Influence of the β-Casein Genotype of Cow’s Milk (A1, A2) on the Quality and β-Casomorphin-7 (BCM-7) Content of a Semi-Hard Cheese During Production
Abstract
1. Introduction
2. Materials and Methods
2.1. Material
2.2. Cheese Production, Packaging and Sample Collections
2.2.1. Cheese Production, pH Analysis
2.2.2. Packaging and Storage
2.2.3. Sample Collection
2.3. Analytical Methods
2.3.1. Physicochemical Parameters
2.3.2. Microbiological Parameters
2.3.3. BCM-7 Determination
2.4. Statistical Analysis
3. Results
3.1. Physicochemical Results
3.1.1. Alkaline Phosphatase, pH and aw Values
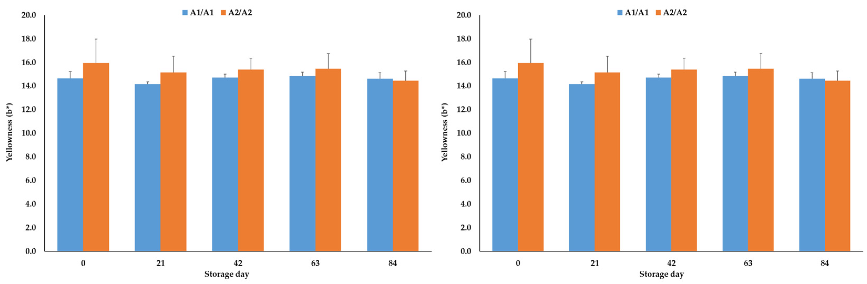
3.1.2. Color Values
3.1.3. Texture, Fat, Protein, NaCl and Dry Matter Values
3.2. Microbiological Results
3.3. BCM-7 Results
4. Discussion
5. Conclusions
Author Contributions
Funding
Institutional Review Board Statement
Informed Consent Statement
Data Availability Statement
Acknowledgments
Conflicts of Interest
References
- Jeong, H.; Park, Y.S.; Yoon, S.S. A2 milk consumption and its health benefits: An update. Food Sci. Biotechnol. 2024, 33, 491–503. [Google Scholar] [CrossRef] [PubMed]
- Cieslinska, A.; Fiedorowicz, E.; Rozmus, D.; Sienkiewicz-Szlapka, E.; Jarmolowska, B.; Kaminski, S. Does a Little Difference Make a Big Difference? Bovine β-Casein A1 and A2 Variants and Human Health-An Update. Int. J. Mol. Sci. 2022, 23, 15637. [Google Scholar] [CrossRef]
- De Vasconcelos, M.L.; Oliveira, L.; Hill, J.P.; Vidal, A.M.C. Difficulties in Establishing the Adverse Effects of β-Casomorphin-7 Released from β-Casein Variants-A Review. Foods 2023, 12, 3151. [Google Scholar] [CrossRef]
- Cieslinska, A.; Kostyra, E.; Kostyra, H.; Olenski, K.; Fiedorowicz, E.; Kaminski, S. Milk from cows of different β-casein genotypes as a source of β-casomorphin-7. Int. J. Food Sci. Nutr. 2012, 63, 426–430. [Google Scholar] [CrossRef] [PubMed]
- Nguyen, D.D.; Busetti, F.; Smolenski, G.; Johnson, S.K.; Solah, V.A. Release of beta-casomorphins during in vitro gastrointestinal digestion of reconstituted milk after heat treatment. LWT 2021, 136, 110312. [Google Scholar] [CrossRef]
- Asledottir, T.; Picariello, G.; Mamone, G.; Ferranti, P.; Roseth, A.; Devold, T.G.; Vegarud, G.E. Degradation of β-casomorphin-7 through in vitro gastrointestinal and jejunal brush border membrane digestion. J. Dairy Sci. 2019, 102, 8622–8629. [Google Scholar] [CrossRef] [PubMed]
- Jarmolowska, B.; Kostyra, E.; Krawczuk, S.; Kostyra, H. β-casomorphin-7 isolated from Brie cheese. J. Sci. Food Agric. 1999, 79, 1788–1792. [Google Scholar] [CrossRef]
- De Noni, I.; Cattaneo, S. Occurrence of β-casomorphins 5 and 7 in commercial dairy products and in their digests following in vitro simulated gastro-intestinal digestion. Food Chem. 2010, 119, 560–566. [Google Scholar] [CrossRef]
- De Noni, I.; Stuknyte, I.; Cattaneo, S. Identification of β-casomorphins 3 to 7 in cheeses and in their in vitro gastrointestinal digestates. LWT Food Sci. Technol. 2015, 63, 550–555. [Google Scholar] [CrossRef]
- Smolenski, G.; Armstrong, K.; Trivedi, M.; Clarke, A. BCM-7 release from processed dairy products containing measured amounts of beta-casein variants. Int. Dairy J. 2025, 161, 106136. [Google Scholar] [CrossRef]
- Summer, A.; Di Frangia, F.; Marsan, P.A.; De Noni, I.; Malacarne, M. Occurrence, biological properties and potential effects on human health of β-casomorphin 7: Current knowledge and concerns. Crit. Rev. Food Sci. Nutr. 2020, 60, 3705–3723. [Google Scholar] [CrossRef]
- De Noni, I.; FitzGerald, R.J.; Korhonen, H.J.T.; Le Roux, Y.; Livesey, C.T.; Thorsdottir, I.; Tome, D.; Witkamp, R. European Food Safety Authority. Review of the potential health impact of β-casomorphins and related peptides. EFSA Sci. Rep. 2009, 231, 1–107. [Google Scholar]
- Robinson, S.R.; Greenway, F.L.; Deth, R.C.; Fayet-Moore, F. Effects of Different Cow-Milk Beta-Caseins on the Gut-Brain Axis: A Narrative Review of Preclinical, Animal, and Human Studies. Nutr. Rev. 2024, nuae099. [Google Scholar] [CrossRef] [PubMed]
- Kay, S.I.S.; Delgado, S.; Mittal, J.; Eshraghi, R.S.; Mittal, R.; Eshraghi, A.A. Beneficial Effects of Milk Having A2 β-Casein Protein: Myth or Reality? J. Nutr. 2021, 151, 1061–1072. [Google Scholar] [CrossRef] [PubMed]
- Fernández-Rico, S.; Mondragón, A.D.; López-Santamarina, A.; Cardelle-Cobas, A.; Regal, P.; Lamas, A.; Ibarra, I.S.; Cepeda, A.; Miranda, J.M. A2 Milk: New Perspectives for Food Technology and Human Health. Foods 2022, 11, 2387. [Google Scholar] [CrossRef] [PubMed]
- Morris, C.A.; Hickey, S.M.; Cullen, N.G.; Prosser, C.G.; Anderson, R.M.; Tate, M.L. Associations between β-casein genotype and milk yield and composition in grazing dairy cows. N. Z. J. Agric. Res. 2005, 48, 441–450. [Google Scholar] [CrossRef]
- de Vitte, K.; Kerziene, S.; Klementaviciute, J.; de Vitte, M.; Dilbiene, V.; Ugenskiene, R.; Bartkiene, E.; Stankevicius, R. Effect of restricted grazing or feeding with total mix ration environments on the properties of milk quantity and quality from dairy cows of different genotypes. Zemdirb. -Agric. 2022, 109, 185–190. [Google Scholar] [CrossRef]
- Ardicli, S.; Aldevir, O.; Aksu, E.; Gumen, A. The variation in the beta-casein genotypes and its effect on milk yield and genomic values in Holstein-Friesian cows. Anim. Biotechnol. 2023, 34, 4116–4125. [Google Scholar] [CrossRef] [PubMed]
- Miluchová, M.; Gábor, M.; Candrák, J. The Effect of the Genotypes of the CSN2 Gene on Test-Day Milk Yields in the Slovak Holstein Cow. Agric.-Basel 2023, 13, 154. [Google Scholar] [CrossRef]
- Nguyen, H.T.H.; Schwendel, H.; Harland, D.; Day, L. Differences in the yoghurt gel microstructure and physicochemical properties of bovine milk containing A1A1 and A2A2 β-casein phenotypes. Food Res. Int. 2018, 112, 217–224. [Google Scholar] [CrossRef] [PubMed]
- Daniloski, D.; McCarthy, N.A.; Gazi, I.; Vasiljevic, T. Rheological and structural properties of acid-induced milk gels as a function of β-casein phenotype. Food Hydrocoll. 2022, 131, 107846. [Google Scholar] [CrossRef]
- Juan, B.; Trujillo, A.J. Acid and Rennet Coagulation Properties of A2 Milk. Foods 2022, 11, 3648. [Google Scholar] [CrossRef] [PubMed]
- Gai, N.; Waldron, D.S.; Uniacke-Lowe, T.; Li, B.; O’Regan, J.; Goulding, D.A.; Kelly, A.L. Influence of β-casein genotype on Cheddar cheese making and ripening. Int. Dairy J. 2024, 149, 105824. [Google Scholar] [CrossRef]
- Zbik, K.; Onopiuk, A.; Górska-Horczyczak, E.; Wierzbicka, A. Trends and Opportunities in the Dairy Industry: A2 Milk and Processing Methods. Appl. Sci. 2024, 14, 6513. [Google Scholar] [CrossRef]
- Mendes, M.O.; de Morais, M.F.; Rodrigues, J.F. A2A2 milk: Brazilian consumers’ opinions and effect on sensory characteristics of Petit Suisse and Minas cheeses. LWT Food Sci. Technol. 2019, 108, 207–213. [Google Scholar] [CrossRef]
- Cattaneo, S.; Masotti, F.; Stuknyte, M.; De Noni, I. Impact of in vitro static digestion method on the release of β-casomorphin-7 from bovine milk and cheeses with A1 or A2 β-casein phenotypes. Food Chem. 2023, 404, 134617. [Google Scholar] [CrossRef]
- Vigolo, V.; Visentin, E.; Ballancin, E.; Lopez-Villalobos, N.; Penasa, M.; De Marchi, M. β-Casein A1 and A2: Effects of polymorphism on the cheese-making process. J. Dairy Sci. 2023, 106, 5276–5287. [Google Scholar] [CrossRef]
- Daniloski, D.; Vasiljevic, T.; Freitas, D.; Comunian, T.A.; Brodkorb, A.; McCarthy, N.A. Physicochemical and simulated gastric digestion properties of A1/A1, A1/ A2 and A2/A2 yoghurts. Food Hydrocoll. 2024, 157, 110430. [Google Scholar] [CrossRef]
- Daniloski, D.; Page, R.M.; Lamichhane, P.; Fitzpatrick, C.J.; Vasiljevic, T.; Brodkorb, A.; Timlin, M.; Murphy, J.P.; O’Callaghan, T.F.; McCarthy, N.A. Cheddar cheese production, structure and in vitro semi-dynamic gastric digestion: The role of β-casein phenotype. Food Res. Intern. 2024, 196, 115008. [Google Scholar] [CrossRef]
- Troch, T.; Lefébure, É.; Baeten, V.; Colinet, F.; Gengler, N.; Sindic, M. Cow milk coagulation: Process description, variation factors and evaluation methodologies. A review. Biotechnol. Agron. Soc. Environ. 2017, 21, 276–287. [Google Scholar] [CrossRef]
- Lucey, J.A.; Johnson, M.E.; Horne, D.S. Invited review: Perspectives on the basis of the rheology and texture properties of cheese. J. Dairy Sci. 2003, 86, 2725–2743. [Google Scholar] [CrossRef] [PubMed]
- Falih, M.A.; Altemimi, A.B.; Hamed Alkaisy, Q.; Awlqadr, F.H.; Abedelmaksoud, T.G.; Amjadi, S.; Hesarinejad, M.A. Enhancing safety and quality in the global cheese industry: A review of innovative preservation techniques. Heliyon 2024, 10, e40459. [Google Scholar] [CrossRef]
- Centeno, J.A.; Carballo, J. Current Advances in Cheese Microbiology. Foods 2023, 12, 2577. [Google Scholar] [CrossRef]
- Wilkinson, M.G.; LaPointe, G. Invited review: Starter lactic acid bacteria survival in cheese: New perspectives on cheese microbiology. J. Dairy Sci. 2020, 103, 10963–10985. [Google Scholar] [CrossRef] [PubMed]
- Coelho, M.C.; Malcata, F.X.; Silva, C.C.G. Lactic Acid Bacteria in Raw-Milk Cheeses: From Starter Cultures to Probiotic Functions. Foods 2022, 11, 2276. [Google Scholar] [CrossRef]
- Kapoor, S.; Goel, A.D.; Jain, V. Milk-borne diseases through the lens of one health. Front. Microbiol. 2023, 14, 1041051. [Google Scholar] [CrossRef]
- Morandi, S.; Pica, V.; Masotti, F.; Cattaneo, S.; Brasca, M.; De Noni, I.; Silvetti, T. Proteolytic Traits of Psychrotrophic Bacteria Potentially Causative of Sterilized Milk Instability: Genotypic, Phenotypic and Peptidomic Insight. Foods 2021, 10, 934. [Google Scholar] [CrossRef] [PubMed]
- Chen, L.; Daniel, R.M.; Coolbear, T. Detection and impact of protease and lipase activities in milk and milk powders. Int. Dairy J. 2003, 13, 255–275. [Google Scholar] [CrossRef]
- Zhang, D.; Palmer, J.; Teh, K.H.; Flint, S. Identification and selection of heat-stable protease and lipase-producing psychrotrophic bacteria from fresh and chilled raw milk during up to five days storage. LWT 2020, 134, 110165. [Google Scholar] [CrossRef]
- Martinez-Rios, V.; Dalgaard, P. Prevalence of Listeria monocytogenes in European cheeses: A systematic review and meta-analysis. Food Control 2018, 84, 205–214. [Google Scholar] [CrossRef]
- Possas, A.; Bonilla-Luque, O.M.; Valero, A. From Cheese-Making to Consumption: Exploring the Microbial Safety of Cheeses through Predictive Microbiology Models. Foods 2021, 10, 355. [Google Scholar] [CrossRef] [PubMed]
- Najera, A.I.; Nieto, S.; Barron, L.J.R.; Albisu, M. A Review of the Preservation of Hard and Semi-Hard Cheeses: Quality and Safety. Int. J. Environ. Res. Public Health 2021, 18, 9789. [Google Scholar] [CrossRef] [PubMed]
- ISO 4833-1:2013; Microbiology of the food chain—Horizontal method for the enumeration of microorganisms. Part 1: Colony count at 30 °C by the pour plate technique. International Organization for Standardization: Geneva, Switzerland, 2013.
- Hallén, E.; Lundén, A.; Tyriseva, A.M.; Westerlind, M.; Andrén, A. Composition of poorly and non-coagulating bovine milk and effect of calcium addition. J. Dairy Res. 2010, 77, 398–403. [Google Scholar] [CrossRef] [PubMed]
- Macciotta, N.P.P.; Cecchinato, A.; Mele, M.; Bittante, G. Use of multivariate factor analysis to define new indicator variables for milk composition and coagulation properties in Brown Swiss cows. J. Dairy Sci. 2012, 95, 7346–7354. [Google Scholar] [CrossRef] [PubMed]
- Hickey, D.K.; Guinee, T.P.; Hou, J.; Wilkinson, M.G. Effects of variation in cheese composition and maturation on water activity in Cheddar cheese during ripening. Int. Dairy J. 2013, 30, 53–58. [Google Scholar] [CrossRef]
- Wemmenhove, E.; Wells-Bennik, M.H.J.; Stara, A.; van Hooijdonk, A.C.M.; Zwietering, M.H. How NaCl and water content determine water activity during ripening of Gouda cheese, and the predicted effect on inhibition of Listeria monocytogenes. J. Dairy Sci. 2016, 99, 5192–5201. [Google Scholar] [CrossRef]
- Johnson, M.E.; Kapoor, R.; McMahon, D.J.; McCoy, D.R.; Narasimmon, R.G. Reduction of Sodium and Fat Levels in Natural and Processed Cheeses: Scientific and Technological Aspects. Compr. Rev. Food Sci. Food Saf. 2009, 8, 252–268. [Google Scholar] [CrossRef] [PubMed]
- McGuinness, L.; Timlin, M.; Murphy, J.P.; Hennessy, D.; Fitzpatrick, E.; McCarthy, K.; Donovan, M.; Callaghan, T.F.O.; Kilcawley, K.N.; Riordan, D.; et al. Impact of feeding regimes and lactation stage on sensory attributes of Cheddar cheese. Food Res. Int. 2024, 180, 114046. [Google Scholar] [CrossRef]
- Wang, Y.J.; Feng, K.B.; Jin, J.H.; Murad, M.S.; Mu, G.Q.; Wu, X.M. Comparison on properties between normal and A2 bovine milk fermented using commercial bacteria mixed with/without two probiotics from human milk. Int. J. Biol. Macromol. 2022, 216, 105–113. [Google Scholar] [CrossRef]
- Gobbetti, M.; Di Cagno, R.; Calasso, M.; Neviani, E.; Fox, P.F.; De Angelis, M. Drivers that establish and assembly the lactic acid bacteria biota in cheeses. Trends Food Sci. Technol. 2018, 78, 244–254. [Google Scholar] [CrossRef]





| Parameters | A1A1 | A2A2 |
|---|---|---|
| Hardness in N | 8.72 ± 3.4 | 18.8 ± 5.4 |
| NaCl (%) | 3.75 ± 0.79 | 3.17 ± 1.02 |
| Fat (%) | 27.3 ± 5.9 | 27.8 ± 7.3 |
| Protein (%) | 24.9 ± 2.8 | 23.8 ± 2.4 |
| Dry matter (%) | 63.8 ± 9.3 | 62.9 ± 7.4 |
Disclaimer/Publisher’s Note: The statements, opinions and data contained in all publications are solely those of the individual author(s) and contributor(s) and not of MDPI and/or the editor(s). MDPI and/or the editor(s) disclaim responsibility for any injury to people or property resulting from any ideas, methods, instructions or products referred to in the content. |
© 2025 by the authors. Licensee MDPI, Basel, Switzerland. This article is an open access article distributed under the terms and conditions of the Creative Commons Attribution (CC BY) license (https://creativecommons.org/licenses/by/4.0/).
Share and Cite
Zinßius, L.; Keuter, L.; Krischek, C.; Jessberger, N.; Cramer, B.; Plötz, M. Influence of the β-Casein Genotype of Cow’s Milk (A1, A2) on the Quality and β-Casomorphin-7 (BCM-7) Content of a Semi-Hard Cheese During Production. Foods 2025, 14, 463. https://doi.org/10.3390/foods14030463
Zinßius L, Keuter L, Krischek C, Jessberger N, Cramer B, Plötz M. Influence of the β-Casein Genotype of Cow’s Milk (A1, A2) on the Quality and β-Casomorphin-7 (BCM-7) Content of a Semi-Hard Cheese During Production. Foods. 2025; 14(3):463. https://doi.org/10.3390/foods14030463
Chicago/Turabian StyleZinßius, Louisa, Lucas Keuter, Carsten Krischek, Nadja Jessberger, Benedikt Cramer, and Madeleine Plötz. 2025. "Influence of the β-Casein Genotype of Cow’s Milk (A1, A2) on the Quality and β-Casomorphin-7 (BCM-7) Content of a Semi-Hard Cheese During Production" Foods 14, no. 3: 463. https://doi.org/10.3390/foods14030463
APA StyleZinßius, L., Keuter, L., Krischek, C., Jessberger, N., Cramer, B., & Plötz, M. (2025). Influence of the β-Casein Genotype of Cow’s Milk (A1, A2) on the Quality and β-Casomorphin-7 (BCM-7) Content of a Semi-Hard Cheese During Production. Foods, 14(3), 463. https://doi.org/10.3390/foods14030463

