Hazelnut Skin Fortification of Dehulled Lentil Chips to Improve Nutritional, Antioxidant, Sensory, and Chemical Properties
Abstract
1. Introduction
2. Materials and Methods
2.1. Ingredients and Chemicals
2.2. Experimental Chips Recipe
2.3. Proximate Composition
2.4. Extracts’ Preparation
2.5. Total Phenolic Compounds (TPC) and Total Antioxidant Capacity (TAC)
2.6. Sensory Analysis
2.7. HS-SPME/GC-MS Determination of Volatile Chemical Composition
2.8. Statistical Analysis
3. Results and Discussion
3.1. Nutritional Evaluation of the Experimental Chips
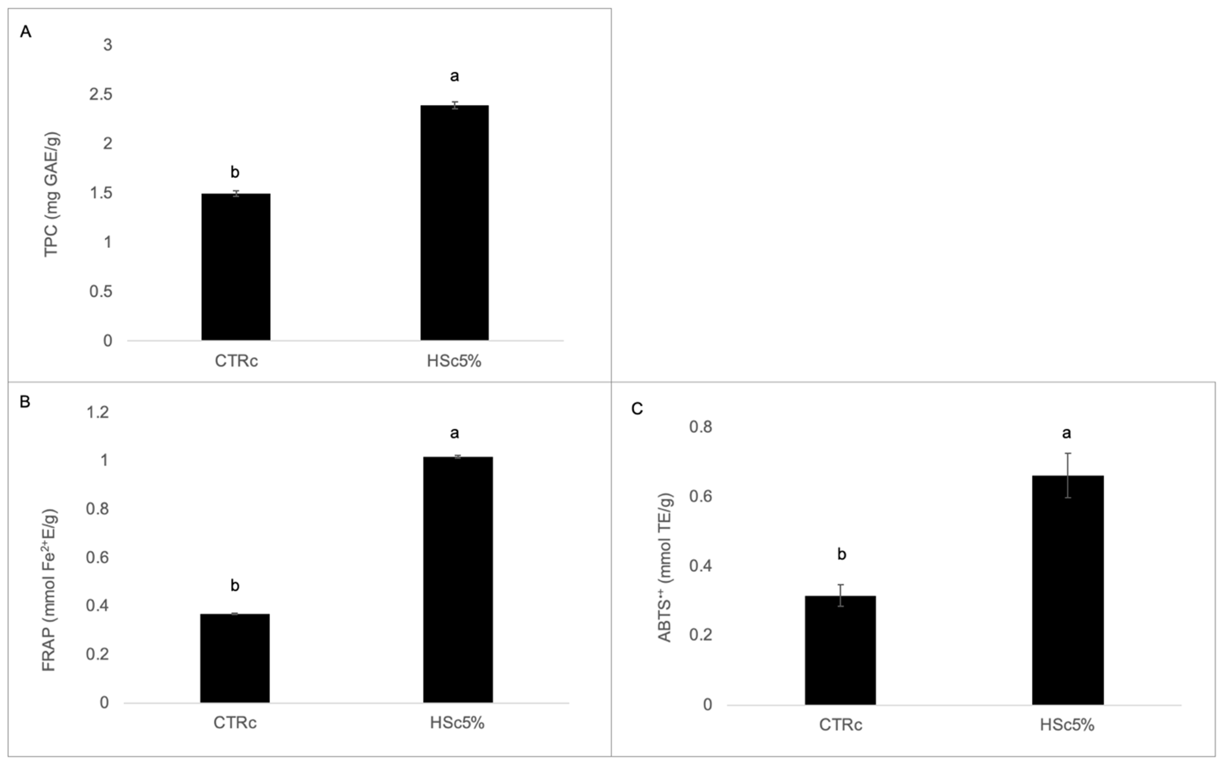
3.2. TPC and TAC of Experimental Chips
3.3. Sensory Analysis of the Experimental Chips
3.4. Volatile Chemical Compositions of the Experimental Chips
4. Conclusions
Author Contributions
Funding
Institutional Review Board Statement
Informed Consent Statement
Data Availability Statement
Conflicts of Interest
References
- Binou, P.; Yanni, A.E.; Karathanos, V.T. Physical Properties, Sensory Acceptance, Postprandial Glycemic Response, and Satiety of Cereal Based Foods Enriched with Legume Flours: A Review. Crit. Rev. Food Sci. Nutr. 2022, 62, 2722–2740. [Google Scholar] [CrossRef]
- Cámara, M.; Giner, R.M.; González-Fandos, E.; López-García, E.; Mañes, J.; Portillo, M.P.; Rafecas, M.; Domínguez, L.; Martínez, J.A. Food-Based Dietary Guidelines around the World: A Comparative Analysis to Update AESAN Scientific Committee Dietary Recommendations. Nutrients 2021, 13, 3131. [Google Scholar] [CrossRef]
- Lotti, S.; Napoletano, A.; Tristan Asensi, M.; Pagliai, G.; Giangrandi, I.; Colombini, B.; Dinu, M.; Sofi, F. Assessment of Mediterranean Diet Adherence and Comparison with Italian Dietary Guidelines: A Study of over 10,000 Adults from 2019 to 2022. Int. J. Food Sci. Nutr. 2024, 75, 336–343. [Google Scholar] [CrossRef]
- Dello Russo, M.; Formisano, A.; Lauria, F.; Ahrens, W.; Bogl, L.H.; Eiben, G.; De Henauw, S.; Hebestreit, A.; Intemann, T.; Hunsberger, M.; et al. Dietary Diversity and Its Association with Diet Quality and Health Status of European Children, Adolescents, and Adults: Results from the I. Family Study. Foods 2023, 12, 4458. [Google Scholar] [CrossRef] [PubMed]
- EFSA Panel on Dietetic Products, Nutrition, and Allergies (NDA). Scientific Opinion on Dietary Reference Values for Carbohydrates and Dietary Fibre. EFSA J. 2010, 8, 1462. [Google Scholar] [CrossRef]
- Joshi, M.; Timilsena, Y.; Adhikari, B. Global Production, Processing and Utilization of Lentil: A Review. J. Integr. Agric. 2017, 16, 2898–2913. [Google Scholar] [CrossRef]
- Mertens, E.; Colizzi, C.; Peñalvo, J.L. Ultra-Processed Food Consumption in Adults across Europe. Eur. J. Nutr. 2022, 61, 1521–1539. [Google Scholar] [CrossRef]
- Gressier, M.; Sassi, F.; Frost, G. Healthy Foods and Healthy Diets. How Government Policies Can Steer Food Reformulation. Nutrients 2020, 12, 1992. [Google Scholar] [CrossRef]
- Babacan Cevik, S.; Kahraman, K.; Ekici, L. Production of Oven-Baked Wheat Chips Enriched with Red Lentil: An Optimization Study by Response Surface Methodology. J. Food Sci. Technol. 2022, 59, 2243–2254. [Google Scholar] [CrossRef] [PubMed]
- Pellegrini, N.; Serafini, M.; Salvatore, S.; Del Rio, D.; Bianchi, M.; Brighenti, F. Total Antioxidant Capacity of Spices, Dried Fruits, Nuts, Pulses, Cereals and Sweets Consumed in Italy Assessed by Three Different in Vitro Assays. Mol. Nutr. Food Res. 2006, 50, 1030–1038. [Google Scholar] [CrossRef] [PubMed]
- Del Rio, D.; Calani, L.; Dall’Asta, M.; Brighenti, F. Polyphenolic Composition of Hazelnut Skin. J. Agric. Food Chem. 2011, 59, 9935–9941. [Google Scholar] [CrossRef]
- Özdemir, K.S.; Yılmaz, C.; Durmaz, G.; Gökmen, V. Hazelnut Skin Powder: A New Brown Colored Functional Ingredient. Food Res. Int. 2014, 65, 291–297. [Google Scholar] [CrossRef]
- Costantini, L.; Frangipane, M.T.; Molinari, R.; Garzoli, S.; Massantini, R.; Merendino, N. Hazelnut Skin Waste as a Functional Ingredient to Nutritionally Improve a Classic Shortbread Cookie Recipe. Foods 2023, 12, 2774. [Google Scholar] [CrossRef] [PubMed]
- AOAC International. Official Methods of Analysis of AOAC International, 18th ed.; Current Through Rev, Vol. 1; AOAC International: Gaithersburg, MD, USA, 2006. [Google Scholar]
- Costantini, L.; Lukšič, L.; Molinari, R.; Kreft, I.; Bonafaccia, G.; Manzi, L.; Merendino, N. Development of Gluten-Free Bread Using Tartary Buckwheat and Chia Flour Rich in Flavonoids and Omega-3 Fatty Acids as Ingredients. Food Chem. 2014, 165, 232–240. [Google Scholar] [CrossRef]
- Farinon, B.; Felli, M.; Sulli, M.; Diretto, G.; Savatin, D.V.; Mazzucato, A.; Merendino, N.; Costantini, L. Tomato Pomace Food Waste from Different Variants as a High Antioxidant Potential Resource. Food Chem. 2024, 452, 139509. [Google Scholar] [CrossRef] [PubMed]
- UNI EN ISO 13299; Sensory Analysis. Methodology, in: General Guidance for Establishing a Sensory Profile. ISO: Geneva, Switzerland, 2016.
- ISO 8589; Sensory Analysis. General Guidance for the Design of Test Rooms. ISO: Geneva, Switzerland, 2007.
- Cosson, A.; Blumenthal, D.; Descamps, N.; Souchon, I.; Saint-Eve, A. Using a Mixture Design and Fraction-Based Formulation to Better Understand Perceptions of Plant-Protein-Based Solutions. Food Res. Int. 2021, 141, 110151. [Google Scholar] [CrossRef]
- Chigwedere, C.M.; Wanasundara, J.P.D.; Shand, P.J. Sensory Descriptors for Pulses and Pulse-derived Ingredients: Toward a Standardized Lexicon and Sensory Wheel. Compr. Rev. Food Sci. Food Saf. 2022, 21, 999–1023. [Google Scholar] [CrossRef] [PubMed]
- Boeck, T.; Sahin, A.W.; Zannini, E.; Arendt, E.K. Nutritional Properties and Health Aspects of Pulses and Their Use in Plant-based Yogurt Alternatives. Compr. Rev. Food Sci. Food Saf. 2021, 20, 3858–3880. [Google Scholar] [CrossRef] [PubMed]
- Buzgau, G.; Marc, R.A.; Muresan, C.C.; Farcas, A.; Socaci, S.A.; Muresan, A.; Muste, S. The Study of the Quality Parameters of the Tortilla Chips Products Formulated from Mixtures of Corn Flour and Legumes. Turk. J. Agric. For. 2023, 47, 772–786. [Google Scholar] [CrossRef]
- Costantini, L.; Di Matteo, G.; Felli, M.; Savatin, D.V.; Mannina, L.; Merendino, N. Evaluation of the Phenolic Components, Fiber Content, Antioxidant Activity, and Prebiotic Capacity of a Shortbread Cookie Fortified with Hazelnut Skin Waste. Foods 2024, 13, 3814. [Google Scholar] [CrossRef] [PubMed]
- Sinaki, N.Y.; Koksel, F. Effects of Dietary Fibre Source and Content and Extrusion Conditions on the Physicochemical Composition and Physical Quality of Fibre-enriched Lentil Snacks. Int. J. Food Sci. Technol. 2024, 59, 2236–2248. [Google Scholar] [CrossRef]
- Bertolino, M.; Belviso, S.; Dal Bello, B.; Ghirardello, D.; Giordano, M.; Rolle, L.; Gerbi, V.; Zeppa, G. Influence of the Addition of Different Hazelnut Skins on the Physicochemical, Antioxidant, Polyphenol and Sensory Properties of Yogurt. LWT—Food Sci. Technol. 2015, 63, 1145–1154. [Google Scholar] [CrossRef]
- Zeppa, G.; Belviso, S.; Bertolino, M.; Cavallero, M.C.; Dal Bello, B.; Ghirardello, D.; Giordano, M.; Giorgis, M.; Grosso, A.; Rolle, L.; et al. The Effect of Hazelnut Roasted Skin from Different Cultivars on the Quality Attributes, Polyphenol Content and Texture of Fresh Egg Pasta. J. Sci. Food Agric. 2015, 95, 1678–1688. [Google Scholar] [CrossRef]
- Lv, Y.; Glahn, R.P.; Hebb, R.L.; Rizvi, S.S.H. Physico-Chemical Properties, Phytochemicals and DPPH Radical Scavenging Activity of Supercritical Fluid Extruded Lentils. LWT 2018, 89, 315–321. [Google Scholar] [CrossRef]
- Han, J.; Janz, J.A.M.; Gerlat, M. Development of Gluten-Free Cracker Snacks Using Pulse Flours and Fractions. Food Res. Int. 2010, 43, 627–633. [Google Scholar] [CrossRef]
- Costantini, M.; Sabovics, M.; Galoburda, R.; Kince, T.; Straumite, E.; Summo, C.; Pasqualone, A. Effect of Die Configuration on the Physico-Chemical Properties, Anti-Nutritional Compounds, and Sensory Features of Legume-Based Extruded Snacks. Foods 2021, 10, 3015. [Google Scholar] [CrossRef] [PubMed]
- Sattar, D.; Ali, T.M.; Soomro, U.A.; Hasnain, A. Functional, Antioxidant, and Sensory Properties of a Ready-to-eat Wheat Flour Snack Incorporated with Germinated Legume Flour. Legume Sci. 2023, 5, e174. [Google Scholar] [CrossRef]
- Rajhi, I.; Baccouri, B.; Rajhi, F.; Hammami, J.; Abbes, Z.; Mhadhbi, H.; Flamini, G. HS-SPME-GC-MS Combined with Chemometrics to Assess the Impact of Germination, Dehulling, and Milling on Flavor Attributes of Brown and Green Lentils (Lens Culinaris Subsp. Culinaris). S. Afr. J. Bot. 2022, 150, 1102–1110. [Google Scholar] [CrossRef]
- Paucean, A.; Moldovan, O.P.; Mureșan, V.; Socaci, S.A.; Dulf, F.V.; Alexa, E.; Man, S.M.; Mureșan, A.E.; Muste, S. Folic Acid, Minerals, Amino-Acids, Fatty Acids and Volatile Compounds of Green and Red Lentils. Folic Acid Content Optimization in Wheat-Lentils Composite Flours. Chem. Cent. J. 2018, 12, 88. [Google Scholar] [CrossRef] [PubMed]
- Ma, Z.; Boye, J.I.; Azarnia, S.; Simpson, B.K. Volatile Flavor Profile of Saskatchewan Grown Pulses as Affected by Different Thermal Processing Treatments. Int. J. Food Prop. 2016, 19, 2251–2271. [Google Scholar] [CrossRef]
- Stilo, F.; Cialiè Rosso, M.; Squara, S.; Bicchi, C.; Cordero, C.; Cagliero, C. Corylus Avellana, L. Natural Signature: Chiral Recognition of Selected Informative Components in the Volatilome of High-Quality Hazelnuts. Front. Plant Sci. 2022, 13, 844711. [Google Scholar] [CrossRef] [PubMed]



| Recipe | Control Chip (CTRc) | Hazelnut Skin Chip 5% (HSc5%) |
|---|---|---|
| Dehulled lentil flour (DLF) | 70.2% | 65.2% |
| Hazelnut skin Romana (HSR) | - | 5.0% |
| Water | 26.3% | 26.3% |
| Extra-virgin olive oil (EVOO) | 2.9% | 2.9% |
| Salt | 0.6% | 0.6% |
| Descriptors | Sensory Attribute Definitions | Standards and Reference Materials |
|---|---|---|
| Hardness | Force required to compress the sample with the back teeth | Ripe banana and raw carrot |
| Crunchiness | Amount of noise generated when the sample is chewed at a fast rate with the back teeth | Value 0 corresponds to a dried apple piece, while 10 corresponds to a fresh celery piece |
| Pastiness | Amount of soft, smooth mass that does not release moisture during chewing | Watermelon and peanut butter |
| Astringent | Sensation of drying, drawing-up or puckering of any of the mouth surfaces | Diluted tannic acid solution (0.06–2 mg/mL) |
| Sweetness | Basic taste associated with sugar (sucrose) | Diluted sucrose solution (0.5–6 g/L) |
| Bitterness | Basic taste associated with caffeine | Diluted caffeine solution (0.03–0.2 g/L) |
| Broth | Aromatics associated with boiled meat, soup or stock | 1 stock cube in 2 L of bolt water |
| Pulse-like | Basic taste associated with pulses | Lentil seeds in hot water (1:3 (w/v)) |
| Hazelnut aroma | Intensity of aroma of hazelnut products | Taste of hazelnut |
| Caramel aroma | Aromatics associated with caramel | Taste of caramel |
| Walnut aroma | Aromatics associated with walnuts | Taste of walnut |
| Bread aroma | a general term used to describe the aromatics in the Flavor associated with uncooked grains such as corn, oats and wheat | Ground mixture of rice flour, white flour, yellow cornmeal and oatmeal |
| Potato | Aromatics associated with cooked potato | Potato cooked during 5 min in boiling water |
| Coffee-like | Aromatics associated with coffee-like | Taste of coffee |
| Roasty | Aromatics associated with roasty | Taste of roasted |
| Protein 1 | Fat | Carbohydrate 2 | Total Dietary Fibers | Ash | kcal/100 g | kJ/100 g | |
|---|---|---|---|---|---|---|---|
| CTRc | 24.03 ± 0.11 a | 4.08 ± 0.27 b | 57.15 | 11.71 ± 0.46 b | 3.03 ± 0.02 b | 384.86 | 1610.24 |
| HSc5% | 23.09 ± 0.21 b | 6.68 ± 0.04 a | 51.21 | 15.63 ± 0.05 a | 3.39 ± 0.05 a | 388.55 | 1625.71 |
| Attributes | HSc5% | CTRc | Pr > F(Model) | Significant |
|---|---|---|---|---|
| Hardness | 7.889 a | 6.667 b | 0.000 | Yes |
| Crunchiness | 8.722 a | 8.000 b | 0.003 | Yes |
| Pastiness | 0.900 b | 2.044 a | <0.0001 | Yes |
| Sweetness | 0.833 b | 2.833 a | <0.0001 | Yes |
| Bitterness | 3.778 a | 0.944 b | <0.0001 | Yes |
| Astringent | 0.278 a | 0.000 b | 0.006 | Yes |
| Broth | 2.000 b | 3.000 a | <0.0001 | Yes |
| Pulse-like | 4.333 b | 8.667 a | <0.0001 | Yes |
| Hazelnut aroma | 2.650 a | 0.300 b | <0.0001 | Yes |
| Caramel aroma | 0.389 a | 0.000 b | <0.0001 | Yes |
| Walnut aroma | 2.056 a | 0.222 b | <0.0001 | Yes |
| Bread aroma | 4.000 a | 2.667 b | <0.0001 | Yes |
| Potato | 4.389 b | 7.333 a | <0.0001 | Yes |
| Coffee-like | 2.722 a | 0.000 b | <0.0001 | Yes |
| Roasty | 6.667 a | 0.000 b | <0.0001 | Yes |
| Aromatic intensity | 6.944 a | 6.056 b | <0.0001 | Yes |
| Overall judgment | 6.844 a | 5.611 b | <0.0001 | Yes |
| Attributes Summary: | Assessors Summary: | |||||||||
|---|---|---|---|---|---|---|---|---|---|---|
| Attributes | FProd | 7 | 2 | 5 | 9 | 8 | 6 | 3 | 4 | 1 |
| Roasty | 273,780 | + | + | + | + | + | + | + | + | + |
| Coffee-like | 136,765.5 | + | + | + | + | + | + | + | + | + |
| Potato | 104,458.2 | + | + | + | + | + | + | + | + | + |
| Aromatic intensity | 34,105.6 | + | + | + | + | + | + | + | + | + |
| Sweetness | 30,976 | + | + | + | + | + | + | + | + | + |
| Bitterness | 29,443.81 | + | + | + | + | + | + | + | + | + |
| Broth | 28,302.4 | + | + | + | + | + | + | + | + | + |
| Hardness | 26,208.8 | + | + | + | + | + | + | + | + | + |
| Bread aroma | 12,742.23 | + | + | + | + | + | + | + | + | + |
| Walnut aroma | 8428.423 | + | + | − | − | = | + | = | − | − |
| Pulse-like | 7765.902 | + | − | + | + | + | + | + | + | + |
| Overall judgment | 6240.364 | + | + | + | + | + | + | + | + | + |
| Astringent | 4344.897 | + | + | + | + | + | + | = | + | + |
| Caramel aroma | 2621.44 | + | + | + | + | + | + | + | + | = |
| Hazelnut aroma | 2353.613 | + | + | − | − | + | + | + | + | − |
| Pastiness | 1178.133 | + | + | + | + | + | + | + | + | + |
| Crunchiness | 833.333 | + | + | + | + | + | + | + | + | + |
| RankF | 4 | 4.206 | 4.324 | 4.588 | 5.353 | 5.471 | 5.529 | 5.588 | 5.941 | |
| N° | COMPONENT 1 | LRI 2 | LRI 3 | CTRc (%) | HSc5% (%) |
|---|---|---|---|---|---|
| 1 | hexane, 2,4-dimethyl- | 731 | 728 | - | 0.8 ± 0.06 |
| 2 | heptane, 4-methyl- | 768 | 764 | 0.5 ± 0.02 b | 3.5 ± 0.04 a |
| 3 | hexanal | 807 | 804 | - | 7.2 ± 0.08 |
| 4 | heptane, 2,4-dimethyl- | 818 | 821 | 0.1 ± 0.01 b | 11.0 ± 0.10 a |
| 5 | 2,4-dimethyl-1-heptene | 831 | 836 | 1.6 ± 0.03 | - |
| 6 | octane, 3,5-dimethyl- | 925 | 928 | 1.0 ± 0.03 b | 3.8 ± 0.05 a |
| 7 | octane, 3,3-dimethyl- | 930 | 935 | - | 7.3 ± 0.06 |
| 8 | α-pinene | 937 | 941 | 0.1 ± 0.01 b | 1.6 ± 0.04 a |
| 9 | heptane, 4-propyl- | 941 | 945 | 0.2 ± 0.02 b | 1.4 ± 0.05 a |
| 10 | octane, 2,4,6-trimethyl- | 953 | 955 | - | 9.2 ± 0.3 |
| 11 | decane | 1001 | 1000 | 0.9 ± 0.04 | - |
| 12 | nonane, 2,6-dimethyl- | 1018 | 1025 | 1.1 ± 0.04 | - |
| 13 | limonene | 1033 | 1031 | 0.4 ± 0.02 b | 1.9 ± 0.02 a |
| 14 | 1,8-cineole | 1035 | 1033 | 0.3 ± 0.02 b | 3.1 ± 0.02 a |
| 15 | nonanal | 1110 | 1105 | - | 20.1 ± 0.08 |
| 16 | undecane | 1118 | 1115 | 1.3 ± 0.04 | - |
| 17 | decane, 2,4,6-trimethyl- | 1124 | 1121 | 0.4 ± 0.02 b | 1.3 ± 0.03 a |
| 18 | L-camphor | 1142 | 1139 | - | 1.3 ± 0.04 |
| 19 | 3-pinanylamine | 1145 | 1142 | 0.3 ± 0.02 | - |
| 20 | 5-ethyldecane | 1148 | 1146 | 0.1 ± 0.01 | - |
| 21 | undecane, 5-methyl- | 1155 | 1156 | 0.1 ± 0.01 | - |
| 22 | 2,3-dimethyldecane | 1161 | 1158 | 0.7 ± 0.02 | - |
| 23 | undecane, 3-methyl- | 1173 | 1171 | 1.2 ± 0.03 | - |
| 24 | dodecane | 1216 | 1214 | 87.4 ± 10.12 a | 14.1 ± 0.08 b |
| 25 | dodecane, 2,6,11-trimethyl- | 1325 | 1320 | 0.8 ± 0.02 b | 1.5 ± 0.02 a |
| 26 | nonane, 2,2,4,4,6,8,8-heptamethyl- | 1331 | 1329 | - | 2.0 ± 0.04 |
| 27 | farnesan | 1386 | 1381 | 0.5 ± 0.02 b | 3.9 ± 0.05 a |
| 28 | β-copaene | 1431 | 1426 | - | 0.5 ± 0.02 |
| 29 | 2-undecanethiol, 2-methyl- | 1435 | 1433 | - | 3.6 ± 0.05 |
| 30 | γ-muurolene | 1491 | 1486 | - | 0.8 ± 0.02 |
| 31 | hexadecane | 1615 | 1612 | 0.7 ± 0.02 | - |
| SUM | 98.7 | 99.8 |
| N° | COMPONENT 1 | LRI 2 | LRI 3 | DLF (%) | HSR (%) |
|---|---|---|---|---|---|
| 1 | hexanal | 810 | 812 | - | 61.4 ± 1.10 |
| 2 | 2,2,5,5-tetramethylhexane | 865 | 870 | 1.9 ± 0.03 | - |
| 3 | 3-butenyl pentyl ether | 978 | 982 | - | 1.7 ± 0.03 |
| 4 | heptane, 2,2,4,6,6-pentamethyl- | 981 | 985 | - | 5.8 ± 0.05 |
| 5 | cis-β-ocimene | 1020 | 1024 | 11.5 ± 0.12 | - |
| 6 | limonene | 1028 | 1031 | 22.1 ± 0.14 | - |
| 7 | 1,8-cineole | 1030 | 1033 | 7.5 ± 0.08 | - |
| 8 | trans-β-ocimene | 1035 | 1034 | 7.0 ± 0.03 | - |
| 9 | β-terpinene | 1037 | 1036 | 2.1 ± 0.08 | - |
| 10 | n-propyl heptyl ether | 1080 | 1075 | - | 27.3 ± 0.25 |
| 11 | 2,6,8-trimethyl-decane | 1110 | 1104 | 4.0 ± 0.03 | - |
| 12 | isothujol | 1115 | 1110 | - | 1.7 ± 0.07 |
| 13 | 1,3,8-p-menthatriene | 1120 | 1118 | 3.3 ± 0.02 | - |
| 14 | 2,5,9-trimethyldecane | 1122 | 1121 | 4.2 ± 0.04 | - |
| 15 | 2,4,6-trimethyldecane | 1124 | 1122 | 11.5 ± 0.08 a | 2.0 ± 0.02 b |
| 16 | 2,5,9-trimethyldecane | 1126 | 1123 | 3.8 ± 0.04 | - |
| 17 | pentanoic acid, hydrazide | 1159 | 1161 | 2.0 ± 0.02 | - |
| 18 | 6-ethyl-2-methyldecane | 1191 | 1185 | 4.3 ± 0.03 | - |
| 20 | ylangene | 1380 | 1376 | 4.7 ± 0.02 | - |
| 21 | 2,6,10,14-tetramethylheptadecane | 1876 | 1872 | 9.9 ± 0.07 | - |
| SUM | 99.8 | 99.9 |
Disclaimer/Publisher’s Note: The statements, opinions and data contained in all publications are solely those of the individual author(s) and contributor(s) and not of MDPI and/or the editor(s). MDPI and/or the editor(s) disclaim responsibility for any injury to people or property resulting from any ideas, methods, instructions or products referred to in the content. |
© 2025 by the authors. Licensee MDPI, Basel, Switzerland. This article is an open access article distributed under the terms and conditions of the Creative Commons Attribution (CC BY) license (https://creativecommons.org/licenses/by/4.0/).
Share and Cite
Costantini, L.; Frangipane, M.T.; Massantini, R.; Garzoli, S.; Merendino, N. Hazelnut Skin Fortification of Dehulled Lentil Chips to Improve Nutritional, Antioxidant, Sensory, and Chemical Properties. Foods 2025, 14, 683. https://doi.org/10.3390/foods14040683
Costantini L, Frangipane MT, Massantini R, Garzoli S, Merendino N. Hazelnut Skin Fortification of Dehulled Lentil Chips to Improve Nutritional, Antioxidant, Sensory, and Chemical Properties. Foods. 2025; 14(4):683. https://doi.org/10.3390/foods14040683
Chicago/Turabian StyleCostantini, Lara, Maria Teresa Frangipane, Riccardo Massantini, Stefania Garzoli, and Nicolò Merendino. 2025. "Hazelnut Skin Fortification of Dehulled Lentil Chips to Improve Nutritional, Antioxidant, Sensory, and Chemical Properties" Foods 14, no. 4: 683. https://doi.org/10.3390/foods14040683
APA StyleCostantini, L., Frangipane, M. T., Massantini, R., Garzoli, S., & Merendino, N. (2025). Hazelnut Skin Fortification of Dehulled Lentil Chips to Improve Nutritional, Antioxidant, Sensory, and Chemical Properties. Foods, 14(4), 683. https://doi.org/10.3390/foods14040683

