Screening Olive Leaves from Unexploited Traditional Greek Cultivars for Their Phenolic Antioxidant Dynamic
Abstract
1. Introduction
2. Materials and Methods
2.1. Materials
2.2. Plant Material
2.3. OLF Extracts’ Preparation
2.4. Content in Total Phenols Determined via the Folin–Ciocalteu Assay (TPFC)
2.5. Content in Total Flavonoids (TFL)
2.6. Antioxidant Activity Determined via the DPPH Assay
2.7. Antioxidant Activity Determined via the FRAP Assay
2.8. Content in Total Phenols (TPHCl), Hydroxycinnamic Acid Derivatives (THAD), and Flavonols (TFLVN)
2.9. Statistical Analysis
3. Results and Discussion
3.1. Total Phenol Content of Olive Leaf Polar Extracts
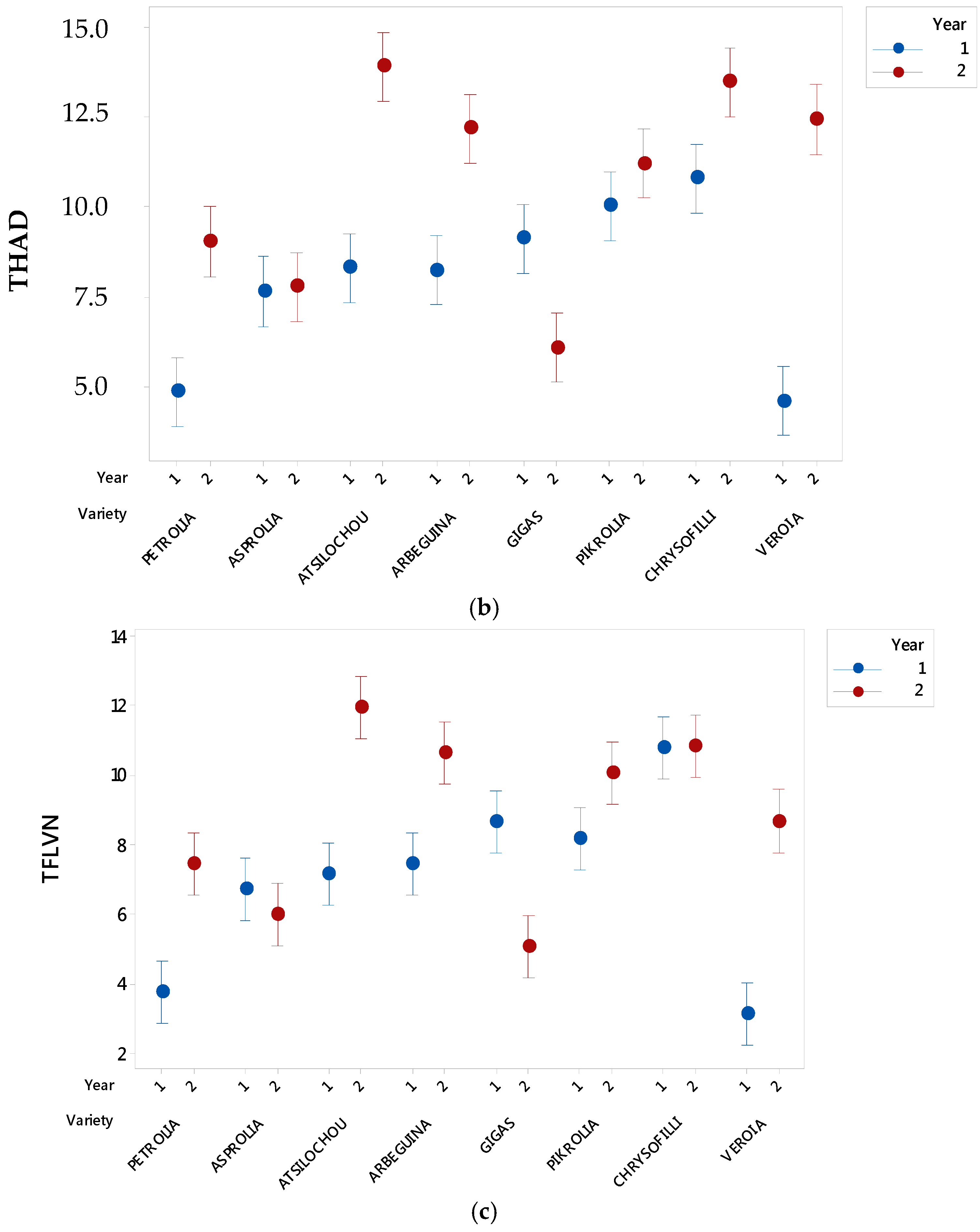
3.2. Content of OLF Polar Extracts in Total Hydroxycinnamic Acid Derivatives (THAD), Total Flavonols (TFLVN), and Total Flavonoids (TFL)
3.3. Statistical Analysis Data of the TP, THAD, TFL, and TFLVN Parameters
3.4. Antioxidant Activity of Olive Leaf Polar Extracts
3.5. Comparative Study of the Phenolic Bioactive Content of Olive Leaves from Two Sampling Periods
4. Conclusions
Author Contributions
Funding
Acknowledgments
Conflicts of Interest
Appendix


| Variety | TPFC | TPHCl | THAD | TFLVN | TFL | Antioxidant Activity | ||||||
|---|---|---|---|---|---|---|---|---|---|---|---|---|
| Bioactive Parameter | mg caffeic acid/g dry leaf | SD | mg gallic acid/g dry leaf | SD | mg caffeic acid/g dry leaf | SD | mg quercetin/g dry leaf | SD | mg quercetin/g dry leaf | SD | FRAP: Caffeic acid equivalents or DPPH: % Inhibition | SD |
| H2O OLF extracts | ||||||||||||
| PETROLIA | 12.52 | 1.31 | 10.71 | 0.50 | 3.51 | 0.47 | 1.87 | 0.63 | 0.87 | 0.50 | 272.58 | 19.38 |
| ASPROLIA | 19.39 | 0.40 | 14.78 | 1.59 | 5.32 | 0.97 | 3.17 | 1.11 | 2.33 | 0.11 | 672.31 | 68.85 |
| ATSILOCHOU | 21.69 | 1.10 | 20.92 | 1.56 | 10.12 | 2.73 | 5.87 | 1.11 | 3.97 | 0.18 | 1031.47 | 46.08 |
| ARBEQUINA | 12.87 | 0.47 | 12.95 | 2.23 | 5.06 | 1.03 | 3.34 | 1.25 | 1.85 | 0.15 | 183.14 | 87.15 |
| GIGAS | 25.71 | 1.88 | 19.60 | 1.55 | 7.15 | 0.31 | 4.77 | 0.29 | 2.15 | 0.33 | 888.14 | 33.23 |
| PIKROLIA | 27.40 | 0.96 | 26.07 | 1.72 | 11.92 | 1.53 | 8.53 | 2.64 | 3.95 | 0.55 | 1046.19 | 58.49 |
| CHRYSOPHILLI | 29.31 | 1.29 | 22.12 | 2.85 | 8.62 | 0.53 | 5.31 | 0.64 | 5.59 | 0.28 | 1335.08 | 59.47 |
| VEROIA | 11.67 | 0.34 | 10.17 | 1.16 | 4.28 | 0.08 | 1.73 | 0.24 | 1.82 | 0.37 | 241.50 | 82.11 |
| MeOH OLF extracts | ||||||||||||
| PETROLIA | 9.31 | 0.72 | 11.41 | 0.63 | 4.84 | 0.33 | 3.75 | 0.29 | 11.22 | 0.49 | 52.42 | 2.27 |
| ASPROLIA | 17.57 | 0.60 | 18.63 | 2.04 | 7.64 | 1.03 | 6.69 | 1.03 | 11.05 | 0.78 | 92.42 | 0.58 |
| ATSILOCHOU | 21.58 | 0.10 | 18.07 | 2.38 | 8.30 | 1.59 | 7.14 | 1.63 | 15.44 | 0.26 | 93.58 | 0.33 |
| ARBEQUINA | 12.80 | 0.22 | 17.64 | 0.82 | 8.24 | 0.33 | 7.44 | 0.35 | 13.20 | 0.52 | 65.47 | 0.59 |
| GIGAS | 22.36 | 0.22 | 23.89 | 1.91 | 9.11 | 1.00 | 8.62 | 1.07 | 16.31 | 0.68 | 91.60 | 1.05 |
| PIKROLIA | 21.54 | 0.23 | 26.04 | 4.47 | 10.02 | 1.15 | 8.17 | 0.86 | 13.66 | 1.18 | 90.97 | 0.39 |
| CHRYSOPHILLI | 30.57 | 0.35 | 27.93 | 2.67 | 10.79 | 1.69 | 10.76 | 1.58 | 22.54 | 0.06 | 92.92 | 0.33 |
| VEROIA | 7.15 | 0.11 | 10.72 | 1.12 | 4.58 | 0.44 | 3.10 | 0.25 | 4.93 | 0.38 | 32.23 | 2.72 |
| EtOH OLF extracts | ||||||||||||
| PETROLIA | 11.00 | 0.89 | 8.00 | 1.90 | 3.22 | 0.88 | 2.43 | 0.92 | 1.43 | 0.11 | 33.75 | 4.63 |
| ASPROLIA | 15.00 | 2.21 | 12.04 | 0.52 | 4.74 | 0.20 | 3.86 | 0.16 | 3.66 | 0.24 | 91.28 | 0.42 |
| ATSILOCHOU | 17.00 | 1.36 | 20.25 | 1.99 | 12.96 | 0.35 | 14.73 | 0.95 | 4.08 | 0.45 | 92.14 | 0.21 |
| ARBEQUINA | 11.00 | 1.30 | 10.18 | 0.66 | 4.66 | 0.34 | 3.84 | 0.35 | 3.36 | 0.13 | 56.43 | 9.95 |
| GIGAS | 27.00 | 1.05 | 18.45 | 0.34 | 7.04 | 0.22 | 6.20 | 0.27 | 9.26 | 0.07 | 90.59 | 1.07 |
| PIKROLIA | 20.00 | 1.30 | 23.36 | 2.72 | 8.95 | 0.33 | 8.36 | 0.95 | 8.20 | 0.23 | 88.93 | 1.05 |
| CHRYSOPHILLI | 26.00 | 1.34 | 23.82 | 0.35 | 9.51 | 0.12 | 8.87 | 0.14 | 8.49 | 0.25 | 91.38 | 1.00 |
| VEROIA | 9.00 | 1.18 | 7.42 | 1.03 | 3.01 | 0.47 | 1.94 | 0.46 | 2.54 | 0.30 | 33.13 | 5.41 |
References
- Polymerou-Kamilakis, A. The Culture of the Olive Tree (Mediterranean World); Elsevier: Amsterdam, The Netherlands, 2006; pp. 1–12. [Google Scholar]
- Roumpou, M.; Kilikoglou, V.; Suzanne Müller, N.; Kalogeropoulos, N. The use of olives and olive oil in the Aegean in antiquity. In Olive Oil in the Mediterranean Diet; Greek Lipid Forum: Athens, Greece, 2017. [Google Scholar]
- Talhaoui, N.; Taamalli, A.; Gómez-Caravaca, A.M.; Fernández-Gutiérrez, A.; Segura-Carretero, A. Phenolic compounds in olive leaves: Analytical determination, biotic and abiotic influence, and health benefits. Food Res. Int. 2015, 77, 92–108. [Google Scholar] [CrossRef]
- Panel on Dietetic Products, Nutrition and Allergies. Polyphenols in olive related health claims. EFSA J. 2011, 9, 2033. [Google Scholar] [CrossRef]
- Skaltsounis, A.-L.; Argyropoulou, A.; Aligiannis, N.; Xynos, N. Recovery of high added value compounds from olive tree products and olive processing byproducts. In Olive and Olive Oil Bioactive Constituents; Boskou, D., Ed.; Elsevier: Amsterdam, The Netherlands, 2015; pp. 333–356. [Google Scholar]
- Rahmanian, N.; Jafari, S.M.; Wani, T.A. Bioactive profile, dehydration, extraction and application of the bioactive components of olive leaves. Trends Food Sci. Technol. 2015, 42, 150–172. [Google Scholar] [CrossRef]
- Khan, M.Y.; Panchal, S.; Vyas, N.; Butani, A.; Kumar, V. Olea europaea: A phyto-pharmacological review. Pharmacogn. Rev. 2007, 1, 114–118. [Google Scholar]
- Hashmi, M.A.; Khan, A.; Hanif, M.; Farooq, U.; Perveen, S. Traditional uses, phytochemistry, and pharmacology of Olea europaea (olive). J. Evid. Based Complement. Altern. Med. 2015, 29, 1–29. [Google Scholar]
- Barbaro, B.; Toietta, G.; Maggio, R.; Arciello, M.; Tarocchi, M.; Galli, A.; Balsano, C. Effects of the olive-derived polyphenol oleuropein on human health. Int. J. Mol. Sci. 2014, 15, 18508–18524. [Google Scholar] [CrossRef]
- Lockyer, S.; Yaqoob, P.; Spencer, J.P.E.; Rowland, I. Olive leaf phenolics and cardiovascular risk reduction: Physiological effects and mechanisms of action. Nutr. Aging 2012, 1, 125–140. [Google Scholar]
- Tsimidou, M.Z.; Papoti, V.T. Bioactive Ingredients in olive leaves. In Olives and Olive Oil in Health and Disease Prevention; Preedy, V.R., Watson, R.R., Eds.; Academic Press: San Diego, CA, USA, 2010; pp. 349–356. [Google Scholar]
- Papoti, V.T.; Tsimidou, M.Z. Looking through the qualities of a fluorimetric assay for the total phenol content estimation in virgin olive oil, olive fruit or leaf polar extract. Food Chem. 2009, 112, 246–252. [Google Scholar] [CrossRef]
- Ilarioni, L.; Proietti, P. Olive tree cultivars. In The Extra Virgin Olive Oil Handbook; Peri, C., Ed.; Wiley: Hoboken, NJ, USA, 2014. [Google Scholar]
- Kostelenos, G. Elements of Olive Cultivation: History, Description, Distribution of Olive Cultivars in Greece; Embryo Publications: Athens, Greece, 2011; ISBN 9789609324793. [Google Scholar]
- International Olive Council (IOC). World Catalogue of Olive Varieties; IOC: Madrid, Spain, 2000. [Google Scholar]
- International Olive Council (IOC). Overview of the Olive and Olive Oil Sector Itemised by Country and Based on the Official Replies to IOC Questionnaires. Available online: http://www.internationaloliveoil.org/estaticos/view/136-country-profiles (accessed on 24 June 2018).
- Boskou, G. Antioxidant capacity and phenolic profile of table olives from the Greek market. In Olives and Olive Oil in Health and Disease Prevention; Watson, R.R., Ed.; Academic Press: San Diego, CA, USA, 2010; pp. 925–934. [Google Scholar]
- Brenes-Balbuena, M.; Garcia-Garcia, P.; Garrido-Fernandez, A. Phenolic compounds related to the black color formed during the processing of ripe olives. J. Agric. Food Chem. 1992, 40, 1192–1196. [Google Scholar] [CrossRef]
- Cvek, J.; Medić-Šarić, M.; Jasprica, I.; Zubčić, S.; Vitali, D.; Mornar, A.; Vedrina-Dragojević, I.; Tomić, S. Optimisation of an extraction procedure and chemical characterisation of Croatian propolis tinctures. Phytochem. Anal. 2007, 18, 451–459. [Google Scholar] [CrossRef]
- Nenadis, N.; Tsimidou, M. Observations on the estimation of scavenging activity of phenolic compounds using rapid 1,1-diphenyl-2-picrylhydrazyl (DPPH•) tests. J. Am. Oil Chem. Soc. 2002, 79, 1191–1195. [Google Scholar] [CrossRef]
- Benzie, I.F.F.; Strain, J.J. The ferric reducing ability of plasma (FRAP) as a measure of “antioxidant power”: The FRAP assay. Anal. Biochem. 1996, 239, 70–76. [Google Scholar] [CrossRef]
- Obied, H.K.; Allen, M.S.; Bedgood, D.R.; Prenzler, P.D.; Robards, K. Investigation of Australian olive mill waste for recovery of biophenols. J. Agric. Food Chem. 2005, 53, 9911–9920. [Google Scholar] [CrossRef]
- Goulas, V.; Papoti, V.T.; Exarchou, V.; Tsimidou, M.Z.; Gerothanassis, I.P. Contribution of flavonoids to the overall radical scavenging activity of olive (Olea europaea L.) leaf polar extracts. J. Agric. Food Chem. 2010, 58, 3303–3308. [Google Scholar] [CrossRef]
- Putnik, P.; Barba, F.J.; Španić, I.; Zorić, Z.; Dragović-Uzelac, V.; Bursać Kovačević, D. Green extraction approach for the recovery of polyphenols from Croatian olive leaves (Olea europea). Food Bioprod. Process. 2017, 106, 19–28. [Google Scholar] [CrossRef]
- Tsakona, S.; Galanakis, C.M.; Gekas, V. Hydro-ethanolic mixtures for the recovery of phenols from Mediterranean plant materials. Food Bioprocess Technol. 2012, 5, 1384–1393. [Google Scholar] [CrossRef]
- Goulas, V.; Manganaris, G. The effect of postharvest ripening on strawberry bioactive composition and antioxidant potential. J. Sci. Food Agric. 2011, 91, 1907–1914. [Google Scholar] [CrossRef]
- Bilgin, M.; Şahin, S. Effects of geographical origin and extraction methods on total phenolic yield of olive tree (Olea europaea) leaves. J. Taiwan Inst. Chem. Eng. 2013, 44, 8–12. [Google Scholar] [CrossRef]
- Boudhrioua, N.; Bahloul, N.; Ben Slimen, I.; Kechaou, N. Comparison on the total phenol contents and the color of fresh and infrared dried olive leaves. Ind. Crops Prod. 2009, 29, 412–419. [Google Scholar] [CrossRef]
- Şahin, S.; Şamlı, R. Optimization of olive leaf extract obtained by ultrasound-assisted extraction with response surface methodology. Ultrason. Sonochem. 2013, 20, 595–602. [Google Scholar] [CrossRef]
- Papoti, V.T. Exploitation of Bioactive Compounds for the Preparation of Dietary Supplements. The Case of Olea europaea L. Leaves. Ph.D. Thesis, Aristotle University of Thessaloniki, Thessaloniki, Greece, 2009. [Google Scholar]
- Singh, B.; Singh, J.P.; Kaur, A.; Singh, N. Phenolic composition and antioxidant potential of grain legume seeds: A review. Food Res. Int. 2017, 101, 1–16. [Google Scholar] [CrossRef]
- Wu, X.; Beecher, G.R.; Holden, J.M.; Haytowitz, D.B.; Gebhardt, S.E.; Prior, R.L. Lipophilic and hydrophilic antioxidant capacities of common foods in the united states. J. Agric. Food Chem. 2004, 52, 4026–4037. [Google Scholar] [CrossRef]
- Khiari, Z.; Makris, D.P.; Kefalas, P. An investigation on the recovery of antioxidant phenolics from onion solid wastes employing water/ethanol-based solvent systems. Food Bioprocess Technol. 2007, 2, 337–343. [Google Scholar] [CrossRef]
- Cacace, J.E.; Mazza, G. Optimization of extraction of anthocyanins from black currants with aqueous ethanol. J. Food Sci. 2003, 68, 240–248. [Google Scholar] [CrossRef]
- Dhawan, D.; Gupta, J. Comparison of different solvents for phytochemical extraction potential from datura metel plant leaves. Int. J. Biol. Chem. 2017, 11, 17–22. [Google Scholar]
- Julkunen-Tiitto, R.; Nenadis, N.; Neugart, S.; Robson, M.; Agati, G.; Vepsalainen, J.; Zipoli, G.; Nybakken, L.; Winkler, B.; Jansen, M.A.K. Assessing the response of plant flavonoids to UV radiation: An overview of appropriate techniques. Phytochem. Rev. 2015, 14, 273–297. [Google Scholar] [CrossRef]
- Papoti, V.T.; Xystouris, S.; Papagianni, G.; Tsimidou, M.Z. “Total flavonoid” content assessment via aluminum [Al(III)] complexation reactions. What we really measure? Ital. J. Food Sci. 2011, 23, 252–259. [Google Scholar]
- Sultana, B.; Anwar, F.; Ashraf, M. Effect of extraction solvent/technique on the antioxidant activity of selected medicinal plant extracts. Molecules 2009, 14, 2167–2180. [Google Scholar] [CrossRef]
- Musa Özcan, M.; Matthäus, B. A review: Benefit and bioactive properties of olive (Olea europaea L.) leaves. Eur. Food Res. Technol. 2016, 243, 89–99. [Google Scholar] [CrossRef]
- Xie, P.-J.; Huang, L.-X.; Zhang, C.-H.; Zhang, Y.-L. Phenolic compositions, and antioxidant performance of olive leaf and fruit (Olea europaea L.) extracts and their structure-activity relationships. J. Funct. Foods 2015, 16, 460–471. [Google Scholar] [CrossRef]
- Gullón, B.; Lú-Chau, T.A.; Moreira, M.T.; Lema, J.M.; Eibes, G. Rutin: A review on extraction, identification and purification methods, biological activities and approaches to enhance its bioavailability. Trends Food Sci. Technol. 2017, 67, 220–235. [Google Scholar] [CrossRef]
- Oroian, M.; Escriche, I. Antioxidants: Characterization, natural sources, extraction and analysis. Food Res. Int. 2015, 74, 10–36. [Google Scholar] [CrossRef]
- Cömert, E.D.; Gökmen, V. Evolution of food antioxidants as a core topic of food science for a century. Food Res. Int. 2018, 105, 76–93. [Google Scholar] [CrossRef]
- Papoti, V.T.; Kizaki, N.; Skaltsi, A.; Karayannakidis, P.D.; Papageorgiou, M. The phytochemical rich potential of acorn (Quercus aegilops) products and by products. Food Sci. Biotechnol. 2018, 27, 819–828. [Google Scholar] [CrossRef]
- Giuffrè, A.M. The evolution of free acidity and oxidation related parameters in olive oil during olive ripening from cultivars grown in the region of Calabria, South Italy. Emir. J. Food Agric. 2018, 30, 539–548. [Google Scholar]
- Manganaris, G.A.; Drogoudi, P.; Goulas, V.; Tanou, G.; Georgiadou, E.C.; Pantelidis, G.E.; Paschalidis, K.A.; Fotopoulos, V.; Manganaris, A. Deciphering the interplay among genotype, maturity stage and low-temperature storage on phytochemical composition and transcript levels of enzymatic antioxidants in Prunus persica fruit. Plant Physiol. Biochem. 2017, 119, 189–199. [Google Scholar] [CrossRef]
- Lubinska-Szczygieł, M.; Różańska, A.; Namieśnik, J.; Dymerski, T.; Shafreen, R.B.; Weisz, M.; Ezra, A.; Gorinstein, S. Quality of limes juices based on the aroma and antioxidant properties. Food Control 2018, 89, 270–279. [Google Scholar] [CrossRef]
- Thaipong, K.; Boonprakob, U.; Crosby, K.; Cisneros-Zevallos, L.; Hawkins Byrne, D. Comparison of ABTS, DPPH, FRAP, and ORAC assays for estimating antioxidant activity from guava fruit extracts. J. Food Compos. Anal. 2006, 19, 669–675. [Google Scholar] [CrossRef]
- Kiritsakis, K.; Kontominas, M.G.; Kontogiorgis, C.; Hadjipavlou-Litina, D.; Moustakas, A.; Kiritsakis, A. Composition and antioxidant activity of olive leaf extracts from Greek olive cultivars. J. Am. Oil Chem. Soc. 2010, 87, 369–376. [Google Scholar] [CrossRef]











| Cultivar | Use | Drupe Size | Location/Origin | Harvest Period | Particular Characteristics |
|---|---|---|---|---|---|
| Arbequina | Oil | Small | Spanish commercial cultivar, Globally known | Middle November–Middle December | Very productive; Resistant to cold; Moderately resistant to saline water, verticillium, & cycloconium; Suitable for super-high density planting linear cultivation systems |
| Asprolia | Ornamental | Small | Plant collections, Greece | Late November–Middle February | Average productive; Moderately resistant to cycloconium & cancer; Sensitive to cold |
| Atsilochou Ntopia | Oil | Small–medium | Central Peloponnese, Greece | November–December | Productive; Resistant to cold, winds & cancer; Moderately sensitive to olive fly & cycloconium; Suitable for high altitudes |
| Chrysophilli Epilogis | Ornamental | Small | East Africa, South Asia, Greece | November | Sensitive to cold. Sensitive to environments near sea; Resistant to dryness, winds, olive fly, cycloconium & cancer |
| Gigas Mastoeidis N.K. | Oil | Small–medium | East Peloponnese, Greece | Late November–Middle January | Productive when watered; Resistant to cold, cancer; Moderately resistant to cycloconium |
| Petrolia Serron | Oil Table Olives | Medium | Serres, Central & East Macedonia, Greece | Late November–Late December | Medium productive; Medium resistant to cold; Sensitive to olive fly & cycloconium |
| Pikrolia Corfu | Oil Ornamental | Medium | Corfu island, Greece | November–December | Low productivity; Resistant to poor soils, cold, cancer & cycloconium |
| Veroia Ntopia | Oil | Medium | Pieria mountains, Greece | November–December | Low productivity; Resistant to cold, snow & cycloconium |
© 2018 by the authors. Licensee MDPI, Basel, Switzerland. This article is an open access article distributed under the terms and conditions of the Creative Commons Attribution (CC BY) license (http://creativecommons.org/licenses/by/4.0/).
Share and Cite
Papoti, V.T.; Papageorgiou, M.; Dervisi, K.; Alexopoulos, E.; Apostolidis, K.; Petridis, D. Screening Olive Leaves from Unexploited Traditional Greek Cultivars for Their Phenolic Antioxidant Dynamic. Foods 2018, 7, 197. https://doi.org/10.3390/foods7120197
Papoti VT, Papageorgiou M, Dervisi K, Alexopoulos E, Apostolidis K, Petridis D. Screening Olive Leaves from Unexploited Traditional Greek Cultivars for Their Phenolic Antioxidant Dynamic. Foods. 2018; 7(12):197. https://doi.org/10.3390/foods7120197
Chicago/Turabian StylePapoti, Vassiliki T., Maria Papageorgiou, Konstantina Dervisi, Evangelos Alexopoulos, Konstantinos Apostolidis, and Dimitrios Petridis. 2018. "Screening Olive Leaves from Unexploited Traditional Greek Cultivars for Their Phenolic Antioxidant Dynamic" Foods 7, no. 12: 197. https://doi.org/10.3390/foods7120197
APA StylePapoti, V. T., Papageorgiou, M., Dervisi, K., Alexopoulos, E., Apostolidis, K., & Petridis, D. (2018). Screening Olive Leaves from Unexploited Traditional Greek Cultivars for Their Phenolic Antioxidant Dynamic. Foods, 7(12), 197. https://doi.org/10.3390/foods7120197

