Heat and Mass Transfer in Shrimp Hot-Air Drying: Experimental Evaluation and Numerical Simulation
Abstract
1. Introduction
2. Materials and Methods
2.1. Shrimp Sample
2.2. Drying Procedure
2.3. Mathematical Modeling
2.4. Model Parameters
2.4.1. Thermophysical Properties of the Shrimp
2.4.2. Moisture Isotherm and Water Vapor Pressure
2.4.3. Convective Heat Coefficient Experimental Estimation
2.4.4. Convective Mass Transfer Coefficient and Moisture Effective Diffusion Coefficient
2.5. Numerical Solution
2.6. Statistical Parameters
3. Results and Discussion
3.1. Model Validation
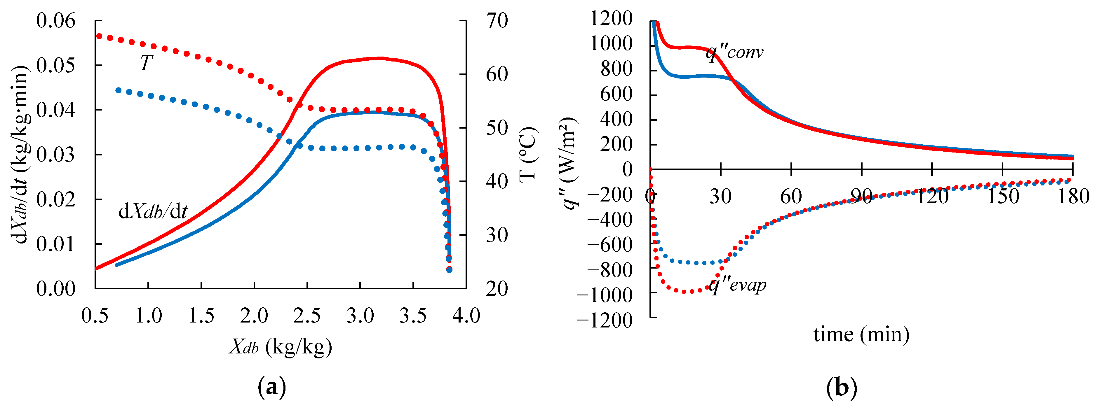
3.2. Dynamic of Heat and Mass Transfer in the Shrimp During Drying
3.3. Effect of the Shrimp Geometry
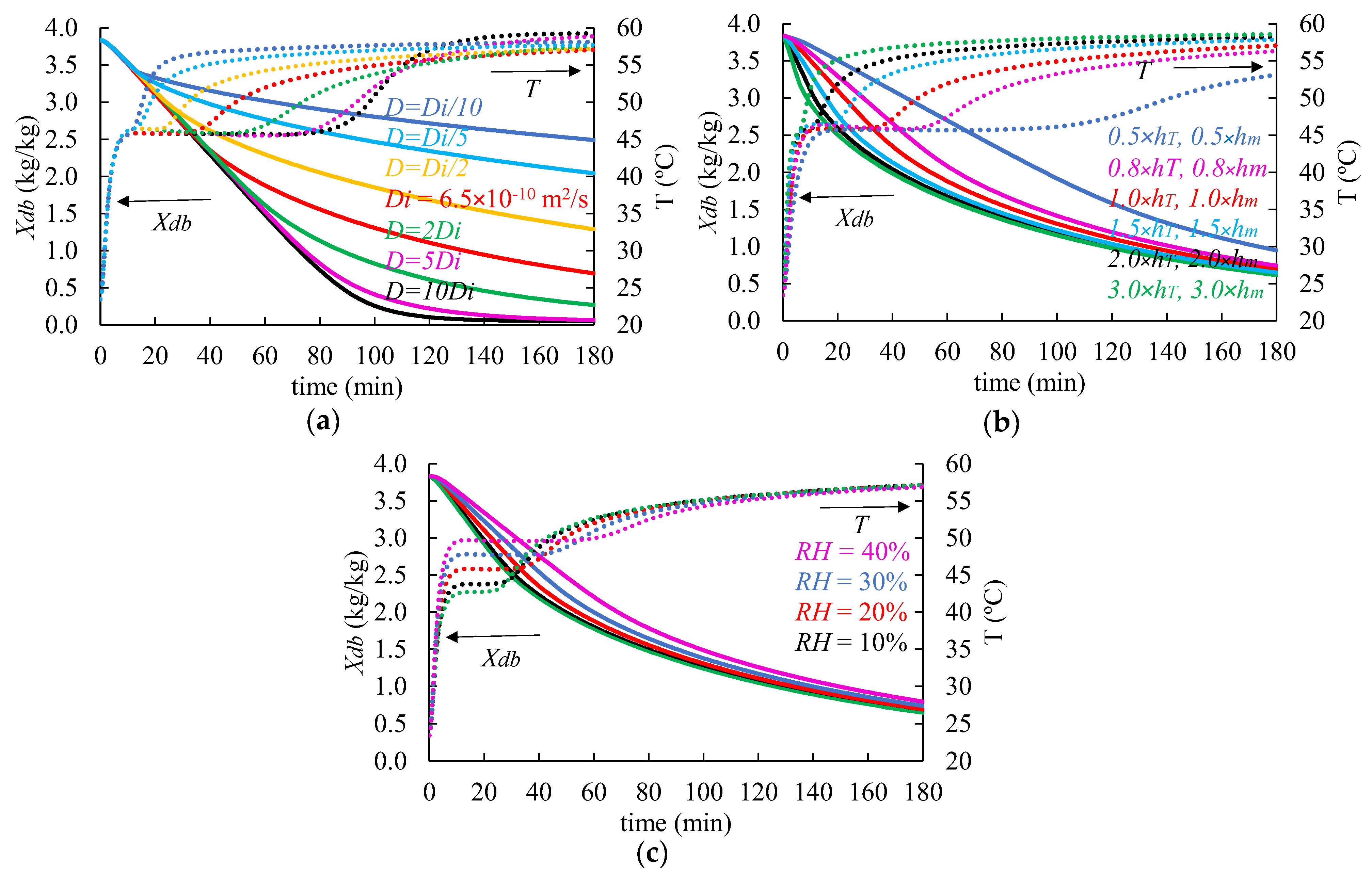
3.4. Parametric Sensitivity Analysis
4. Conclusions
Author Contributions
Funding
Data Availability Statement
Acknowledgments
Conflicts of Interest
References
- Lin, Y.; Gao, Y.; Li, A.; Wang, L.; Ai, Z.; Xiao, H.; Li, J.; Li, X. Improvement of Pacific White Shrimp (Litopenaeus Vannamei) Drying Characteristics and Quality Attributes by a Combination of Salting Pretreatment and Microwave. Foods 2022, 11, 2066. [Google Scholar] [CrossRef] [PubMed]
- Nguyen, M.P.; Ngo, T.T.; Le, T.D. Experimental and Numerical Investigation of Transport Phenomena and Kinetics for Convective Shrimp Drying. Case Stud. Therm. Eng. 2019, 14, 100465. [Google Scholar] [CrossRef]
- Dayal, J.S.; Ponniah, A.G.; Imran Khan, H.; Madhu Babu, E.P.; Ambasankar, K.; Vasagam, K.K. Shrimps—A Nutritional Perspective. Curr. Sci. 2013, 104, 1487–1491. [Google Scholar]
- Okpala, C.O.R.; Choo, W.S.; Dykes, G.A. Quality and Shelf Life Assessment of Pacific White Shrimp (Litopenaeus Vannamei) Freshly Harvested and Stored on Ice. LWT Food Sci. Technol. 2014, 55, 110–116. [Google Scholar] [CrossRef]
- Yu, Q.; Liu, J.; Yang, J.; Lou, Y.; Li, Y.; Zhang, M. Postharvest Preservation Technologies for Marine-Capture Shrimp: A Review. Food Bioprocess Technol. 2023, 16, 2343–2358. [Google Scholar] [CrossRef]
- Narsaiah, K.; Bedi, V.; Ghodki, B.M.; Goswami, T.K. Heat Transfer Modeling of Shrimp in Tunnel Type Individual Quick Freezing System. J. Food Process Eng. 2021, 44, e13838. [Google Scholar] [CrossRef]
- Hu, M.; Wang, S.; Liu, Q.; Cao, R.; Xue, Y. Flavor Profile of Dried Shrimp at Different Processing Stages. LWT 2021, 146, 111403. [Google Scholar] [CrossRef]
- Xu, W.; Zhang, F.; Wang, J.; Ma, Q.; Sun, J.; Tang, Y.; Wang, J.; Wang, W. Real-Time Monitoring of the Quality Changes in Shrimp (Penaeus Vannamei) with Hyperspectral Imaging Technology during Hot Air Drying. Foods 2022, 11, 3179. [Google Scholar] [CrossRef]
- Zhang, D.; Ji, H.; Liu, S.; Gao, J. Similarity of Aroma Attributes in Hot-Air-Dried Shrimp (Penaeus Vannamei) and Its Different Parts Using Sensory Analysis and GC–MS. Food Res. Int. 2020, 137, 109517. [Google Scholar] [CrossRef]
- Neethu, K.C.; Nair, A.R.; Remya, S.; Murali, S.; Aniesrani Delfiya, D.S.; Ninan, G. Response Surface Optimization of Steam Blanching Conditions of Shrimp (Metapenaeus Dobsoni) for Drying in Solar-Electrical Hybrid Dryer. J. Aquat. Food Prod. Technol. 2024, 33, 343–360. [Google Scholar] [CrossRef]
- Akonor, P.T.; Ofori, H.; Dziedzoave, N.T.; Kortei, N.K. Drying Characteristics and Physical and Nutritional Properties of Shrimp Meat as Affected by Different Traditional Drying Techniques. Int. J. Food Sci. 2016, 2016, 7879097. [Google Scholar] [CrossRef] [PubMed]
- Alfiya, P.V.; Rajesh, G.K.; Murali, S.; Delfiya, D.S.A.; Samuel, M.P.; Prince, M.V.; Sudheer, K.P. Process Optimization for Drying of Shrimp (Metapenaeus Dobsoni) under Hot Air-assisted Microwave Drying Technology Using Response Surface Methodology. J. Food Process Eng. 2023, 46, e14338. [Google Scholar] [CrossRef]
- Xuan, X.-T.; Yu, N.; Ding, T.; Shang, H.-T.; Cui, Y.; Lin, X.-D.; Zhu, L. Radio Frequency-Assisted Hot Air Drying of Pacific White Shrimp (Litopenaeus Vannamei): Drying Kinetics, Product Quality and Composition Evaluation. CyTA J. Food 2024, 22, 2303445. [Google Scholar] [CrossRef]
- Wang, Y.; Zhang, M.; Mujumdar, A.S. Trends in Processing Technologies for Dried Aquatic Products. Dry. Technol. 2011, 29, 382–394. [Google Scholar] [CrossRef]
- Niamnuy, C.; Devahastin, S.; Soponronnarit, S.; Vijaya Raghavan, G.S. Modeling Coupled Transport Phenomena and Mechanical Deformation of Shrimp during Drying in a Jet Spouted Bed Dryer. Chem. Eng. Sci. 2008, 63, 5503–5512. [Google Scholar] [CrossRef]
- Parisotto, E.I.B.; Teleken, J.T.; Laurindo, J.B.; Carciofi, B.A.M. Mathematical Modeling and Experimental Assessment of the Cast-Tape Drying. Dry. Technol. 2020, 38, 1024–1035. [Google Scholar] [CrossRef]
- Teleken, J.T.; Quadri, M.B.; Oliveira, A.P.N.; Laurindo, J.B.; Datta, A.K.; Carciofi, B.A.M. Mechanistic Understanding of Microwave-Vacuum Drying of Non-Deformable Porous Media. Dry. Technol. 2020, 39, 850–867. [Google Scholar] [CrossRef]
- Abedini, E.; Hajebzadeh, H.; Ali Mirzai, M.; Zakeri, M. Modeling Transport Phenomena in the Shrimp Drying Process. Sol. Energy 2022, 241, 396–403. [Google Scholar] [CrossRef]
- Alfiya, P.V.; Rajesh, G.K.; Murali, S.; Aniesrani Delfiya, D.S.; Samuel, M.P.; Prince, M.V. Quality Evaluation of Solar and Microwave Dried Shrimps—A Comparative Study on Renewable and Dielectric Heating Methods. Sol. Energy 2022, 246, 234–244. [Google Scholar] [CrossRef]
- Ersan, A.; Tugrul, N. The Drying Kinetics and Characteristics of Shrimp Dried by Conventional Methods. Chem. Ind. Chem. Eng. Q. 2021, 27, 319–328. [Google Scholar] [CrossRef]
- Murali, S.; Delfiya, D.S.A.; Kumar, K.S.; Kumar, L.R.G.; Nilavan, S.E.; Amulya, P.R.; Krishnan, V.S.; Alfiya, P.V.; Samuel, M.P. Mathematical Modeling of Drying Kinetics and Quality Characteristics of Shrimps Dried under a Solar–LPG Hybrid Dryer. J. Aquat. Food Prod. Technol. 2021, 30, 561–578. [Google Scholar] [CrossRef]
- da Costa, M.V.; da Silva, A.K.N.; e Rodrigues, P.R.; da Silva, L.H.M.; Rodrigues, A.M.d.C. Prediction of Moisture Transfer Parameters for Convective Drying of Shrimp at Different Pretreatments. Food Sci. Technol. 2018, 38, 612–618. [Google Scholar] [CrossRef]
- Cheng, S.; Tang, Y.; Zhang, T.; Song, Y.; Wang, X.; Wang, H.; Wang, H.; Tan, M. Approach for Monitoring the Dynamic States of Water in Shrimp during Drying Process with LF-NMR and MRI. Dry. Technol. 2018, 36, 841–848. [Google Scholar] [CrossRef]
- AOAC—Association of Official Analytical Chemists. Official Methods of Analysis of the AOAC International, 14th ed.; AOAC: Washington, DC, USA, 1998. [Google Scholar]
- Kaur, B.P.; Kaushik, N.; Rao, P.S.; Chauhan, O.P. Effect of High-Pressure Processing on Physical, Biochemical, and Microbiological Characteristics of Black Tiger Shrimp (Penaeus Monodon). Food Bioprocess Technol. 2013, 6, 1390–1400. [Google Scholar] [CrossRef]
- Li, X.; Wang, Y.; Li, H.; Jiang, X.; Ji, L.; Liu, T.; Sun, Y. Chemical and Quality Evaluation of Pacific White Shrimp Litopenaeus Vannamei: Influence of Strains on Flesh Nutrition. Food Sci. Nutr. 2021, 9, 5352–5360. [Google Scholar] [CrossRef]
- Mu, H.; Chen, H.; Fang, X.; Mao, J.; Gao, H. Effect of Cinnamaldehyde on Melanosis and Spoilage of Pacific White Shrimp (Litopenaeus Vannamei) during Storage. J. Sci. Food Agric. 2012, 92, 2177–2182. [Google Scholar] [CrossRef]
- Na, S.; Kim, J.-H.; Jang, H.-J.; Park, H.J.; Oh, S.-W. Shelf Life Extension of Pacific White Shrimp (Litopenaeus Vannamei) Using Chitosan and ε-Polylysine during Cold Storage. Int. J. Biol. Macromol. 2018, 115, 1103–1108. [Google Scholar] [CrossRef]
- Nirmal, N.P.; Benjakul, S. Melanosis and Quality Changes of Pacific White Shrimp (Litopenaeus Vannamei) Treated with Catechin during Iced Storage. J. Agric. Food Chem. 2009, 57, 3578–3586. [Google Scholar] [CrossRef]
- Yan, Z.; Sousa-Gallagher, M.J.; Oliveira, F.A.R. Shrinkage and Porosity of Banana, Pineapple and Mango Slices during Air-Drying. J. Food Eng. 2008, 84, 430–440. [Google Scholar] [CrossRef]
- Welty, J.; Wicks, C.E.; Rorrer, G.L.; Wilson, R.E. Fundamentals of Momentum, Heat and Mass Transfer, 5th ed.; John Wiley & Sons: New York, NY, USA, 2008. [Google Scholar]
- Rao, M.; Rizvi, S.H.; Datta, A.K. Engineering Properties of Foods, 3rd ed.; CRC Press: Boca Raton, FL, USA, 2005. [Google Scholar]
- Prachayawarakorn, S.; Soponronnarit, S.; Wetchacama, S.; Jaisut, D. Desorption isotherms and drying characteristics of shrimp in superheated steam and hot air. Dry. Technol. 2002, 20, 669–684. [Google Scholar] [CrossRef]
- Smith, J.M.; van Ness, H.C.; Abbott, M.M. Introduction to Chemical Engineering Thermodynamics, 7th ed.; McGraw Hill Higher Education Inc.: New York, NY, USA, 2007. [Google Scholar]
- Rodrigues, L.G.G.; Parisotto, E.I.B.; Carciofi, B.A.M.; Laurindo, J.B. Experimental approach to assess evaporative cooling under forced air flow. Braz. J. Chem. Eng. 2017, 34, 171–181. [Google Scholar] [CrossRef]
- Bergman, T.L.; Lavine, A.S.; Incropera, F.P.; DeWitt, D.P. Fundamentals of Heat and Mass Transfer, 7th ed.; John Wiley & Sons: New York, NY, USA, 2011. [Google Scholar]
- Ratti, C.; Crapiste, G.H. Determination of heat transfer coefficients during drying of foodstuffs. J. Food Process Eng. 1995, 18, 41–53. [Google Scholar] [CrossRef]
- Carciofi, B.A.M.; Faistel, J.; Aragão, G.M.F.; Laurindo, J.B. Determination of Thermal Diffusivity of Mortadella Using Actual Cooking Process Data. J. Food Eng. 2002, 55, 89–94. [Google Scholar] [CrossRef]
- Porciuncula, B.D.A.; Zotarelli, M.F.; Carciofi, B.A.M.; Laurindo, J.B. Determining the Effective Diffusion Coefficient of Water in Banana (Prata Variety) during Osmotic Dehydration and Its Use in Predictive Models. J. Food Eng. 2013, 119, 490–496. [Google Scholar] [CrossRef]
- Yu, X.-L.; Zielinska, M.; Ju, H.-Y.; Mujumdar, A.S.; Duan, X.; Gao, Z.-J.; Xiao, H.-W. Multistage Relative Humidity Control Strategy Enhances Energy and Exergy Efficiency of Convective Drying of Carrot Cubes. Int. J. Heat Mass Transf. 2020, 149, 119231. [Google Scholar] [CrossRef]
- Panagiotou, N.M.; Krokida, M.K.; Maroulis, Z.B.; Saravacos, G.D. Moisture Diffusivity: Literature Data Compilation for Foodstuffs. Int. J. Food Prop. 2004, 7, 273–299. [Google Scholar] [CrossRef]
- Poós, T.; Varju, E. Mass Transfer Coefficient for Water Evaporation by Theoretical and Empirical Correlations. Int. J. Heat Mass Transf. 2020, 153, 119500. [Google Scholar] [CrossRef]
- Chen, X.D.; Mujumdar, A.S. Drying Technologies in Food Processing; John Wiley & Sons Ltd.: Oxford, UK, 2008. [Google Scholar]
- Delfiya, D.S.A.; Prashob, K.; Murali, S.; Alfiya, P.V.; Kumar, L.R.G.; Samuel, M.P. Design and Development of Hot Air-Assisted Continuous Infrared Drying System for Shrimps. J. Aquat. Food Prod. Technol. 2022, 31, 361–373. [Google Scholar] [CrossRef]
- Nanan, K.; Eiamsa-ard, S.; Chokphoemphun, S.; Kumar, M.; Pimsarn, M.; Chuwattanakul, V. Influence of Bed Height and Drying Temperature on Shrimp Drying Characteristics Using a Fluidized-Bed Dryer. Case Stud. Therm. Eng. 2023, 48, 103144. [Google Scholar] [CrossRef]
- Defraeye, T.; Verboven, P. Convective Drying of Fruit: Role and Impact of Moisture Transport Properties in Modelling. J. Food Eng. 2017, 193, 95–107. [Google Scholar] [CrossRef]
- Curcio, S.; Aversa, M.; Calabrò, V.; Iorio, G. Simulation of Food Drying: FEM Analysis and Experimental Validation. J. Food Eng. 2008, 87, 541–553. [Google Scholar] [CrossRef]









| Property | Equation 1 |
|---|---|
| Density (kg/m3) | |
| Heat capacity (J/kgK) | |
| Thermal conductivity (W/mK) | |
| Temperature (°C) | (°C) | (kg/kg) | ||
|---|---|---|---|---|
| 60 | 0.99 | 0.95 | 0.50 | 0.22 |
| 70 | 0.97 | 0.97 | 1.12 | 0.16 |
Disclaimer/Publisher’s Note: The statements, opinions and data contained in all publications are solely those of the individual author(s) and contributor(s) and not of MDPI and/or the editor(s). MDPI and/or the editor(s) disclaim responsibility for any injury to people or property resulting from any ideas, methods, instructions or products referred to in the content. |
© 2025 by the authors. Licensee MDPI, Basel, Switzerland. This article is an open access article distributed under the terms and conditions of the Creative Commons Attribution (CC BY) license (https://creativecommons.org/licenses/by/4.0/).
Share and Cite
Teleken, J.T.; Amorim, S.M.; Rodrigues, S.S.S.; de Souza, T.W.P.; Ferreira, J.P.; Carciofi, B.A.M. Heat and Mass Transfer in Shrimp Hot-Air Drying: Experimental Evaluation and Numerical Simulation. Foods 2025, 14, 428. https://doi.org/10.3390/foods14030428
Teleken JT, Amorim SM, Rodrigues SSS, de Souza TWP, Ferreira JP, Carciofi BAM. Heat and Mass Transfer in Shrimp Hot-Air Drying: Experimental Evaluation and Numerical Simulation. Foods. 2025; 14(3):428. https://doi.org/10.3390/foods14030428
Chicago/Turabian StyleTeleken, Jhony T., Suélen M. Amorim, Sarah S. S. Rodrigues, Thailla W. P. de Souza, João P. Ferreira, and Bruno A. M. Carciofi. 2025. "Heat and Mass Transfer in Shrimp Hot-Air Drying: Experimental Evaluation and Numerical Simulation" Foods 14, no. 3: 428. https://doi.org/10.3390/foods14030428
APA StyleTeleken, J. T., Amorim, S. M., Rodrigues, S. S. S., de Souza, T. W. P., Ferreira, J. P., & Carciofi, B. A. M. (2025). Heat and Mass Transfer in Shrimp Hot-Air Drying: Experimental Evaluation and Numerical Simulation. Foods, 14(3), 428. https://doi.org/10.3390/foods14030428

