Sensory, Microbiological and Physicochemical Characterisation of Functional Manuka Honey Yogurts Containing Probiotic Lactobacillus reuteri DPC16
Abstract
1. Introduction
2. Materials and Methods
2.1. Microbial Strains, Media, Ingredients and Chemicals
2.2. Probiotic Pellet Preparation
2.3. Probiotic Yogurt Preparation
2.4. Bacteria Enumeration
2.5. Organic Acids Quantification
2.6. Sensory Evaluation
2.7. Physicochemical Analysis
2.8. Statistical Analysis
3. Results and Discussion
3.1. Total Viable Counts
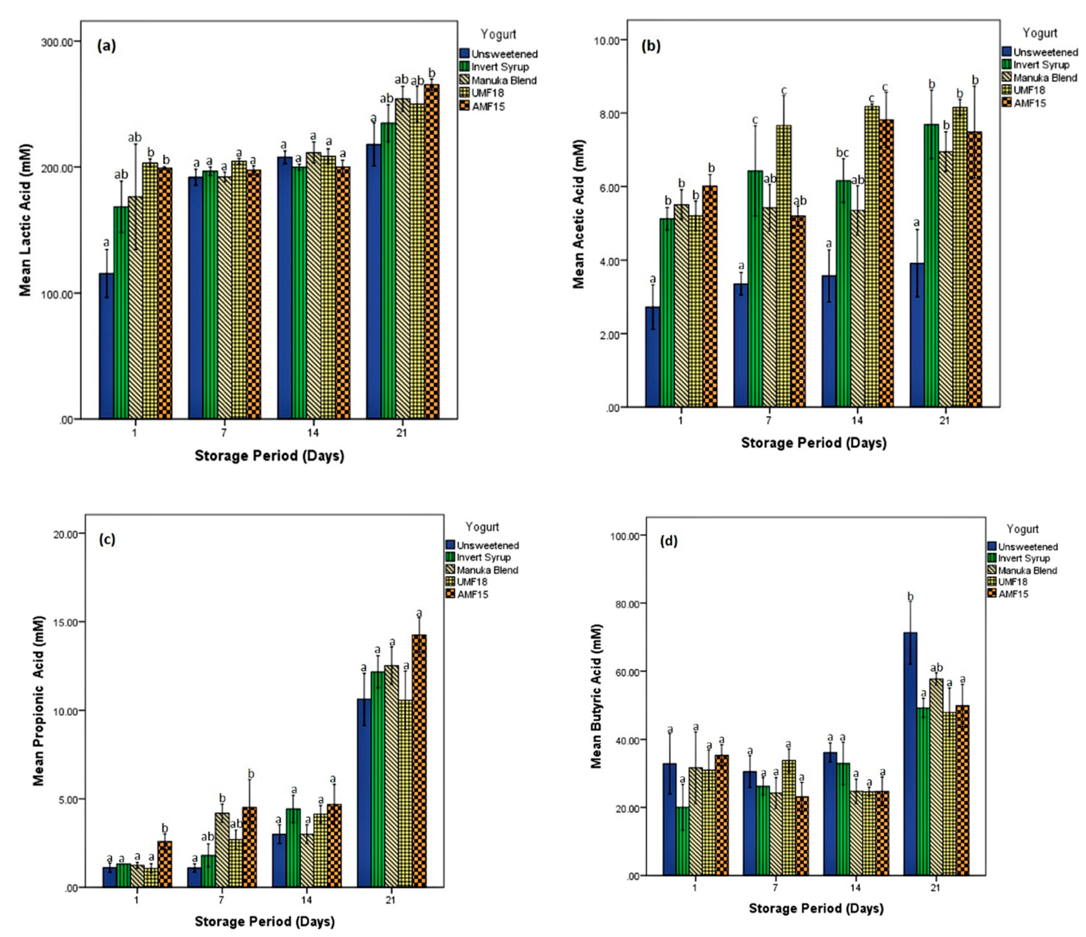
3.2. Organic Acid Production
3.3. Consumer Acceptance Ratings
3.4. Physicochemical Properties
3.4.1. pH
3.4.2. Colour
3.4.3. Apparent Viscosity
3.4.4. Texture Analysis
3.4.5. Water Holding Capacity (WHC)
4. Conclusions
Author Contributions
Funding
Conflicts of Interest
Appendix A
), Appearance (
), Mouthfeel (
), Smoothness (
), Sweetness (
), Sourness (
); Overall acceptability (
). Different lowercase letters indicate significant differences (p < 0.05) in the sensory rating (across the different yogurt samples).
), Appearance (
), Mouthfeel (
), Smoothness (
), Sweetness (
), Sourness (
); Overall acceptability (
). Different lowercase letters indicate significant differences (p < 0.05) in the sensory rating (across the different yogurt samples).
References
- Hill, C.; Guarner, F.; Reid, G.; Gibson, G.R.; Merenstein, D.J.; Pot, B.; Morelli, L.; Canani, R.B.; Flint, H.J.; Salminen, S.; et al. Expert consensus document: The international scientific association for probiotics and prebiotics consensus statement on the scope and appropriate use of the term probiotic. Nat. Rev. Gastroenterol. Hepatol. 2014, 11, 506–514. [Google Scholar] [CrossRef]
- Mohan, A.; Quek, S.Y.; Gutierrez-Maddox, N.; Gao, Y.; Shu, Q. Effect of honey in improving the gut microbial balance. Food Qual. Saf. 2017, 1, 107–115. [Google Scholar] [CrossRef]
- Donkor, O.N.; Nilmini, S.L.I.; Stolic, P.; Vasiljevic, T.; Shah, N.P. Survival and activity of selected probiotic organisms in set-type yoghurt during cold storage. Int. Dairy J. 2007, 17, 657–665. [Google Scholar] [CrossRef]
- Machado, T.A.D.G.; de Oliveira, M.E.G.; Campos, M.I.F.; de Assis, P.O.A.; de Souza, E.L.; Madruga, M.S.; Pacheco, M.T.B.; Pintado, M.M.E.; Queiroga, R.D.C.R.D.E. Impact of honey on quality characteristics of goat yogurt containing probiotic Lactobacillus acidophilus. LWT- Food Sci. Technol. 2017, 80, 221–229. [Google Scholar] [CrossRef]
- Lee, K.; Lee, H.G.; Choi, Y.J. Proteomic analysis of the effect of bile salts on the intestinal and probiotic bacterium Lactobacillus reuteri. J. Biotechnol. 2008, 137, 14–19. [Google Scholar] [CrossRef] [PubMed]
- Montiel, R.; Martín-Cabrejas, I.; Langa, S.; El Aouad, N.; Arqués, J.L.; Reyes, F.; Medina, M. Antimicrobial activity of reuterin produced by Lactobacillus reuteri on Listeria monocytogenes in cold-smoked salmon. Food Microbiol. 2014, 44, 1–5. [Google Scholar] [CrossRef] [PubMed]
- Bian, L.; Molan, A.L.; Maddox, I.; Shu, Q. Antimicrobial activity of Lactobacillus reuteri DPC16 supernatants against selected food borne pathogens. World J. Microbiol. Biotechnol. 2011, 27, 991–998. [Google Scholar] [CrossRef]
- Chen, S.; Cao, Y.; Ferguson, L.R.; Shu, Q.; Garg, S. The effect of immobilization of probiotic Lactobacillus reuteri DPC16 in sub-100 µm microcapsule on food-borne pathogens. World J. Microbiol. Biotechnol. 2012, 28, 2447–2452. [Google Scholar] [CrossRef] [PubMed]
- Chen, S.; Ferguson, L.R.; Shu, Q.; Garg, S. The application of flow cytometry to the characterisation of a probiotic strain Lactobacillus reuteri DPC16 and the evaluation of sugar preservatives for its lyophilization. LWT- Food Sci. Technol. 2011, 44, 1873–1879. [Google Scholar] [CrossRef]
- Zhao, Q.; Maddox, I.S.; Mutukumira, A.; Lee, S.J.; Shu, Q. The effect of cell immobilization on the antibacterial activity of Lactobacillus reuteri DPC16 cells during passage through a simulated gastrointestinal tract system. World J. Microbiol. Biotechnol. 2012, 28, 3025–3037. [Google Scholar] [CrossRef]
- Zhao, Q.; Mutukumira, A.; Lee, S.J.; Maddox, I.; Shu, Q. Functional properties of free and encapsulated Lactobacillus reuteri DPC16 during and after passage through a simulated gastrointestinal tract. World J. Microbiol. Biotechnol. 2012, 28, 61–70. [Google Scholar] [CrossRef] [PubMed]
- Gibson, G.R.; Roberfroid, M.B. Dietary modulation of the human colonic microbiota: Introducing the concept of prebiotics. J. Nutr. 1995, 125, 1401–1412. [Google Scholar] [CrossRef] [PubMed]
- Gibson, G.R.; Hutkins, R.; Sanders, M.E.; Prescott, S.L.; Reimer, R.A.; Salminen, S.J.; Scott, K.; Stanton, C.; Swanson, K.S.; Cani, P.D.; et al. Expert consensus document: The International Scientific Association for Probiotics and Prebiotics (ISAPP) consensus statement on the definition and scope of prebiotics. Nat. Rev. Gastroenterol. Hepatol. 2017, 14, 491–502. [Google Scholar] [CrossRef] [PubMed]
- Kajiwara, S.; Gandhi, H.; Ustunol, Z. Effect of honey on the growth of and acid production by human intestinal Bifidobacterium spp.: An in vitro comparison with commercial oligosaccharides and inulin. J. Food Prot. 2002, 65, 214–218. [Google Scholar] [CrossRef] [PubMed]
- Ustunol, Z.; Gandhi, H. Growth and viability of commercial Bifidobacterium spp. in honey-sweetened skim milk. J. Food Prot. 2001, 64, 1775–1779. [Google Scholar] [CrossRef]
- Mavric, E.; Wittmann, S.; Barth, G.; Henle, T. Identification and quantification of methylglyoxal as the dominant antibacterial constituent of Manuka (Leptospermum scoparium) honeys from New Zealand. Mol. Nutr. Food Res. 2008, 52, 483–489. [Google Scholar] [CrossRef]
- Popa, D.; Ustunol, Z. Influence of sucrose, high fructose corn syrup and honey from different floral sources on growth and acid production by lactic acid bacteria and bifidobacteria. Int. J. Dairy Technol. 2011, 64, 247–253. [Google Scholar] [CrossRef]
- Asarat, M.; Vasiljevic, T.; Ravikumar, M.; Apostolopoulos, V.; Donkor, O. Extraction and Purification of Short-chain Fatty Acids from Fermented Reconstituted Skim Milk Supplemented with Inulin. Food Anal. Meth. 2016, 9, 3069–3079. [Google Scholar] [CrossRef]
- Cai, J.; Zhang, J.; Tian, Y.; Zhang, L.; Hatzakis, E.; Krausz, K.W.; Smith, P.B.; Gonzalez, F.J.; Patterson, A.D. Orthogonal Comparison of GC-MS and 1H NMR Spectroscopy for Short Chain Fatty Acid Quantitation. Anal. Chem. 2017, 89, 7900–7906. [Google Scholar] [CrossRef]
- Hu, F.; Furihata, K.; Kato, Y.; Tanokura, M. Nondestructive quantification of organic compounds in whole milk without pretreatment by two-dimensional NMR spectroscopy. J. Agric. Food Chem. 2007, 55, 4307–4311. [Google Scholar] [CrossRef]
- Adebola, O.O.; Corcoran, O.; Morgan, W.A. Synbiotics: The impact of potential prebiotics inulin, lactulose and lactobionic acid on the survival and growth of lactobacilli probiotics. J. Funct. Foods 2014, 10, 75–84. [Google Scholar] [CrossRef]
- Shah, N.P. Probiotic bacteria: Selective enumeration and survival in dairy foods. J. Dairy Sci. 2000, 83, 894–907. [Google Scholar] [CrossRef]
- Tharmaraj, N.; Shah, N.P. Selective enumeration of Lactobacillus delbrueckii ssp. bulgaricus, Streptococcus thermophilus, Lactobacillus acidophilus, bifidobacteria, Lactobacillus casei, Lactobacillus rhamnosus, and propionibacteria. J. Dairy Sci. 2003, 86, 2288–2296. [Google Scholar] [CrossRef]
- Hwang, T.L.; Shaka, A.J. Water Suppression That Works. Excitation Sculpting Using Arbitrary Wave-Forms and Pulsed-Field Gradients. J. Magn. Reson. Ser. A 1995, 112, 275–279. [Google Scholar] [CrossRef]
- Wu, P.S.C.; Otting, G. Rapid pulse length determination in high-resolution NMR. J. Magn. Reson. 2005, 176, 115–119. [Google Scholar] [CrossRef] [PubMed]
- Wakeling, I.N.; MacFie, H.J.H. Designing consumer trials balanced for first and higher orders of carry-over effect when only a subset of k samples from t may be tested. Food Qual. Prefer. 1995, 6, 299–308. [Google Scholar] [CrossRef]
- Isleten, M.; Karagul-Yuceer, Y. Effects of dried dairy ingredients on physical and sensory properties of nonfat yogurt. J. Dairy Sci. 2006, 89, 2865–2872. [Google Scholar] [CrossRef]
- Costa, M.P.; Frasao, B.S.; Silva, A.C.O.; Freitas, M.Q.; Franco, R.M.; Conte-Junior, C.A. Cupuassu (Theobroma grandiflorum) pulp, probiotic, and prebiotic: Influence on color, apparent viscosity, and texture of goat milk yogurts. J. Dairy Sci. 2015, 98, 5995–6003. [Google Scholar] [CrossRef]
- do Espírito Santo, A.P.; Perego, P.; Converti, A.; Oliveira, M.N. Influence of milk type and addition of passion fruit peel powder on fermentation kinetics, texture profile and bacterial viability in probiotic yoghurts. LWT- Food Sci. Technol. 2012, 47, 393–399. [Google Scholar] [CrossRef]
- Sert, D.; Akin, N.; Dertli, E. Effects of sunflower honey on the physicochemical, microbiological and sensory characteristics in set type yoghurt during refrigerated storage. Int. J. Dairy Technol. 2011, 64, 99–107. [Google Scholar] [CrossRef]
- Krzywinski, M.; Altman, N. Points of Significance: Error bars. Nat. Meth. 2013, 10, 921–922. [Google Scholar] [CrossRef] [PubMed]
- Chick, H.; Shin, H.S.; Ustunol, Z. Growth and acid production by lactic acid bacteria and bifidobacteria grown in skim milk containing honey. J. Food Sci. 2001, 66, 478–481. [Google Scholar] [CrossRef]
- Curda, L.; Plocková, M. Impedance measurement of growth of lactic acid bacteria in dairy cultures with honey addition. Int. Dairy J. 1995, 5, 727–733. [Google Scholar] [CrossRef]
- Riazi, A.; Ziar, H. Effect of honey and starter culture on growth, acidification, sensory properties and bifidobacteria cell counts in fermented skimmed milk. Afr. J. Microbiol. Res. 2012, 6, 486–498. [Google Scholar]
- Rayes, A.A.H. Enhancement of probiotic bioactivity by some prebiotics to produce bio-fermented milk. Life Sci. J. 2012, 9, 2246–2253. [Google Scholar]
- Macedo, L.N.; Luchese, R.H.; Guerra, A.F.; Barbosa, C.G. Prebiotic effect of honey on growth and viability of Bifidobacterium spp. and Lactobacillus spp. in milk. Cienc. Tecnol. Aliment. 2008, 28, 935–942. [Google Scholar] [CrossRef]
- Cummings, J.H.; Macfarlane, G.T.; Englyst, H.N. Prebiotic digestion and fermentation. Am. J. Clin. Nutr. 2001, 73, 415S–420S. [Google Scholar] [CrossRef]
- Haddadin, M.S.Y.; Nazer, I.; Raddad, J.A.; Robinson, R.K. Effect of honey on the growth and metabolism of two bacterial species of intestinal origin. Pak. J. Nutr. 2007, 6, 693–697. [Google Scholar]
- Vaseji, N.; Mojgani, N.; Amirinia, C.; Iranmanesh, M. Comparison of butyric acid concentrations in and probiotic yogurt samples in Iran. Iran. J. Microbiol. 2012, 4, 87–93. [Google Scholar]
- Barnes, D.L.; Harper, S.J.; Bodyfelt, F.W.; McDaniel, M.R. Prediction of Consumer Acceptability of Yogurt by Sensory and Analytical Measures of Sweetness and Sourness. J. Dairy Sci. 1991, 74, 3746–3754. [Google Scholar] [CrossRef]
- Chollet, M.; Gille, D.; Schmid, A.; Walther, B.; Piccinali, P. Acceptance of sugar reduction in flavored yogurt. J. Dairy Sci. 2013, 96, 5501–5511. [Google Scholar] [CrossRef] [PubMed]
- Thompson, J.L.; Lopetcharat, K.; Drake, M.A. Preferences for commercial strawberry drinkable yogurts among African American, Caucasian, and Hispanic consumers in the United States. J. Dairy Sci. 2007, 90, 4974–4987. [Google Scholar] [CrossRef] [PubMed]
- Popa, D.; Ustunol, Z. Sensory attributes of low-fat strawberry yoghurt as influenced by honey from different floral sources, sucrose and high-fructose corn sweetener. Int. J. Dairy Technol. 2011, 64, 451–454. [Google Scholar] [CrossRef]
- Kato, Y.; Umeda, N.; Maeda, A.; Matsumoto, D.; Kitamoto, N.; Kikuzaki, H. Identification of a novel glycoside, leptosin, as a chemical marker of manuka honey. J. Agric. Food Chem. 2012, 60, 3418–3423. [Google Scholar] [CrossRef]
- Hansson, A.; Andersson, J.; Leufvén, A. The effect of sugars and pectin on flavour release from a soft drink-related model system. Food Chem. 2001, 72, 363–368. [Google Scholar] [CrossRef]
- Aryana, K.J.; McGrew, P. Quality attributes of yogurt with Lactobacillus casei and various prebiotics. LWT- Food Sci. Technol. 2007, 40, 1808–1814. [Google Scholar] [CrossRef]
- Oliveira, M.N.; Sodini, I.; Remeuf, F.; Corrieu, G. Effect of milk supplementation and culture composition on acidification, textural properties and microbiological stability of fermented milks containing probiotic bacteria. Int. Dairy J. 2001, 11, 935–942. [Google Scholar] [CrossRef]
- Paseephol, T.; Small, D.M.; Sherkat, F. Rheology and texture of set yogurt as affected by inulin addition. J. Text. Stud. 2008, 39, 617–634. [Google Scholar] [CrossRef]
- Salvador, A.; Fiszman, S.M. Textural and sensory characteristics of whole and skimmed flavored set-type yogurt during long storage. J. Dairy Sci. 2004, 87, 4033–4041. [Google Scholar] [CrossRef]
- Kailasapathy, K. Survival of free and encapsulated probiotic bacteria and their effect on the sensory properties of yoghurt. LWT- Food Sci. Technol. 2006, 39, 1221–1227. [Google Scholar] [CrossRef]
- Srisuvor, N.; Chinprahast, N.; Prakitchaiwattana, C.; Subhimaros, S. Effects of inulin and polydextrose on physicochemical and sensory properties of low-fat set yoghurt with probiotic-cultured banana purée. LWT- Food Sci. Technol. 2013, 51, 30–36. [Google Scholar] [CrossRef]
- Soukoulis, C.; Biasioli, F.; Aprea, E.; Schuhfried, E.; Cappellin, L.; Märk, T.D.; Gasperi, F. PTR-TOF-MS Analysis for Influence of Milk Base Supplementation on Texture and Headspace Concentration of Endogenous Volatile Compounds in Yogurt. Food Bioprocess Technol. 2012, 5, 2085–2097. [Google Scholar] [CrossRef]
- Lee, W.J.; Lucey, J.A. Formation and physical properties of yogurt. Asian-Australas. J. Anim. Sci. 2010, 23, 1127–1136. [Google Scholar] [CrossRef]
- Lucey, J.A.; Tamehana, M.; Singh, H.; Munro, P.A. Effect of interactions between denatured whey proteins and casein micelles on the formation and rheological properties of acid skim milk gels. J. Diary Res. 1998, 65, 555–567. [Google Scholar] [CrossRef]
- Torrico, D.D.; Tam, J.; Fuentes, S.; Viejo, C.G.; Dunshea, F.R. D-tagatose as a sucrose substitute and its effect on the physico-chemical properties and acceptability of strawberry-flavored yogurt. Foods 2019, 8, 256. [Google Scholar] [CrossRef] [PubMed]
- Vasiljevic, T.; Kealy, T.; Mishra, V.K. Effects of β-glucan addition to a probiotic containing yogurt. J. Food Sci. 2007, 72, C405–C411. [Google Scholar] [CrossRef] [PubMed]


| Unsweetened Yogurt | Invert Syrup | Manuka Blend | Manuka UMFTM 18+ | Manuka AMFTM 15+ | |
|---|---|---|---|---|---|
| Colour | 5.04 ± 1.25 a | 5.30 ± 1.11 a | 5.24 ± 1.07 a | 5.11 ± 1.22 a | 5.30 ± 1.17 a |
| Appearance | 4.58 ± 1.41 a | 5.17 ± 1.19 b | 4.96 ± 1.02 ab | 5.09 ± 1.21 b | 5.10 ± 1.25 b |
| Mouthfeel | 4.07 ± 1.63 a | 5.10 ± 1.28 b | 4.60 ± 1.40 b | 4.87 ± 1.38 b | 4.92 ± 1.33 b |
| Smoothness | 4.37 ± 1.56 a | 5.36 ± 1.08 b | 5.01 ± 1.30 b | 5.37 ± 1.20 b | 5.27 ± 1.33 b |
| Sweetness | 3.51 ± 1.46 a | 4.82 ± 1.36 c | 4.80 ± 1.39 c | 4.49 ± 1.53 bc | 4.28 ± 1.45 b |
| Sourness | 3.73 ± 1.53 a | 4.95 ± 1.38 c | 4.86 ± 1.31 c | 4.44 ± 1.50 bc | 4.30 ± 1.45 b |
| Overall Acceptance | 4.34 ± 1.43 a | 5.32 ± 1.06 c | 5.05± 1.24 bc | 4.80 ± 1.44 bc | 4.65 ± 1.45 b |
| Yogurt | Storage (days) | pH | L* | a* | b* | Viscosity (cP) | Firmness (g) | Consistency (g.sec) | Cohesiveness (g) | WHC (%) |
|---|---|---|---|---|---|---|---|---|---|---|
| Unsweetened | 1 | 4.42 ± 0.01 a,B | 88.5 ± 1.17 a,A | −0.22 ± 004 a,A | 7.98 ± 0.45 c,A | 263.33 ± 45.020 a,A | 21.7 ± 7.0 a,AB | 370.7 ± 29.6 a,A | 0.72 ± 0.19 a,AB | 49.53 ± 11.32 a,A |
| 7 | 4.11 ± 0.01 a,A | 89.8 ± 1.3 a,A | −0.25 ± 0.33 a,A | 7.48 ± 0.37 b,A | 180.0 ± 17.890 a,B | 15.9 ± 2.5 a,A | 264.3 ± 116.2 a,A | 0.78 ± 0.070 a,B | 55.23 ± 5.89 a,A | |
| 14 | 4.12 ± 0.03 b,A | 95.6 ± 0.45 c,B | 5.00 ± 0.19 a,B | −2.045 ± 0.39 b,B | 146.67 ± 31.410 a,B | 23.0 ± 5.3 a,AB | 419.0 ± 107.8 a,AB | 0.54 ± 0.060 b,AB | 57.02 ± 7.46 a,A | |
| 21 | 4.09 ± 0.02 b,A | − | − | − | − | 32.7 ± 4.5 a,B | 643.3 ± 144.1 a,B | 0.46 ± 0.060 a,A | 64.5 ± 5.19 a,B | |
| Invert Syrup | 1 | 4.44 ± 0.01 b,B | 94.3 ± 0.77 c,A | 0.77 ± 0.02 b,A | 6.07 ± 0.06 a,A | 3805.0 ± 225.540 d,A | 37.3 ± 2.9 b,A | 761.3 ± 79.3 b,A | 0.50 ± 0.030 ab,A | 76.3 ± 5.25 b,A |
| 7 | 4.14 ± 0 b,A | 93.2 ± 0.2 c,A | 0.78 ± 0.03 b,A | 6.67 ± 0.26 a,A | 3113.33 ± 146.65 d,B | 36.3 ± 2.5 b,A | 758.7 ± 42.4 b,A | 0.50 ± 0.020 b,A | 70.1 ± 8.0 b,A | |
| 14 | 4.13 ± 0.01 b,A | 96.03 ± 0.39 c,B | 5.11 ± 0.17 ab,B | −3.46 ± 0.18 a,B | 2786.67 ± 142.36 d,C | 41.3 ± 0.6 c,A | 886.3 ± 69.2 c,A | 0.48 ± 0.010 ab,A | 71.9 ± 5.7 b,A | |
| 21 | 4.11 ± 0.03 b,A | 96.25 ± 0.14 c,B | 5.17 ± 0.11 a,B | −3.19 ± 0.07 a,B | 2511.67 ± 187.87 b,D | 38.0 ± 3.6 a,A | 756.0 ± 138.7 a,A | 0.52 ± 0.060 a,A | 72 ± 4.4 b,A | |
| Manuka Blend | 1 | 4.48 ± 0.01 c,C | 90.53 ± 0.5 ab,A | 1.53 ± 0.15 c,A | 7.2 ± 0.44 b,A | 3355.0 ± 95.650 c,A | 34.3 ± 8.1 b,A | 703.7 ± 217.2 b,A | 0.55 ± 0.120 ab,A | 72.44 ± 5.49 b,A |
| 7 | 4.18 ± 0.02 c,B | 91.60 ± 0.2 b,A | 1.31 ± 0.02 c,A | 7.52 ± 0.24 b,A | 2723.33 ± 99.53 c,B | 38.0 ± 1.7 b,A | 795.3 ± 75.1 b,A | 0.48 ± 0.010 b,A | 71.2 ± 1.5 b,A | |
| 14 | 4.06 ± 0.01 a,A | 94.71 ± 0.36 b,B | 5.65 ± 0.13 c,B | −2.32 ± 0.27 b,B | 2500.0 ± 116.62 c,C | 44.0 ± 1.7 c,A | 947.7 ± 92.7 c,A | 0.48 ± 0.010 ab,A | 71.7 ± 4.7 b,A | |
| 21 | 4.1 ± 0.06 a,A | 94.59 ± 0.21 b,B | 5.85 ± 0.10 c,B | −1.97 ± 0.95 b,B | 2096.67 ± 52.79 a,D | 39.7 ± 2.1 a,A | 813.0 ± 51.0 a,A | 0.49 ± 0.030 a,A | 70.9± 2.7 b,A | |
| Manuka UMFTM 18+ | 1 | 4.49 ± 0.01 c,C | 90.53 ± 0.5 ab,A | 2.09 ± 0.1 d,A | 9.55 ± 0.32 e,A | 3101.67 ± 264.530 c,A | 43.3 ± 2.1 b,A | 922.7 ± 87.2 b,A | 0.43 ± 0.030 b,A | 72.16 ± 4.31 b,A |
| 7 | 4.19 ± 0.01 c,B | 90.50 ± 0.3 ab,A | 2.00 ± 0.12 d,A | 9.24 ± 0.26 d,A | 2750.0 ± 104.88 c,B | 37.0 ± 1.0 b,A | 810.0 ± 60.7 b,A | 0.47 ± 0.020 b,A | 70.4 ± 3.7 b,A | |
| 14 | 4.06 ± 0.02 a,A | 93.4 ± 0.7 a,B | 6.04 ± 0.12 d,B | −0.69 ± 0.08 c,B | 2482.17 ± 114.23 c,C | 45.3 ± 1.5 c,A | 997.0 ± 46.0 c,A | 0.47 ± 0.010 a,A | 72.1 ± 2.9 b,A | |
| 21 | 4.08 ± 0.02 a,A | 93.66 ± 0.19 a,B | 6.28 ± 0.12 d,B | −0.42 ± 0.09 d,B | 2078.33 ± 122.21 a,D | 37.0 ± 6.9 a,A | 803.3 ± 231.9 a,A | 0.52 ± 0.110 a,A | 68.8 ± 3.1 b,A | |
| Manuka AMFTM 15+ | 1 | 4.44 ± 0.01 ab,C | 90.67 ± 0.3 ab,A | 1.29 ± 0.75 c,A | 8.77 ± 0.17 d,A | 2433.33 ± 149.480 b,A | 35.4 ± 2.2 b,AB | 682.7 ± 66.0 b,A | 0.55 ± 0.010 ab,A | 67.41 ± 3.66 b,A |
| 7 | 4.2 ± 0.02 c,B | 91.0 ± 0.4 ab,A | 1.22 ± 0.64 c,A | 8.37 ± 0.17 c,A | 2426.67 ± 159.83 b,A | 33.3 ± 0.6 b,AB | 685.3 ± 39.3 b,A | 0.52 ± 0.010 b,A | 70.9 ± 1.5 b,A | |
| 14 | 4.09 ± 0.03 ab,A | 94.25 ± 0.15 b,B | 5.43 ± 0.13 bc,B | −1.25 ± 0.24 c,B | 1628.33 ± 253.17 b,C | 32.3 ± 0.6 b,A | 619.3 ± 33.0 b,A | 0.48 ± 0.000 ab,A | 65.8 ± 4.4 b,A | |
| 21 | 4.17 ± 0.01 ab,B | 94.0 ± 0.22 a,B | 5.42 ± 0.09 b,B | −1.03 ± 0.07 c,B | 2148.33 ± 146.89 a,B | 38.0 ± 3.6 a,B | 752.0 ± 105.2 a,A | 0.51 ± 0.060 a,A | 69.4 ± 6.4 b,A |
© 2020 by the authors. Licensee MDPI, Basel, Switzerland. This article is an open access article distributed under the terms and conditions of the Creative Commons Attribution (CC BY) license (http://creativecommons.org/licenses/by/4.0/).
Share and Cite
Mohan, A.; Hadi, J.; Gutierrez-Maddox, N.; Li, Y.; Leung, I.K.H.; Gao, Y.; Shu, Q.; Quek, S.-Y. Sensory, Microbiological and Physicochemical Characterisation of Functional Manuka Honey Yogurts Containing Probiotic Lactobacillus reuteri DPC16. Foods 2020, 9, 106. https://doi.org/10.3390/foods9010106
Mohan A, Hadi J, Gutierrez-Maddox N, Li Y, Leung IKH, Gao Y, Shu Q, Quek S-Y. Sensory, Microbiological and Physicochemical Characterisation of Functional Manuka Honey Yogurts Containing Probiotic Lactobacillus reuteri DPC16. Foods. 2020; 9(1):106. https://doi.org/10.3390/foods9010106
Chicago/Turabian StyleMohan, Anand, Joshua Hadi, Noemi Gutierrez-Maddox, Yu Li, Ivanhoe K. H. Leung, Yihuai Gao, Quan Shu, and Siew-Young Quek. 2020. "Sensory, Microbiological and Physicochemical Characterisation of Functional Manuka Honey Yogurts Containing Probiotic Lactobacillus reuteri DPC16" Foods 9, no. 1: 106. https://doi.org/10.3390/foods9010106
APA StyleMohan, A., Hadi, J., Gutierrez-Maddox, N., Li, Y., Leung, I. K. H., Gao, Y., Shu, Q., & Quek, S.-Y. (2020). Sensory, Microbiological and Physicochemical Characterisation of Functional Manuka Honey Yogurts Containing Probiotic Lactobacillus reuteri DPC16. Foods, 9(1), 106. https://doi.org/10.3390/foods9010106

