Advances in Spray-Drying and Freeze-Drying Technologies for the Microencapsulation of Instant Tea and Herbal Powders: The Role of Wall Materials
Abstract
1. Introduction
2. Instant Tea Powder Production
2.1. Spray-Drying Technology
2.2. Freeze-Drying Technology
3. Wall Materials
3.1. Modified Starches
3.1.1. Maltodextrin
3.1.2. β-Cyclodextrin
3.1.3. Chitosan
3.2. Gums
3.2.1. Gum Arabic
3.2.2. Sodium Alginate
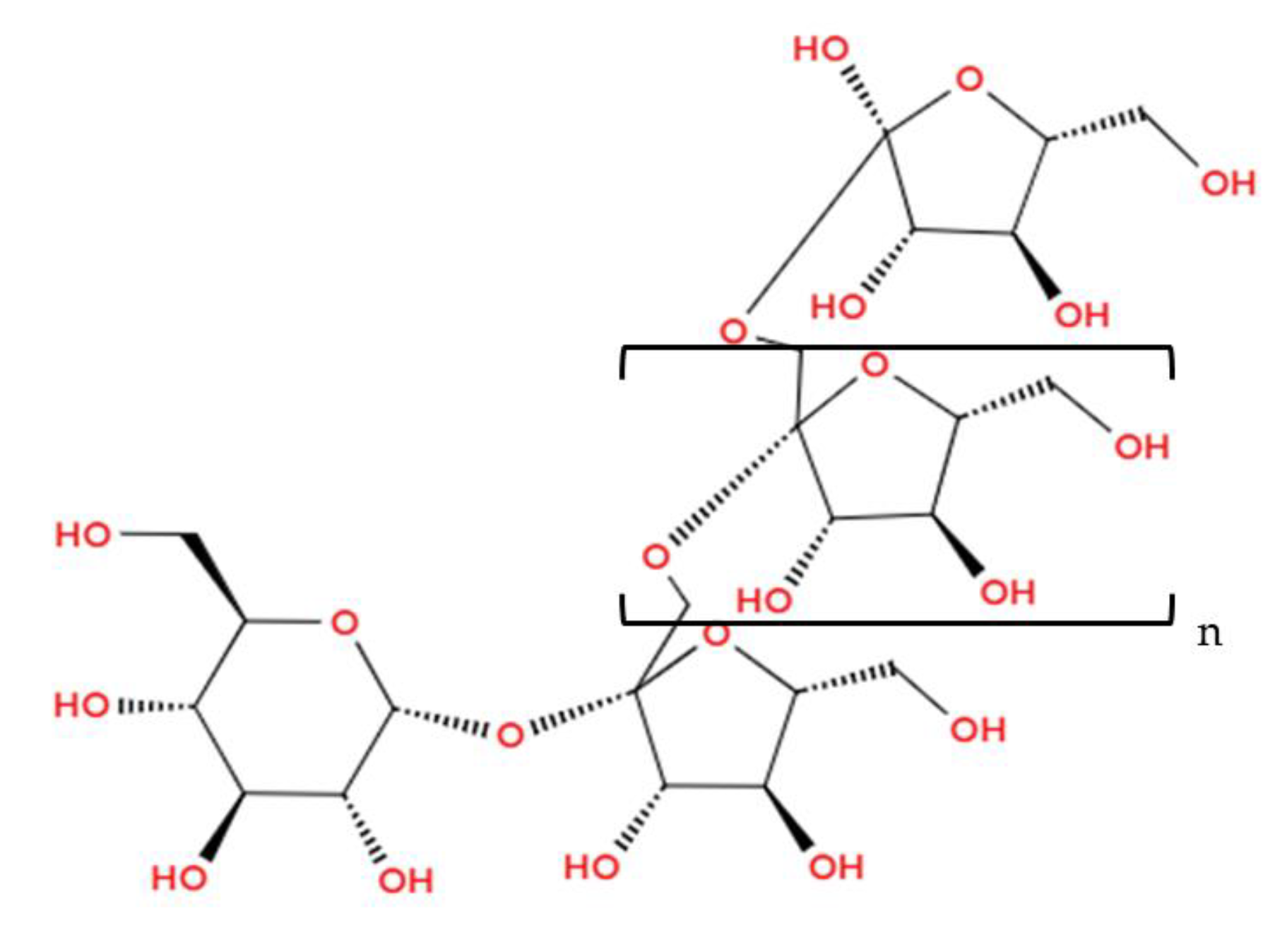
3.3. Inulin
3.4. Whey Protein Isolate
4. Conclusions
Author Contributions
Funding
Institutional Review Board Statement
Informed Consent Statement
Data Availability Statement
Acknowledgments
Conflicts of Interest
References
- Dou, Q.P. Tea in Health and Disease. Nutrients 2019, 11, 929. [Google Scholar] [CrossRef] [PubMed]
- Latifi, Z.; Biderooni, B.I.; Ebrahimi, P.; Moghadam, S.K.; Azadi, R.; Nasiraie, L.R. Effect of adding cinnamon and using spray drying method on antioxidant properties of instant green tea. Arch. Pharm. Pract. 2020, 11, 118–123. [Google Scholar]
- Sinija, V.R.; Mishra, H.N.; Bal, S. Process technology for production of soluble tea powder. J. Food Eng. 2007, 82, 276–283. [Google Scholar] [CrossRef]
- Panyor, A. Gyógynövény-fogyasztási szokások vizsgálata. Gazdálkodás Sci. J. Agric. Econ. 2011, 55, 387–394. [Google Scholar] [CrossRef]
- Mora-Flórez, L.S.; Cabrera-Rodríguez, D.; Hernández-Carrión, M. Encapsulation of Menthol and Luteolin Using Hydrocolloids as Wall Material to Formulate Instant Aromatic Beverages. Foods 2023, 12, 2080. [Google Scholar] [CrossRef]
- Vladić, J.; Ambrus, R.; Szabó-Révész, P.; Vasić, A.; Cvejin, A.; Pavlić, B.; Vidović, S. Recycling of filter tea industry by-products: Production of A. millefolium powder using spray drying technique. Ind. Crops Prod. 2016, 80, 197–206. [Google Scholar] [CrossRef]
- Pérez-Marroquín, X.A.; Estrada-Fernández, A.G.; García-Ceja, A.; Aguirre-Álvarez, G.; León-López, A. Agro-Food Waste as an Ingredient in Functional Beverage Processing: Sources, Functionality, Market and Regulation. Foods 2023, 12, 1583. [Google Scholar] [CrossRef]
- Vardanega, R.; Muzio, A.F.V.; Silva, E.K.; Prata, A.S.; Meireles, M.A.A. Obtaining functional powder tea from Brazilian ginseng roots: Effects of freeze and spray drying processes on chemical and nutritional quality, morphological and redispersion properties. Food Res. Int. 2019, 116, 932–941. [Google Scholar] [CrossRef]
- Kalušević, A.; Veljović, M.; Salević, A.; Lević, S.; Stamenković-Ðoković, M.; Bugarski, B.; Nedović, V. Microencapsulation of herbal extract by spray drying. Work Fac. Agric. Univ. Sarajevo 2016, 61, 151–155. [Google Scholar]
- Lee, S.Y.; Ferdinand, V.; Siow, L.F. Effect of drying methods on yield, physicochemical properties, and total polyphenol content of chamomile extract powder. Front. Pharmacol. 2022, 13, 1003209. [Google Scholar] [CrossRef]
- Şahin-Nadeem, H.; Dinçer, C.; Torun, M.; Topuz, A.; Özdemir, F. Influence of inlet air temperature and carrier material on the production of instant soluble sage (Salvia fruticosa Miller) by spray drying. LWT—Food Sci. Technol. 2013, 52, 31–38. [Google Scholar] [CrossRef]
- Fakher Dizaji, M.; HamidiSepehr, A.; Chegini, G.; Khazaei, J.; Mansuri, A. Influence of Hot Bed Spray Dryer Parameters on Physical Properties of Peppermint (Mentha piperita L.) Tea Powder. Int. J. Food Eng. 2015, 11, 115–125. [Google Scholar] [CrossRef]
- Tran, T.T.A.; Nguyen, H.V.H. Effects of Spray-Drying Temperatures and Carriers on Physical and Antioxidant Properties of Lemongrass Leaf Extract Powder. Beverages 2018, 4, 84. [Google Scholar] [CrossRef]
- Tülek, Z.; Alaşalvar, H.; Başyiğit, B.; Berktas, S.; Salum, P.; Erbay, Z.; Telci, I.; Çam, M. Extraction optimization and microencapsulation of phenolic antioxidant compounds from lemon balm (Melissa officinalis L.): Instant soluble tea production. J. Food Process. Preserv. 2021, 45, e14995. [Google Scholar] [CrossRef]
- Eroğlu, E.; Tontul, İ.; Topuz, A. Optimization of aqueous extraction and spray drying conditions for efficient processing of hibiscus blended rosehip tea powder. J. Food Process. Preserv. 2018, 42, e13643. [Google Scholar] [CrossRef]
- Idham, Z.; Muhamad, I.I.; Sarmidi, M.R. Degradation kinetics and color stability of spray-dried encapsulated anthocyanins from hibiscus sabdariffa L. J. Food Process Eng. 2012, 35, 522–542. [Google Scholar] [CrossRef]
- Nguyen, T.T.L.; Minh, T.L.; Do, D.Q.; Nguyen, N.-V.T. Optimization of alcohol extraction and spray-drying conditions for efficient processing and quality evaluation of instant tea powder from lotus and green tea leaves. Pharmacia 2022, 69, 621–630. [Google Scholar] [CrossRef]
- Thuong, N.N.P.; Duong, V.N.; Le Van, T.; Minh, P.T.T.; Giang, B.L.; Quoc, T.T. Instant tea from Condonopsis javanica L. root extract via spray drying. Foods Raw Mater. 2020, 8, 385–391. [Google Scholar] [CrossRef]
- Perera, G.A.A.R.; Amarakoon, A.M.T.; Illeperuma, D.C.K.; Muthukumarana, P.K.P. Effects of raw material on the chemical composition, organoleptic properties, antioxidant activity, physical properties and the yield of instant black tea. LWT—Food Sci. Technol. 2015, 63, 745–750. [Google Scholar] [CrossRef]
- Şahin-Nadeem, H.; Torun, M.; Özdemir, F. Spray drying of the mountain tea (Sideritis stricta) water extract by using different hydrocolloid carriers. LWT—Food Sci. Technol. 2011, 44, 1626–1635. [Google Scholar] [CrossRef]
- Fang, Z.; Bhandari, B. Encapsulation of polyphenols—A review. Trends Food Sci. Technol. 2010, 21, 510–523. [Google Scholar] [CrossRef]
- Goula, A.M.; Adamopoulos, K.G.; Kazakis, N.A. Influence of Spray Drying Conditions on Tomato Powder Properties. Dry. Technol. 2004, 22, 1129–1151. [Google Scholar] [CrossRef]
- Zhang, Y.H.; Chen, G.S.; Chen, J.X.; Liu, Z.Q.; Yu, L.Y.; Yin, J.F.; Xu, Y.Q. Effects of β-Cyclodextrin and Sodium Ascorbate on the Chemical Compositions and Sensory Quality of Instant Green Tea Powder during Storage. J. Chem. 2019, 2019, 5618723. [Google Scholar] [CrossRef]
- Pasrija, D.; Ezhilarasi, P.N.; Indrani, D.; Anandharamakrishnan, C. Microencapsulation of green tea polyphenols and its effect on incorporated bread quality. LWT—Food Sci. Technol. 2015, 64, 289–296. [Google Scholar] [CrossRef]
- Jo, C.; Son, J.H.; Son, C.B.; Byun, M.W. Functional properties of raw and cooked pork patties with added irradiated, freeze-dried green tea leaf extract powder during storage at 4 °C. Meat Sci. 2003, 64, 13–17. [Google Scholar] [CrossRef]
- Fachinello, M.R.; Vital, A.C.P.; Chambo, A.P.S.; Wielewski, P.; Matumoto-Pintro, P.T. Effect of freeze-dried green tea added in hamburgers as source of antioxidant during freezing storage. J. Food Process. Preserv. 2018, 42, e13780. [Google Scholar] [CrossRef]
- Gharsallaoui, A.; Roudaut, G.; Chambin, O.; Voilley, A.; Saurel, R. Applications of spray-drying in microencapsulation of food ingredients: An overview. Food Res. Int. 2007, 40, 1107–1121. [Google Scholar] [CrossRef]
- Madene, A.; Jacquot, M.; Scher, J.; Desobry, S. Flavour encapsulation and controlled release–a review. Int. J. Food Sci. Technol. 2006, 41, 1–21. [Google Scholar] [CrossRef]
- Risch, S.J. Encapsulation: Overview of Uses and Techniques. In Encapsulation and Controlled Release of Food Ingredients, 2nd ed.; Risch, S.J., Reineccius, G.A., Eds.; American Chemical Society: Washington, DC, USA, 1995; pp. 2–7. [Google Scholar] [CrossRef]
- Braga, V.; Guidi, L.R.; de Santana, R.C.; Zotarelli, M.F. Production and characterization of pineapple-mint juice by spray drying. Powder Technol. 2020, 375, 409–419. [Google Scholar] [CrossRef]
- Pandey, R.K.; Manimehalai, N. Production of instant tea powder by spray drying. Int. J. Agric. Food Sci. Technol. 2014, 5, 197–202. [Google Scholar]
- Vuong, Q.V.; Golding, J.B.; Nguyen, M.H.; Roach, P.D. Preparation of decaffeinated and high caffeine powders from green tea. Powder Technol. 2013, 233, 169–175. [Google Scholar] [CrossRef]
- Díaz-Montes, E. Wall Materials for Encapsulating Bioactive Compounds via Spray-Drying: A Review. Polymers 2023, 15, 2659. [Google Scholar] [CrossRef] [PubMed]
- Kraujalytė, V.; Pelvan, E.; Alasalvar, C. Volatile compounds and sensory characteristics of various instant teas produced from black tea. Food Chem. 2016, 194, 864–872. [Google Scholar] [CrossRef] [PubMed]
- Sinija, V.R.; Mishra, H.N. Moisture sorption isotherms and heat of sorption of instant (soluble) green tea powder and green tea granules. J. Food Eng. 2008, 86, 494–500. [Google Scholar] [CrossRef]
- Caliskan, G.; Dirim, S.N. The effect of different drying processes and the amounts of maltodextrin addition on the powder properties of sumac extract powders. Powder Technol. 2016, 287, 308–314. [Google Scholar] [CrossRef]
- Deis, R.C. Spray-drying-innovative use of an old process. Food Prod. Des. 1997, 7, 97–113. [Google Scholar]
- Mohammed, N.K.; Tan, C.P.; Manap, Y.A.; Muhialdin, B.J.; Hussin, A.S.M. Spray Drying for the Encapsulation of Oils—A Review. Molecules 2020, 25, 3873. [Google Scholar] [CrossRef]
- Chaabane, D.; Yakdhane, A.; Vatai, G.; Koris, A.; Nath, A. Microencapsulation of olive oil: A comprehensive review. Period. Polytech. Chem. Eng. 2022, 66, 354–366. [Google Scholar] [CrossRef]
- Kasapoğlu, K.N.; Gültekin-Özgüven, M.; Kruger, J. Effect of spray drying on the stability and antioxidant capacity of Rosa pimpinellifolia fruit extract-loaded liposomes with chitosan or whey protein during in vitro digestion. Food Bioprocess Technol. 2024, 17, 3162–3176. [Google Scholar] [CrossRef]
- Patel, R.P.; Patel, M.P.; Suthar, A.M. Spray drying technology: An overview. Indian J. Sci. Technol. 2009, 2, 44–47. [Google Scholar] [CrossRef]
- Santos, D.; Maurício, A.C.; Sencadas, V.; Santos, J.D.; Fernandes, M.H.; Gomes, P.S. Spray drying: An overview. Biomater. Phys. Chem. New Ed. 2018, 2, 9–35. [Google Scholar] [CrossRef]
- George, S.; Thomas, A.; Kumar, M.V.P.; Kamdod, A.S.; Rajput, A.; Joshi, J.T.; Abdullah, S. Impact of processing parameters on the quality attributes of spray-dried powders: A review. Eur. Food Res. Technol. 2023, 249, 241–257. [Google Scholar] [CrossRef]
- Alp, D.; Bulantekin, Ö. The microbiological quality of various foods dried by applying different drying methods: A review. Eur. Food Res. Technol. 2011, 247, 1333–1343. [Google Scholar] [CrossRef]
- Beuchat, L.R.; Komitopoulou, E.; Beckers, H.; Betts, R.P.; Bourdichon, F.; Fanning, S.; Joosten, H.M.; Ter Kuile, B.H. Low-water activity foods: Increased concern as vehicles of foodborne pathogens. J. Food Prot. 2013, 76, 150–172. [Google Scholar] [CrossRef]
- Barbosa-Cánovas, G.V.; Juliano, P. Physical and Chemical Properties of Food Powders. In Encapsulated Powdered Foods; CRC Press: Boca Raton, FL, USA, 2005; pp. 39–74. [Google Scholar]
- Ueda, J.M.; Morales, P.; Fernández-Ruiz, V.; Ferreira, A.; Barros, L.; Carocho, M.; Heleno, S.A. Powdered Foods: Structure, Processing, and Challenges: A Review. Appl. Sci. 2023, 13, 12496. [Google Scholar] [CrossRef]
- Baldinger, A.; Clerdent, L.; Rantanen, J.; Yang, M.; Grohganz, H. Quality by design approach in the optimization of the spray-drying process. Pharm. Dev. Technol. 2011, 17, 389–397. [Google Scholar] [CrossRef]
- Liu, H.-Y.; Liu, Y.; Mai, Y.-H.; Guo, H.; He, X.-Q.; Xia, Y.; Li, H.; Zhuang, Q.-G.; Gan, R.-Y. Phenolic Content, Main Flavonoids, and Antioxidant Capacity of Instant Sweet Tea (Lithocarpus litseifolius [Hance] Chun) Prepared with Different Raw Materials and Drying Methods. Foods 2021, 10, 1930. [Google Scholar] [CrossRef]
- Baltrusch, K.L.; Torres, M.D.; Domínguez, H.; Flórez-Fernández, N. Spray-drying microencapsulation of tea extracts using green starch, alginate or carrageenan as carrier materials. Int. J. Biol. Macromol. 2022, 203, 417–429. [Google Scholar] [CrossRef]
- Belščak-Cvitanović, A.; Lević, S.; Kalušević, A.; Špoljarić, I.; Đorđević, V.; Komes, D.; Mršić, G.; Nedović, V. Efficiency assessment of natural biopolymers as encapsulants of green tea (Camellia sinensis L.) bioactive compounds by spray drying. Food Bioprocess Technol. 2015, 8, 2444–2460. [Google Scholar] [CrossRef]
- Ribeiro, A.M.; Estevinho, B.N.; Rocha, F. Spray drying encapsulation of elderberry extract and evaluating the release and stability of phenolic compounds in encapsulated powders. Food Bioprocess Technol. 2019, 12, 1381–1394. [Google Scholar] [CrossRef]
- Alkali, Z.J. Supercritical Fluid Extraction of Camellia sinensis (L.) Kuntze (tea) Catechins and Enhancement of Their Stability Through Microencapsulation. Ph.D. Thesis, School of Graduate Studies, University Putra Malaysia, Selangor, Malaysia, 2017. [Google Scholar] [CrossRef]
- Baltaci, C.; Erkmen Bostanci, D.; Altintaş, R.; Dalkiran, Y.; Akdoğan, A.; Okan, O.T. Physicochemical Properties, Antioxidant Capacity and Sensory Acceptability of Instant Rosehip Teas Prepared by Spray-Drying and Freeze-Drying Methods. Pol. J. Food Nutr. Sci. 2024, 74, 244–254. [Google Scholar] [CrossRef]
- Çelik, M. Production of Instant Powder Green Tea Enriched with Herbal Mixtures. Master’s Thesis, Middle East Technical University, Ankara, Turkey, 2023. [Google Scholar]
- Chang, Y.X.; Yang, J.J.; Pan, R.L.; Chang, Q.; Liao, Y.H. Anti-hygroscopic effect of leucine on spray-dried herbal extract powders. Powder Technol. 2014, 266, 388–395. [Google Scholar] [CrossRef]
- Chaumun, M.; Goëlo, V.; Ribeiro, A.M.; Rocha, F.; Estevinho, B.N. In vitro evaluation of microparticles with Laurus nobilis L. extract prepared by spray-drying for application in food and pharmaceutical products. Food Bioprod. Process. 2020, 122, 124–135. [Google Scholar] [CrossRef]
- de Barros Fernandes, R.V.; Borges, S.V.; Botrel, D.A. Gum arabic/starch/maltodextrin/inulin as wall materials on the microencapsulation of rosemary essential oil. Carbohydr. Polym. 2014, 101, 524–532. [Google Scholar] [CrossRef]
- Escobar-Avello, D.; Avendaño-Godoy, J.; Santos, J.; Lozano-Castellón, J.; Mardones, C.; von Baer, D.; Luengo, J.; Lamuela-Raventós, R.M.; Vallverdú-Queralt, A.; Gómez-Gaete, C. Encapsulation of Phenolic Compounds from a Grape Cane Pilot-Plant Extract in Hydroxypropyl Beta-Cyclodextrin and Maltodextrin by Spray Drying. Antioxidants 2021, 10, 1130. [Google Scholar] [CrossRef]
- Fang, Z.; Bhandari, B. Comparing the efficiency of protein and maltodextrin on spray drying of bayberry juice. Food Res. Int. 2012, 48, 478–483. [Google Scholar] [CrossRef]
- Flores, F.P.; Singh, R.K.; Kong, F. Physical and storage properties of spray-dried blueberry pomace extract with whey protein isolate as wall material. J. Food Eng. 2014, 137, 1–6. [Google Scholar] [CrossRef]
- Hundre, S.Y.; Karthik, P.; Anandharamakrishnan, C.J.F.C. Effect of whey protein isolate and β-cyclodextrin wall systems on stability of microencapsulated vanillin by spray–freeze drying method. Food Chem. 2015, 174, 16–24. [Google Scholar] [CrossRef]
- Insang, S.; Kijpatanasilp, I.; Jafari, S.; Assatarakul, K. Ultrasound-assisted extraction of functional compound from mulberry (Morus alba L.) leaf using response surface methodology and effect of microencapsulation by spray drying on quality of optimized extract. Ultrason. Sonochemistry 2022, 82, 105806. [Google Scholar] [CrossRef]
- Kalajahi, S.E.M.; Ghandiha, S. Optimization of spray drying parameters for encapsulation of Nettle (Urtica dioica L.) extract. LWT—Food Sci. Technol. 2022, 158, 113149. [Google Scholar] [CrossRef]
- Kalogeropoulos, N.; Yannakopoulou, K.; Gioxari, A.; Chiou, A.; Makris, D.P. Polyphenol characterization and encapsulation in β-cyclodextrin of a flavonoid-rich Hypericum perforatum (St John’s wort) extract. LWT-Food Sci. Technol. 2010, 43, 882–889. [Google Scholar] [CrossRef]
- Krisetyadi, B.C.; Hermansyah, H. Effect of Outlet Temperature and Total Soluble Solid in 2-Stage Spray Dryer on Black Tea Powder Extract Production. IOP Conf. Ser. Earth Environ. Sci. 2021, 782, 032087. [Google Scholar] [CrossRef]
- Liu, Z.; Zhou, J.; Zeng, Y.; Ouyang, X. The enhancement and encapsulation of Agaricus bisporus flavor. J. Food Eng. 2004, 65, 391–396. [Google Scholar] [CrossRef]
- Minh, N.P.; Nhan, N.P.T.; Han, K.T.N.; Ngan, N.X.; My, S.T.K.; Hien, T.M. Microencapsulation of Fallopia multiflora for Spray Drying of Instant Herbal Tea. J. Pharm. Sci. Res. 2019, 11, 1406–1409. [Google Scholar]
- Mourtzinos, I.; Papadakis, S.E.; Igoumenidis, P.; Karathanos, V.T. Encapsulation of Melissa officinalis leaf’s active compounds in β-cyclodextrin and modified starch. Procedia Food Sci. 2011, 1, 1679–1685. [Google Scholar] [CrossRef]
- Nguyen, Q.D.; Dang, T.T.; Nguyen, T.V.L.; Nguyen, T.T.D.; Nguyen, N.N. Microencapsulation of roselle (Hibiscus sabdariffa L.) anthocyanins: Effects of different carriers on selected physicochemical properties and antioxidant activities of spray-dried and freeze-dried powder. Int. J. Food Prop. 2022, 25, 359–374. [Google Scholar] [CrossRef]
- Oliveira, M.G.D.; Moreira, G.G.; Paz, A.T.S.; Oliveira, T.L.S.; Silva, L.A.D.; Conceição, E.C.D.; Borges, L.L.; Paula, J.R.D. Process optimization of physicochemical properties of spray-dried Hydrocotyle umbellata L. extract. Braz. J. Pharm. Sci. 2023, 59, e21211. [Google Scholar] [CrossRef]
- Pudziuvelyte, L.; Marksa, M.; Jakstas, V.; Ivanauskas, L.; Kopustinskiene, D.M.; Bernatoniene, J. Microencapsulation of Elsholtzia ciliata Herb Ethanolic Extract by Spray-Drying: Impact of Resistant-Maltodextrin Complemented with Sodium Caseinate, Skim Milk, and Beta-Cyclodextrin on the Quality of Spray-Dried Powders. Molecules 2019, 24, 1461. [Google Scholar] [CrossRef]
- Secolin, V.A.; Souza, C.R.F.; Oliveira, W.P. Spray drying of lipid-based systems loaded with Camellia sinensis polyphenols. J. Liposome Res. 2016, 27, 11–20. [Google Scholar] [CrossRef]
- Silva, F.; Torres, L.; Silva, L.; Figueiredo, R.; Garruti, D.; Araújo, T.; Duarte, A.; Brito, D.; Ricardo, N. Cashew gum and maltrodextrin particles for green tea (Camellia sinensis var Assamica) extract encapsulation. Food Chem. 2018, 261, 169–175. [Google Scholar] [CrossRef]
- Someswararao, C.; Srivastav, P.P. A novel technology for production of instant tea powder from the existing black tea manufacturing process. Innov. Food Sci. Emerg. Technol. 2012, 16, 143–147. [Google Scholar] [CrossRef]
- Susantikarn, P.; Donlao, N. Optimization of green tea extracts spray drying as affected by temperature and maltodextrin content. Int. Food Res. J. 2016, 23, 1327. [Google Scholar]
- Tengse, D.D.; Priya, B.; Kumar, P.A.R. Optimization for encapsulation of green tea (Camellia sinensis L.) extract by spray drying technology. J. Food Meas. Charact. 2017, 11, 85–92. [Google Scholar] [CrossRef]
- Thi Aenh Dao, D.; Van Thanh, H.; Viet Ha, D.; Duc Nguyen, V. Optimization of spray-drying process to manufacture green tea powder and its characters. Food Sci. Nutr. 2021, 9, 6566–6574. [Google Scholar] [CrossRef]
- Vidović, S.S.; Vladić, J.Z.; Vaštag, Ž.G.; Zeković, Z.P.; Popović, L.M. Maltodextrin as a carrier of health benefit compounds in Satureja montana dry powder extract obtained by spray drying technique. Powder Technol. 2014, 258, 209–215. [Google Scholar] [CrossRef]
- Vidović, S.; Ramić, M.; Ambrus, R.; Vladić, J.; Szabó-Révész, P.; Gavarić, A. Aronia berry processing by spray drying: From byproduct to high quality functional powder. Food Technol. Biotechnol. 2019, 57, 513. [Google Scholar] [CrossRef]
- Wang, C.; Li, J.; Zhang, Y.; He, Z.; Zhang, Y.; Zhang, X.; Liu, Z. Effects of electrostatic spray drying on the sensory qualities, aroma profile and microstructural features of instant Pu-erh tea. Food Chem. 2022, 373, 131546. [Google Scholar] [CrossRef]
- Zhang, T.; Fang, K.; Ni, H.; Li, T.; Li, L.J.; Li, Q.B.; Chen, F. Aroma enhancement of instant green tea infusion using β-glucosidase and β-xylosidase. Food Chem. 2020, 315, 126287. [Google Scholar] [CrossRef]
- Zokti, J.A.; Sham Baharin, B.; Mohammed, A.S.; Abas, F. Green Tea Leaves Extract: Microencapsulation, Physicochemical and Storage Stability Study. Molecules 2016, 21, 940. [Google Scholar] [CrossRef]
- Katona, G.; Jójártné Laczkovich, O.; Révész, P. Fagyasztva szárítás az innovatív gyógyszerkészítmények előállításában. Gyógyszerészet 2014, 58, 546–553. [Google Scholar]
- Çopur, Ö.U.; İncedayı, B.; Karabacak, A.Ö. Technology and Nutritional Value of Powdered Drinks. In Production and Management of Beverages; Grumezescu, A.M., Holban, A.M., Eds.; Science of Beverages Series 1; Woodhead Publishing: Cambridge, UK, 2019; pp. 47–83. [Google Scholar] [CrossRef]
- Beke, J. Liofilezés (Fagyasztva Szárítás). In Hűtőipari Kézikönyv. Alapismeretek; Mezőgazda Kiadó: Budapest, Hungary, 2002; pp. 52–54. [Google Scholar]
- Ravichai, K.; Muangrat, R. Effect of different coating materials on freeze-drying encapsulation of bioactive compounds from fermented tea leaf wastewater. J. Food Process. Preserv. 2019, 43, e14145. [Google Scholar] [CrossRef]
- Roshanak, S.; Rahimmalek, M.; Goli, S.A.H. Evaluation of seven different drying treatments in respect to total flavonoid, phenolic, vitamin C content, chlorophyll, antioxidant activity and color of green tea (Camellia sinensis or C. assamica) leaves. J. Food Sci. Technol. 2016, 53, 721–729. [Google Scholar] [CrossRef] [PubMed]
- Pudziuvelyte, L.; Marksa, M.; Sosnowska, K.; Winnicka, K.; Morkuniene, R.; Bernatoniene, J. Freeze-Drying Technique for Microencapsulation of Elsholtzia ciliata Ethanolic Extract Using Different Coating Materials. Molecules 2020, 25, 2237. [Google Scholar] [CrossRef] [PubMed]
- Gui-yi, G.; Zhuan, Y.; Qiao-jian, W.; Hai-zhen, M. Study on preparation technology of instant tea powder. J. Light Ind. 2017, 32, 7. [Google Scholar] [CrossRef]
- Zea, L.P.; Yusof, Y.A.; Aziz, M.G.; Ling, C.N.; Amin, N.A.M. Compressibility and dissolution characteristics of mixed fruit tablets made from guava and pitaya fruit powders. Powder Technol. 2013, 247, 112–119. [Google Scholar] [CrossRef]
- Ratti, C. Hot air and freeze-drying of high-value foods: A review. J. Food Eng. 2001, 49, 311–319. [Google Scholar] [CrossRef]
- Khan, A.; Wang, C.; Sun, X.; Killpartrick, A.; Guo, M. Preparation and Characterization of Whey Protein Isolate–DIM Nanoparticles. Int. J. Mol. Sci. 2019, 20, 3917. [Google Scholar] [CrossRef]
- Reineccius, G.; Risch, S.J. Flavor Encapsulation. In Proceedings of the Symposium Sponsored by the Division of Agricultural and Food Chemistry at the 194th Meeting of the American Chemical Society, New Orleans, LA, USA, 30 August–4 September 1987. [Google Scholar] [CrossRef]
- Calvo, P.; Castaño, Á.L.; Lozano, M.; González-Gómez, D. Influence of the microencapsulation on the quality parameters and shelf-life of extra-virgin olive oil encapsulated in the presence of BHT and different capsule wall components. Food Res. Int. 2012, 45, 256–261. [Google Scholar] [CrossRef]
- Du, Q.; Tang, J.; Xu, M.; Lyu, F.; Zhang, J.; Qiu, Y.; Ding, Y. Whey protein and maltodextrin-stabilized oil-in-water emulsions: Effects of dextrose equivalent. Food Chem. 2021, 339, 128094. [Google Scholar] [CrossRef]
- Bhandari, B.R.; Datta, N.; Howes, T. Problems associated with spray drying of sugar-rich foods. Dry. Technol. 1997, 15, 671–684. [Google Scholar] [CrossRef]
- Guntero, V.A.; Peralta, M.; Noriega, P.; Kneeteman, M.N.; Ferretti, C.A. One-Pot Selective Functionalization of Polysaccharides with Urea. Chem. Proc. 2021, 3, 74. [Google Scholar] [CrossRef]
- Xiao, Z.; Xia, J.; Zhao, Q.; Niu, Y.; Zhao, D. Maltodextrin as wall material for microcapsules: A review. Carbohydr. Polym. 2022, 298, 120113. [Google Scholar] [CrossRef] [PubMed]
- Athanasiadis, V.; Palaiogiannis, D.; Bozinou, E.; Lalas, S.I.; Makris, D.P. β-Cyclodextrin-Aided Aqueous Extraction of Antioxidant Polyphenols from Peppermint (Mentha × piperita L.). Oxygen 2022, 2, 424–436. [Google Scholar] [CrossRef]
- Miranda, J.C.D.; Martins, T.E.A.; Veiga, F.; Ferraz, H.G. Cyclodextrins and ternary complexes: Technology to improve solubility of poorly soluble drugs. Braz. J. Pharm. Sci. 2011, 47, 665–681. [Google Scholar] [CrossRef]
- Szente, L. Alap-és alkalmazott kutatások a ciklodextrin technológiában. Magyar Kémiai Folyóirat Kémiai 2022, 128, 130–136. [Google Scholar] [CrossRef]
- Stick, R.V.; Williams, S.J. Disaccharides, Oligosaccharides and Polysaccharides. In Carbohydrates: The Essential Molecules of Life; Elsevier: Amsterdam, The Netherlands, 2009. [Google Scholar] [CrossRef]
- Szejtli, J. Ciklodextrinek és zárványkomplexeik a biotechnológiában és a vegyiparban. Magy. Kémikusok Lapja 1990, 45, 98–106. [Google Scholar]
- Aranaz, I.; Alcántara, A.R.; Civera, M.C.; Arias, C.; Elorza, B.; Heras Caballero, A.; Acosta, N. Chitosan: An Overview of Its Properties and Applications. Polymers 2021, 13, 3256. [Google Scholar] [CrossRef]
- Shetta, A.; Kegere, J.; Mamdouh, W. Comparative study of encapsulated peppermint and green tea essential oils in chitosan nanoparticles: Encapsulation, thermal stability, in-vitro release, antioxidant and antibacterial activities. Int. J. Biol. Macromol. 2019, 126, 731–742. [Google Scholar] [CrossRef]
- Estevinho, B.N.; Carlan, I.; Blaga, A.; Rocha, F. Soluble vitamins (vitamin B12 and vitamin C) microencapsulated with different biopolymers by a spray drying process. Powder Technol. 2016, 289, 71–78. [Google Scholar] [CrossRef]
- Hungarian Ministry of Agriculture. Hungarian Food Codex; Regulation 1-2-2008/84; Hungarian Ministry of Agriculture: Budapest, Hungary, 2024; Available online: https://elelmiszerlanc.kormany.hu/download/c/25/b1000/12200884_2011.pdf (accessed on 16 November 2024).
- Suresh, H.; Mikhael, M.; Ho, V.; Zhou, J. A HPLC-ESI-Q-ToF-MS method for the analysis of monomer constituents in PHGG, gum Arabic and Psyllium Husk prebiotic dietary fibre supplements. Int. J. Food Prop. 2022, 25, 1650–1667. [Google Scholar] [CrossRef]
- Muhamad, I.I.; Jusoh, Y.M.; Nawi, N.M.; Aziz, A.A.; Padzil, A.M.; Lian, H.L. Advanced natural food colorant encapsulation methods: Anthocyanin plant pigment. Nat. Artif. Flavor. Agents Food Dye. 2018, 15, 495–526. [Google Scholar] [CrossRef]
- Hefft, D.I.; Adeutnji, C.O. Alginate in food and beverage formulations. Appl. Seaweeds Food Nutr. 2024, 8, 115–128. [Google Scholar] [CrossRef]
- Yan, P.; Lan, W.; Xie, J. Modification on sodium alginate for food preservation: A review. Trends Food Sci. Technol. 2024, 143, 104217. [Google Scholar] [CrossRef]
- Nasrollahzadeh, M.; Sajjadi, M.; Nezafat, Z.; Shafiei, N. Polysaccharide biopolymer chemistry. Biopolym. Based Met. Nanoparticle Chem. Sustain. Appl. 2021, 3, 45–105. [Google Scholar] [CrossRef]
- Castel, V.; Rubiolo, A.C.; Carrara, C.R. Brea gum as wall material in the microencapsulation of corn oil by spray drying: Effect of inulin addition. Food Res. Int. 2018, 103, 76–83. [Google Scholar] [CrossRef]
- Moldoveanu, S.C. Analytical pyrolysis of polymeric carbohydrates. Anal. Pyrolysis Nat. Org. Polym. 1998, 20, 217–316. [Google Scholar] [CrossRef]
- Gaćina, N. Alternative green wall materials: A new trend in spray drying encapsulation of polyphenols. Croat. J. Food Sci. Technol. 2024, 16, 56–63. [Google Scholar] [CrossRef]











| REFERENCE | CORE MATERIAL | WALL MATERIAL |
|---|---|---|
| Alkali, 2017 [53] | Green tea (Camellia sinensis L.) | Chitosan, Gum Arabic, Maltodextrin |
| Baltaci et al., 2024 [54] | Rosehip fruits (Rosa canina L.) | There is none |
| Baltrusch et al., 2022 [50] | Green tea (Camellia sinensis L.) | Alginate, Carrageenan, Starch |
| Belščak-Cvitanović et al., 2015 [51] | Green tea (Camellia sinensis L.) | Acacia gum, Alginate, Carrageenan, Guar gum, Inulin, LBG, Modified starch, Oligofructose, Pectin, Pea proteins, Whey proteins, Xanthan |
| Braga et al., 2020 [30] | Pineapple (Ananas comosus, Pérola var.) with Spearmint (Mentha spicata) juice | Maltodextrin |
| Caliskan & Dirim, 2016 [36] | Sumac seed extract (Rhus coriaria L.) | Maltodextrin |
| Çelik, 2023 [55] | Green tea (Camellia sinensis L.) with Rockrose (Helianthemum nummularium) | Inulin |
| Chang et al., 2014 [56] | Shuang-Huang-Lian, Mulberry leaves (Morus alba L.), Lucid Ganoderma | Cyclodextrin, Leucin, Silicon dioxide |
| Chaumun et al., 2020 [57] | Bay laurel (Laurus nobilis L.) | Chitosan, Gum Arabic, Sodium alginate |
| de Barros Fernandes et al., 2014 [58] | Rosemary (R. officinalis leaf oil) | Gum Arabic, Inulin, Maltodextrin, Starch |
| Eroğlu et al., 2018 [15] | Roselle (Hibiscus sabdariffa L.) blended Rosehip fruits (Rosa canina L.) | Maltodextrin |
| Escobar-Avello et al., 2021 [59] | Grape cane extract (V. vinifera L. cv. Pinot noir) | Hydroxypropyl β-cyclodextrin, Maltodextrin |
| Fakher Dizaji et al., 2015 [12] | Peppermint (Mentha piperita) | There is none |
| Fang & Bhandari, 2012 [60] | Bayberry juice (Myrica rubra) | Maltodextrin, WPI (whey protein isolate) |
| Flores et al., 2014 [61] | Ripe rabbiteye (“Powderblue” cultivar) blueberries extract | WPI (whey protein isolate) |
| Hundre et al., 2015 [62] | Vanilla Planifolia (vanilin) | β-cyclodextrin, WPI (whey protein isolate) |
| Idham et al., 2012 [16] | Roselle (Hibiscus sabdariffa L.) | Gum Arabic, Maltodextrin, Starch |
| Insang et al., 2022 [63] | Mulberry leaves (Morus alba L.) | Maltodextrin |
| Kalajahi & Ghandiha, 2022 [64] | Nettle (Urtica dioica L.) extract | Maltodextrin |
| Kalogeropoulos et al., 2010 [65] | Hypericum perforatum (St John’s wort) extract | β-cyclodextrin |
| Kalušević et al., 2016 [9] | Peppermint (Mentha piperita), Chamomile (Matricia chamomilla), Wild thyme (Thymus serpyllum), Mountain germander (Teucrium montanum), Winter savory (Satureja montana), Yarrow (Achillea millefolium), Sage (Salvia officinalis), Lemon balm (Melissa officinalis), Centaurea (Erythraea centaurium Pers.), Wall germander (Teucrium chamaedrys), Nettle (Urtica dioica), Wormwood (Artemisia absinthium) | There is none |
| Kasapoğlu et al., 2024 [40] | Rosa pimpinellifolia fruit extract | Chitosan, Whey protein |
| Kraujalytė et al., 2016 [34] | Black tea (Camellia sinensis L.) | There is none |
| Krisetyadi & Hermansyah, 2021 [66] | Black tea (Camellia sinensis L.) | There is none |
| Latifi et al., 2020 [2] | Green tea (Camellia sinensis L.) with Cinnamon (Cinnamomum verum) | There is none |
| Lee et al., 2022 [10] | Chamomile (Matricia chamomilla) | Corn starch |
| Liu et al., 2021 [67] | Sweet Tea (Lithocarpus litseifolius [Hance] Chun) | There is none |
| Minh et al., 2019 [68] | Fallopia multiflora | Maltodextrin |
| Mora-Flórez et al., 2023 [5] | Peppermint (Mentha piperita) and Chamomile (Matricia chamomilla) | Maltodextrin, Sodium caseinate, Soy protein |
| Mourtzinos et al., 2011 [69] | Lemon balm (Melissa officinalis L.) leaf extract | β-cyclodextrin, Modified starch |
| Nguyen et al., 2022 [70] | Lotus and green tea (Camellia sinensis L.) | There is none |
| Nguyen et al., 2022 [17] | Roselle (Hibiscus sabdariffa L.) | Maltodextrin, Trehalose |
| Oliveira et al., 2023 [71] | Hydrocotyle umbellata L. | Maltodextrin, Silicon dioxide |
| Pandey & Manimehalai, 2014 [31] | Black tea (Camellia sinensis L.) | There is none |
| Pasrija et al., 2015 [24] | Green tea (Camellia sinensis L.) | β-cyclodextrin, Maltodextrin |
| Pudziuvelyte et al., 2019 [72] | Vietnamese balm (Elsholtzia ciliata) | β-cyclodextrin, Maltodextrin, Skim milk, Sodium caseinate |
| Ribeiro et al., 2019 [52] | Elderberry extract (Sambucus Nigra L.) | Chitosan, Gum Arabic, Sodium alginate |
| Şahin-Nadeem et al., 2011 [20] | Mountain tea (Sideritis stricta) | Gum Arabic, β-cyclodextrin, Maltodextrin |
| Şahin-Nadeem et al., 2013 [11] | Sage (Salvia fruticosa Miller) | Gum Arabic, β-cyclodextrin, Maltodextrin |
| Sarkhel et al., 2022 [3] | Mulberry leaves (Morus alba L.) | Maltodextrin |
| Secolin et al., 2017 [73] | Green tea (Camellia sinensis L.) | Lactose, Trehalose |
| Silva et al., 2018 [74] | Green tea (Camellia sinensis L.) | Cashew gum, Maltodextrin |
| Sinija & Mishra, 2008 [35] | Green tea (Camellia sinensis L.) | There is none |
| Sinija et al., 2007 [3] | Black tea (Camellia sinensis L.) | There is none |
| Someswararao & Srivastav, 2012 [75] | Black tea (Camellia sinensis L.) | There is none |
| Susantikarn & Donlao, 2016 [76] | Green tea (Camellia sinensis L.) | Maltodextrin |
| Tengse et al., 2017 [77] | Green tea (Camellia sinensis L.) | Maltodextrin |
| Thi Aenh Dao et al., 2021 [78] | Green tea (Camellia sinensis L.) | WPI (whey protein isolate) |
| Thuong et al., 2020 [18] | Codonopsis javanica L. root | Maltodextrin |
| Tran & Nguyen, 2018 [13] | Lemon balm (Melissa officinalis L.) leaf extract | Gum Arabic, Maltodextrin |
| Tülek et al., 2021 [14] | Lemon balm (Melissa officinalis L.) leaf extract | Maltodextrin |
| Vardanega et al., 2019 [8] | Brazilian ginseng (Pfaffia glomerata) root extracts | There is none |
| Vidović et al., 2014 [79] | Satureja montana | Maltodextrin |
| Vidović et al., 2019 [80] | Aronia or black chokeberry (Aronia melanocarpa L.) | Maltodextrin |
| Vladić et al., 2016 [6] | Yarrow (Achillea millefolium) | Maltodextrin |
| Vuong et al., 2013 [32] | Green tea (Camellia sinensis L.) | There is none |
| Wang et al., 2022 [81] | Pu-erh (Camellia sinensis var. assamica) | There is none |
| Zhang et al., 2020 [82] | Green tea (Camellia sinensis L.) | β-Glucosidase, β-Xylosidase |
| Zokti et al., 2016 [83] | Green tea (Camellia sinensis L.) | Gum Arabic, Maltodextrin, Chitosan |
| REFERENCE | CORE MATERIAL | WALL MATERIAL |
|---|---|---|
| Baltaci et al., 2024 [54] | Rosehip fruits (Rosa canina L.) | There is none |
| Caliskan & Dirim, 2016 [36] | Sumac seed extract (Rhus coriaria L.) | Maltodextrin |
| Çelik, 2023 [55] | Green tea (Camellia sinensis L.) with Rockrose (Helianthemum nummularium) | Inulin |
| Fachinello et al., 2018 [26] | Green tea (Camellia sinensis L.) | There is none |
| Gui-yi et al., 2017 [90] | Pu’er tea, Gold Junmei tea, Tie Guanyin tea | There is none |
| Jo et al., 2003 [25] | Green tea (Camellia sinensis L.) | There is none |
| Khan et al., 2019 [93] | 3,3′-Diindolylmethane (DIM) | WPI (whey protein isolate) |
| Kraujalytė et al., 2016 [34] | Black tea (Camellia sinensis L.) | There is none |
| Liu et al., 2021 [67] | Sweet Tea (Lithocarpus litseifolius [Hance] Chun) | There is none |
| Nguyen et al., 2022 [17] | Roselle (Hibiscus sabdariffa L.) | Maltodextrin, Trehalose |
| Pasrija et al., 2015 [24] | Green tea (Camellia sinensis L.) | β-cyclodextrin, Maltodextrin |
| Perera et al., 2015 [19] | Black tea (Camellia sinensis L.) | There is none |
| Pudziuvelyte et al., 2019 [72] | Vietnamese balm (Elsholtzia ciliata) | β-cyclodextrin, Maltodextrin, Skim milk, Sodium caseinate |
| Pudziuvelyte et al., 2020 [89] | Vietnamese balm (Elsholtzia ciliata) | Gum Arabic, Maltodextrin, Skim milk, Sodium caseinate |
| Ravichai & Muangrat 2019 [87] | Concentrated fermented Miang wastewater (CFMW) | Gum Arabic, Maltodextrin, Modified starch |
| Roshanak et al., 2016 [88] | Green tea (Camellia sinensis L.) | There is none |
| Sinija & Mishra, 2008 [35] | Green tea (Camellia sinensis L.) | There is none |
| Sinija et al., 2007 [3] | Black tea (Camellia sinensis L.) | There is none |
| Vardanega et al., 2019 [8] | Brazilian ginseng (Pfaffia glomerata) root extracts | There is none |
Disclaimer/Publisher’s Note: The statements, opinions and data contained in all publications are solely those of the individual author(s) and contributor(s) and not of MDPI and/or the editor(s). MDPI and/or the editor(s) disclaim responsibility for any injury to people or property resulting from any ideas, methods, instructions or products referred to in the content. |
© 2025 by the authors. Licensee MDPI, Basel, Switzerland. This article is an open access article distributed under the terms and conditions of the Creative Commons Attribution (CC BY) license (https://creativecommons.org/licenses/by/4.0/).
Share and Cite
Mazár, J.; Albert, K.; Kovács, Z.; Koris, A.; Nath, A.; Bánvölgyi, S. Advances in Spray-Drying and Freeze-Drying Technologies for the Microencapsulation of Instant Tea and Herbal Powders: The Role of Wall Materials. Foods 2025, 14, 486. https://doi.org/10.3390/foods14030486
Mazár J, Albert K, Kovács Z, Koris A, Nath A, Bánvölgyi S. Advances in Spray-Drying and Freeze-Drying Technologies for the Microencapsulation of Instant Tea and Herbal Powders: The Role of Wall Materials. Foods. 2025; 14(3):486. https://doi.org/10.3390/foods14030486
Chicago/Turabian StyleMazár, Júlia, Krisztina Albert, Zoltán Kovács, András Koris, Arijit Nath, and Szilvia Bánvölgyi. 2025. "Advances in Spray-Drying and Freeze-Drying Technologies for the Microencapsulation of Instant Tea and Herbal Powders: The Role of Wall Materials" Foods 14, no. 3: 486. https://doi.org/10.3390/foods14030486
APA StyleMazár, J., Albert, K., Kovács, Z., Koris, A., Nath, A., & Bánvölgyi, S. (2025). Advances in Spray-Drying and Freeze-Drying Technologies for the Microencapsulation of Instant Tea and Herbal Powders: The Role of Wall Materials. Foods, 14(3), 486. https://doi.org/10.3390/foods14030486

