In Slico Screening and In Vitro Identification of Hyperuricemia-Inhibiting Peptides from Trachurus japonicus
Abstract
1. Introduction
2. Materials and Methods
2.1. Materials
2.2. In Silico Hydrolysis of Trachurus japonicus Protein
2.3. Virtual Screening Based on Molecular Docking
2.3.1. Construct Receptor Proteins
2.3.2. Construct Three-Dimensional Peptide Structure Ligands
2.3.3. Molecular Docking
2.4. Solid-Phase Peptide Synthesis (SPPS)
2.5. In Vitro Assays of XOD Inhibitory and Antioxidant Capabilities
2.5.1. XOD Inhibitory Assay
2.5.2. Antioxidant Activity Assay
2.6. Cytotoxicity Assessment
2.7. Measurement of Intracellular UA
2.8. Western Blot Analysis
2.9. Molecular Dynamics
2.10. Statistical Analysis
3. Results and Discussion
3.1. Virtual Enzymatic Hydrolysis of Trachurus japonicus Protein
3.2. Virtual Screening of Peptides
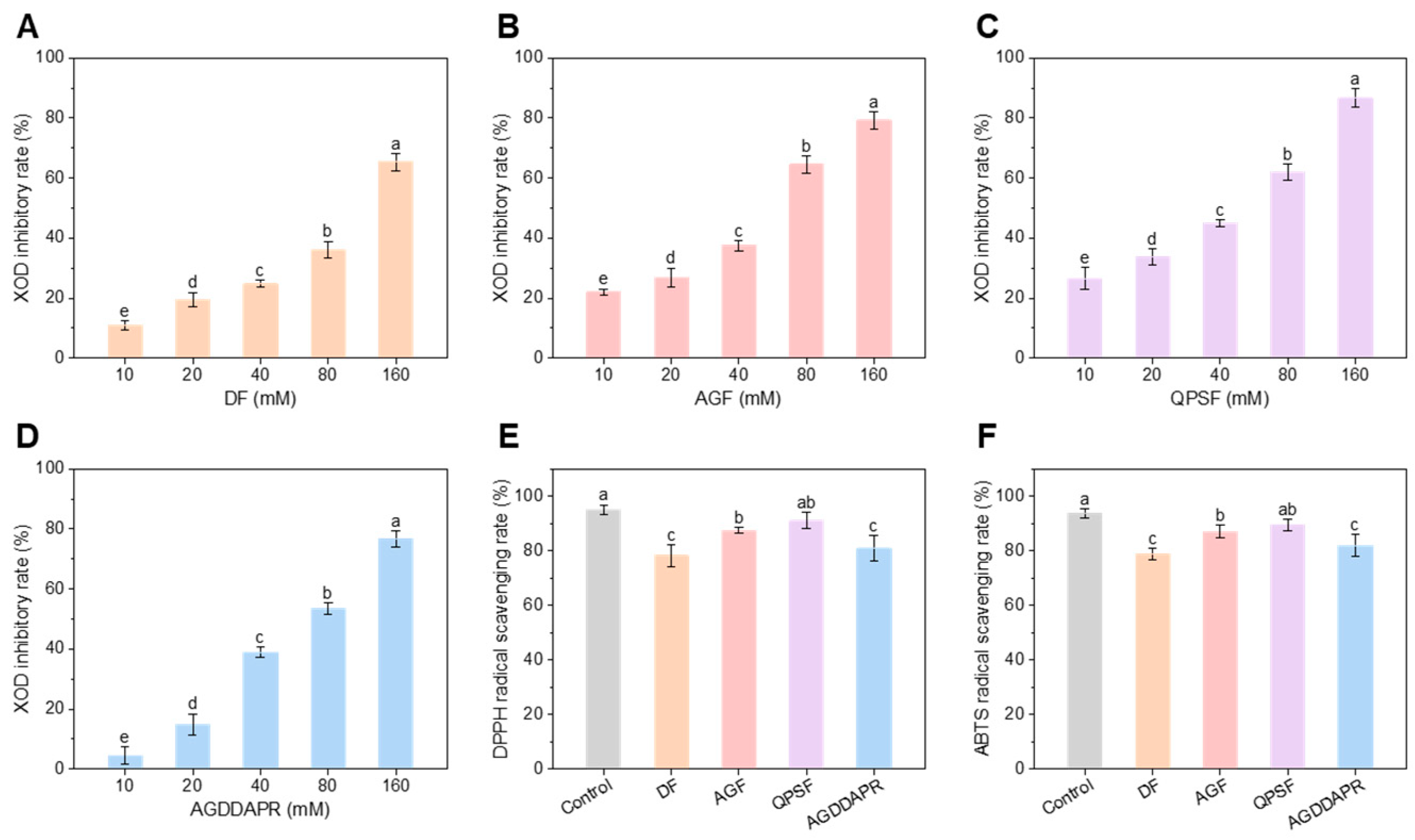
3.3. In Vitro XOD Inhibitory and Antioxidant Activities of Peptides
3.4. Effects of Peptides on HK-2 Cells
3.5. Molecular Docking Analysis
3.5.1. Analysis of XOD Protein
3.5.2. Analysis of URAT1 Protein
3.5.3. Analysis of GLUT9 Protein
3.6. Molecular Dynamics Analysis
3.6.1. XO Molecular Dynamics Analysis
3.6.2. URAT1 Molecular Dynamics Analysis
3.6.3. GLUT9 Molecular Dynamics Analysis
4. Conclusions
Supplementary Materials
Author Contributions
Funding
Institutional Review Board Statement
Informed Consent Statement
Data Availability Statement
Conflicts of Interest
References
- Chen-Xu, M.; Yokose, C.; Rai, S.K.; Pillinger, M.H.; Choi, H.K. Contemporary Prevalence of Gout and Hyperuricemia in the United States and Decadal Trends: The National Health and Nutrition Examination Survey, 2007–2016. Arthritis Rheumatol. 2019, 71, 991–999. [Google Scholar] [CrossRef] [PubMed]
- Bardin, T.; Richette, P. Definition of Hyperuricemia and Gouty Conditions. Curr. Opin. Rheumatol. 2014, 26, 186–191. [Google Scholar] [CrossRef] [PubMed]
- Yan, D.; Tu, Y.; Jiang, F.; Wang, J.; Zhang, R.; Sun, X.; Wang, T.; Wang, S.; Bao, Y.; Hu, C.; et al. Uric Acid Is Independently Associated with Diabetic Kidney Disease: A Cross-Sectional Study in a Chinese Population. PLoS ONE 2015, 10, e0129797. [Google Scholar] [CrossRef] [PubMed]
- Pilemann-Lyberg, S.; Hansen, T.W.; Tofte, N.; Winther, S.A.; Theilade, S.; Ahluwalia, T.S.; Rossing, P. Uric Acid Is an Independent Risk Factor for Decline in Kidney Function, Cardiovascular Events, and Mortality in Patients with Type 1 Diabetes. Diabetes Care 2019, 42, 1088–1094. [Google Scholar] [CrossRef] [PubMed]
- Gustafsson, D.; Unwin, R. The Pathophysiology of Hyperuricaemia and Its Possible Relationship to Cardiovascular Disease, Morbidity and Mortality. BMC Nephrol. 2013, 14, 164. [Google Scholar] [CrossRef] [PubMed]
- Paul, S.M.; Yohn, S.E.; Popiolek, M.; Miller, A.C.; Felder, C.C. Muscarinic Acetylcholine Receptor Agonists as Novel Treatments for Schizophrenia. Am. J. Psychiatry 2022, 179, 611–627. [Google Scholar] [CrossRef]
- Dalbeth, N.; Choi, H.K.; Joosten, L.A.B.; Khanna, P.P.; Matsuo, H.; Perez-Ruiz, F.; Stamp, L.K. Gout. Nat. Rev. Dis. Primers 2019, 5, 69. [Google Scholar] [CrossRef] [PubMed]
- Stamp, L.K.; Day, R.O.; Yun, J. Allopurinol Hypersensitivity: Investigating the Cause and Minimizing the Risk. Nat. Rev. Rheumatol. 2016, 12, 235–242. [Google Scholar] [CrossRef]
- Ozogul, F.; Cagalj, M.; Šimat, V.; Ozogul, Y.; Tkaczewska, J.; Hassoun, A.; Kaddour, A.A.; Kuley, E.; Rathod, N.B.; Phadke, G.G. Recent Developments in Valorisation of Bioactive Ingredients in Discard/Seafood Processing by-Products. Trends Food Sci. Technol. 2021, 116, 559–582. [Google Scholar] [CrossRef]
- Intarasirisawat, R.; Benjakul, S.; Visessanguan, W.; Wu, J. Antioxidative and Functional Properties of Protein Hydrolysate from Defatted Skipjack (Katsuwonous pelamis) Roe. Food Chem. 2012, 135, 3039–3048. [Google Scholar] [CrossRef]
- Sarmadi, B.H.; Ismail, A. Antioxidative Peptides from Food Proteins: A Review. Peptides 2010, 31, 1949–1956. [Google Scholar] [CrossRef] [PubMed]
- Chalamaiah, M.; Hemalatha, R.; Jyothirmayi, T.; Diwan, P.V.; Bhaskarachary, K.; Vajreswari, A.; Ramesh Kumar, R.; Dinesh Kumar, B. Chemical Composition and Immunomodulatory Effects of Enzymatic Protein Hydrolysates from Common Carp (Cyprinus carpio) Egg. Nutrition 2015, 31, 388–398. [Google Scholar] [CrossRef]
- Najafian, L.; Babji, A.S. A Review of Fish-Derived Antioxidant and Antimicrobial Peptides: Their Production, Assessment, and Applications. Peptides 2012, 33, 178–185. [Google Scholar] [CrossRef] [PubMed]
- Ahn, C.; Je, J.; Cho, Y. Antioxidant and Anti-Inflammatory Peptide Fraction from Salmon Byproduct Protein Hydrolysates by Peptic Hydrolysis. Food Res. Int. 2012, 49, 92–98. [Google Scholar] [CrossRef]
- Zhao, L.; Zhang, M.; Pan, F.; Li, J.; Dou, R.; Wang, X.; Wang, Y.; He, Y.; Wang, S.; Cai, S. In Silico Analysis of Novel Dipeptidyl Peptidase-Iv Inhibitory Peptides Released from Macadamia integrifolia Antimicrobial Protein 2 (Miamp2) and the Possible Pathways Involved in Diabetes Protection. Curr. Res. Food Sci. 2021, 4, 603–611. [Google Scholar] [CrossRef] [PubMed]
- Pan, F.; Zhao, L.; Cai, S.; Tang, X.; Mehmood, A.; Alnadari, F.; Tuersuntuoheti, T.; Zhou, N.; Ai, X. Prediction and Evaluation of the 3d Structure of Macadamia Integrifolia Antimicrobial Protein 2 (Miamp2) and Its Interaction with Palmitoleic Acid or Oleic Acid: An Integrated Computational Approach. Food Chem. 2022, 367, 130677. [Google Scholar] [CrossRef] [PubMed]
- Wang, X.; Ai, X.; Zhu, Z.; Zhang, M.; Pan, F.; Yang, Z.; Wang, O.; Zhao, L.; Zhao, L. Pancreatic Lipase Inhibitory Effect of Peptides Derived from Sesame Proteins: In Silico and in Vitro Analyses. Int. J. Biol. Macromol. 2022, 222, 1531–1537. [Google Scholar] [CrossRef]
- Shen, W.; Matsui, T. Current Knowledge of Intestinal Absorption of Bioactive Peptides. Food Funct. 2017, 8, 4306–4314. [Google Scholar] [CrossRef]
- Cao, H.; Pauff, J.M.; Hille, R. X-Ray Crystal Structure of a Xanthine Oxidase Complex with the Flavonoid Inhibitor Quercetin. J. Nat. Prod. 2014, 77, 1693–1699. [Google Scholar] [CrossRef]
- He, W.; Su, G.; Sun-Waterhouse, D.; Waterhouse, G.I.N.; Zhao, M.; Liu, Y. In Vivo Anti-Hyperuricemic and Xanthine Oxidase Inhibitory Properties of Tuna Protein Hydrolysates and Its Isolated Fractions. Food Chem. 2019, 272, 453–461. [Google Scholar] [CrossRef]
- Ou, R.; Lin, L.; Zhao, M.; Xie, Z. Action Mechanisms and Interaction of Two Key Xanthine Oxidase Inhibitors in Galangal: Combination of in Vitro and in Silico Molecular Docking Studies. Int. J. Biol. Macromol. 2020, 162, 1526–1535. [Google Scholar] [CrossRef]
- Santi, M.D.; Paulino Zunini, M.; Vera, B.; Bouzidi, C.; Dumontet, V.; Abin-Carriquiry, A.; Grougnet, R.; Ortega, M.G. Xanthine Oxidase Inhibitory Activity of Natural and Hemisynthetic Flavonoids from Gardenia oudiepe (Rubiaceae) In vitro and Molecular Docking Studies. Eur. J. Med. Chem. 2018, 143, 577–582. [Google Scholar] [CrossRef] [PubMed]
- Dai, Y.; Lee, C.H. Transport Mechanism and Structural Pharmacology of Human Urate Transporter Urat1. Cell Res. 2024, 34, 776–787. [Google Scholar] [CrossRef] [PubMed]
- Shen, Z.; Xu, L.; Wu, T.; Wang, H.; Wang, Q.; Ge, X.; Kong, F.; Huang, G.; Pan, X. Structural Basis for Urate Recognition and Apigenin Inhibition of Human Glut9. Nat. Commun. 2024, 15, 5039. [Google Scholar] [CrossRef]
- Yu, Z.; Cao, Y.; Kan, R.; Ji, H.; Zhao, W.; Wu, S.; Liu, J.; Shiuan, D. Identification of Egg Protein-Derived Peptides as Xanthine Oxidase Inhibitors: Virtual Hydrolysis, Molecular Docking, and in Vitro Activity Evaluation. Food Sci. Hum. Wellness 2022, 11, 1591–1597. [Google Scholar] [CrossRef]
- Trott, O.; Olson, A.J. Autodock Vina: Improving the Speed and Accuracy of Docking with a New Scoring Function, Efficient Optimization, and Multithreading. J. Comput. Chem. 2010, 31, 455–461. [Google Scholar] [CrossRef] [PubMed]
- Chaudhury, S.; Lyskov, S.; Gray, J.J. Pyrosetta: A Script-Based Interface for Implementing Molecular Modeling Algorithms Using Rosetta. Bioinformatics 2010, 26, 689–691. [Google Scholar] [CrossRef] [PubMed]
- Shen, D.; Pan, F.; Yang, Z.; Song, H.; Zou, T.; Xiong, J.; Li, K.; Li, P.; Hu, N.; Xue, D. Identification of Novel Saltiness-Enhancing Peptides from Yeast Extract and Their Mechanism of Action for Transmembrane Channel-Like 4 (Tmc4) Protein through Experimental and Integrated Computational Modeling. Food Chem. 2022, 388, 132993. [Google Scholar] [CrossRef]
- Zhao, Q.; Jiang, X.; Mao, Z.; Zhang, J.; Sun, J.; Mao, X. Exploration, Sequence Optimization and Mechanism Analysis of Novel Xanthine Oxidase Inhibitory Peptide from Ostrea rivularis Gould. Food Chem. 2023, 404, 134537. [Google Scholar] [CrossRef] [PubMed]
- Gan, M.; Cao, A.; Cai, L.; Xiang, X.; Li, J.; Luan, Q. Preparation of Cellulose-Based Nanoparticles Via Electrostatic Self-Assembly for the Ph-Responsive Delivery of Astaxanthin. Food Chem. 2025, 463, 141324. [Google Scholar] [CrossRef] [PubMed]
- Wang, X.; Bhullar, K.S.; Fu, J.; Chen, B.; Liu, H.; Su, D.; Wu, S.; He, H.; Wang, Q.; Qiao, Y.; et al. Unraveling Novel Antioxidant Peptides from Asian Swamp Eel: Identification, in Silico Selection, and Mechanistic Insights through Quantum Chemical Calculation and Molecular Docking. Food Chem. 2025, 464, 141668. [Google Scholar] [CrossRef]
- Mao, Z.; Jiang, H.; Mao, X. Identification and Anti-Hyperuricemic Activity of Xanthine Oxidase Inhibitory Peptides from Pacific White Shrimp and Swimming Crab Based on Molecular Docking Screening. J. Agric. Food Chem. 2023, 71, 1620–1627. [Google Scholar] [CrossRef]
- Lu, T. Sobtop, Version 1.0 (Dev5). Available online: http://sobereva.com/soft/Sobtop (accessed on 5 December 2024).
- Abraham, M.J.; Murtola, T.; Schulz, R.; Páll, S.; Smith, J.C.; Hess, B.; Lindahl, E. Gromacs: High Performance Molecular Simulations through Multi-Level Parallelism from Laptops to Supercomputers. SoftwareX 2015, 1–2, 19–25. [Google Scholar] [CrossRef]
- Jo, S.; Kim, T.; Iyer, V.G.; Im, W. Charmm-Gui: A Web-Based Graphical User Interface for Charmm. J. Comput. Chem. 2008, 29, 1859–1865. [Google Scholar] [CrossRef] [PubMed]
- Brooks, B.R.; Brooks Iii, C.L.; Mackerell Jr, A.D.; Nilsson, L.; Petrella, R.J.; Roux, B.; Won, Y.; Archontis, G.; Bartels, C.; Boresch, S.; et al. Charmm: The Biomolecular Simulation Program. J. Comput. Chem. 2009, 30, 1545–1614. [Google Scholar] [CrossRef]
- Lee, J.; Cheng, X.; Swails, J.M.; Yeom, M.S.; Eastman, P.K.; Lemkul, J.A.; Wei, S.; Buckner, J.; Jeong, J.C.; Qi, Y.; et al. Charmm-Gui Input Generator for Namd, Gromacs, Amber, Openmm, and Charmm/Openmm Simulations Using the Charmm36 Additive Force Field. J. Chem. Theory Comput. 2016, 12, 405–413. [Google Scholar] [CrossRef]
- Lee, J.; Hitzenberger, M.; Rieger, M.; Kern, N.R.; Zacharias, M.; Im, W. Charmm-Gui Supports the Amber Force Fields. J. Chem. Phys. 2020, 153, 035103. [Google Scholar] [CrossRef]
- Wu, E.L.; Cheng, X.; Jo, S.; Rui, H.; Song, K.C.; Dávila-Contreras, E.M.; Qi, Y.; Lee, J.; Monje-Galvan, V.; Venable, R.M.; et al. Charmm-Gui Membrane Builder toward Realistic Biological Membrane Simulations. J. Comput. Chem. 2014, 35, 1997–2004. [Google Scholar] [CrossRef] [PubMed]
- Gao, Y.; Lee, J.; Smith, I.P.S.; Lee, H.; Kim, S.; Qi, Y.; Klauda, J.B.; Widmalm, G.; Khalid, S.; Im, W. Charmm-Gui Supports Hydrogen Mass Repartitioning and Different Protonation States of Phosphates in Lipopolysaccharides. J. Chem. Inf. Model. 2021, 61, 831–839. [Google Scholar] [CrossRef]
- Jo, S.; Lim, J.B.; Klauda, J.B.; Im, W. Charmm-Gui Membrane Builder for Mixed Bilayers and Its Application to Yeast Membranes. Biophys. J. 2009, 97, 50–58. [Google Scholar] [CrossRef]
- Jo, S.; Kim, T.; Im, W. Automated Builder and Database of Protein/Membrane Complexes for Molecular Dynamics Simulations. PLoS ONE 2007, 2, e880. [Google Scholar] [CrossRef]
- Lee, J.; Patel, D.S.; Ståhle, J.; Park, S.; Kern, N.R.; Kim, S.; Lee, J.; Cheng, X.; Valvano, M.A.; Holst, O.; et al. Charmm-Gui Membrane Builder for Complex Biological Membrane Simulations with Glycolipids and Lipoglycans. J. Chem. Theory Comput. 2019, 15, 775–786. [Google Scholar] [CrossRef] [PubMed]
- Park, S.; Choi, Y.K.; Kim, S.; Lee, J.; Im, W. Charmm-Gui Membrane Builder for Lipid Nanoparticles with Ionizable Cationic Lipids and Pegylated Lipids. J. Chem. Inf. Model. 2021, 61, 5192–5202. [Google Scholar] [CrossRef] [PubMed]
- CharlesHahn. Charleshahn/Duivytools: Confusion, That’s My Epitaph (V0.6.0). Zenodo. Available online: https://zenodo.org/doi/10.5281/zenodo.6339993 (accessed on 5 December 2024).
- Hou, C.; Sha, W.; Li, Y.; Yao, M.; Ren, J. A Modified Xanthine Oxidase Cell Model for Screening of Antihyperuricemic Functional Compounds. Food Funct. 2022, 13, 10546–10557. [Google Scholar] [CrossRef] [PubMed]
- Nishino, T.; Okamoto, K.; Eger, B.T.; Pai, E.F.; Nishino, T. Mammalian Xanthine Oxidoreductase—Mechanism of Transition from Xanthine Dehydrogenase to Xanthine Oxidase. FEBS J. 2008, 275, 3278–3289. [Google Scholar] [CrossRef]
- Pei, X.; Li, F.; Zhang, Y.; Huang, X.; Yu, F.; Su, L.; Liu, X.; Wang, C. Preparation, Purification, and Identification of Novel Feather Keratin-Derived Peptides with Antioxidative and Xanthine Oxidase Inhibitory Activities. J. Agric. Food. Chem. 2023, 71, 8061–8070. [Google Scholar] [CrossRef]
- Jayaraj, P.; Mathew, B.; Parimaladevi, B.; Ramani, V.A.; Govindarajan, R. Isolation of a Bioactive Flavonoid from Spilanthes calva D.C. In Vitro Xanthine Oxidase Assay and in Silico Study. Biomed. Prev. Nutr. 2014, 4, 481–484. [Google Scholar] [CrossRef]
- Zhao, Q.; Meng, Y.; Liu, J.; Hu, Z.; Du, Y.; Sun, J.; Mao, X. Separation, Identification and Docking Analysis of Xanthine Oxidase Inhibitory Peptides from Pacific Cod Bone-Flesh Mixture. Food Sci. Technol. 2022, 167, 113862. [Google Scholar] [CrossRef]
- Li, Q.; Shi, C.; Wang, M.; Zhou, M.; Liang, M.; Zhang, T.; Yuan, E.; Wang, Z.; Yao, M.; Ren, J. Tryptophan Residue Enhances In Vitro Walnut Protein-Derived Peptides Exerting Xanthine Oxidase Inhibition and Antioxidant Activities. J. Funct. Foods 2019, 53, 276–285. [Google Scholar] [CrossRef]
- Li, Y.; Kang, X.; Li, Q.; Shi, C.; Lian, Y.; Yuan, E.; Zhou, M.; Ren, J. Anti-Hyperuricemic Peptides Derived from Bonito Hydrolysates Based on In Vivo Hyperuricemic Model and In Vitro Xanthine Oxidase Inhibitory Activity. Peptides 2018, 107, 45–53. [Google Scholar] [CrossRef]
- Lu, Y.; Zhao, R.; Wang, C.; Zhang, X.; Wang, C. Deciphering the Non-Covalent Binding Patterns of Three Whey Proteins with Rosmarinic Acid by Multi-Spectroscopic, Molecular Docking and Molecular Dynamics Simulation Approaches. Food Hydrocoll. 2022, 132, 107895. [Google Scholar] [CrossRef]









| Number | Sequence of Peptides | Molecular Weight g/mol | Solubility | Gastrointestinal Absorption | P-Glycoprotein Substrate | Toxin |
|---|---|---|---|---|---|---|
| 1 | AGF | 293.32 | High | High | No | None |
| 2 | DF | 264.28 | High | High | No | None |
| 3 | QPSF | 477.51 | High | High | No | None |
| 4 | AGDDAPR | 700.7 | High | High | No | None |
| 5 | CPEAL | 531.62 | High | High | No | None |
| 6 | QGVM | 433.52 | High | Low | Yes | None |
| 7 | ADF | 351.35 | High | Low | No | None |
| 8 | AGCSAADSF | 827.86 | High | Low | Yes | None |
| 9 | SGF | 309.32 | High | High | No | None |
| 10 | SAF | 323.34 | High | Low | No | None |
| 11 | CAGAR | 476.55 | High | Low | Yes | None |
| 12 | DGCK | 421.47 | High | Low | Yes | None |
| 13 | SVW | 390.43 | Extreme high | Low | No | None |
Disclaimer/Publisher’s Note: The statements, opinions and data contained in all publications are solely those of the individual author(s) and contributor(s) and not of MDPI and/or the editor(s). MDPI and/or the editor(s) disclaim responsibility for any injury to people or property resulting from any ideas, methods, instructions or products referred to in the content. |
© 2025 by the authors. Licensee MDPI, Basel, Switzerland. This article is an open access article distributed under the terms and conditions of the Creative Commons Attribution (CC BY) license (https://creativecommons.org/licenses/by/4.0/).
Share and Cite
Xu, Z.; Gan, M.; Guan, W.; Tian, F.; Wang, Y.; Zhang, J.; Cai, L. In Slico Screening and In Vitro Identification of Hyperuricemia-Inhibiting Peptides from Trachurus japonicus. Foods 2025, 14, 524. https://doi.org/10.3390/foods14030524
Xu Z, Gan M, Guan W, Tian F, Wang Y, Zhang J, Cai L. In Slico Screening and In Vitro Identification of Hyperuricemia-Inhibiting Peptides from Trachurus japonicus. Foods. 2025; 14(3):524. https://doi.org/10.3390/foods14030524
Chicago/Turabian StyleXu, Zexuan, Miaoyu Gan, Weiliang Guan, Fang Tian, Yuxi Wang, Jinjie Zhang, and Luyun Cai. 2025. "In Slico Screening and In Vitro Identification of Hyperuricemia-Inhibiting Peptides from Trachurus japonicus" Foods 14, no. 3: 524. https://doi.org/10.3390/foods14030524
APA StyleXu, Z., Gan, M., Guan, W., Tian, F., Wang, Y., Zhang, J., & Cai, L. (2025). In Slico Screening and In Vitro Identification of Hyperuricemia-Inhibiting Peptides from Trachurus japonicus. Foods, 14(3), 524. https://doi.org/10.3390/foods14030524

