Next Article in Journal
Innovative Systems Biology in Baijiu Fermentation: Unveiling Omics Landscapes and Microbial Synergy
Previous Article in Journal
Dynamic pH-Responsive Labeling System Based on Polyvinyl Alcohol/Arabinoxylan Nanofibers Incorporating Purple Cabbage Anthocyanins for Real-Time Food Freshness Monitoring
 
 
Font Type:
Arial Georgia Verdana
Font Size:
Aa Aa Aa
Line Spacing:
Column Width:
Background:
Article

Yongchun Aged Vinegar Powder: Preparation, Characterization, and Effects on Sodium Oleate-Induced Steatosis in HepG2 Cells

College of Food Science, Fujian Agriculture and Forestry University, Fuzhou 350002, China
*
Authors to whom correspondence should be addressed.
These authors contributed equally to this work.
Current address: Hangzhou EXPECLIN Medical Technology Co., Ltd., Hangzhou 311305, China.
Foods 2026, 15(5), 869; https://doi.org/10.3390/foods15050869
Submission received: 30 December 2025 / Revised: 25 February 2026 / Accepted: 2 March 2026 / Published: 4 March 2026
(This article belongs to the Section Nutraceuticals, Functional Foods, and Novel Foods)

Abstract

Hyperlipidemia is a metabolic disease of significant current concern. Research has demonstrated that hyperlipidemia is a primary risk factor for cardiovascular disease (CVD). Furthermore, hyperlipidemia significantly increases the risk of intracellular lipid peroxidation, which further contributes to the development of CVD. Dietary bioactive interventions, including polysaccharides, polyphenols, and organic acids, have demonstrated significant potential in regulating lipid metabolism and preventing chronic diseases. This study investigated the hypoglycemic effects of Yongchun aged vinegar powder (YAVP) using an in vitro model. Considering that the bioactivity of dietary components is influenced by gastrointestinal transit, YAVP was first underwent simulated gastric and intestinal digestion in vitro. The resulting digests were applied to a sodium oleate-induced high-fat HepG2 cell model. The results demonstrated that digested YAVP significantly inhibited intracellular lipid accumulation in a dose-dependent manner. Specifically, YAVP intervention substantially lowered concentrations of total cholesterol (TC), triglycerides (TG), and low-density lipoprotein cholesterol (LDL-C), while simultaneously elevating high-density lipoprotein cholesterol (HDL-C) levels relative to the model group. These findings suggest that YAVP retains its bioactivity after simulated digestion and exerts potent hypoglycemic effects by regulating lipid profiles in HepG2 cells, supporting its potential as a functional dietary supplement for lipid management.

Graphical Abstract

1. Introduction

Hyperlipidemia and atherosclerosis are currently leading causes of cardiovascular disease (CVD) and mortality in both developed and developing nations [1]. Hyperlipidemia is a metabolic disease of significant current concern, typically classified into three types: hypercholesterolemia, hypertriglyceridemia, and mixed hyperlipidemia. Research has demonstrated that hyperlipidemia is a primary risk factor for CVD. Furthermore, hyperlipidemia significantly increases the risk of intracellular lipid peroxidation, which further contributes to the development of CVD. Although hyperlipidemia has numerous etiologies, the correction of dietary habits combined with effective nutritional intervention can potentially assist in regulating blood lipids, thereby reducing the risk of CVD [2]. Therefore, it is of great significance to focus on common foods possessing antioxidant and lipid-regulating properties, such as vinegar and red yeast rice. Deregulated lipid metabolism is characterized by elevated levels of triglycerides (TG), total cholesterol (TC), and low-density lipoprotein cholesterol (LDL-C), along with reduced high-density lipoprotein cholesterol (HDL-C). Dietary bioactive interventions, including polysaccharides, polyphenols, and organic acids, have demonstrated significant potential in regulating key enzymes involved in lipid synthesis, thereby playing an important role in the prevention and management of hyperlipidemia [3]. Based on those principles, various functional food products are designed in recent years. For example, fruit vinegar exhibits hyperlipidemia and weight-reducing effects [1,3]; fermented products rich in lactic acid bacteria have been extensively studied for their cholesterol—lowering properties [4]; red yeast rice can lower cholesterol levels and has been used as an alternative therapy for hyperlipidemia [5].
Yongchun aged vinegar (YAV), one of China’s four renowned traditional vinegars, is renowned for its rich bioactive composition, including organic acids, amino acids, and ligustrazine (Tetramethylpyrazine). These components have been reported to possess antioxidant, antihypertensive, and hyperlipidemia properties [5]. Existing studies have demonstrated that vinegar is effective in the treatment of hypertension, diabetes, and cancer. In attenuating hypertension, Kondo et al. [6] reported that acetic acid enhances vasodilation by inhibiting the potent vasoconstrictor angiotensin II. Yukon et al. [7] found that an aqueous extract of napa palm vinegar (NPV) significantly raised serum insulin levels by enhancing its production in beta-cells, thereby alleviating insulin resistance in diabetic subjects. Additionally, Budak et al. [8] reviewed that treatment with Kurosu, a Japanese black vinegar made from unpolished rice, inhibited proliferation in various cancer cell lines, including colon, lung, breast, bladder, and prostate carcinomas. Furthermore, studies utilizing HepG2 cell models have shown that bioactive interventions can effectively inhibit palmitate or sodium oleate-induced lipid accumulation [9,10].
However, liquid vinegar presents challenges regarding storage, transportation, and consumption convenience [11]. There are many dehydration technologies for drying products, including spray drying, freeze drying, drum drying, and vacuum drying. Each method has its unique advantages and is selected based on the specific properties of the material and the desired characteristics of the final product. For example, spray drying is widely used for its ability to produce fine, free-flowing powders with good solubility [12]. On the other hand, freeze drying preserves the structure and bioactivity of delicate compounds through sublimation under low temperature and vacuum conditions. Drying significantly extends the shelf life of products by reducing water activity, thereby inhibiting microbial growth and enzymatic degradation. In addition, dried functional ingredients (such as vinegar powder) are more stable and less prone to oxidation. This stability makes them easy to add to various food matrices, including baked goods, breakfast cereals, and dietary supplements. For instance, vinegar powder can be microencapsulated to mask its strong flavor and improve its dispersibility in beverages [13], or used as a seasoning in instant noodle seasoning packets. To address this, solid vinegar powder has been developed through spray drying or freeze-drying processes. This processing method aims to concentrate bio-active compounds such as ligustrazine, lovastatin, and γ-amino butyric acid (GABA) [14].
Despite the potential benefits, the transformation from liquid to powder may alter the chemical profile. Furthermore, the in vivo efficacy of dietary functional foods is heavily dependent on their stability during gastrointestinal digestion. Most existing studies focus on the raw material, overlooking the bioaccessibility of active ingredients after digestion. Therefore, this study aimed to investigate the effects of YAVP on cellular lipid metabolism. We first characterized the chemical differences between liquid YAV and YAVP. Subsequently, YAVP was subjected to simulated in vitro gastrointestinal digestion to mimic physiological conditions [15]. The lipid-lowering activity of the digested YAVP was then evaluated using a sodium oleate-induced high-fat HepG2 cell model [16].

2. Materials and Methods

2.1. Materials and Reagents

Yongchun aged vinegar was provided by Fujian Yongchun Taoxi Aged Vinegar Co., Ltd. (Quanzhou, China). Maltodextrin and Rosa roxburghii polysaccharides (food grade) were purchased from Zhengzhou Yingbo Biological Technology Co., Ltd. (Zhengzhou, China) and Shanxi Baichuan Kangze Biological Technology Co., Ltd. (Xi’an, China), respectively. Analytical grade chemicals, including copper sulfate, Coomassie brilliant blue, and formaldehyde, were obtained from Shanghai Yien Chemical Technology Co., Ltd. (Shanghai, China). Enzymes for vinegar processing (R.B1L glycosidase and R.CL glycosidase) were purchased from AB Enzymes (Darmstadt, Germany). Pepsin (from porcine gastric mucosa) and Pancreatin (from porcine pancreas) for simulated digestion were purchased from Sigma-Aldrich (St. Louis, MO, USA). Tris and other common laboratory reagents were of analytical grade.

2.2. Preparation and Characterization of Vinegar Powder

YAVP was prepared via spray drying [1]. The technological flow chart of vinegar powder preparation is shown in Figure 1. During the vacuum concentration of vinegar, the addition of equal amounts of glycosidases R.B1L and R.CL followed by enzymatic hydrolysis resulted in a significant decrease in the viscosity of the concentrated vinegar and a significant increase in the yield of vinegar powder. Single-factor experiments and an L9 (34) orthogonal test were conducted to optimize four variables: feed concentration, inlet temperature, feed rate, and Rosa roxburghii polysaccharide addition. The optimal spray drying conditions were determined to be a feed concentration of 15%, a feed rate of 3.9 mL/min, an inlet temperature of 160 °C, and a Rosa roxburghii polysaccharide addition of 5%. Under these conditions, the vinegar powder yield was 62.64%, and the moisture content was 10.17% [17]. The yield of vinegar powder was calculated using Equation (1):
Vinegar   powder   yield = M 1 M 2 × W 1 × 100 %
where M 1 is the mass of collected vinegar powder (g), M 2 is the mass of liquid vinegar used (g), and W 1 Is the dry matter content of the liquid vinegar (%).
The physicochemical properties were determined, including soluble solid content, moisture, reducing sugars, and total acids. Amino acid nitrogen was determined according to the National Food Safety Standard GB 5009.235-2016 [18]. Functional components were quantified using High-Performance Liquid Chromatography (HPLC) [19]. Specifically, lovastatin was determined following the method by Zhang et al. [20], ligustrazine (tetramethylpyrazine) was detected according to Chen et al. [21], and γ-amino butyric acid (GABA) was analyzed based on the method described by Zhang et al. [22].

2.3. Simulated In Vitro Digestion

Simulated human upper gastrointestinal digestion was performed according to the method described by Minekus et al. [15]. A solution of functional aged vinegar powder (2 g/mL) was prepared immediately prior to digestion. The oral phase was omitted because the liquid nature of the vinegar powder solution results in a negligible residence time in the oral cavity. For the simulated gastric phase, 1 mL of the functional aged vinegar powder solution was mixed with 4 mL of gastric fluid electrolyte (GFE), 7.5 μL of 0.03 M CaCl2, and 0.25 mL of pepsin (30,000 U/mL GFE). The pH was adjusted to 3.0 using 3 M HCl. The mixture was brought to a final volume of 10 mL with HCl (pH 3.0) and incubated at 37 °C for 2 h. For the simulated intestinal phase, the gastric digesta was mixed with 10 mL of intestinal fluid electrolyte (IFE), 0.375 mL of bile salts (160 mm), 0.06 mL of 0.03 M CaCl2, and 0.5 mL of pancreatin (trypsin activity 600 TAME U/mL IFE). The pH was adjusted to 7.0 using 5 M NaOH. The mixture was adjusted to a volume of 20 mL with Milli-Q water (pH 7.0) and incubated at 37 °C for 2 h. The resulting digested functional aged vinegar powder (VP) was immediately quenched in liquid nitrogen and stored at −70 °C. The digested functional red yeast rice vinegar was obtained using the same procedure. The compositions of GFE and IFE were consistent with those reported by Minekus et al. [15].

2.4. Cell Culture and Establishment of High-Fat Model

2.4.1. Preparation of Complete Medium

The complete culture medium was prepared by mixing 90% high-glucose DMEM, 10% fetal bovine serum (FBS), and 1% penicillin-streptomycin solution.

2.4.2. Cell Thawing and Culture

Frozen cells were removed from liquid nitrogen and rapidly thawed in a 37 °C water bath with gentle agitation. The cell suspension was transferred to a 1.5 mL centrifuge tube and centrifuged at 1000 r/min for 4 min. The supernatant was discarded, and the cell pellet was resuspended in 2 mL of complete medium by gentle pipetting. The suspension was then transferred to a cell culture dish containing an additional 3 mL of complete medium. The dish was gently shaken to distribute the cells evenly and incubated at 37 °C in a humidified atmosphere with 5% CO2. The medium was replaced the following day, and cell growth was monitored and recorded daily.

2.4.3. Cell Passaging

Cell growth was observed under a microscope. When the cells reached 80–90% confluence, the culture medium was discarded, and the cells were washed once with phosphate-buffered saline (PBS). The cells were then digested with 0.25% trypsin-EDTA. Digestion was monitored under the microscope; once the cells retracted and intercellular spaces became visible, complete medium was added to neutralize the trypsin and terminate digestion. The cells were detached by gentle pipetting, transferred to a 1 mL centrifuge tube, and centrifuged at 1000 r/min for 5 min. After discarding the supernatant, the cells were resuspended in 1 mL of fresh complete medium for subsequent passaging and experiments [16].

2.4.4. Establishment of High-Fat Cell Model

A high-fat cell model was established using sodium oleate treatment. Confluent cells were trypsinized to obtain a single-cell suspension and seeded into the culture plates required for the experiment. When the cells reached the logarithmic growth phase, they were treated with a 500 μmol/L sodium oleate solution for 48 h to induce lipid accumulation.

2.5. Determination of Lipid Content

Intracellular lipid accumulation was observed and quantified via Oil Red O staining [23]. The levels of intracellular Total Cholesterol (TC), Triglycerides (TG), High-Density Lipoprotein Cholesterol (HDL-C), and Low-Density Lipoprotein Cholesterol (LDL-C) were determined using commercially available enzymatic assay kits in accordance with the manufacturer’s protocols.

2.5.1. Cell Viability Assay

The preparation of model solutions was as follows: a 12 mmol/L sodium oleate stock solution was diluted with complete medium to obtain concentrations of 300, 400, 500, 600, and 800 μmol/L. The preparation of sample solutions involved diluting a 100 mg/mL digest solution with complete medium to obtain concentrations of 10, 50, 100, 200, and 500 μg/mL.
Cell growth was observed under a microscope. When the cells reached 70–80% confluence, they were digested with 0.25% trypsin-EDTA, resuspended in 5 mL of complete medium, and pipetted 50 times to ensure a uniform suspension. Cells were counted using a hemocytometer and seeded into 96-well plates at a density of 5–10 × 104 cell/mL (100 μL per well) [24]. After adherence for 24 h in a 5% CO2 incubator, the medium was removed, and 100 μL of serum-free high-glucose DMEM was added for 6 h of starvation. Subsequently, the medium was replaced with 100 μL of model solution or sample solution for continued culture, while the control group received only complete medium. At 6, 12, 24, 36, and 48 h, 10 μL of CCK-8 reagent was added to each well, including the blank group, without removing the culture medium. The absorbance was measured at 450 nm using a microplate reader, ensuring no air bubbles were present during the procedure. Cell viability was calculated using Equation (2):
C e l l   V i a b i l i t y   ( % ) = A s A b A c A b × 100 %
where A s is the absorbance of the experimental well (containing cells, medium, CCK-8, and test substance), A c is the absorbance of the control well (containing cells, medium, CCK-8, without test substance), and A b is the absorbance of the blank well (containing medium and CCK-8, without cells).

2.5.2. Determination of Intracellular Lipid Content

When cells reached over 90% confluence, they were digested with 0.25% trypsin-EDTA, counted, and seeded into 96-well plates at a density of 1 × 104 cells/mL (200 μL per well). After 24 h of culture, the medium was replaced. The control group received high-glucose DMEM with 10% FBS, while the experimental group was treated with five appropriate concentrations of the modeling agent (determined based on the results from Section 2.5) within the non-cytotoxic range. After an additional 24 or 48 h, the medium was discarded. Intracellular lipid content was determined using an Oil Red O staining kit. Cells were gently washed twice with PBS, fixed with 4% paraformaldehyde for 10 min at room temperature, and rinsed twice with PBS. A staining wash solution (100 μL) was added for 5 min, then removed. Oil Red O working solution (100 μL) was added to each well for 10–20 min. The stain was removed, and cells were immediately washed four times with double-distilled water to terminate staining. Lipid droplets were observed under a microscope. After air-drying, 200 μL of 100% isopropanol was added to each well and gently shaken for 10–15 min to dissolve the dye. Absorbance was measured at 490 nm using a microplate reader. Lipid content was calculated using Equation (3):
L i p i d   C o n t e n t   ( % ) = A c A b A d A b × 100 %
where A c is the absorbance of the experimental well (containing cells, medium, and treatment), A d is the absorbance of the control well (containing cells, medium, without treatment), and A b is the absorbance of the blank well (containing only complete medium).

2.5.3. Oil Red O and Hematoxylin Staining

After sample treatment, HepG2 cells were washed twice with PBS and fixed with 4% paraformaldehyde for 10 min at room temperature. The fixative was removed, and cells were stained using an Oil Red O staining kit. After removing the Oil Red O solution, cells were rinsed twice with PBS and counterstained with hematoxylin for 2 min to visualize nuclei. Cells were rinsed with water until nuclei turned blue, and an appropriate amount of PBS (e.g., 1 mL for a 6-well plate) was added. Images were captured using an inverted fluorescence microscope (XDS-1B, Chongqing Optoelectronics, Chongqing, China) [24].

2.5.4. Determination of Intracellular Substance Content

HepG2 cells were seeded into 12-well plates at a density of 1 × 105 cells/mL and cultured for 24 h. After 6 h of starvation, cells were treated with sodium oleate (SO) solution (concentration determined based on Section 2.6 results) for 24 h to induce steatosis. The SO solution was then replaced with vinegar powder (VP) solution (concentration determined based on Section 3.3 results) in the culture medium for another 24 h. Cells were harvested, and the contents of triglycerides (TG), total cholesterol (TC), high-density lipoprotein cholesterol (HDL-C), and low-density lipoprotein cholesterol (LDL-C) were measured using commercial kits according to the manufacturer’s instructions. Protein concentration in the lysates was determined using a BCA protein assay kit. Intracellular levels of TC, TG, HDL-C, and LDL-C were normalized to protein concentration to assess average lipid levels.

2.6. Statistical Analysis

Data are expressed as mean ± standard deviation (SD). Statistical analyses were conducted using SPSS 23.0 software (IBM, Armonk, NY, USA). Intragroup differences were assessed by one-way analysis of variance (ANOVA), followed by Duncan’s multiple range test for post doc comparisons. A p-value of less than 0.05 was considered indicative of statistical significance.

3. Results and Discussion

3.1. Comparative Analysis of Physicochemical Properties and Functional Components

The transformation from liquid vinegar to solid powder induced distinct changes in the chemical profile. As illustrated in the HPLC chromatograms (Figure 2), the qualitative composition of organic acids remained consistent, but quantitative shifts were observed. The detailed comparison in Table 1 indicates that the total organic acid content in YAVP decreased compared to the original liquid vinegar. This reduction is primarily attributed to the loss of volatile acids, such as acetic acid, during the spray-drying process. Conversely, non-volatile organic acids, particularly lactic acid, were effectively retained and enriched (p < 0.05). Vinegar has been widely applied as a main ingredient in many (functional) food products. Vinegar powder is a new addition to the vinegar product family. It preserves the original nutritional and functional properties of vinegar while reducing its pungent odor, and offers the advantage of convenient portability and transportation. Currently available vinegar powders include fruit vinegar powder, aged vinegar powder (made from Shanxi aged vinegar), and aromatic vinegar powder (made from Jiangsu-Zhejiang aromatic vinegar).
Crucially, the powdering process enriched bioactive compounds such as ligustrazine, GABA, and lovastatin. Ligustrazine (Tetramethylpyrazine) is a well-known vasoactive agent that improves microcirculation and inhibits platelet aggregation. GABA has been widely reported to possess antihypertensive and tranquilizing effects. Lovastatin acts as a potent inhibitor targeting HMG-CoA reductase, which is the rate-limiting enzyme in the cholesterol biosynthesis pathway [25,26]. The enrichment of these compounds likely works synergistically to produce the observed lipid-lowering effects.
In terms of nutritional and functional components, YAVP demonstrated a significant concentration effect (Figure 3). The contents of reducing sugars, amino acid nitrogen, protein, and total flavonoids in YAVP were significantly higher than those in functional aged vinegar. Most notably, specific bioactive compounds were markedly enriched: the content of γ-amino butyric acid (GABA) increased by over 5-fold, lovastatin (Monacolin K) increased by nearly 2-fold, and ligustrazine (Tetramethylpyrazine) increased by approximately 10-fold. These findings suggest that the encapsulation and drying process successfully concentrated these high-value functional ingredients. Vinegar powder offers significant logistical advantages over liquid vinegar during storage and transportation. It also addresses the drawbacks of traditional vinegar, such as excessively high acetic acid content and low concentrations of functional active components. Furthermore, vinegar powder serves as a novel composite souring agent, enhancing flavor and stimulating appetite [11]. As early as 1969, Noznick et al. [12] obtained a U.S. patent for spray-drying vinegar powder. Zhu Chongyang et al. [13] investigated spray-drying processes for Zhenjiang aromatic vinegar powder using maltodextrin as a drying aid; Tian Jingjing et al. [14] prepared vinegar powder with 5% β-cyclodextrin as an encapsulant; Zhang Jiangning et al. [23] prepared vinegar powder primarily from red yeast rice vinegar; Chen Jicheng et al. [19] discovered in animal experiments that black vinegar powder exerts auxiliary lipid-lowering effects by regulating lipid metabolism and inhibiting lipase activity. For Yongchun Old Vinegar, only conventional liquid vinegar is currently available on the market, with no other product forms. This research will effectively fill this gap, providing support for the development of Fujian’s vinegar industry.

3.2. Amino Acid Composition and Flavor Profile Analysis

Amino acids serve as essential factors influencing both the nutritional quality and sensory attributes of vinegar. As illustrated in Figure 4, the total free amino acid content in YAVP was markedly greater compared to that in liquid vinegar. To assess the specific contribution of individual amino acids to the overall flavor profile, Taste Activity Values (TAV) were determined (Table 2) [27]. A TAV exceeding 1 suggests that the compound plays a significant role in taste perception. It has been investigated that amino acids in vinegar play key role in adjust the flavor. Compared to factory-fermented vinegar, commercially available Yongchun aged vinegar has relatively lower total amino acid content, likely due to dilution during commercial production. For ordinary aged vinegar at different fermentation stages, total amino acid content increases initially and then stabilizes as aging time increases. During this increase phase, the proportion of different amino acids within the same fermentation stage remains largely unchanged. During the transition from new vinegar to one-year-old vinegar, the total amino acid content decreases. This occurs because newly fermented vinegar is blended with one-year-old vinegar during this period, leading to changes in microbial content. However, as aging time increases, microbial levels stabilize, and amino acid content gradually stabilizes as well. During the fermentation of ordinary aged vinegar, histidine and tyrosine do not appear during the alcoholic fermentation stage but emerge during the acetic fermentation stage. This is related to the fermentation environment (pH value and microbial species). Functional aged vinegar exhibits significantly higher total amino acid content than Yongchun aged vinegarwith distinct amino acid types and proportions.
The analysis revealed a shift towards a more palatable flavor profile in YAVP. The TAV of Glutamic acid (Glu), a key contributor to umami taste, increased from 5.11 in the liquid vinegar to 9.93 in the powder. Similarly, the TAV of Alanine (Ala), which contributes to sweetness, rose substantially from 0.69 to 9.10. Although the content of bitter amino acids such as Arginine (Arg) also increased, the profound enhancement of umami and sweet amino acids, coupled with the reduction in sharp volatile acids, suggests that YAVP possesses a milder, mellower, and more balanced sensory profile compared to the pungent acidity of traditional liquid vinegar [27].
From the perspective of amino acid taste categories, bitter amino acids are the most diverse. However, due to their high threshold and low content, they have a minimal impact on vinegar flavor. Sweet and umami amino acids are the primary contributors to taste. Generally, an amino acid is considered to contribute to vinegar flavor if its TAV value exceeds 1. The primary flavor-contributing amino acids in regular aged vinegar are glutamine acid (umami amino acid, 0.18–1.62), alanine (umami amino acid 0.45–1.16), threonine (sweet amino acid 0.92–1.38), and isoleucine (bitter amino acid 0.82–1.03). The first three exhibit high flavor intensity, which enhances the umami profile of Yongchun vinegar. The primary flavor-contributing amino acids in functional aged vinegar are glutamine acid (umami amino acid 5.11), leucine (bitter amino acid 2.38), and histidine (bitter amino acid 3.62). The high intensity of glutamine acid contributes to the pronounced umami flavor in functional red yeast rice vinegar. Additionally, the higher levels of sweet amino acids in aged vinegar help balance excessive acidity, thereby enhancing the overall flavor profile.
As shown in Table 3, the proportion of essential amino acids (EAA) in vinegar powder was 40.37%, and the ratio of EAA to non-essential amino acids (NEAA) was 67.71%. According to the ideal protein standard established by WHO/FAO, the recommended values are EAA/TAA = 40% and EAA/NEAA = 60% [28]. The amino acid composition of YAVP met and slightly exceeded these standards, indicating that the vinegar powder possesses favorable nutritional quality and protein balance.
The processing of vinegar into powder resulted in a unique chemical profile. While the loss of volatile organic acids (mainly acetic acid) was observed, this change actually contributed to a sensory advantage. The sharp, pungent odor of liquid vinegar was reduced, while the enrichment of non-volatile lactic acid and specific amino acids (Glu and Ala) significantly enhanced the umami and sweet taste profiles (TAV > 1). This suggests that YAVP may have broader consumer acceptance as a functional food ingredient compared to liquid vinegar.

3.3. Cell Viability and Establishment of the High-Fat Model

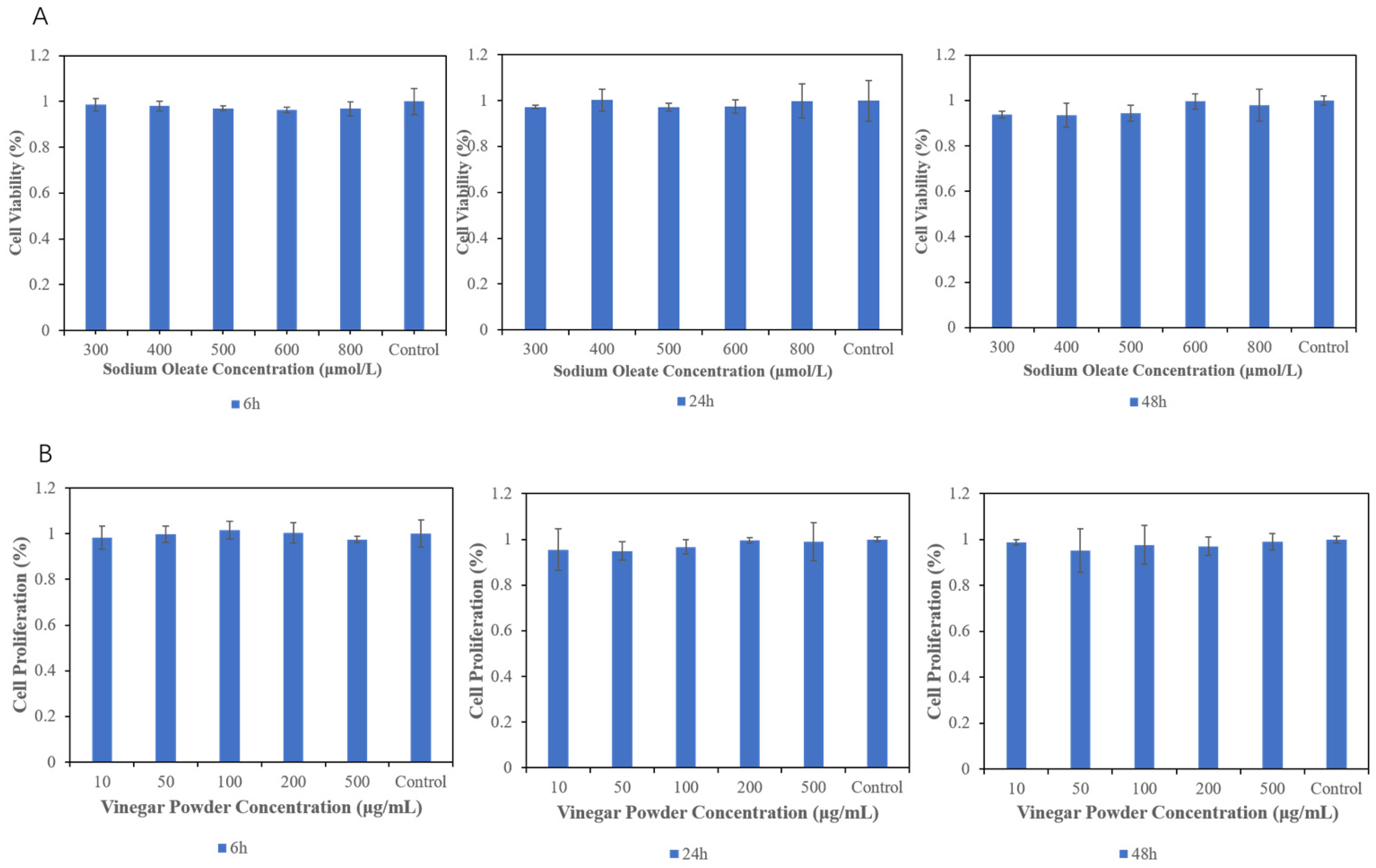
Before evaluating the hypoglycaemic activity, the cytotoxicity of the samples was assessed to ensure safe dosage.
As shown in Figure 5A, treatment with sodium oleate at concentrations ranging from 300 to 800 μg/mL did not significantly affect cell viability compared to the Control group (p > 0.05), indicating non-toxicity within this range. Figure 5B illustrates the cytotoxicity of sodium oleate. Based on cell survival rates, 600 μmol/L was selected as the optimal induction concentration. Furthermore, the success of the model establishment was verified in Figure 5C. The intracellular lipid content significantly increased in the sodium oleate-treated group compared to the control, confirming the successful induction of hepatic steatosis.

3.4. Effect of YAVP on Intracellular Lipid Accumulation

The hypoglycemic activity of YAVP was evaluated using a sodium oleate-induced HepG2 cell model after the powder was subjected to simulated in vitro gastrointestinal digestion. The cytotoxicity assay confirmed that YAVP concentrations up to 500 μg/mL had no significant effect on cell viability.
Lipid accumulation was visualized using Oil Red O staining (Figure 6). The Model group exhibited a significant increase in the number and size of lipid droplets compared to the Control group, confirming the successful establishment of hepatic steatosis. Treatment with digested YAVP significantly inhibited lipid accumulation in a dose-dependent manner. Quantitative analysis revealed that the intracellular lipid content in cells treated with 200 μg/mL and 500 μg/mL of YAVP was significantly lower than that in the Model group (p < 0.01) (Figure 7).

3.5. Effect of YAVP on Intracellular Lipid Profiles

To further elucidate the lipid-regulating effects, intracellular levels of TC, TG, LDL-C, and HDL-C were quantified. As shown in Figure 8A,B, the Model group showed significantly elevated levels of TC and TG compared to the Control group (p < 0.01). YAVP intervention effectively reversed these metabolic alterations. At the optimal concentration of 500 μg/mL, both TC and TG levels were significantly reduced (p < 0.01) and approached the levels observed in the normal Control group.
Furthermore, YAVP exerted a positive regulatory effect on lipoprotein metabolism (Figure 8C,D). Sodium oleate induction led to a marked increase in LDL-C and a decrease in HDL-C. Treatment with YAVP dose-dependently ameliorated this imbalance. Specifically, at 500 μg/mL, the intracellular LDL-C content decreased to approximately 1.06 times that of the Control group (showing no significant difference), while the HDL-C content increased to 1.00 times that of the Control group. These results indicate that YAVP can effectively restore lipid homeostasis by simultaneously lowering “bad” cholesterol and elevating “good” cholesterol.
Hyperlipidemia is a metabolic disease of significant current concern. Research has demonstrated that hyperlipidemia is a primary risk factor for CVD. Furthermore, hyperlipidemia significantly increases the risk of intracellular lipid peroxidation, which further contributes to the development of CVD. Although hyperlipidemia has numerous etiologies, the correction of dietary habits combined with effective nutritional intervention can potentially assist in regulating blood lipids, thereby reducing the risk of CVD. Xu [29] demonstrated that Zhenjiang aromatic vinegar can delay the oxidation of linoleic acid. Vinegar concentrates were found not only to inhibit Cu2+ induced oxidative modification of low-density lipoprotein (LDL) but also to prevent the further oxidation of modified LDL. Park et al. [30] observed that feeding garlic vinegar to diabetic rats improved plasma LDL-c levels and reduced the atherogenic index. Similarly, Wen et al. [31] administered a functional red yeast rice vinegar via gavage to mice fed a high-fat diet and reported significant hypolipidemic activity. Song et al. [32] obtained comparable results in rats fed a high-fat diet using different doses of red yeast rice vinegar; notably, the vinegar exhibited higher hypolipidemic activity than an equivalent dose of acetic acid solution or a 5 μg/kg dose of lovastatin. Acetic acid in vinegar reduces lipid synthesis and enhances lipid excretion and catabolism by activating the AMPK pathway in vivo [33].
Traditional vinegar has long been used in folk medicine for its lipid-lowering properties. However, the liquid form limits its application in solid foods and dietary supplements. This study demonstrates that YAVP, produced via spray drying, not only retains the bioactivity of the original vinegar but also enriches key functional components, exerting potent hypoglycemic effects in an in vitro model even after simulated digestion.
In the sodium oleate-induced HepG2 steatosis model, YAVP treatment significantly reduced intracellular lipid accumulation. The biochemical analysis further confirmed that YAVP lowered TG, TC, and LDL-C levels while unregulated HDL-C. High levels of LDL-C are atherogenesis as they deposit cholesterol in arterial walls, whereas HDL-C is protective, facilitating reverse cholesterol transport from peripheral tissues to the liver for excretion. The ability of YAVP to restore the LDL-C/HDL-C balance to near-physiological levels at 500 μg/mL is a significant finding. This suggests that YAVP may regulate lipid metabolism through multiple pathways, potentially by inhibiting cholesterol synthesis (via lovastatin) or promoting lipid oxidation and excretion.
A key strength of this study is the use of simulated in vitro gastrointestinal digestion. Bioactive peptides and polysaccharides can be degraded by gastric acid and digestive enzymes, leading to a loss of function. Our results showed that YAVP retained its lipid-lowering activity after digestion, indicating that its functional components are viscountess and stable during gastrointestinal transit. This provides strong evidence sup-porting the potential of YAVP as an effective oral dietary supplement.

4. Conclusions

In this study, YAVP was successfully prepared via spray drying, and its physicochemical properties and hyperlipidemia bioactivity were systematically evaluated. The transformation from liquid to powder resulted in the loss of volatile acids but significantly enriched functional non-volatile components, including lactic acid, amino acids, ligustrazine, GABA, and lovastatin. Flavor analysis based on Taste Activity Values (TAV) indicated that the powder possesses a more balanced flavor profile, characterized by enhanced umami and sweetness, which addresses the sensory limitations of liquid vinegar.
Most importantly, YAVP demonstrated significant hyperlipidemia activity after simulated in vitro digestion. In a sodium oleate-induced HepG2 cell model, digested YAVP effectively inhibited lipid accumulation, reduced TG, TC, and LDL-C levels, and increased HDL-C levels. These findings confirm that the bioactive ingredients in YAVP are viscountess and functionally stable. Therefore, YAVP shows great potential as a functional food ingredient or dietary supplement for the prevention and management of hyperlipidemia and cardiovascular diseases. Future research should aim to validate these effects in vivo using animal models and to elucidate the molecular mechanisms underlying the observed lipid-regulating actions.
This study primarily focused on the taste aspects of flavor substances in Yongchun vinegar, a topic less explored in previous research. However, the impact of aging on aroma compounds warrants further investigation. Regarding functional factors and bioactivities, due to the diversity of phenolic compounds and functional agents in Yongchun vinegar, the analytical methods established in this study had limitations. Consequently, a comprehensive and in-depth understanding of the antioxidant constituents was not fully achieved. Furthermore, the specific pathways through which these antioxidant substances regulate serum lipid levels in hyperlipidemic rats remain to be elucidated.
Future research directions could include the following: First, establishing a high-triglyceride Caco-2 cell model for comparison with HepG2 cells to evaluate the lipid-lowering effects of Yongchun vinegar in cellular systems and to explore potential mechanisms underlying its hypolipidemic activity. Second, utilizing liver homogenates and fecal samples from experimental rats to determine changes in the concentration and activity of oxidative stress-related enzymes in hyperlipidemic rats fed Yongchun vinegar. Techniques such as enzyme-linked immunosorbent assay (ELISA) and high-throughput sequencing could be employed to investigate the specific oxidative stress pathways regulated by the functional components of Yongchun vinegar in vivo.

Author Contributions

Conceptualization, X.W.; methodology, X.W. and W.S.; software, W.S.; validation, X.W. and W.S.; investigation, J.P.; writing—original draft preparation, X.W., writing—review and editing, R.M.; visualization, J.P. and R.M.; funding acquisition, R.M. All authors have read and agreed to the published version of the manuscript.

Funding

This work was supported by the Key project of Scientific Research Foundation for Distinguished Young Scientists from Fujian Agriculture and Forestry University (xjq202006).

Institutional Review Board Statement

Not applicable.

Informed Consent Statement

Not applicable.

Data Availability Statement

The original contributions presented in this study are included in the article. Further inquiries can be directed to the corresponding authors.

Acknowledgments

X.W. thank Qing Yan, from Hangzhou EXPECLIN Medical Technology Co., Ltd., for his contribution on editing of manuscript.

Conflicts of Interest

Author Xiaohui Wang was employed by the company Hangzhou EXPECLIN Medical Technology Co., Ltd. The remaining authors declare that the research was conducted in the absence of any commercial or financial relationships that could be construed as a potential conflict of interest.

References

  1. Chou, C.H.; Liu, C.W.; Yang, D.J.; Wu, Y.H.; Chen, Y.C. Amino acid, mineral, and polyphonous profiles of black vinegar, and its lipid lowering and antioxidant effects in vivo. Food Chem. 2015, 168, 63–69. [Google Scholar] [CrossRef] [PubMed]
  2. Cicero, A.F.G.; Fogacci, F. Red yeast rice, monacolin K, and pleiotropic effects. Recenti Prog. Med. 2018, 109, 154e–157e. (In Italian) [Google Scholar] [PubMed]
  3. Ho, C.W.; Lazim, A.M.; Fazry, S.; Zaki, U.K.H.H.; Lim, S.J. Varieties, production, composition and health benefits of vinegars: A review. Food Chem. 2017, 221, 1621–1630. [Google Scholar] [CrossRef] [PubMed]
  4. Beheshti, Z.; Chan, Y.H.; Nia, H.S.; Hajihosseini, F.; Nazari, R.; Shaabani, M.; Omran, M.S. Influence of apple cider vinegar on blood lipids. Life Sci. J. 2012, 9, 2431–2440. [Google Scholar]
  5. Bertelli, D.; Maietti, A.; Papotti, G.; Tedeschi, P.; Bonetti, G.; Graziosi, R.; Brandolini, V.; Plessi, M. Antioxidant Activity, Phenolic Compounds, and NMR Characterization of Balsamic and Traditional Balsamic Vinegar of Modena. Food Anal. Methods 2015, 8, 371–379. [Google Scholar] [CrossRef]
  6. Kondo, S.; Tayama, K.; Tsukamoto, Y.; Ikeda, K.; Yamori, Y. Antihypertensive effects of acetic acid and vinegar on spontaneously hypertensive rats. Biosci. Biotechnol. Biochem. 2001, 65, 2690–2694. [Google Scholar] [CrossRef]
  7. Yusoff, N.A.; Ahmad, M.; Al-Hindi, B.; Widyawati, T.; Yam, M.F.; Mahmud, R.; Razak, K.N.; Asmawi, M.Z. Aqueous Extract of Nypa fruticans Wurmb. Vinegar Alleviates Postprandial Hyperglycemia in Normoglycemic Rats. Nutrients 2015, 7, 7012–7026. [Google Scholar] [CrossRef]
  8. Budak, N.H.; Aykin, E.; Seydim, A.C.; Greene, A.K.; Guzel-Seydim, Z.B. Functional properties of vinegar. J. Food Sci. 2014, 79, R757–R764. [Google Scholar] [CrossRef]
  9. Zhao, N.; Li, X.; Wang, L.; Feng, Z.-L.; Li, X.-F.; Wen, Y.-F.; Han, J.-X. Palmitate induces fat accumulation by activating C/EBPβ-mediated G0S2 expression in HepG2 cells. World J. Gastroenterol. 2017, 23, 7705–7715. [Google Scholar] [CrossRef]
  10. Tao, J.; Tang, C.; Meng, F.; Zhou, W.; Zhou, L.; Lu, Z. Lipid-Lowering Effect of Auricularia auricula Peptides on Palmitic Acid-Induced Liver Cells. Food Sci. 2022, 43, 106–113. (In Chinese) [Google Scholar]
  11. Xu, J.; Wang, X. A New Member of the Vinegar Family—Solid Powder Vinegar. China Food 1997, 9, 45. (In Chinese) [Google Scholar]
  12. Noznick, P.P.; Tatter, C.W. Solid Vinegar. U.S. Patent 3,445,244, 20 May 1969. [Google Scholar]
  13. Zhu, C.; Xia, R.; Wu, L.; Liu, J. Optimization of Spray Drying Process for Vinegar Powder. Sci. Technol. Food Ind. 2017, 38, 203–208. (In Chinese) [Google Scholar]
  14. Tian, J.; Chen, Y.; He, G.; Ye, X. Preparation of Traditional Brewing Vinegar Powder and Analysis of Its Nutritional Components. China Condiment 2017, 42, 9–13. (In Chinese) [Google Scholar]
  15. Minekus, M.; Alminger, M.; Alvito, P.; Ballance, S.; Bohn, T.; Bourlieu, C.; Carrière, F.; Boutrou, R.; Corredig, M.; Dupont, D.; et al. A standardised static in vitro digestion method suitable for food—An international consensus. Food Funct. 2014, 5, 1113–1124. [Google Scholar] [CrossRef] [PubMed]
  16. Cui, W.; Chen, S.; Sun, H. Effects of Lycium barbarum polysaccharides on lipid metabolism in a high-fat diet-induced mouse model and a sodium oleate-induced HepG2 cell model. Sci. Technol. Food Ind. 2016, 37, 362–366. (In Chinese) [Google Scholar]
  17. Zhang, W.; Liu, N.; Ma, Y.; Zhang, W.H.; Liu, Y.X.; Ma, Y.L.; Wang, X.H.; Huang, J.H.; Cheng, Y.Q.; Chen, H.B. Optimization of Spray Drying Process for Yongchun Aged Vinegar Powder. Fujian Agric. Sci. Technol. 2024, 55, 51–55. (In Chinese) [Google Scholar] [CrossRef]
  18. GB 5009.235-2016; National Food Safety Standard—Determination of Amino Acid Nitrogen in Food. Standardization Administration of China: Beijing, China, 2016.
  19. Wang, X.; Cheng, Y.; Ma, Y.; Wang, X.H.; Cheng, Y.Q.; Ma, Y.L.; Yu, X.F.; Xu, Q.; Chen, H.B. Determination and Analysis of Basic Components in Yongchun Aged Vinegar at Different Brewing Stages. China Condiment 2024, 49, 158–164. (In Chinese) [Google Scholar]
  20. Zhang, X.; Mao, Q.; Sun, J.; Liu, Y.; Wang, J. Determination of lovastatin in Monascus fermented food by HPLC. China Brew. 2020, 39, 193–196. (In Chinese) [Google Scholar]
  21. Chen, J.; He, J.; Wu, J.; Zhou, J.; Ye, X. Rapid detection of tetramethylpyrazine in vinegar and its formation mechanism. J. Chin. Inst. Food Sci. Technol. 2013, 13, 227–233. (In Chinese) [Google Scholar]
  22. Zhang, Z.; Xu, J.; Cong, J.; Zhang, Y. Determination of γ-aminobutyric acid (GABA) content in germinated wheat by HPLC. J. Chin. Cereals Oils Assoc. 2015, 30, 135–139. (In Chinese) [Google Scholar]
  23. Ramírez-Zacarías, J.L.; Castro-Muñozledo, F.; Alcántar-Vázquez, W. Quantitation of adipose conversion and triglycerides by staining intracytoplasmic lipids with Oil Red O. Histochemistry 1992, 97, 493–497. [Google Scholar] [CrossRef] [PubMed]
  24. Chen, Y. Optimization of Preparation Process and Preliminary Study on Hypolipidemic Effect of Vinegar-Egg Liquid. Master’s Thesis, Huazhong Agricultural University, Wuhan, China, 2019. (In Chinese) [Google Scholar]
  25. Ren, W.; Liu, G.; Yin, J.; Tan, B.; Wu, G.; Bazer, F.W.; Peng, Y.; Yin, Y. Amino-acid transporters in T-cell activation and differentiation. Cell Death Dis. 2017, 8, e2655. [Google Scholar] [CrossRef]
  26. Zha, J.; Cai, F.; Lin, X.; Zhao, C. Isolation and Identification of Acid-producing Strains from Fujian Monascus Vinegar. Ind. Microbiol. 2015, 45, 32–35. (In Chinese) [Google Scholar]
  27. Schallenberger, R.S. Taste Chemistry; Blackie Academic and Professional: London, UK, 1993. [Google Scholar]
  28. FAO; WHO; UNU. Energy and Protein Requirements; Technical Report Series No. 724; World Health Organization: Geneva, Switzerland, 1985. [Google Scholar]
  29. Xu, Q. Study on Antioxidant Activity of Zhenjiang Aromatic Vinegar. Ph.D. Thesis, Jiangnan University, Wuxi, China, 2005. (In Chinese) [Google Scholar]
  30. Park, M.J.; Cho, H.J.; Park, M.S.; Park, Y.H. Effects of Garlic Vinegar Supplementation on Body Weight, Blood Glucose, and Serum Lipid Profile in Streptozotocin-Induced Diabetic Rats-Fed High Cholesterol Diet. Prev. Nutr. Food Sci. 1999, 4, 253–258. [Google Scholar]
  31. Yang, L.; Li, T.; Yang, Y.; Wang, Y.; Liu, X. History, Status and Countermeasures of Chinese Vinegar Industry. China Condiment 2013, 38, 114–117. (In Chinese) [Google Scholar]
  32. Song, J.; Zhang, J.; Su, Y.; Zhang, X.; Li, J.; Tu, L.; Yu, J.; Zheng, Y.; Wang, M. Monascus vinegar-mediated alteration of gut microbiota and its correlation with lipid metabolism and inflammation in hyperlipidemic rats. J. Funct. Foods 2020, 74, 104180. [Google Scholar] [CrossRef]
  33. Chen, H.; Chen, T.; Giudici, P.; Chen, F. Vinegar Functions on Health: Constituents, Sources, and Formation Mechanisms. Compr. Rev. Food Sci. Food Saf. 2016, 15, 1124–1138. [Google Scholar] [CrossRef]
Figure 1. Flow diagram of YAVP processing.
Figure 1. Flow diagram of YAVP processing.
Foods 15 00869 g001
Figure 2. The HPLC profiles of organic acid compounds (Standard products and vinegar powder and functional old vinegar).
Figure 2. The HPLC profiles of organic acid compounds (Standard products and vinegar powder and functional old vinegar).
Foods 15 00869 g002
Figure 3. Comparison of basic nutritional and functional components between vinegar powder and functional aged vinegar.
Figure 3. Comparison of basic nutritional and functional components between vinegar powder and functional aged vinegar.
Foods 15 00869 g003
Figure 4. Amino acid content and composition of vinegar powder and functional aged vinegar.
Figure 4. Amino acid content and composition of vinegar powder and functional aged vinegar.
Foods 15 00869 g004
Figure 5. (A) Illustrates the impact of varying sodium oleate concentrations on HepG2 cell proliferation. (B) Demonstrates the influence of different vinegar powder concentrations on the proliferation of HepG2 cells. (C) presents the effects of sodium oleate concentration and treatment time on intracellular lipid levels. Note:“**” indicates a highly significant difference compared to the Model group (p < 0.01).
Figure 5. (A) Illustrates the impact of varying sodium oleate concentrations on HepG2 cell proliferation. (B) Demonstrates the influence of different vinegar powder concentrations on the proliferation of HepG2 cells. (C) presents the effects of sodium oleate concentration and treatment time on intracellular lipid levels. Note:“**” indicates a highly significant difference compared to the Model group (p < 0.01).
Foods 15 00869 g005aFoods 15 00869 g005b
Figure 6. Fluorescence inversion micrographs of HepG2 cells under four different culture conditions.
Figure 6. Fluorescence inversion micrographs of HepG2 cells under four different culture conditions.
Foods 15 00869 g006
Figure 7. Effect of different concentrations of digested vinegar powder on intracellular lipid accumulation in HepG2 cells (Oil Red O staining). Note: “*” indicates a statistically significant difference compared to the Model group (p < 0.05); “**” indicates a highly significant difference compared to the Model group (p < 0.01); “##” indicates a highly significant difference compared to the Control group (p < 0.01).
Figure 7. Effect of different concentrations of digested vinegar powder on intracellular lipid accumulation in HepG2 cells (Oil Red O staining). Note: “*” indicates a statistically significant difference compared to the Model group (p < 0.05); “**” indicates a highly significant difference compared to the Model group (p < 0.01); “##” indicates a highly significant difference compared to the Control group (p < 0.01).
Foods 15 00869 g007
Figure 8. Effects of different vinegar powder concentrations on intracellular TC (A), TG (B), HDL-C (C) and LDL-C (D) contents in HepG2 cells. Note: “*” indicates a statistically significant difference compared to the Model group (p < 0.05); “**” indicates a highly significant difference compared to the Model group (p < 0.01); “##” indicates a highly significant difference compared to the Control group (p < 0.01).
Figure 8. Effects of different vinegar powder concentrations on intracellular TC (A), TG (B), HDL-C (C) and LDL-C (D) contents in HepG2 cells. Note: “*” indicates a statistically significant difference compared to the Model group (p < 0.05); “**” indicates a highly significant difference compared to the Model group (p < 0.01); “##” indicates a highly significant difference compared to the Control group (p < 0.01).
Foods 15 00869 g008
Table 1. Organic acid content comparison between functional aged vinegar and vinegar powder.
Table 1. Organic acid content comparison between functional aged vinegar and vinegar powder.
No.Organic AcidFunctional Aged Vinegar (mg/L)Vinegar Powder (mg/kg)
1Oxalic acidNDND
2Tartaric acid41.43 ± 1.9599.70 ± 1.18
3Formic acid148.58 ± 4.87393.72 ± 5.11
4Malic acid64.88 ± 2.66154.81 ± 3.70
5Lactic acid314.11 ± 4.63633.49 ± 13.93
6Acetic acid59,480.62 ± 97.952752.10 ± 29.26
7Malevich acidNDND
8Citric acidNDND
9Succinic acidNDND
10Platonic acid588.38 ± 9.70967.02 ± 6.09
Total organic acids60,638.00 ± 121.765000.84 ± 40.34
Acetic acid/Total acids (%)98.09 ± 0.0455.03 ± 0.00
Lactic acid/Total acids (%)0.52 ± 0.0012.67 ± 0.02
Note: “ND” indicate that the taste threshold could not be determined and the taste activity value (TAV) could not be calculated, respectively.
Table 2. Flavor analysis (TAV values) and content of free amino acids in functional aged vinegar and vinegar powder.
Table 2. Flavor analysis (TAV values) and content of free amino acids in functional aged vinegar and vinegar powder.
Taste CharacteristicAmino AcidThreshold (mg/100 mL)TAV (Aged Vinegar)TAV (Vinegar Powder)Content in Aged Vinegar (g/100 g)Content in Vinegar Powder (g/100 g)
UmamiGulu305.119.930.15330.2978
Asp1000.590.050.05920.0052
SweetAla600.699.10.04140.5458
Gary1300.100.01340
Pro30000.3800.1148
Sir1500.331.640.050.2463
Thur2600.380.730.09940.2907
BitterPhe900.780.120.07050.0111
Met3002.6900.0806
Arg50011.1800.5588
Les500.990.710.04970.0355
Tyr-NDND0.0250.023
Ys-NDND0.06190.0077
Leu1902.380.70.45290.1326
Vol400.420.530.01690.0211
Ll900.710.190.06370.0167
His203.6238.270.07250.7653
Note: “-” and “ND” indicate that the taste threshold could not be determined and the taste activity value (TAV) could not be calculated, respectively.
Table 3. Analysis of free amino acid composition in vinegar powder and functional old vinegar.
Table 3. Analysis of free amino acid composition in vinegar powder and functional old vinegar.
ParametersFunctional Aged VinegarVinegar Powder
EAA (g/100 g)0.82551.1730
NEAA (g/100 g)0.40421.8801
TAA (g/100 g)1.22973.1531
EAA/TAA (%)67.1340.37
EAA/NEAA (%)204.2667.71
Note: EAA denotes essential amino acids; NEAA denotes non-essential amino acids; TAA indicates the total value. EAA% indicates the percentage of essential amino acids; EAA/NEAA represents the ratio of essential to non-essential amino acids.
Disclaimer/Publisher’s Note: The statements, opinions and data contained in all publications are solely those of the individual author(s) and contributor(s) and not of MDPI and/or the editor(s). MDPI and/or the editor(s) disclaim responsibility for any injury to people or property resulting from any ideas, methods, instructions or products referred to in the content.

Share and Cite

MDPI and ACS Style

Wang, X.; Su, W.; Pang, J.; Mu, R. Yongchun Aged Vinegar Powder: Preparation, Characterization, and Effects on Sodium Oleate-Induced Steatosis in HepG2 Cells. Foods 2026, 15, 869. https://doi.org/10.3390/foods15050869

AMA Style

Wang X, Su W, Pang J, Mu R. Yongchun Aged Vinegar Powder: Preparation, Characterization, and Effects on Sodium Oleate-Induced Steatosis in HepG2 Cells. Foods. 2026; 15(5):869. https://doi.org/10.3390/foods15050869

Chicago/Turabian Style

Wang, Xiaohui, Wanying Su, Jie Pang, and Ruojun Mu. 2026. "Yongchun Aged Vinegar Powder: Preparation, Characterization, and Effects on Sodium Oleate-Induced Steatosis in HepG2 Cells" Foods 15, no. 5: 869. https://doi.org/10.3390/foods15050869

APA Style

Wang, X., Su, W., Pang, J., & Mu, R. (2026). Yongchun Aged Vinegar Powder: Preparation, Characterization, and Effects on Sodium Oleate-Induced Steatosis in HepG2 Cells. Foods, 15(5), 869. https://doi.org/10.3390/foods15050869

Note that from the first issue of 2016, this journal uses article numbers instead of page numbers. See further details here.

Article Metrics

Back to TopTop