Consumer Preference Heterogeneity Evaluation in Fruit and Vegetable Purchasing Decisions Using the Best–Worst Approach
Abstract
1. Introduction
2. Materials and Methods
2.1. Data Collection and Sample Characteristics
2.2. Best–Worst Scaling Design
3. Results and Discussions
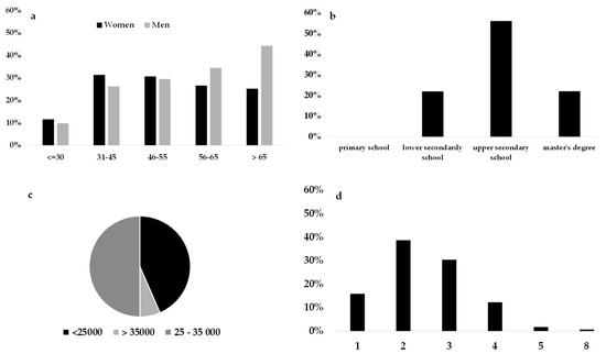
3.1. Participant Description
3.2. Consumer Preferences for Fruit and Vegetable Intrinsic and Extrinsic Choice Attributes
3.3. Latent Class Analysis
3.3.1. Preferences and Sociodemographic Variables of Different Consumer Clusters
Proposed Loyalty
Local Sensitive
Price Sensitive
Undecided
Value for Money
3.3.2. Fruit and Vegetable Point of Purchase Choice as a Function of Consumer-Declared Preferences
4. Conclusions
Author Contributions
Funding
Conflicts of Interest
References
- Yu, M.; Nagurney, A. Competitive food supply chain networks with application to fresh produce. Eur. J. Oper. Res. 2013, 224, 273–282. [Google Scholar] [CrossRef]
- Camanzi, L.; Malorgio, G.; Azcárate, T.G. The role of Producer Organizations in supply concentration and marketing: A comparison between European Countries in the fruit and vegetables sector. J. Food Prod. Market. 2009, 17, 57990. [Google Scholar] [CrossRef]
- Moser, R.; Raffaelli, R.; Thilmany-McFadden, D. Consumer preferences for fruit and vegetables with credence-based attributes: A review. Int. Food Agribus. Manag. Rev. 2011, 14, 121–142. [Google Scholar]
- Food and Agricultural Organization; World Health Organization. Fruit and Vegetables for Health Initiative; FAO: Rome, Italy; WHO: Geneva, Switzerland, 2017. [Google Scholar]
- Mueller, S.; Szolnoki, G. The relative influence of packaging, labelling, branding and sensory attributes on liking and purchase intent: Consumers differ in their responsiveness. Food Qual. Prefer. 2010, 21, 774–783. [Google Scholar] [CrossRef]
- Enneking, U.; Neumann, C.; Henneberg, S. How important intrinsic and extrinsic product attributes affect purchase decision. Food Qual. Prefer. 2007, 18, 133–138. [Google Scholar] [CrossRef]
- Motoki, K.; Sugiura, M. Disgust, sadness, and appraisal: Disgusted consumers dislike food more than sad ones. Front. Psychol. 2018, 9, 76. [Google Scholar] [CrossRef]
- Motoki, K.; Saito, T.; Nouchi, R.; Kawashima, R.; Sugiura, M. A Sweet Voice: The Influence of Cross-Modal Correspondences Between Taste and Vocal Pitch on Advertising Effectiveness. Multisens. Res. 2019, 32, 401–427. [Google Scholar] [CrossRef]
- Motoki, K.; Saito, T.; Nouchi, R.; Kawashima, R.; Sugiura, M. The paradox of warmth: Ambient warm temperature decreases preference for savory foods. Food Qual. Prefer. 2018, 69, 1–9. [Google Scholar] [CrossRef]
- Chung, J.E.; Yu, J.P.; Pysarchik, D.T. Cue utilization to assess food product quality: A comparison of consumers and retailers in India. Int. Rev. Retail Distrib. Consum. Res. 2006, 16, 199–214. [Google Scholar] [CrossRef]
- Schreiner, M.; Korn, M.; Stenger, M.; Holzgreve, L.; Altmann, M. Current understanding and use of quality characteristics of horticulture products. Sci. Hortic. 2013, 163, 63–69. [Google Scholar] [CrossRef]
- Demattè, M.L.; Pojer, N.; Endrizzi, I.; Corollaro, M.L.; Betta, E.; Aprea, E.; Charles, M.; Biasioli, F.; Zampini, M.; Gasperi, F. Effects of the sound of the bite on apple perceived crispness and hardness. Food Qual. Prefer. 2014, 38, 58–64. [Google Scholar] [CrossRef]
- Jaeger, S.R.; Antúnez, L.; Ares, G.; Johnston, J.W.; Hall, M.; Harker, F.R. Consumers’ visual attention to fruit defects and disorders: A case study with apple images. Postharvest Biol. Technol. 2016, 116, 36–44. [Google Scholar] [CrossRef]
- The European Parliament and the Council of the European Union. Regulation (EC) No 1107/2009 of the European Parliament and of the Council of 21 October 2009 concerning the placing of plant protection products on the market and repealing Council Directives 79/117/EEC and 91/414/EEC. Off. J. Eur. Union 2009, 309, 1–50. [Google Scholar]
- The European Parliament and the Council of the European Union. Regulation (EC) No 396/2005 of the European Parliament and of the Council of 23 February 2005 on maximum residue levels of pesticides in or on food and feed of plant and animal origin and amending Council Directive 91/414/EECText with EEA relevance. Off. J. Eur. Union 2005, 70, 1–16. [Google Scholar]
- Verain, M.C.; Sijtsema, S.J.; Antonides, G. Consumer segmentation based on food-category attribute importance: The relation with healthiness and sustainability perceptions. Food Qual. Prefer. 2016, 48, 99–106. [Google Scholar] [CrossRef]
- Blanc, S.; Massaglia, S.; Brun, F.; Peano, C.; Mosso, A.; Giuggioli, N.R. Use of Bio-Based Plastics in the Fruit Supply Chain: An Integrated Approach to Assess Environmental, Economic, and Social Sustainability. Sustainability 2019, 11, 2475. [Google Scholar] [CrossRef]
- Volpato, C. Consumi di frutta e verdura: Trend e prospettive internazionali. Rivista di Frutticoltura e di Ortofloricoltura 2017, 81, 8–11. [Google Scholar]
- Péneau, S.; Hoehn, E.; Roth, H.R.; Escher, F.; Nuessli, J. Importance and consumer perception of freshness of apples. Food Qual. Prefer. 2006, 17, 9–19. [Google Scholar] [CrossRef]
- Peparaio, M.; Sinesio, F.; Paoletti, F.; Moneta, E.; Saba, A.; Vassallo, M. Towards a multi-dimensional concept of vegetable freshness from the consumer’s perspective. Food Qual. Prefer. 2017, 66, 1–12. [Google Scholar]
- Péneau, S.; Brockhoff, P.B.; Escher, F.; Nuessli, J. A comprehensive approach to evaluate the freshness of strawberries and carrots. Postharvest Biol. Technol. 2007, 45, 20–29. [Google Scholar] [CrossRef]
- Péneau, S.; Linke, A.; Escher, F.; Nuessli, J. Freshness of fruits and vegetables: Consumer language and perception. Br. Food J. 2009, 111, 243–256. [Google Scholar] [CrossRef]
- Fillion, L.; Kilcast, D. Consumer perception of crispness and crunchiness in fruits and vegetables. Food Qual. Prefer. 2002, 13, 23–29. [Google Scholar] [CrossRef]
- Fillion, L.; Kilcast, D. Concept and Measurement of Freshness of Fruits and Vegetables. Available online: https://www.researchgate.net/publication/223892341 (accessed on 20 June 2019).
- Akgüngör, S.; Miran, B.; Abay, C. Consumer willingness to pay for organic products in urban Turkey. J. Int. Food Agribus. Market. 2010, 22, 299–313. [Google Scholar] [CrossRef]
- Kyriacou, M.C.; Rouphael, Y. Towards a new definition of quality for fresh fruits and vegetables. Sci. Hortic. 2018, 234, 463–469. [Google Scholar] [CrossRef]
- Grunert, K.G.; Sonntag, W.I.; Glanz-Chanos, V.; Forum, S. Consumer interest in environmental impact, safety, health and animal welfare aspects of modern pig production: Results of a cross-national choice experiment. Meat Sci. 2018, 137, 123–129. [Google Scholar] [CrossRef] [PubMed]
- Panzone, L.; Hilton, D.; Sale, L.; Cohen, D. Socio-demographics, implicit attitudes, explicit attitudes, and sustainable consumption in supermarket shopping. J. Econ. Psychol. 2016, 55, 77–95. [Google Scholar] [CrossRef]
- Umberger, W.J.; Reardon, T.; Stringer, R.; Mueller Loose, S. Market-Channel Choices of Indonesian Potato Farmers: A Best–Worst Scaling Experiment. Bull. Indones. Econ. Stud. 2015, 51, 461–477. [Google Scholar] [CrossRef]
- Merlino, V.M.; Borra, D.; Girgenti, V.; Dal Vecchio, A.; Massaglia, S. Beef meat preferences of consumers from Northwest Italy: Analysis of choice attributes. Meat Sci. 2018, 143, 119–128. [Google Scholar] [CrossRef]
- Nunes, F.; Madureira, T.; Oliveira, J.V.; Madureira, H. The consumer trail: Applying best-worst scaling to classical wine attributes. Wine Econ. Policy 2016, 5, 78–86. [Google Scholar] [CrossRef]
- Louviere, J.J.; Flynn, T.N. Using best-worst scaling choice experiments to measure public perceptions and preferences for healthcare reform in Australia. Patient 2010, 3, 275–283. [Google Scholar] [CrossRef]
- Louis, D.; Lombart, C. Retailers’ communication on ugly fruits and vegetables: What are consumers’ perceptions? J. Retail. Consum. Serv. 2018, 41, 256–271. [Google Scholar] [CrossRef]
- Ryan, J.; Casidy, R. The role of brand reputation in organic food consumption: A behavioral reasoning perspective. J. Retail. Consum. Serv. 2018, 41, 239–247. [Google Scholar] [CrossRef]
- De Wulf, K.; Odekerken-Schröder, G.; Goedertier, F.; Van Ossel, G. Consumer perceptions of store brands versus national brands. J. Consum. Market. 2005, 22, 223–232. [Google Scholar] [CrossRef]
- Massaglia, S.; Merlino, V.M.; Borra, D.; Peano, C. Consumer perception of organic blueberry labeling in Italy. Qual. Access Success 2017, 19, 312–318. [Google Scholar]
- Zhao, X.; Chambers, E.; Matta, Z.; Loughin, T.M.; Carey, E.E. Consumer Sensory Analysis of Organically and Conventionally Grown Vegetables. J. Food Sci. 2007, 72, S87–S91. [Google Scholar] [CrossRef]
- Merlino, V.M.; Borra, D.; Lazzarino, L.L.; Blanc, S. Does the organic certification influence the purchasing decisions of milk consumers? Qual. Access Success 2019, 20, 382–387. [Google Scholar]
- Girgenti, V.; Massaglia, S.; Mosso, A.; Peano, C.; Brun, F. Exploring perceptions of raspberries and blueberries by Italian consumers. Sustainability 2016, 8, 1027. [Google Scholar] [CrossRef]
- Botonaki, A.; Polymeros, K.; Tsakiridou, E.; Mattas, K. The role of food quality certification on consumers’ food choices. Br. Food J. 2006, 108, 77–90. [Google Scholar] [CrossRef]
- Schjøll, A. Country-of-origin preferences for organic food. Org. Agric. 2017, 7, 315–327. [Google Scholar] [CrossRef]
- Dekhili, S.; Sirieix, L.; Cohen, E. How consumers choose olive oil: The importance of origin cues. Food Qual. Prefer. 2011, 22, 757–762. [Google Scholar] [CrossRef]
- Loureiro, M.L.; Hine, S. Discovering Niche Markets: A Comparison of Consumer Willingness to Pay for Local (Colorado Grown), Organic, and GMO-Free Products. J. Agric. Appl. Econ. 2002, 34, 477–487. [Google Scholar] [CrossRef]
- Miller, S.; Tait, P.; Saunders, C.; Dalziel, P.; Rutherford, P.; Abell, W. Estimation of consumer willingness-to-pay for social responsibility in fruit and vegetable products: A cross-country comparison using a choice experiment. J. Consum. Behav. 2017, 16, e13–e25. [Google Scholar] [CrossRef]
- Aschemann-Witzel, J.; De Hooge, I.; Amani, P.; Bech-Larsen, T.; Oostindjer, M. Consumer-Related Food Waste: Causes and Potential for Action MAPP—Centre for Research on Customer Relations in the Food Sector. Sustainability 2015, 7, 6457–6477. [Google Scholar] [CrossRef]
- Aschemann-Witzel, J.; Jensen, J.H.; Jensen, M.H.; Kulikovskaja, V. Consumer behaviour towards price-reduced suboptimal foods in the supermarket and the relation to food waste in households. Appetite 2017, 116, 246–258. [Google Scholar] [CrossRef]
- Gjerris, M.; Gaiani, S. Household food waste in Nordic countries: Estimations and ethical implications. Etikk i Praksis 2013, 7, 6–23. [Google Scholar] [CrossRef]
- Glanz, K.; Yaroch, A.L. Strategies for increasing fruit and vegetable intake in grocery stores and communities: Policy, pricing, and environmental change. Prev. Med. 2004, 39, S75. [Google Scholar] [CrossRef]
- Oliver, P.; Cicerale, S.; Pang, E.; Keast, R. Identifying Key Flavors in Strawberries Driving Liking via Internal and External Preference Mapping. J. Food Sci. 2018, 83, 1073–1083. [Google Scholar] [CrossRef]
- Verhulst, A.; Normand, J.M.; Lombard, C.; Moreau, G. A study on the use of an immersive virtual reality store to investigate consumer perceptions and purchase behavior toward non-standard fruits and vegetables. In Proceedings of the EEE Virtual Reality, Los Angeles, CA, USA, 18–22 March 2017; pp. 55–63. [Google Scholar]
- Mugera, A.; Burton, M.; Downsborough, E. Consumer Preference and Willingness to Pay for a Local Label Attribute in Western Australian Fresh and Processed Food Products. J. Food Prod. Mark. 2017, 23, 452–472. [Google Scholar] [CrossRef]
- Peano, C.; Girgenti, V.; Baudino, C.; Giuggioli, N.R. Blueberry supply chain in Italy: Management, innovation and sustainability. Sustainability 2017, 9, 261. [Google Scholar] [CrossRef]
- Blanc, S.; Accastello, C.; Girgenti, V.; Brun, F.; Mosso, A. Innovative strategies for the raspberry supply chain: An environmental and economic assessment. Qual. Access Success 2018, 19, 139–142. [Google Scholar]
- Bulsara, H.P.; Trivedi, K.G. An Exploratory study of factors related to Consumer Behaviour towards purchase of Fruits and Vegetables from different Retail Formats. J. Res. Market. 2016, 6, 397. [Google Scholar] [CrossRef][Green Version]
- Midmore Peter, N.S.; Vairo Daniela, W.M.S.A.-M.; Raffaele, Z. Consumer Attitudes towards the Quality and Safety of Organic and Low Input Foods. Available online: http://orgprints.org/8181/ (accessed on 20 June 2019).
- Rodríguez-Ibeas, R. Environmental Product Differentiation and Environmental Awareness. Environ. Res. Econ. 2007, 36, 237–254. [Google Scholar] [CrossRef]
- Thilmany, D.; Bond, C.A.; Bond, J.K. Going Local: Exploring Consumer Behavior and Motivations for Direct Food Purchases. Am. J. Agric. Econ. 2008, 90, 1303–1309. [Google Scholar] [CrossRef]
- Ingrassia, M.; Sgroi, F.; Tudisca, S.; Chironi, S. Study of Consumer Preferences in Regard to the Blonde Orange Cv. Washington Navel “Arancia Di Ribera PDO”. J. Food Prod. Mark. 2017, 23, 799–816. [Google Scholar] [CrossRef]
- Lazzarini, G.A.; Visschers, V.H.M.; Siegrist, M. Our own country is best: Factors influencing consumers’ sustainability perceptions of plant-based foods. Food Qual. Prefer. 2017, 60, 165–177. [Google Scholar] [CrossRef]
- Xie, J.; Gao, Z.; Swisher, M.; Zhao, X. Consumers’ preferences for fresh broccolis: Interactive effects between country of origin and organic labels. Agric. Econ. 2016, 47, 181–191. [Google Scholar] [CrossRef]
- Mascarello, G.; Pinto, A.; Parise, N.; Crovato, S.; Ravarotto, L. The perception of food quality. Profiling Italian consumers. Appetite 2015, 89, 175–182. [Google Scholar] [CrossRef]
- Rekhy, R.; McConchie, R.R. Promoting consumption of fruit and vegetables for better health. Have campaigns delivered on the goals? Appetite 2014, 79, 113–123. [Google Scholar] [CrossRef]
- Wilkins, J.L. Consumer perceptions of seasonal and local foods: A study in a U.S. community. Ecol. Food Nutr. 2002, 41, 415–439. [Google Scholar] [CrossRef]
- Verbeke, W.; Vanhonacker, F.; Van Loo, E.J.; Gellynck, X. Flemish consumer attitudes towards more sustainable food choices. Appetite 2013, 62, 7–16. [Google Scholar]
- Kelley, K.M.; Primrose, R.; Crassweller, R.; Hayes, J.E.; Marini, R. Consumer peach preferences and purchasing behavior: a mixed methods study. J. Sci. Food Agric. 2016, 96, 2451–2461. [Google Scholar] [CrossRef]
- Bonany, J.; Buehler, A.; Carbó, J.; Codarin, S.; Donati, F.; Echeverria, G.; Egger, S.; Guerra, W.; Hilaire, C.; Höller, I.; et al. Consumer eating quality acceptance of new apple varieties in different European countries. Food Qual. Prefer. 2013, 30, 250–259. [Google Scholar] [CrossRef]
- Konopacka, D.; Stehr, R.; Schoorl, F.; Buehler, A.; Jesionkowska, K.; Kruczyn, D.; Egger, S.; Codarin, S.; Hilaire, C.; Ho, I.; et al. Apple and peach consumption habits across European countries. Appetite 2010, 55, 478–483. [Google Scholar] [CrossRef]
- Jung, Y.J.; Padmanabahn, A.; Hong, J.H.; Lim, J.; Kim, K.O. Consumer freshness perception of spinach samples exposed to different storage conditions. Postharvest Biol. Technol. 2012, 73, 115–121. [Google Scholar] [CrossRef]
- Peano, C.; Girgenti, V.; Palma, A.; Fontanella, E.; Giuggioli, N.R. Film type and map on CV. Himbo top raspbery fruit quality, composition and volatiles. Ital. J. Food Sci. 2013, 25, 421–432. [Google Scholar]
- Orme, B.K. Accuracy of HB Estimation in MaxDiff Experiments (Sawtooth Software Research Paper Series). Available online: www.sawtoothsoftware.com (accessed on 26 June 2019).
- Goodman, S.; Lockshin, L.; Cohen, E. Best-Worst Scaling: A Simple Method to Determine Drinks and Wine Style Preferences. Available online: https://hekyll.services.adelaide.edu.au/dspace/handle/2440/33743 (accessed on 20 June 2019).
- Liu, C.; Li, J.; Steele, W.; Fang, X. A study on Chinese consumer preferences for food traceability information using best-worst scaling. PLoS ONE 2018, 13, e0206793. [Google Scholar] [CrossRef]
- Loose, S.M.; Lockshin, L. Testing the robustness of best worst scaling for cross-national segmentation with different numbers of choice sets. Food Qual. Prefer. 2013, 27, 230–242. [Google Scholar] [CrossRef]
- Lee, J.A.; Soutar, G.N.; Louviere, J. Measuring values using best-worst scaling: The LOV example. Psychol. Mark. 2007, 24, 1043–1058. [Google Scholar] [CrossRef]
- Lee, J.A.; Soutar, G.; Louviere, J. The best–worst scaling approach: an alternative to Schwartz’s values survey. J. Personal. Assess. 2008, 90, 335–347. [Google Scholar] [CrossRef]
- Jaeger, S.R.; Jørgensen, A.S.; Aaslyng, M.D.; Bredie, W.L.P. Best-worst scaling: An introduction and initial comparison with monadic rating for preference elicitation with food products. Food Qual. Prefer. 2008, 19, 579–588. [Google Scholar] [CrossRef]
- Terano, R.; Mohamed, Z.; Rezai, G.; Hanum, Z. Preference for Locally Grown or Imported Fruit Among the Millennial Generation in Johor, Malaysia. J. Food Prod. Mark. 2016, 22, 891–904. [Google Scholar] [CrossRef]
- Cardello, A.V.; Schutz, H.G. The Concept of Food Freshness: Uncovering Its Meaning and Importance to Consumers. In Freshness and Shelf Life of Foods; ACS Symposium Series; American Chemical Society: Washington, DC, USA, 2009; pp. 22–41. [Google Scholar]
- Giacalone, G.; Peano, C.; Iacona, T.; Iacona, C. Consumer Testing on Local and New Cultivars of Peach in the Roero Area, Piedmont, Italy. In Proceedings of the VI International Peach Symposium, Santiago, Chile, 9 January 2005; Acta Horticulturae: Leuven, Belgium, 2006; Volume 713, pp. 457–460. [Google Scholar]
- Chambers, S.; Lobb, A.; Butler, L.; Harvey, K.; Bruce Traill, W. Local, national and imported foods: A qualitative study. Appetite 2007, 49, 208–213. [Google Scholar] [CrossRef]
- Memery, J.; Angell, R.; Megicks, P.; Lindgreen, A. Unpicking motives to purchase locally-produced food: Analysis of direct and moderation effects. Eur. J. Mark. 2015, 49, 1207–1233. [Google Scholar] [CrossRef]
- Thorndike, A.N.; Franckle, R.L.; Polacsek, M.; Boulos, R.; Greene, J.C.; Moran, A.; Rimm, E.B.; Block, J.P.; Blue, D.J. A Supermarket Double-Dollar Incentive Program Increases Purchases of Fresh Fruits and Vegetables Among Low-Income Families with Children: The Healthy Double Study. J. Nutr. Educ. Behav. 2017, 50, 217–228.e1. [Google Scholar]
- Pearson, D. Fresh fruits and vegetables: Why do so many of them remain unbranded? Aust. Agribus. Rev. 2003, 11, 1–9. [Google Scholar]
- Hussin, S.; Yee, W.; Bojei, J. Essential Quality Attributes in Fresh Produce Purchase by Malaysian Consumers. J. Agribus. Market. 2010, 3, 1–19. [Google Scholar]
- Asioli, D.; Canavari, M.; Malaguti, L.; Mignani, C. Fruit Branding: Exploring Factors Affecting Adoption of the New Pear Cultivar ‘Angelys’ in Italian Large Retail. Int. J. Fruit Sci. 2016, 16, 284–300. [Google Scholar] [CrossRef]
- Dentoni, D.; Tonsor, G.T.; Calantone, R.J.; Peterson, H.C. The Direct and Indirect Effects of ‘Locally Grown’ on Consumers’ Attitudes towards Agri-Food Products. Agric. Resour. Econ. Rev. 2009, 38, 384–396. [Google Scholar] [CrossRef]
- Ureña, F.; Bernabéu, R.; Olmeda, M. Women, men and organic food: Differences in their attitudes and willingness to pay. A Spanish case study. Int. J. Consum. Stud. 2007, 32, 18–26. [Google Scholar] [CrossRef]
- Andreyeva, T.; Long, M.W.; Brownell, K.D. The Impact of Food Prices on Consumption: A Systematic Review of Research on the Price Elasticity of Demand for Food. Am. J. Public Health 2010, 100, 216–222. [Google Scholar] [CrossRef]
- Webber, C.B.; Sobal, J.; Dollahite, J.S. Shopping for fruits and vegetables. Food and retail qualities of importance to low-income households at the grocery store. Appetite 2010, 54, 297–303. [Google Scholar] [CrossRef]
- Merlino, V.; Borra, D.; Verduna, T.; Massaglia, S. Household Behavior with Respect to Meat Consumption: Differences between Households with and without Children. Vet. Sci. 2017, 4, 53. [Google Scholar] [CrossRef]
- Cavaliere, A.; Ventura, V. Mismatch between food sustainability and consumer acceptance toward innovation technologies among Millennial students: The case of Shelf Life Extension. J. Clean. Prod. 2018, 175, 641–650. [Google Scholar] [CrossRef]
- Brown, S.; Maloney, K. Making Sense of New Apple Varieties, Trademarks and Clubs: Current Status. N. Y. Fruit Q. 2009, 17, 9–12. [Google Scholar]
- Heyman, M.B.; Abrams, S.A. Fruit Juice in Infants, Children, and Adolescents: Current Recommendations. Pediatrics 2017, 139, e20170967. [Google Scholar] [CrossRef]
- Yu, H.; Neal, J.A.; Sirsat, S.A. Consumers’ food safety risk perceptions and willingness to pay for fresh-cut produce with lower risk of foodborne illness. Food Control 2018, 86, 83–89. [Google Scholar] [CrossRef]
- Scholderer, J.; Grunert, K.G. Consumers, food and convenience: The long way from resource constraints to actual consumption patterns. J. Econ. Psychol. 2005, 26, 105–128. [Google Scholar] [CrossRef]
- Torres, A.P.; Marshall, M.I.; Alexander, C.E.; Delgado, M.S. Are local market relationships undermining organic fruit and vegetable certification? A bivariate probit analysis. Agric. Econ. 2017, 48, 197–205. [Google Scholar] [CrossRef]
- Bartolini, S.; Viti, R.; Ducci, E. Local fruit varieties for sustainable cultivations: Pomological, nutraceutical and sensory characterization. Agrochimica 2015, 59, 281–294. [Google Scholar]
- Massaglia, S.; Merlino, V.M.; Borra, D. Marketing strategies for animal welfare meat identification: Comparison of preferences between millennial and conventional consumers. Qual. Access Success 2018, 19, 305–311. [Google Scholar]
- Hughner, R.S.; McDonagh, P.; Prothero, A.; Shultz, C.J.; Stanton, J. Who are organic food consumers? A compilation and review of why people purchase organic food. J. Consum. Behav. 2007, 6, 94–110. [Google Scholar] [CrossRef]
- Hunt, A.R. Consumer interactions and influences on farmers’ market vendors. Renew. Agric. Food Syst. 2007, 22, 54–66. [Google Scholar] [CrossRef]
- Septiari, E.D.; Kusuma, G.H. Understanding the Perception of Millennial Generation toward Traditional Market (A Study In Yogyakarta). Rev. Integr. Bus. Econ. Res. Online 2016, 5, 30–43. [Google Scholar]






| Fruit & Vegetable Quality Attributes | Attribute Description | References |
|---|---|---|
| Brand (or seller) | Brand allows the consumer to identify and discriminate a product. The evaluation of the brand associates “research”, in relation to the “experience” of the characteristics of a product, together with information about the manufacturer. | [33,34,35] |
| Organic label | Organic certification has been recognized, in various studies, as an attribute that positively influences consumer choices at the time of purchase. | [36,37,38] |
| Quality certifications | This attribute is often related to greater product safety and wholesomeness that, in FV, often results in the reduction of pesticide risk. | [39,40] |
| Origin | Product origin is an intrinsic cue, linked to the consumer information acquisition of product/producer identification in addition to product quality assessment. Consumers believe in a higher quality of domestic food, in comparison to foreign products. | [41,42,43] |
| Price | Several studies have given evidence that the selection of fresh fruit and vegetables is often not influenced by price. Thus, considering a broader product category in our study, fruit and vegetables, price becomes relevant. | [16,44,45] |
| Offer | The evaluation of special offers (promotional prices) for fruit and vegetables is an important tool for this category of products, often characterized by medium–high prices. This factor often depends on the place of purchase and seasonality. | [46,47,48] |
| Appearance | The outward appearance of FV is one of the attributes that highly influences decisions at the time of purchase. | [46,49,50] |
| Local | Local production has a lower perception of risk, which helps to increase loyalty to local producers and to guarantee the sustainability of local companies. | [3,51,52,53,54,55,56,57] |
| Geographical indication label | The consumer attitude towards certified products (e.g., Protected Designation of Origin (PDO) and Protected Geographical Indication (PGI)) has been studied in various researches, evaluating different fruit and vegetable products and confirming the recognition by consumers of a higher quality compared to a conventional or commercial product, with higher organoleptic and taste properties. | [58,59,60,61] |
| Seasonality | The consumption of seasonal fruit and vegetables is associated with consumer choice behavior oriented towards an ecological product; one that avoids excessive packaging (such as tin and plastic) and waste, and which is considered to have a higher organoleptic quality and freshness. | [62,63,64] |
| Variety | Greater attention to this attribute differs by various types of consumers, especially in identifying targets that are more attentive to the variety (cultivars). | [65,66,67] |
| Freshness | Freshness is a very important quality criterion for FV acceptability. Consumer assessment of freshness of fruit and vegetables occurs through the analysis of sensory and visual aspects of the product appearance during purchase, but also during/after consumption. | [20,22,68,69] |
| Groups | Replication 1 | BIC |
|---|---|---|
| 2 | 3 | 46257.960 |
| 3 | 4 | 45162.476 |
| 4 | 2 | 44564.793 |
| 5 | 4 | 44171.250 |
| Sample (n = 1170) | |||||
|---|---|---|---|---|---|
| Gender | male | 31% | Employment | housewife | 6% |
| female | 69% | unemployed | 6% | ||
| Age | ≤30 | 9% | employed | 42% | |
| 31–45 | 24% | self-employed | 9% | ||
| 46–55 | 22% | retired | 34% | ||
| 56–65 | 22% | student | 3% | ||
| >65 | 23% | Annual average income (€/year) | <25,000 | 40% | |
| Education | primary school | 6% | 25,000–35,000 | 33% | |
| lower secondary school | 26% | >35,000 | 8% | ||
| upper secondary school | 49% | n.d. | 18% | ||
| master’s degree | 19% | ||||
| Rank | Attribute | Number of Best | Number of Worst | BW Average Raw Score 1 | Standard Deviation |
|---|---|---|---|---|---|
| 1 | Origin (Italian/foreign) | 1521 | 345 | 1.6840 | 1.673 |
| 2 | Seasonality | 1563 | 278 | 1.6790 | 1.394 |
| 3 | Freshness | 1489 | 305 | 1.6170 | 1.052 |
| 4 | Local | 842 | 559 | 0.4030 | 1.461 |
| 5 | Price | 902 | 685 | 0.3700 | 2.003 |
| 6 | Offer | 798 | 831 | −0.0260 | 1.913 |
| 7 | Appearance | 704 | 914 | −0.2960 | 1.520 |
| 8 | Geographical indication labels | 444 | 1145 | −0.8820 | 1.575 |
| 9 | Certification | 458 | 1102 | −1.0110 | 1.407 |
| 10 | Brand (or seller) | 400 | 1166 | −1.0240 | 1.227 |
| 11 | Variety | 319 | 1133 | −1.0770 | 1.027 |
| 12 | Organic | 406 | 1383 | −1.4380 | 1.918 |
| Price Sensitive | Proposed Loyalty | Value for Money | Undecided Consumer | Local Sensitive | p-Value 1 | |
|---|---|---|---|---|---|---|
| Cluster dimension | 17.50% | 25.50% | 15.24% | 16.50% | 25.26% | |
| Attributes | Average BW raw scores | |||||
| Offer | 50.21 | −20.27 | −8.80 | 20.99 | −45.83 | 0.966 |
| Geographical indication labels | −30.48 | 18.74 | −41.19 | −32.70 | 5.71 | 0.548 |
| Seasonality | 11.91 | 45.11 | 51.82 | 23.17 | 54.17 | 0.011 |
| Appearance | 3.22 | −11.70 | 39.14 | −10.54 | −39.42 | 0.777 |
| Origin (Italian/foreign) | 7.92 | 20.44 | 31.11 | 48.21 | 50.45 | 0.017 |
| Price | 64.25 | −16.92 | 3.75 | 24.52 | −36.37 | 0.675 |
| Organic | −35.75 | −39.25 | −37.70 | −51.79 | 6.03 | 0.032 |
| Certification | −26.40 | 10.66 | −33.82 | −37.71 | −6.84 | 0.107 |
| Variety | −14.47 | −38.02 | −7.86 | −30.22 | −30.50 | 0.012 |
| Local | −13.97 | −28.89 | −11.80 | 24.61 | 37.54 | 0.911 |
| Brand (or seller) | −26.20 | −0.65 | −42.33 | −6.48 | −32.80 | 0.051 |
| Freshness | 9.76 | 60.75 | 57.67 | 27.93 | 37.87 | 0.014 |
© 2019 by the authors. Licensee MDPI, Basel, Switzerland. This article is an open access article distributed under the terms and conditions of the Creative Commons Attribution (CC BY) license (http://creativecommons.org/licenses/by/4.0/).
Share and Cite
Massaglia, S.; Borra, D.; Peano, C.; Sottile, F.; Merlino, V.M. Consumer Preference Heterogeneity Evaluation in Fruit and Vegetable Purchasing Decisions Using the Best–Worst Approach. Foods 2019, 8, 266. https://doi.org/10.3390/foods8070266
Massaglia S, Borra D, Peano C, Sottile F, Merlino VM. Consumer Preference Heterogeneity Evaluation in Fruit and Vegetable Purchasing Decisions Using the Best–Worst Approach. Foods. 2019; 8(7):266. https://doi.org/10.3390/foods8070266
Chicago/Turabian StyleMassaglia, Stefano, Danielle Borra, Cristiana Peano, Francesco Sottile, and Valentina Maria Merlino. 2019. "Consumer Preference Heterogeneity Evaluation in Fruit and Vegetable Purchasing Decisions Using the Best–Worst Approach" Foods 8, no. 7: 266. https://doi.org/10.3390/foods8070266
APA StyleMassaglia, S., Borra, D., Peano, C., Sottile, F., & Merlino, V. M. (2019). Consumer Preference Heterogeneity Evaluation in Fruit and Vegetable Purchasing Decisions Using the Best–Worst Approach. Foods, 8(7), 266. https://doi.org/10.3390/foods8070266

