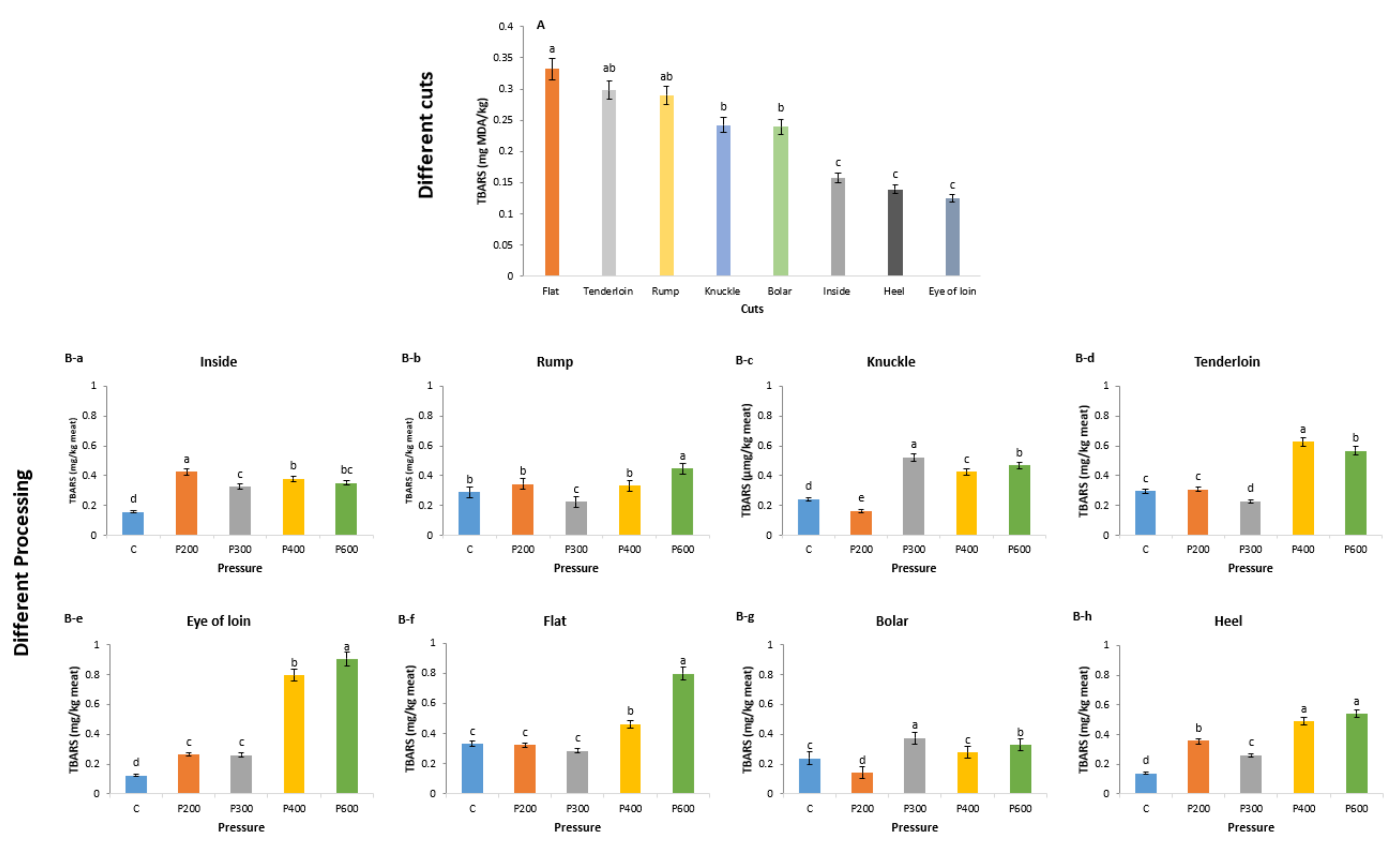
3.1. Lipid Oxidation
3.1.1. Lipid Oxidation in Different Cuts of Meat
3.1.2. Effect of Different HPP Treatments on Lipid Oxidation of Different Lamb Cuts
3.2. Fatty Acids
3.2.1. Fatty Acid Composition in Different Control Cuts
3.2.2. Effect of Different HPP Treatments on Fatty Acid Composition
3.3. Free Amino Acids
3.3.1. Free Amino Acid Content of Different Control Cuts
3.3.2. Non-essential Free Amino Acid Content in Different Control Cuts
3.3.3. Essential Free Amino Acids Content in Different Control Cuts
3.3.4. Effect of Different HPP Treatments on Free Amino Acid Content
3.4. Multiple Factor Analysis on Fatty Acids, Free Amino Acid Content and TBARS
4. Conclusions
Supplementary Materials
Author Contributions
Funding
Acknowledgments
Conflicts of Interest
References
- Kannan, G.; Kouakou, B.; Gelaye, S. Color changes reflecting myoglobin and lipid oxidation in chevon cuts during refrigerated display. Small Rumin. Res. 2001, 42, 67–74. [Google Scholar] [CrossRef]
- Suzuki, A.; Homma, N.; Fukuda, A.; Hirao, K.; Uryu, T.; Ikeuchi, Y. Effects of high pressure treatment on the flavour-related components in meat. Meat Sci. 1994, 37, 369–379. [Google Scholar] [CrossRef]
- Schmid, A. The Role of Meat Fat in the Human Diet. Crit. Rev. Food Sci. Nutr. 2010, 51, 50–66. [Google Scholar] [CrossRef] [PubMed]
- Hugas, M.; Garriga, M.; Monfort, J. New mild technologies in meat processing: High pressure as a model technology. Meat Sci. 2002, 62, 359–371. [Google Scholar] [CrossRef]
- Marcos, B.; Kerry, J.P.; Mullen, A.M. High pressure induced changes on sarcoplasmic protein fraction and quality indicators. Meat Sci. 2010, 85, 115–120. [Google Scholar] [CrossRef]
- Cheah, P.; Ledward, D. High pressure effects on lipid oxidation in minced pork. Meat Sci. 1996, 43, 123–134. [Google Scholar] [CrossRef]
- Angsupanich, K.; Ledward, D. High pressure treatment effects on cod (Gadus morhua) muscle. Food Chem. 1998, 63, 39–50. [Google Scholar] [CrossRef]
- Beltran, E.; Pla, R.; Yuste, J.; Mor-Mur, M. Lipid oxidation of pressurized and cooked chicken: Role of sodium chloride and mechanical processing on TBARS and hexanal values. Meat Sci. 2003, 64, 19–25. [Google Scholar] [CrossRef]
- Ma, Q.; Hamid, N.; Oey, I.; Kantono, K.; Faridnia, F.; Yoo, M.; Farouk, M. Effect of chilled and freezing pre-treatments prior to pulsed electric field processing on volatile profile and sensory attributes of cooked lamb meats. Innov. Food Sci. Emerg. Technol. 2016, 37, 359–374. [Google Scholar] [CrossRef]
- Wang, Q.; Zhao, X.; Ren, Y.; Fan, E.; Chang, H.; Wu, H. Effects of high pressure treatment and temperature on lipid oxidation and fatty acid composition of yak (Poephagus grunniens) body fat. Meat Sci. 2013, 94, 489–494. [Google Scholar] [CrossRef]
- Orlien, V.; Hansen, E.; Skibsted, L.H. Lipid oxidation in high-pressure processed chicken breast muscle during chill storage: Critical working pressure in relation to oxidation mechanism. Eur. Food Res. Technol. 2000, 211, 99–104. [Google Scholar] [CrossRef]
- Banskalieva, V.; Sahlu, T.; Goetsch, A. Fatty acid composition of goat muscles and fat depots: A review. Small Rumin. Res. 2000, 37, 255–268. [Google Scholar] [CrossRef]
- Gerber, N.; Scheeder, M.R.L.; Wenk, C. The influence of cooking and fat trimming on the actual nutrient intake from meat. Meat Sci. 2009, 81, 148–154. [Google Scholar] [CrossRef] [PubMed]
- Cruz-Romero, M.C.; Kerry, J.P.; Kelly, A.L. Fatty acids, volatile compounds and colour changes in high-pressure-treated oysters (Crassostrea gigas). Innov. Food Sci. Emerg. Technol. 2008, 9, 54–61. [Google Scholar] [CrossRef]
- McArdle, R.; Marcos, B.; Kerry, J.P.; Mullen, A. Monitoring the effects of high pressure processing and temperature on selected beef quality attributes. Meat Sci. 2010, 86, 629–634. [Google Scholar] [CrossRef]
- Yagiz, Y.; Kristinsson, H.G.; Balaban, M.O.; Welt, B.A.; Ralat, M.; Marshall, M.R. Effect of high pressure processing and cooking treatment on the quality of Atlantic salmon. Food Chem. 2009, 116, 828–835. [Google Scholar] [CrossRef]
- Kang, G.; Cho, S.; Seong, P.; Park, B.; Kim, S.; Kim, D.; Kim, Y.; Kang, S.; Park, K. Effects of high pressure processing on fatty acid composition and volatile compounds in Korean native black goat meat. Meat Sci. 2013, 94, 495–499. [Google Scholar] [CrossRef]
- McArdle, R.A.; Marcos, B.; Mullen, A.M.; Kerry, J.P. Influence of HPP conditions on selected lamb quality attributes and their stability during chilled storage. Innov. Food Sci. Emerg. Technol. 2013, 19, 66–72. [Google Scholar] [CrossRef]
- Ono, K.; Berry, B.W.; Paroczay, E. Contents and Retention of Nutrients in Extra Lean, Lean and Regular Ground Beef. J. Food Sci. 1985, 50, 701–706. [Google Scholar] [CrossRef]
- Simonin, H.; Duranton, F.; De Lamballerie, M. New Insights into the High-Pressure Processing of Meat and Meat Products. Compr. Rev. Food Sci. Food Saf. 2012, 11, 285–306. [Google Scholar] [CrossRef]
- Ohmori, T.; Shigehisa, T.; Taji, S.; Hayashi, R. Effect of High Pressure on the Protease Activities in Meat. Agric. Biol. Chem. 1991, 55, 357–361. [Google Scholar]
- Campus, M.; Flores, M.; Martinez, A.; Toldrá, F. Effect of high pressure treatment on colour, microbial and chemical characteristics of dry cured loin. Meat Sci. 2008, 80, 1174–1181. [Google Scholar] [CrossRef] [PubMed]
- Nam, K.; Ahn, D. Use of antioxidants to reduce lipid oxidation and off-odor volatiles of irradiated pork homogenates and patties. Meat Sci. 2003, 63, 1–8. [Google Scholar] [CrossRef]
- Faridnia, F.; Ma, Q.L.; Bremer, P.J.; Burritt, D.J.; Hamid, N.; Oey, I. Effect of freezing as pre-treatment prior to pulsed electric field processing on quality traits of beef muscles. Innov. Food Sci. Emerg. Technol. 2015, 29, 31–40. [Google Scholar] [CrossRef]
- Juárez, M.; Polvillo, O.; Contò, M.; Ficco, A.; Ballico, S.; Failla, S. Comparison of four extraction/methylation analytical methods to measure fatty acid composition by gas chromatography in meat. J. Chromatogr. A 2008, 1190, 327–332. [Google Scholar] [CrossRef]
- Penet, C.; Worthington, R.E.; Phillips, R.D.; Moon, N.J. Free amino acids of raw and cooked ground beef and pork. J. Food Sci. 1983, 48, 298–299. [Google Scholar] [CrossRef]
- Pagès, J. Collection and analysis of perceived product inter-distances using multiple factor analysis: Application to the study of 10 white wines from the Loire Valley. Food Qual. Prefer. 2005, 16, 642–649. [Google Scholar] [CrossRef]
- Shahidi, F.; Zhong, Y. Lipid oxidation and improving the oxidative stability. Chem. Soc. Rev. 2010, 39, 4067. [Google Scholar] [CrossRef]
- Park, S.Y.; Yoo, S.S.; Uh, J.H.; Eun, J.B.; Lee, H.C.; Kim, Y.J.; Chin, K.B. Evaluation of Lipid Oxidation and Oxidative Products as Affected by Pork Meat Cut, Packaging Method, and Storage Time during Frozen Storage (−10 °C). J. Food Sci. 2007, 72, C114–C119. [Google Scholar] [CrossRef]
- Wood, J.D.; Enser, M.; Fisher, A.V.; Nute, G.R.; Sheard, P.R.; Richardson, R.I.; Hughes, S.I.; Whittington, F.M. Fat deposition, fatty acid composition and meat quality: A review. Meat Sci. 2008, 78, 343–358. [Google Scholar] [CrossRef]
- Rhee, K.S.; Ziprin, Y.A.; Ordonez, G.; Bohac, C.E. Fatty acid profiles and lipid oxidation in beef steer muscles from different anatomical locations. Meat Sci. 1988, 23, 293–301. [Google Scholar] [CrossRef]
- Badiani, A.; Stipa, S.; Bitossi, F.; Gatta, P.P.; Vignola, G.; Chizzolini, R. Lipid composition, retention and oxidation in fresh and completely trimmed beef muscles as affected by common culinary practices. Meat Sci. 2002, 60, 169–186. [Google Scholar] [CrossRef]
- Ma, H.; Ledward, D.A.; Zamri, A.I.; Frazier, R.A.; Zhou, G.H. Effects of high pressure/thermal treatment on lipid oxidation in beef and chicken muscle. Food Chem. 2007, 104, 1575–1579. [Google Scholar] [CrossRef]
- Kantono, K.; Hamid, N.; Oey, I.; Wang, S.; Xu, Y.; Ma, Q.; Faridnia, F.; Farouk, M. Physicochemical and sensory properties of beef muscles after Pulsed Electric Field processing. Food Res. Int. 2019, 121, 1–11. [Google Scholar] [CrossRef] [PubMed]
- Kelly, M.J.; Tume, R.K.; Newman, S.A.; Thompson, J.M. Environmental effects on the fatty acid composition of subcutaneous beef fat. Aust. J. Exp. Agric. 2001, 41, 1023. [Google Scholar] [CrossRef]
- Manner, W.; Maxwell, R.J.; Williams, J.E. Effects of Dietary Regimen and Tissue Site on Bovine Fatty Acid Profiles. J. Anim. Sci. 1984, 59, 109–121. [Google Scholar] [CrossRef]
- Haffner, S.M. The Metabolic Syndrome: Inflammation, Diabetes Mellitus, and Cardiovascular Disease. Am. J. Cardiol. 2006, 97, 3–11. [Google Scholar] [CrossRef]
- Enser, M.; Richardson, R.I.; Wood, J.D.; Gill, B.P.; Sheard, P.R. Feeding linseed to increase the n-3 PUFA of pork: Fatty acid composition of muscle, adipose tissue, liver and sausages. Meat Sci. 2000, 55, 201–212. [Google Scholar] [CrossRef]
- Kim, S.R.; Jeon, S.Y.; Lee, S.-M. The association of cardiovascular risk factors with saturated fatty acids and fatty acid desaturase indices in erythrocyte in middle-aged Korean adults. Lipids Health Dis. 2015, 14, 133. [Google Scholar] [CrossRef]
- Ma, Q.; Hamid, N.; Oey, I.; Kantono, K.; Farouk, M. The Impact of High-Pressure Processing on Physicochemical Properties and Sensory Characteristics of Three Different Lamb Meat Cuts. Molecules 2020, 25, 2665. [Google Scholar] [CrossRef]
- Kanatt, S.R.; Chander, R.; Sharma, A. Effect of radiation processing of lamb meat on its lipids. Food Chem. 2006, 97, 80–86. [Google Scholar] [CrossRef]
- Vasta, V.; Aouadi, D.; Brogna, D.M.; Scerra, M.; Luciano, G.; Priolo, A.; Salem, H.B. Effect of the dietary supplementation of essential oils from rosemary and artemisia on muscle fatty acids and volatile compound profiles in Barbarine lambs. Meat Sci. 2013, 95, 235–241. [Google Scholar] [CrossRef] [PubMed]
- Alfaia, C.M.; Alfaia, C.M.; Alves, S.P.; Lopes, A.F.; Fernandes, M.J.; Costa, A.S.; Fontes, C.M.; Castro, M.L.; Bessa, R.J.; Prates, J.A. Effect of cooking methods on fatty acids, conjugated isomers of linoleic acid and nutritional quality of beef intramuscular fat. Meat Sci. 2010, 84, 769–777. [Google Scholar] [CrossRef] [PubMed]
- Yang, Y.; Sun, Y.; Pan, D.; Wang, Y.; Cao, J. Effects of high pressure treatment on lipolysis-oxidation and volatiles of marinated pork meat in soy sauce. Meat Sci. 2018, 145, 186–194. [Google Scholar] [CrossRef] [PubMed]
- He, Z.; Huang, Y.; Li, H.; Qin, G.; Wang, T.; Yang, J. Effect of high-pressure treatment on the fatty acid composition of intramuscular lipid in pork. Meat Sci. 2012, 90, 170–175. [Google Scholar] [CrossRef] [PubMed]
- Yang, H.; Ma, C.; Qiao, F.; Song, Y.; Du, M. Lipolysis in intramuscular lipids during processing of traditional Xuanwei ham. Meat Sci. 2005, 71, 670–675. [Google Scholar] [CrossRef] [PubMed]
- Leyton, J.; Drury, P.J.; Crawford, M.A. Differential oxidation of saturated and unsaturated fatty acids in vivo in the rat. Br. J. Nutr. 1987, 57, 383. [Google Scholar] [CrossRef] [PubMed]
- Pereda, J.; Ferragut, V.; Quevedo, J.M.; Guamis, B.; Trujillo, A.J. Effects of Ultra-High-Pressure Homogenization Treatment on the Lipolysis and Lipid Oxidation of Milk during Refrigerated Storage. J. Agric. Food Chem. 2008, 56, 7125–7130. [Google Scholar] [CrossRef]
- Tshabalala, P.A.; Strydom, P.E.; Webb, E.C.; De Kock, H.L. Meat quality of designated South African indigenous goat and sheep breeds. Meat Sci. 2003, 65, 563–570. [Google Scholar] [CrossRef]
- Madruga, M.S.; Elmore, J.S.; Oruna-Concha, M.J.; Balagiannis, D.; Mottram, D.S. Determination of some water-soluble aroma precursors in goat meat and their enrolment on flavour profile of goat meat. Food Chem. 2010, 123, 513–520. [Google Scholar] [CrossRef]
- Trani, A.; Gambacorta, G.; Loizzo, P.; Alviti, G.; Schena, A.; Faccia, M.; Aquilanti, L.; Di Luccia, A. Biochemical Traits of Ciauscolo, a Spreadable Typical Italian Dry-Cured Sausage. J. Food Sci. 2010, 75, C514–C524. [Google Scholar] [CrossRef] [PubMed]
- Holló, G.; Nuernberg, K.; Holló, I.; Csapó, J.; Seregi, J.; Repa, I.; Ender, K. Effect of feeding on the composition of longissmus muscle of Hungarian Grey and Holstein Friesian bulls.–III. Amino acid composition and mineral content. Arch. Anim. Breed. 2007, 50, 575–586. [Google Scholar]
- Watanabe, A.; Ueda, Y.; Higuchi, M. Effects of slaughter age on the levels of free amino acids and dipeptides in fattening cattle. Anim. Sci. J. 2004, 75, 361–367. [Google Scholar] [CrossRef]
- Aristoy, M.C.; Toldrá, F. Concentration of free amino acids and dipeptides in porcine skeletal muscles with different oxidative patterns. Meat Sci. 1998, 50, 327–332. [Google Scholar] [CrossRef]
- Franco, D.; Gonzalez, L.; Bispo, E.; Rodriguez, P.; Garabal, J.I.; Moreno, T. Study of hydrolysed protein composition, free amino acid, and taurine content in different muscles of galician blonde beef. J. Muscle Foods 2010, 21, 769–784. [Google Scholar] [CrossRef]
- Cornet, M.; Bousset, J. Free amino acids and dipeptides in porcine muscles: Differences between ‘red’ and ‘white’ muscles. Meat Sci. 1999, 51, 215–219. [Google Scholar] [CrossRef]
- Elgasim, E.; Alkanhal, M. Proximate composition, amino acids and inorganic mineral content of Arabian Camel meat: Comparative study. Food Chem. 1992, 45, 1–4. [Google Scholar] [CrossRef]
- Sales, J.; Hayes, J.P. Proximate, amino acid and mineral composition of ostrich meat. Food Chem. 1996, 56, 167–170. [Google Scholar] [CrossRef]
- Liu, T.; Hamid, N.; Kantono, K.; Pereira, L.; Farouk, M.M.; Knowles, S.O. Effects of meat addition on pasta structure, nutrition and in vitro digestibility. Food Chem. 2016, 213, 108–114. [Google Scholar] [CrossRef]
- Luo, Q.; Hamid, N.; Oey, I.; Leong, S.Y.; Kantono, K.; Alfaro, A.; Lu, J. Physicochemical changes in New Zealand abalone (Haliotis iris) with pulsed electric field (PEF) processing and heat treatments. LWT 2019, 115, 108438. [Google Scholar] [CrossRef]
- Toldra, F. Proteolysis and lipolysis in flavour development of dry-cured meat products. Meat Sci. 1998, 49, S101–S110. [Google Scholar] [CrossRef]
- Koutsidis, G.; Elmore, J.S.; Oruna-Concha, M.J.; Campo, M.M.; Wood, J.D.; Mottram, D.S. Water-soluble precursors of beef flavour. Part II: Effect of post-mortem conditioning. Meat Sci. 2008, 79, 270–277. [Google Scholar] [CrossRef] [PubMed]
- Herranz, B.; de la Hoz, L.; Hierro, E.; Fernández, M.; Ordonez, J.A. Improvement of the sensory properties of dry-fermented sausages by the addition of free amino acids. Food Chem. 2005, 91, 673–682. [Google Scholar] [CrossRef]
- Yang, Y.; Ye, Y.; Wang, Y.; Sun, Y.; Pan, D.; Cao, J. Effect of high pressure treatment on metabolite profile of marinated meat in soy sauce. Food Chem. 2018, 240, 662–669. [Google Scholar] [CrossRef] [PubMed]
- Lin, Y.H.T.; Hamid, N.; Shepherd, D.; Kantono, K.; Spence, C. Environmental sounds influence the multisensory perception of chocolate gelati. Foods 2019, 8, 124. [Google Scholar] [CrossRef] [PubMed]
- Limbad, M.; Gutierrez Maddox, N.; Hamid, N.; Kantono, K. Sensory and Physicochemical Characterization of Sourdough Bread Prepared with a Coconut Water Kefir Starter. Foods 2020, 9, 1165. [Google Scholar] [CrossRef] [PubMed]
- Gao, Y.; Hamid, N.; Gutierrez-Maddox, N.; Kantono, K.; Kitundu, E. Development of a probiotic beverage using breadfruit flour as a substrate. Foods 2019, 8, 214. [Google Scholar] [CrossRef] [PubMed]


| Fatty Acids/Cuts | Bolar | Eye of Loin | Flat | Heel | Inside | Knuckle | Rump | Tenderloin | p-Value |
|---|---|---|---|---|---|---|---|---|---|
| C16:0 | 14.96 ± 0.03 a | 14.08 ± 0.09 b | 8.02 ± 0.61 d | 5.14 ± 0.11 e | 3.8 ± 0.16 f | 10.53 ± 0.02 c | 4.5 ± 0.44 e | 10.84 ± 0.29 c | **** |
| C16:1 | 0.77 ± 0.03 b | 0.9 ± 0.01 a | 0.56 ± 0.05 e | 0.39 ± 0.02 f | 0.31 ± 0.01 g | 0.62 ± 0.01 d | 0.35 ± 0.02 fg | 0.71 ± 0.00 c | **** |
| C17:0 | 1.06 ± 0.00 a | 0.82 ± 0.01 b | 0.44 ± 0.04 e | 0.35 ± 0.01 f | 0.27 ± 0.00 g | 0.67 ± 0.01 d | 0.32 ± 0.00 f | 0.73 ± 0.05 c | **** |
| C17:1 | 0.48 ± 0.00 a | 0.46 ± 0.01 a | 0.31 ± 0.01 cd | 0.25 ± 0.00 de | 0.21 ± 0.01 e | 0.37 ± 0.01 bc | 0.22 ± 0.01 e | 0.41 ± 0.09 ab | **** |
| C18:0 | 15.86 ± 0.21 a | 11.33 ± 0.06 bc | 5.58 ± 0.59 d | 4.63 ± 0.15 e | 3.2 ± 0.23 f | 10.86 ± 0.05 c | 4.58 ± 0.17 e | 11.63 ± 0.18 b | **** |
| 18:1n9 | 16.29 ± 0.03 b | 20.28 ± 0.12 a | 12.77 ± 0.69 d | 8.27 ± 0.3 e | 6.13 ± 0.26 f | 14.53 ± 0.05 c | 6.89 ± 0.72 f | 16.29 ± 0.5 b | **** |
| 18:2n6 | 2.6 ± 0.09 de | 3.48 ± 0.22 c | 2.28 ± 0.27 e | 2.78 ± 0.1 d | 2.43 ± 0.22 de | 3.96 ± 0.03 b | 3.19 ± 0.07 c | 5.64 ± 0.15 a | **** |
| 18:3n6 | 0.68 ± 0.03 a | 0.49 ± 0.06 b | 0.21 ± 0.05 c | 0.23 ± 0.00 c | 0.15 ± 0.04 c | 0.39 ± 0.02 b | 0.24 ± 0.05 c | 0.4 ± 0.08 b | **** |
| 18:3n3 | 1.29 ± 0.02 b | 1.1 ± 0.02 c | 0.72 ± 0.03 de | 0.71 ± 0.00 e | 0.64 ± 0.03 f | 1.12 ± 0.01 c | 0.76 ± 0.03 d | 1.38 ± 0.02 a | **** |
| C20:0 | 0.53 ± 0.02 a | 0.41 ± 0.02 b | 0.27 ± 0.03 c | 0.26 ± 0.03 c | 0.24 ± 0.01 c | 0.39 ± 0.01 b | 0.28 ± 0.02 c | 0.41 ± 0.01 b | **** |
| 20:4n6 | 0.25 ± 0.00 | 0.28 ± 0.09 | 0.35 ± 0.12 | 0.37 ± 0.09 | 0.41 ± 0.01 | 0.41 ± 0.02 | 0.45 ± 0.01 | 0.44 ± 0.05 | ns |
| 20:5n3 | 0.18 ± 0.00 d | 0.27 ± 0.00 c | 0.32 ± 0.03 ab | 0.33 ± 0.00 ab | 0.33 ± 0.03 ab | 0.31 ± 0.01 b | 0.34 ± 0.00 ab | 0.34 ± 0.01 a | **** |
| C22:0 | 0.24 ± 0.01 | 0.2 ± 0.01 | 0.19 ± 0.02 | 0.18 ± 0.00 | 0.17 ± 0.00 | 0.22 ± 0.01 | 0.19 ± 0.00 | 0.23 ± 0.05 | ns |
| 22:2n6 | 0.39 ± 0.01 a | 0.32 ± 0.01 b | 0.21 ± 0.05 cde | 0.2 ± 0.03 de | 0.14 ± 0.01 f | 0.26 ± 0.02 c | 0.19 ± 0.02 ef | 0.25 ± 0.01 cd | **** |
| C23:0 | 0.2 ± 0.00 | 0.1 ± 0.18 | 0.12 ± 0.12 | 0.12 ± 0.02 | 0.14 ± 0.00 | 0.24 ± 0.03 | 0.23 ± 0.00 | 0.1 ± 0.08 | ns |
| SFA | 32.85 ± 0.21 a | 26.92 ± 0.33 b | 14.62 ± 1.4 d | 10.69 ± 0.31 e | 7.82 ± 0.40 f | 22.91 ± 0.07 c | 10.09 ± 0.63 e | 23.94 ± 0.55 c | **** |
| MUFA | 17.53 ± 0.00 b | 21.65 ± 0.10 a | 13.64 ± 0.75 d | 8.91 ± 0.32 e | 6.65 ± 0.28 f | 15.53 ± 0.05 c | 7.45 ± 0.75 f | 17.4 ± 0.59 b | **** |
| PUFA | 5.4 ± 0.15 cd | 5.93 ± 0.35 bc | 4.09 ± 0.54 f | 4.62 ± 0.22 ef | 4.1 ± 0.26 f | 6.46 ± 0.05 b | 5.16 ± 0.07 de | 8.45 ± 0.32 a | **** |
| n-3 | 1.48 ± 0.02 b | 1.36 ± 0.02 c | 1.04 ± 0.05 d | 1.04 ± 0.00 d | 0.97 ± 0.01 e | 1.43 ± 0.00 b | 1.1 ± 0.03 d | 1.73 ± 0.03 a | **** |
| n-6 | 3.92 ± 0.13 d | 4.57 ± 0.37 bc | 3.04 ± 0.49 e | 3.58 ± 0.22 de | 3.13 ± 0.26 e | 5.03 ± 0.05 b | 4.06 ± 0.10 cd | 6.73 ± 0.29 a | **** |
| PUFA/SFA | 0.16 ± 0.00 f | 0.22 ± 0.02 e | 0.28 ± 0.01 d | 0.43 ± 0.01 b | 0.53 ± 0.01 a | 0.28 ± 0.00 d | 0.51 ± 0.01 a | 0.35 ± 0.01 c | **** |
| n6:n3 | 2.65 ± 0.02 d | 3.35 ± 0.41 bc | 2.92 ± 0.21 cd | 3.43 ± 0.22 ab | 3.22 ± 0.23 bc | 3.5 ± 0.05 ab | 3.7 ± 0.15 ab | 3.9 ± 0.14 a | *** |
| total | 55.77 ± 0.36 a | 54.5 ± 0.78 a | 32.34 ± 2.7 d | 24.21 ± 0.85 e | 18.57 ± 0.94 f | 44.9 ± 0.03 c | 22.71 ± 1.31 e | 49.79 ± 1.46 b | **** |
| Cuts | Bolar | Eye of Loin | Flat | Heel | Inside | Knuckle | Rump | Tenderloin | p-Value |
|---|---|---|---|---|---|---|---|---|---|
| Nonessential | |||||||||
| Alanine | 62.79 ± 0.67c | 54.85 ± 2.14cd | 54.3 ± 2.36d | 78.25 ± 8.27b | 92.89 ± 2.81a | 58.54 ± 0.11cd | 78.65 ± 2.48b | 72.75 ± 3.61b | **** |
| Glycine | 60.45 ± 2.37a | 44.74 ± 3.95c | 49.97 ± 2.63bc | 49.7 ± 1.32bc | 59.44 ± 4.61a | 44.58 ± 1.37c | 54.69 ± 4.37ab | 43.82 ± 1.59c | ** |
| Serine | 12.91 ± 2.67c | 17.12 ± 4.37bc | 26.01 ± 1.39a | 17.92 ± 4.96bc | 26.26 ± 4.74a | 12.41 ± 2.16c | 18.28 ± 2.8bc | 21.2 ± 0.22ab | * |
| Threonine | 11.93 ± 1.49c | 15.54 ± 6.92bc | 27.05 ± 0.75a | 15.31 ± 2.49bc | 28.76 ± 1.06a | 15.4 ± 0.85bc | 18.98 ± 0.14b | 17.6 ± 0.16bc | ** |
| Proline | 9.94 ± 1.42 | 8.08 ± 1.65 | 12.12 ± 2.57 | 5.84 ± 1.1 | 7.44 ± 0.34 | 6.12 ± 1.52b | 8.7 ± 3.24 | 3.1 ± 0.85 | ns |
| Glutamic acid | 63.57 ± 6.65bc | 54.66 ± 0.13c | 82.66 ± 4.75a | 78.02 ± 18.46ab | 56.76 ± 3.68c | 82.16 ± 6.19a | 35.35 ± 2.89d | 48.44 ± 1.71cd | ** |
| Aspartic acid | 122.33 ± 1.89ab | 114.73 ± 1.5abc | 129.87 ± 2.86a | 100.96 ± 19.5cd | 118.98 ± 1.37abc | 105.54 ± 3.07bcd | 71.06 ± 9.71e | 89.32 ± 1.37de | *** |
| Ornithine | 4.93 ± 0.06 | 5.94 ± 1.29 | 6.02 ± 0.76 | 4.94 ± 0.05 | 5.33 ± 0.97 | 5.45 ± 0.1 | 7.35 ± 2.19 | 4.51 ± 0.07 | ns |
| NEAA | 348.85 ± 6.75bc | 315.66 ± 10.63cde | 387.99 ± 4.6a | 350.96 ± 38.51b | 395.87 ± 2.88a | 330.21 ± 9.24bcd | 293.05 ± 3.16e | 300.73 ± 0.24de | *** |
| Essential | |||||||||
| Valine | 13.85 ± 0.47c | 19.61 ± 8.64bc | 26.05 ± 4.4b | 19.77 ± 0.1bc | 38.01 ± 1.34a | 18.67 ± 4.22bc | 19.12 ± 1.21bc | 16.88 ± 1.13c | ** |
| Leucine | 12.07 ± 0.58cd | 10.71 ± 0.97d | 15.29 ± 0.67bc | 13.68 ± 2.05bcd | 27.67 ± 1.84a | 15.2 ± 3.33bc | 16.71 ± 0.95b | 14.06 ± 0.5bcd | **** |
| Isoleucine | 7.8 ± 0.28e | 10.58 ± 2.46de | 16.87 ± 0.66b | 13.15 ± 1.95bcd | 23.36 ± 0.5a | 15.44 ± 1.87bc | 23 ± 2.65a | 12 ± 0.69cd | **** |
| Methionine | 4.67 ± 0.32d | 4.95 ± 1.01d | 4.11 ± 0.94d | 3.53 ± 0.65d | 9.38 ± 0.24b | 6.96 ± 1.33c | 14.78 ± 0.48a | 4.74 ± 0.42d | **** |
| Phenylalanine | 13.05 ± 1.49cde | 10.13 ± 1.5e | 11.55 ± 0.23de | 16.61 ± 1.94ab | 19.91 ± 0.75a | 13.1 ± 2.11cde | 14.8 ± 1.09bcd | 15.4 ± 1.54bc | ** |
| Lysine | 8.26 ± 0.26 | 10.25 ± 1.61 | 9.62 ± 0.66 | 8.67 ± 0.97 | 9.51 ± 0.41 | 8.24 ± 0.59 | 9.29 ± 0.33 | 10.97 ± 0.12 | ns |
| Histidine | 13.67 ± 0.75 | 10.64 ± 0.25 | 13.24 ± 0.42 | 11.81 ± 1.27 | 12.57 ± 1.38 | 12.66 ± 1.13 | 11.87 ± 0.23 | 12.9 ± 1.35 | ns |
| Tyrosine | 10.43 ± 1.44b | 16.98 ± 2.4a | 11.23 ± 0.5b | 9.14 ± 1.08b | 17.12 ± 0.71a | 11.27 ± 2.58b | 11.5 ± 2.62b | 15.54 ± 0.78a | ** |
| Tryptophan | 5.68 ± 0.51d | 8.03 ± 0.51ab | 6.24 ± 0.6cd | 5.17 ± 0.77d | 8.63 ± 0.02a | 7.51 ± 0.4ab | 7.16 ± 0.07bc | 5.23 ± 0.54d | *** |
| EAA | 89.48 ± 1.19d | 101.88 ± 9.49cd | 114.19 ± 8.09bc | 101.52 ± 6.87cd | 166.17 ± 1.41a | 109.04 ± 16.37bc | 128.22 ± 6.62b | 107.71 ± 7.08cd | **** |
| TOTAL | 438.33 ± 7.95c | 417.54 ± 20.12c | 502.18 ± 3.49b | 452.48 ± 45.39c | 562.03 ± 1.46a | 439.25 ± 25.61c | 421.28 ± 9.78c | 408.44 ± 7.32c | *** |
© 2020 by the authors. Licensee MDPI, Basel, Switzerland. This article is an open access article distributed under the terms and conditions of the Creative Commons Attribution (CC BY) license (http://creativecommons.org/licenses/by/4.0/).
Share and Cite
Kantono, K.; Hamid, N.; Oey, I.; Wu, Y.C.; Ma, Q.; Farouk, M.; Chadha, D. Effect of High Hydrostatic Pressure Processing on the Chemical Characteristics of Different Lamb Cuts. Foods 2020, 9, 1444. https://doi.org/10.3390/foods9101444
Kantono K, Hamid N, Oey I, Wu YC, Ma Q, Farouk M, Chadha D. Effect of High Hydrostatic Pressure Processing on the Chemical Characteristics of Different Lamb Cuts. Foods. 2020; 9(10):1444. https://doi.org/10.3390/foods9101444
Chicago/Turabian StyleKantono, Kevin, Nazimah Hamid, Indrawati Oey, Yan Chao Wu, Qianli Ma, Mustafa Farouk, and Diksha Chadha. 2020. "Effect of High Hydrostatic Pressure Processing on the Chemical Characteristics of Different Lamb Cuts" Foods 9, no. 10: 1444. https://doi.org/10.3390/foods9101444
APA StyleKantono, K., Hamid, N., Oey, I., Wu, Y. C., Ma, Q., Farouk, M., & Chadha, D. (2020). Effect of High Hydrostatic Pressure Processing on the Chemical Characteristics of Different Lamb Cuts. Foods, 9(10), 1444. https://doi.org/10.3390/foods9101444

