Diffusion Profiles of Health Beneficial Components from Goji Berry (Lyceum barbarum) Marinated in Alcohol and Their Antioxidant Capacities as Affected by Alcohol Concentration and Steeping Time
Abstract
:1. Introduction
2. Materials and Methods
2.1. Food Materials and Chemicals
2.2. Sample Preparation
2.3. Determination of Betaine
2.4. Determination of β-Carotene
2.5. Determination of Phenolic Compounds
2.5.1. Determination of Total Phenolic Content (TPC)
2.5.2. Determination of Total Flavonoid Content (TFC)
2.6. Antioxidant Capacity Measurement
2.6.1. In Vitro DPPH Free Radical Scavenging Capacity Analysis
2.6.2. The Ferric Reducing Antioxidant Power (FRAP) Assay
2.7. Statistical Analysis
3. Results and Discussion
3.1. Betaine Content in Goji Wine

3.2. β-Carotene Content in Goji Wine

3.3. Phenolic Compound Content in Goji Wine
3.3.1. Total Phenolic Content in Goji Wine

3.3.2. Total Flavonoid Content in Goji Wine
3.4. Antioxidant Capacity of Goji Wine
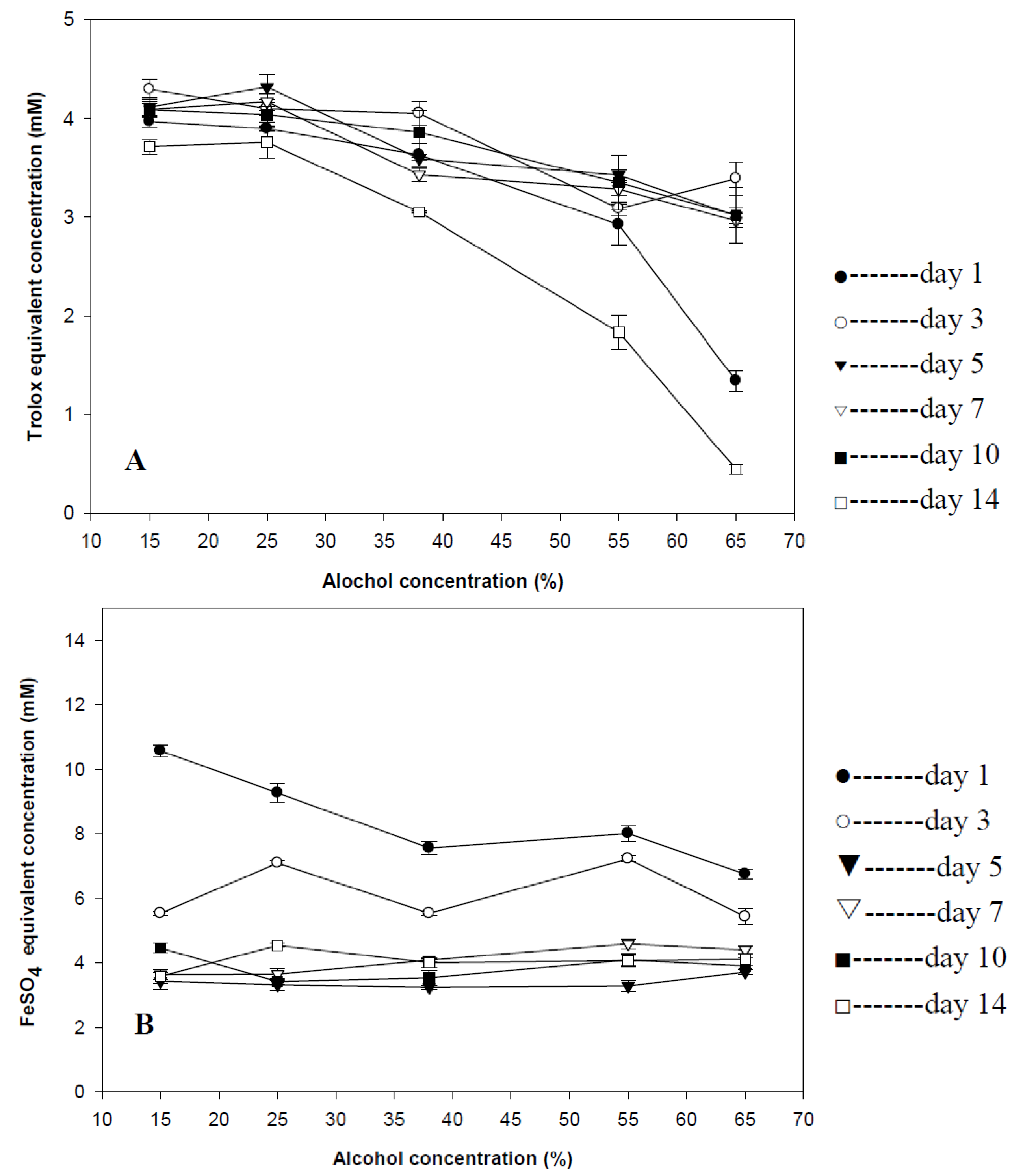
3.4.1. DPPH Free Radical Scavenging Capacity of Goji Wine

3.4.2. Ferric Reducing Antioxidant Power of Goji Wine
4. Conclusions
Acknowledgements
References
- Gan, L.; Zhang, S.H.; Yang, X.L.; Xu, H.B. Immunomodulation andantitumor activity by apolysaccharide-protein complex from Lycium barbarum. Int. Immunopharmacol. 2004, 4, 563–569. [Google Scholar] [CrossRef]
- Ha, K.T.; Yoon, S.J.; Choi, J.Y.; Kim, D.W.; Kim, J.K.; Kim, C.H. Protective effect of Lycium Chinese fruit on carbon tetrachloride-induced hepatotoxicity. J. Ethnopharmacol. 2005, 96, 529–535. [Google Scholar] [CrossRef]
- Mansson, P. Eat well, drink wisely, live longer. Wine Spectator 2011, 32. [Google Scholar] [Green Version]
- Song, Z.; Zhou, Z.; Deaciuc, I.; Chen, T.; McClain, C.J. Inhibition of adiponectin production by homocysteine: A potential mechanism for alcoholic liver disease. Hepatology 2008, 47, 867–879. [Google Scholar] [CrossRef]
- Stampfer, M.J.; Malinow, M.R. Can lowering homocysteine levels reduce cardiovascular risk? N. Engl. J. Med. 1995, 332, 328–329. [Google Scholar] [CrossRef]
- Zhu, G.H.; Yang, G.W.; Chen, X.G. Spectrophotometry for determination of betaine in Fructus lysii semi-finished drinkables. Chem. Res. Appl. 1998, 4, 433–435, in Chinese.. [Google Scholar]
- Lam, K.W.; But, P. The content of zeaxanthin in Gou Qi Zi, a potential health benefit to improve visial acuity. Food Chem. 1999, 67, 173–176. [Google Scholar] [CrossRef]
- Qian, J.Y.; Liu, D.; Huang, A.-G. The efficiency of flavonoids in polar extracts of Lycium chinense Mill fruits as free radical scavenger. Food Chem. 2004, 87, 283–288. [Google Scholar] [CrossRef]
- Peng, G.; Li, Z.; Zhang, S. Separation and determination of carotenoids in Fructus lycii by isocratic non-aqueous reversed-phase liquid chromatography. Acta Nutr. Sin. 1998, 20, 76–78, in Chinese.. [Google Scholar]
- Kohlmeier, L.; Hastings, S.B. Epidemiologic evidence of a role ofcarotenoids in cardiovascular disease prevention. Am. J. Clin. Nutr. 1995, 62, 1370–1376. [Google Scholar]
- Fraser, P.D.; Bramley, P.M. The biosynthesis and nutritional uses ofcarotenoids. Prog. Lipid Res. 2004, 43, 228–265. [Google Scholar] [CrossRef]
- Breithaupt, D.E.; Weller, P.; Wolters, M.; Hahn, A. Comparison of plasma responses in human subjects after the ingestion of 3R,3R′-zeaxanthin dipalmitate from wolfberry (Lycium barbarum) and non-esterified 3R,3R′-zeaxanthin using chiral high-performance liquid chromatography. Br. J. Nutr. 2004, 91, 707–713. [Google Scholar] [CrossRef]
- Liu, D.; Shi, J.; Ibarra, A.C.; Kakuda, Y.; Xue, S.J. The scavenging capacity and synergistic effects of lycopene, vitamin E, vitamin C, and β-carotene mixtures on the DPPH free radical. LWT Food Sci. Technol. 2008, 41, 1344–1359. [Google Scholar] [CrossRef]
- Xu, B.J.; Chang, S.K. A comparative study on phenolic profiles and antioxidantactivities of legumes as affected by extraction solvents. J. Food Sci. 2007, 72, S159–S166. [Google Scholar] [CrossRef]
- Xu, B.J.; Yuan, S.H.; Chang, S.K. Comparative analyses of phenolic compositionantioxidant capacity and color of cool season legumes and other selected food legumes. J. Food Sci. 2007, 72, 167–177. [Google Scholar] [CrossRef]
- Chen, C.W.; Ho, C.T. Antioxidant properties of polyphenols extracted from green and black teas. J. Food Lipids 1995, 2, 35–46. [Google Scholar]
- Makris, D.P.; Kallithraka, S.; Kefalas, P. Flavonols in grapes, grape products and wines: Burden, profile and influential parameters. J. Food Compos. Anal. 2006, 19, 396–404. [Google Scholar] [CrossRef]
- Georgé, S.; Tourniaire, F.; Gautier, H.; Goupy, E.; Rock, E.; Caris-Veyrat, C. Changes in the contents of carotenoids, phenolic compounds and vitamin C during technical processing and lyophilisation of red and yellow tomatoes. Food Chem. 2011, 124, 1603–1611. [Google Scholar] [CrossRef]
- Singleton, V.L.; Rossi, J.A. Colorimetry of total phenolic with phosphomolybdic-phosphotungstic acid reagents. Am. J. Enol. Vitic. 1965, 16, 144–158. [Google Scholar]
- Benzie, I.F.; Strain, J.J. The ferric reducing ability of plasma (FRAP) as a measure of “antioxidant power”: The FRAP assay. Anal. Biochem. 1996, 239, 70–76. [Google Scholar] [CrossRef]
- Li, Z.; Peng, G.; Chen, L.; Zhang, S. Determination of beta-carotene in Fructus lycii by nonaqueous reversed-phase high performance liquid chormatography. Se Pu 1997, 15, 537–538. [Google Scholar]
© 2013 by the authors; licensee MDPI, Basel, Switzerland. This article is an open access article distributed under the terms and conditions of the Creative Commons Attribution license (http://creativecommons.org/licenses/by/3.0/).
Share and Cite
Song, Y.; Xu, B. Diffusion Profiles of Health Beneficial Components from Goji Berry (Lyceum barbarum) Marinated in Alcohol and Their Antioxidant Capacities as Affected by Alcohol Concentration and Steeping Time. Foods 2013, 2, 32-42. https://doi.org/10.3390/foods2010032
Song Y, Xu B. Diffusion Profiles of Health Beneficial Components from Goji Berry (Lyceum barbarum) Marinated in Alcohol and Their Antioxidant Capacities as Affected by Alcohol Concentration and Steeping Time. Foods. 2013; 2(1):32-42. https://doi.org/10.3390/foods2010032
Chicago/Turabian StyleSong, Yang, and Baojun Xu. 2013. "Diffusion Profiles of Health Beneficial Components from Goji Berry (Lyceum barbarum) Marinated in Alcohol and Their Antioxidant Capacities as Affected by Alcohol Concentration and Steeping Time" Foods 2, no. 1: 32-42. https://doi.org/10.3390/foods2010032
APA StyleSong, Y., & Xu, B. (2013). Diffusion Profiles of Health Beneficial Components from Goji Berry (Lyceum barbarum) Marinated in Alcohol and Their Antioxidant Capacities as Affected by Alcohol Concentration and Steeping Time. Foods, 2(1), 32-42. https://doi.org/10.3390/foods2010032

