Evolution of Carotenoid Content, Antioxidant Activity and Volatiles Compounds in Dried Mango Fruits (Mangifera Indica L.)
Abstract
1. Introduction
2. Materials and Methods
2.1. Plant Materials
2.2. Standards and Chemicals
2.3. Physico-Chemical Analyses
2.4. Drying Experiments
2.5. Fruit Extract Preparation for Analyses
2.6. Total Phenolic Content and Total Flavonoid Content
2.7. Radical Scavenging and Reducing Activities in Solution
2.8. Carotenoids Extraction and Quantification
2.9. Volatile Organic Compounds (VOCs)
2.10. Sensorial Analysis
2.11. Statistical Analysis
3. Results and Discussion
3.1. Fresh Fruit Composition and Drying
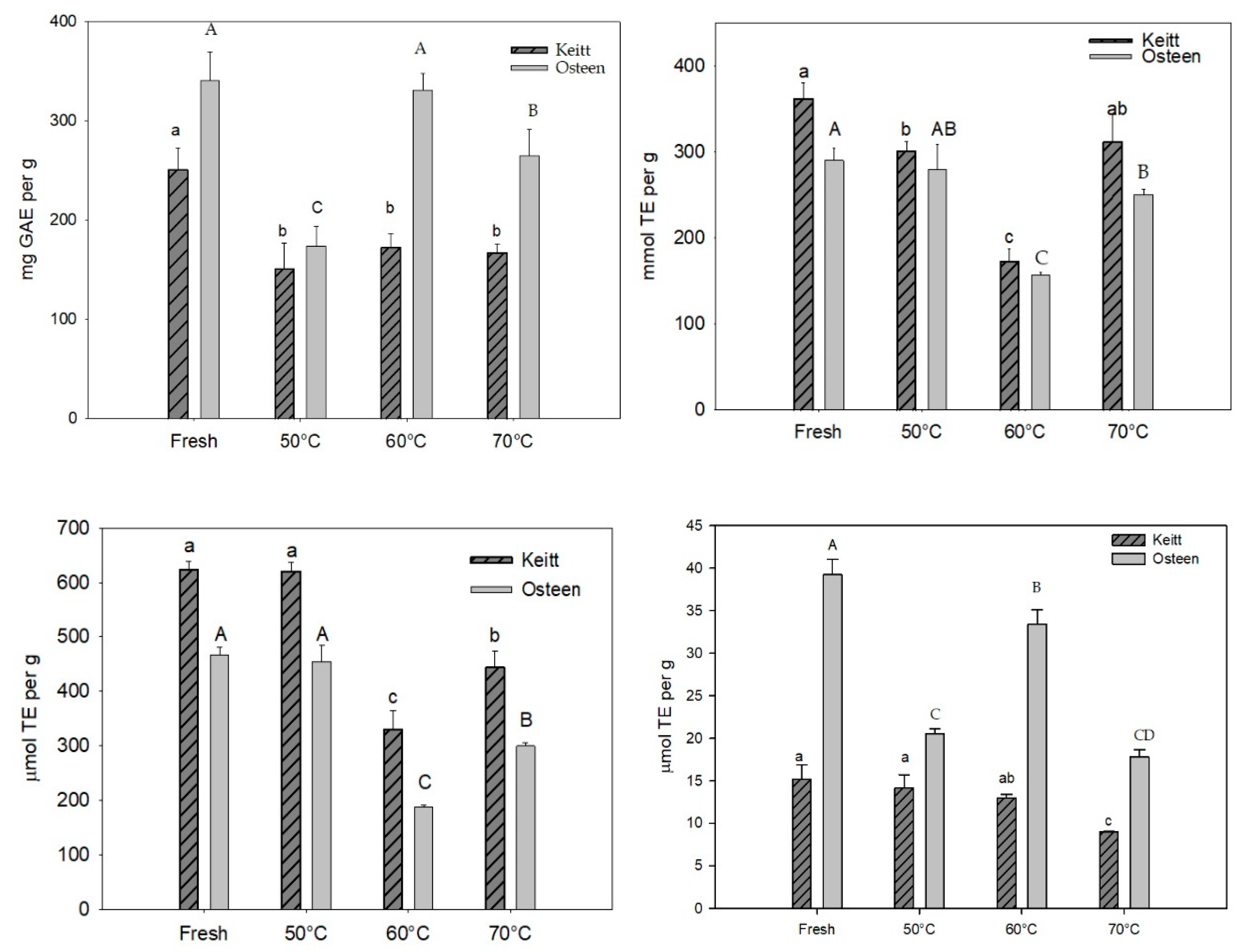
3.2. Total Phenolic Content and Antioxidative Properties
3.3. Carotenoid Compounds
3.4. PCA
3.5. Volatile Compounds
3.5.1. Volatile Compounds in Fresh Mangoes
3.5.2. Volatile Compounds in Dried Mangoes
3.6. Sensory Analysis
4. Conclusions
Supplementary Materials
Author Contributions
Funding
Conflicts of Interest
References
- Farina, V.; Gianguzzi, G.; D’Asaro, A.; Mazzaglia, A.; Palazzolo, E. Fruit production and quality evaluation of four litchi cultivars (Litchi chinensis Sonn.) grown in Mediterranean climate. Fruits 2017, 72, 203–211. [Google Scholar] [CrossRef]
- Gentile, C.; Di Gregorio, E.; Di Stefano, V.; Mannino, G.; Perrone, A.; Avellone, G.; Sortino, G.; Inglese, P.; Farina, V. Food quality and nutraceutical value of nine cultivars of mango (Mangifera indica L.) fruits grown in Mediterranean subtropical environment. Food Chem. 2019, 277, 471–479. [Google Scholar] [CrossRef] [PubMed]
- Guzman, I.; Grace, M.H.; Yousef, G.G.; Raskin, I.; Lila, M.A. Novel strategies for capturing health-protective mango phytochemicals in shelf stable food matrices. Int. J. Food Sci. Nutr. 2015, 2, 175–185. [Google Scholar] [CrossRef]
- Bender, R.J.; Brecht, J.K. Aroma volatiles of mature-green and tree-ripe ‘Tommy Atkins’ mangoes after controlled atmosphere vs. air storage. HortScience 2000, 35, 684–686. [Google Scholar] [CrossRef]
- Esguerra, E.B.; Rolle, R. Post-harvest management of mango for quality and safety assurance. In Guidance for Horticultural Supply Chain Stakeholders; Food and Agriculture Organization of the United Nations: Rome, Italy, 2018. [Google Scholar]
- Technical, A. Ash-Basic Method. AACC Int. Approv. Methods 2009. Available online: http://methods.aaccnet.org/summaries/08-01-01.aspx (accessed on 2 October 2020).
- Singleton, V.L.; Rossi, J.A. Colorimetry of total phenolics with phosphomolybdic-phosphotungstic acid reagents. Am. J. Enol. Vitic. 1965, 3, 144–158. [Google Scholar]
- Herald, T.J.; Gadgil, P.; Tilley, M. High-throughput micro plate assays for screening flavonoid content and DPPH-scavenging activity in sorghum bran and flour. J. Sci. Food Agric. 2012, 92, 2326–2331. [Google Scholar] [CrossRef] [PubMed]
- Miller, N.J.; Rice-Evans, C.A. Spectrophotometric determination of antioxidant activity. Redox Rep. 1996, 3, 161–171. [Google Scholar] [CrossRef]
- Ozgen, M.; Reese, R.N.; Tulio, A.Z.; Scheerens, J.C.; Miller, A.R. Modified 2,2-azino-bis-3-ethylbenzothiazoline-6-sulfonic acid (ABTS) method to measure antioxidant capacity of selected small fruits and comparison to ferric reducing antioxidant power (FRAP) and 2,2-diphenyl-1-picrylhydrazyl (DPPH) methods. J. Agric. Food Chem. 2006, 4, 1151–1157. [Google Scholar] [CrossRef]
- Benzie, I.F.F.; Strain, J.J. The ferric reducing ability of plasma (FRAP) as a measure of “antioxidant power”: The FRAP assay. Anal. Biochem. 1996, 1, 70–76. [Google Scholar] [CrossRef]
- Panfili, G.; Fratianni, A.; Irano, M. Improved normal-phase high-performance liquid chromatography procedure for the determination of carotenoids in cereals. J. Agric. Food Chem. 2004, 52, 6373–6377. [Google Scholar] [CrossRef]
- Petry, F.C.; Mercadante, A.Z. Composition by LC-MS/MS of new carotenoid esters in mango and citrus. J. Agric. Food Chem. 2016, 64, 8207–8224. [Google Scholar] [CrossRef] [PubMed]
- Corona, O. Wine-making with protection of must against oxidation in a warm, semi-arid terroir. S. Afr. J. Enol. Vitic. 2010, 31, 58–63. [Google Scholar] [CrossRef]
- Conte, P.; Cuccurullo, G.; Metallo, A.; Micalizzi, A.; Cinquanta, L.; Corona, O. Comparing different processing methods in apple slice drying. Part 2 solid-state Fast Field Cycling 1H-NMR relaxation properties, shrinkage and changes in volatile compounds. Biosyst. Eng. 2019, 188, 345–354. [Google Scholar] [CrossRef]
- Farina, V.; Cinquanta, L.; Vella, F.; Niro, S.; Panfili, G.; Metallo, A.; Cuccurullo, G.; Corona, O. Evolution of carotenoids, sensory profiles and volatile compounds in microwave-dried fruits of three different loquat cultivars (Eriobotrya japonica Lindl.). Plant. Food Hum. Nutr. 2020, 75, 200–207. [Google Scholar] [CrossRef] [PubMed]
- Nassur, R.D.C.M.R.; González-Moscoso, S.; Crisosto, G.M.; Lima, L.C.D.O.; Vilas Boas, E.V.D.B.; Crisosto, C.H. Describing quality and sensory attributes of 3 mango (Mangifera indica L.) cultivars at 3 ripeness stages based on firmness. J. Food Sci. 2015, 80, 2055–2063. [Google Scholar] [CrossRef]
- Bonneau, A.; Boulanger, R.; Lebrun, M.; Maraval, I.; Gunata, Z. Aroma compounds in fresh and dried mango fruit (Mangifera indica L. cv. Kent): Impact of drying on volatile composition. Int. J. Food Sci. Technol. 2016, 3, 789–800. [Google Scholar] [CrossRef]
- Mannino, G.; Perrone, A.; Campobenedetto, C.; Schittone, A.; Bertea, M.C.; Gentile, C. Phytochemical profile and antioxidative properties of Plinia trunciflora fruits: A new source of nutraceuticals. Food Chem. 2020, 307, 125515. [Google Scholar] [CrossRef]
- Cherrak, S.A.; Mokhtari-Soulimane, N.; Berroukeche, F.; Bensenane, B.; Cherbonnel, A.; Merzouk, H.; Elhabiri, M. In vitro antioxidant versus metal ion chelating properties of flavonoids: A structure-activity investigation. PLoS ONE 2016, 11, e0165575. [Google Scholar] [CrossRef]
- Ahmed, M.; Eun, J.B. Flavonoids in fruits and vegetables after thermal and nonthermal processing: A review. Crit. Rev. Food Sci. Nutr. 2018, 58, 3159–3188. [Google Scholar] [CrossRef]
- Santhirasegaram, V.; Razali, Z.; George, D.S.; Somasundram, C. Effects of Thermal and Non-thermal Processing on Phenolic Compounds, Antioxidant Activity and Sensory Attributes of Chokanan Mango (Mangifera indica L.) Juice. Food Bioprocess Technol. 2015, 8, 2256–2267. [Google Scholar] [CrossRef]
- Muralidhara, B.M.; Veena, G.L.; Rajan, S.; Bhattacharjee, A.K.; Hudedaman, U. Profiling of major biochemical compounds for identification of nutritionally rich genotypes in mango. J. Environ. Biol. 2018, 40, 77–182. [Google Scholar] [CrossRef]
- Maldonado-Celis, M.E.; Yahia, E.M.; Bedoya, R.; Landázuri, P.; Loango, N.; Aguillón, J.; Restrepo, B.; Ospina, J.C.G. Chemical Composition of Mango (Mangifera indica L.) Fruit: Nutritional and Phytochemical Compounds. Front. Plant Sci. 2019, 10, 1073. [Google Scholar] [CrossRef] [PubMed]
- Gama, J.J.T.; De Sylos, C.M. Effect of thermal pasteurization and concentration on carotenoid composition of Brazilian Valencia orange juice. Food Chem. 2007, 100, 1686–1690. [Google Scholar] [CrossRef]
- Penicaud, C.; Achir, N.; Dhuique-Mayer, C.; Dornier, M.; Bohuon, P. Degradation of β-carotene during fruit and vegetable processing or storage: Reaction mechanisms and kinetic aspects: A review. Fruits 2011, 66, 417–440. [Google Scholar] [CrossRef]
- Ngamwonglumlert, L.; Devahastin, S.; Chiewchan, N.; Raghavan, V. Plant carotenoids evolution during cultivation, postharvest storage, and food processing: A review. Compr. Rev. Food Sci. Food Saf. 2020, 19, 1561–1604. [Google Scholar] [CrossRef]
- Fratianni, A.; Niro, S.; Alam, M.D.R.; Cinquanta, L.; Di Matteo, M.; Adiletta, G.; Panfili, G. Effect of a physical pre-treatment and drying on carotenoids of goji berries (Lycium barbarum L.). LWT-Food Sci. Technol. 2018, 92, 318–323. [Google Scholar] [CrossRef]
- Fratianni, A.; Niro, S.; Messia, M.C.; Panfili, G.; Marra, F.; Cinquanta, L. Evaluation of carotenoids and furosine content in air dried carrots and parsnips pre-treated with pulsed electric field (PEF). Eur. Food Res. Technol. 2019, 245, 2529–2537. [Google Scholar] [CrossRef]
- Meléndez-Martínez, A.J.; Britton, G.; Vicario, I.M.; Heredia, F.J. The complex carotenoid pattern of orange juices from concentrate. Food Chem. 2008, 109, 546–553. [Google Scholar] [CrossRef]
- Schieber, A.; Carle, R. Occurrence of carotenoid cis-isomers in food: Technological, analytical, and nutritional implications. Trends Food Sci. Technol. 2005, 16, 416–422. [Google Scholar] [CrossRef]
- LARN. Livelli di Assunzione di Riferimento di Nutrienti ed Energia per la Popolazione Italiana; IV Revision; LARN: Rome, Italy, 2014. [Google Scholar]
- Regulation EU No 1169/2011 of the European Parliament and of the Council of 25 October 2011 on the provision of food information to consumers. Off. J. Eur. Union 2011, 304, 18–63.
- Padrayuttawat, A.; Yoshizawa, T.; Tamura, H.; Tokunaga, T. Optical Isomers and odor thresholds of volatile costituents in Citrus sudachi. Int. J. Food Sci. Technol. 1997, 4, 402–408. [Google Scholar]
- Moyano, L.; Zea, L.; Moreno, J.; Medina, M. Analytical study of aromatic series in sherry wines subjected to biological aging. J. Agric. Food Chem. 2002, 50, 7356–7361. [Google Scholar] [CrossRef] [PubMed]
- Yang, C.; Luo, L.; Zhang, H.; Yang, X.; Lva, Y.; Songa, H. Common aroma-active components of propolis from 23 regions of China. J. Sci. Food Agric. 2010, 90, 1268–1282. [Google Scholar] [CrossRef]
- Hempfling, K.; Fastowski, O.; Kopp, M.; Nikfardjam, M.P.; Engel, K.H. Analysis and Sensory Evaluation of Gooseberry (Ribes uva crispa L.) Volatiles. J. Agric. Food Chem. 2013, 61, 6240–6249. [Google Scholar] [CrossRef]
- Zhu, J.C.; Chen, F.; Wang, L.; Niu, Y.W.; Chen, H.X.; Wang, H.L.; Xiao, Z.B. Characterization of the key aroma volatile compounds in cranberry (Vaccinium macrocarpon Ait.) using gas chromatography−olfactometry (GC-O) and odor activity value (OAV). J. Agric. Food Chem. 2016, 64, 4990–4999. [Google Scholar] [CrossRef]
- Tamura, H.; Boonbumrung, S.; Yoshizawa, T.W. The volatile constituents in the peel and pulp of a green thai mango, Khieo Sawoei cultivar (Mangifera indica L.). Food Sci. Technol. Res. 2001, 7, 72–77. [Google Scholar] [CrossRef]
- Pino, J.A.; Mesa, J. Contribution of volatile compounds to mango (Mangifera indica L.) aroma. Flavour Frag. J. 2006, 21, 207–213. [Google Scholar] [CrossRef]
- Liu, H.; An, K.; Su, S.; Yu, Y.; Wu, J.; Xiao, G.; Xu, Y. Aromatic characterization of mangoes (Mangifera indica L.) using solid phase extraction coupled with gas chromatography–mass spectrometry and olfactometry and sensory analyses. Foods 2020, 9, 75. [Google Scholar] [CrossRef]
- Duan, H.; Barringer, S.H. Changes in furan and other volatile compounds in sliced carrot during air-drying. J. Food Process. Preserv. 2012, 36, 46–54. [Google Scholar] [CrossRef]
- Mahayothee, B.; Neidhart, S.; Carle, R.; Mühlbauer, W. Effects of variety, ripening condition and ripening stage on the quality of sulphite-free dried mango slices. Eur. Food Res. Technol. 2007, 225, 723–732. [Google Scholar] [CrossRef]




| Keitt | Osteen | |||||||
|---|---|---|---|---|---|---|---|---|
| Compound | Fresh | 50 | 60 | 70 | Fresh | 50 | 60 | 70 |
| β-Criptoxanthin | 2.18 ± 0.15 a | 1.43 ± 0.13 b | 0.57 ± 0.14 c | 0.85 ± 0.14 b | 0.68 ± 0.11 a | 0.39 ± 0.03 b | 0.20 ± 0.02 c | 0.52 ± 0.12 a |
| 13-cis-β-Carotene | 0.17 ± 0.01 a | 0.09 ± 0.05 b | 0.03 ± 8.20 c | 0.07 ± 0.01 b | 0.07 ± 0.11 a | n.d. | n.d. | n.d. |
| β-Carotene | 5.78 ± 0.22 a | 3.27 ± 0.43 b | 1.73 ± 0.41 c | 2.92 ± 0.12 b | 3.25 ± 0.42 a | 2.22 ± 0.30 b | 1.28 ± 0.06 c | 3.01 ± 0.51 a |
| 9-cis-β-Carotene | 1.32 ± 0.06 a | 0.64 ± 0.05 b | 0.39 ± 0.10 c | 0.61 ± 0.05 b | 0.48 ± 0.03 a | 0.25 ±0.03 b | 0.13 ± 0.02 c | 0.32 ± 0.06 b |
| Luteoxanthin | 1.33 ± 0.15 a | 1.06 ± 0.02 a | 0.41 ± 0.05 b | 0.65 ± 0.10 b | 0.79 ± 0.09 a | 0.18 ± 0.02 b | 0.08 ± 0.01 c | 0.07 ± 0.01 d |
| Violaxanthin | 1.12 ± 0.04 a | 0.72 ± 0.08 b | 0.36 ± 0.12 c | 0.36 ± 0.04 c | 0.88 ± 0.08 a | 0.12 ± 0.01 b | 0.12 ± 0.01 b | n.d. |
| Neoxanthin | 0.38 ± 0.04 a | 0.18 ± 0.02 b | 0.13 ± 0.02 b | 0.16 ± 0.01 b | 0.39 ± 0.08 a | n.d. | n.d. | n.d. |
| Totals | 12.28 ± 0.33 a | 7.39 ± 0.61 b | 3.62 ± 1.66 c | 5.62 ± 0.14 c | 6.54 ± 0.48 a | 3.16 ± 0.32 b | 1.81 ± 0.10 c | 3.92 ± 0.69 b |
| Keitt | Osteen | |||||||
|---|---|---|---|---|---|---|---|---|
| Fresh | 50 | 60 | 70 | Fresh | 50 | 60 | 70 | |
| R.E. (µg/100 g f.w.) | 215 ± 15 | 647 ± 70 | 325 ± 18 | 537 ± 21 | 110 ± 13 | 379 ± 40 | 211 ± 11 | 499 ± 60 |
| % R.D.A | 27 | 81 | 41 | 67 | 14 | 47 | 26 | 62 |
| R.E. µg per portion) * | 323 | 194 | 98 | 161 | 165 | 114 | 63 | 150 |
| % R.D.A (per portion) | 41 | 24 | 12 | 20 | 21 | 14 | 8 | 19 |
| OAV * | |||||||||||
|---|---|---|---|---|---|---|---|---|---|---|---|
| Compounds | Odorant Series | Odor Threshold (ppb) | Reference | Keitt | Osteen | ||||||
| Fresh | 50 °C | 60 °C | 70 °C | Fresh | 50 °C | 60 °C | 70 °C | ||||
| Hexadecanoic acid | Berry | 8 | Hempfling et al. [37] | 27.2 | 0.3 | 0.3 | 0.5 | 10.3 | 20.3 | 14.3 | 13.1 |
| 1-Hexanol | Herbaceous, grass, Floral | 9 | Liu et al. [41] | 8.6 | 0.7 | 0.5 | 0.5 | 0.0 | 0.4 | 0.2 | 0.1 |
| 1-Octanol | Jasmine, lemon | 190 | Pino and Mesa [40] | 0.3 | 0.1 | 0.0 | 0.0 | 17.9 | 0.0 | 0.0 | 0.0 |
| 1-Dodecanol | Floral, fruity, fatty | 1.5 | Yang et al. [36] | 14.5 | 5.1 | 4.3 | 1.6 | 9.8 | 10.8 | 2.8 | 4.3 |
| Hexanal | Fatty, grass, green | 4.5 | Bonneau et al. [18] | 0.0 | 0.0 | 0.0 | 0.7 | 0.0 | 0.0 | 1.5 | 0.7 |
| Heptanal | Fatty, rancid, citrus Green | 3 | Bonneau et al. [18] | 0.0 | 6.2 | 2.9 | 1.2 | 0.0 | 0.0 | 0.0 | 2.9 |
| 1-Octanal | Honey, green, fruity | 0.7 | Pino and Mesa. [40] | 34.6 | 0.0 | 0.0 | 0.0 | 68.0 | 0.0 | 0.0 | 3.8 |
| Nonanal | Fatty, wax, citrus, green | 1 | Bonneau et al. [18] | 115.2 | 208.4 | 51.8 | 67.4 | 159.9 | 56.0 | 29.1 | 35.7 |
| Decanal | Fruity, citrusy, orange | 6 | Liu et al. [41] | 6.7 | 3.6 | 1.7 | 3.1 | 15.2 | 2.2 | 1.7 | 0.8 |
| trans-2-Nonenal | Fatty, tallowy, metallic | 0.08 | Pino and Mesa [40] | 0.0 | 71.3 | 26.3 | 32.3 | 0.0 | 239.9 | 48.3 | 23.8 |
| Ethyl butanoate | Apple, fruity | 1 | Pino and Mesa [40] | 0.0 | 0.0 | 225.1 | 93.6 | 0.0 | 153.4 | 0.0 | 0.0 |
| Ethyl hexanoate | Apple peel, fruity | 1 | Pino and Mesa [40] | 0.0 | 10.5 | 41.1 | 17.2 | 0.0 | 35.4 | 0.0 | 0.9 |
| Ethyl heptanoate | Brandy, fruity | 2 | Pino and Mesa [40] | 0.0 | 3.0 | 2.4 | 0.7 | 0.0 | 0.0 | 0.0 | 0.0 |
| Ethyl 3-hydroxy but. | Fruity, grape | 1 | Moyano et al. [35] | 25.4 | 1.5 | 5.3 | 0.0 | 112.8 | 0.0 | 0.0 | 0.0 |
| γ-Octalattone | Coconut, fatty | 7 | Pino and Mesa [40] | 36.7 | 2.1 | 3.7 | 2.0 | 0.0 | 0.1 | 0.0 | 0.0 |
| Geranyl acetone | Magnolia, green | 60 | Pino and Mesa [40] | 2.4 | 0.1 | 0.1 | 0.0 | 0.5 | 0.1 | 0.1 | 0.0 |
| β-Ionone | Dried fruit, woody | 0.007 | Zhu et al. [38] | 11,135.8 | 552.6 | 925.4 | 129.5 | 2163.9 | 135.5 | 44.5 | 25.8 |
| α-pinene | Pine, grassy | 6 | Liu et al. [41] | 365.3 | 189.0 | 904.7 | 67.1 | 4335.8 | 484.7 | 165.6 | 32.1 |
| α-fenchene | Camphoraceous, sweet | 240 | Tamura et al. [39] | 1.3 | 3.8 | 7.4 | 0.4 | 13.4 | 17.4 | 0.4 | 0.2 |
| a-terpinene | Lemony, citrusy | 85 | Liu et al. [41] | 1.9 | 0.4 | 2.9 | 0.1 | 3.6 | 2.5 | 1.5 | 0.0 |
| D-Limonene | Orange peel-like, citrusy | 26 | Liu et al. [41] | 5.1 | 1.8 | 9.2 | 0.5 | 43.4 | 6.1 | 1.5 | 0.0 |
| β-Phellandrene | Herbaceous, turpentine | 500 | Bonneau et al. [18] | 0.2 | 0.1 | 0.3 | 0.0 | 1.0 | 0.1 | 0.0 | 0.0 |
| α-terpinolene | Coniferous odor, rosin-like | 140 | Liu et al. [41] | 1.4 | 1.0 | 3.5 | 0.2 | 14.0 | 3.5 | 0.4 | 0.0 |
| Isoterpinolene | Citrusy, pine | 40 | Padrayuttawat et al. [34] | 0.4 | 1.1 | 0.5 | 0.4 | 0.7 | 1.1 | 0.1 | 0.0 |
| Phenol | Phenolic | 0.046 | Yang et al. [36] | 208.0 | 35.3 | 27.1 | 12.4 | 124.5 | 23.1 | 17.1 | 9.8 |
| β-Caryophyllene | Spicy, woody, green | 64 | Bonneau et al. [18] | 0.0 | 1.0 | 0.8 | 0.2 | 1.8 | 7.0 | 0.5 | 0.2 |
| α-Caryophyllene | Spicy, woody, oily | 160 | Bonneau et al. [18] | 0.1 | 0.2 | 0.2 | 0.0 | 10.5 | 1.3 | 0.1 | 0.0 |
© 2020 by the authors. Licensee MDPI, Basel, Switzerland. This article is an open access article distributed under the terms and conditions of the Creative Commons Attribution (CC BY) license (http://creativecommons.org/licenses/by/4.0/).
Share and Cite
Fratianni, A.; Adiletta, G.; Di Matteo, M.; Panfili, G.; Niro, S.; Gentile, C.; Farina, V.; Cinquanta, L.; Corona, O. Evolution of Carotenoid Content, Antioxidant Activity and Volatiles Compounds in Dried Mango Fruits (Mangifera Indica L.). Foods 2020, 9, 1424. https://doi.org/10.3390/foods9101424
Fratianni A, Adiletta G, Di Matteo M, Panfili G, Niro S, Gentile C, Farina V, Cinquanta L, Corona O. Evolution of Carotenoid Content, Antioxidant Activity and Volatiles Compounds in Dried Mango Fruits (Mangifera Indica L.). Foods. 2020; 9(10):1424. https://doi.org/10.3390/foods9101424
Chicago/Turabian StyleFratianni, Alessandra, Giuseppina Adiletta, Marisa Di Matteo, Gianfranco Panfili, Serena Niro, Carla Gentile, Vittorio Farina, Luciano Cinquanta, and Onofrio Corona. 2020. "Evolution of Carotenoid Content, Antioxidant Activity and Volatiles Compounds in Dried Mango Fruits (Mangifera Indica L.)" Foods 9, no. 10: 1424. https://doi.org/10.3390/foods9101424
APA StyleFratianni, A., Adiletta, G., Di Matteo, M., Panfili, G., Niro, S., Gentile, C., Farina, V., Cinquanta, L., & Corona, O. (2020). Evolution of Carotenoid Content, Antioxidant Activity and Volatiles Compounds in Dried Mango Fruits (Mangifera Indica L.). Foods, 9(10), 1424. https://doi.org/10.3390/foods9101424

