Fraction I of Whey Protein Hydrolysates Improves Lipid Stability and Water Retention in Ground Pork During Freeze–Thaw Cycles
Abstract
1. Introduction
2. Materials and Methods
2.1. Chemicals and Materials
2.2. Preparation of Whey Protein Hydrolysate
2.3. Determination of DPPH Free Radical Scavenging Capacity
2.4. Determination of Ferric Reducing Antioxidant Power
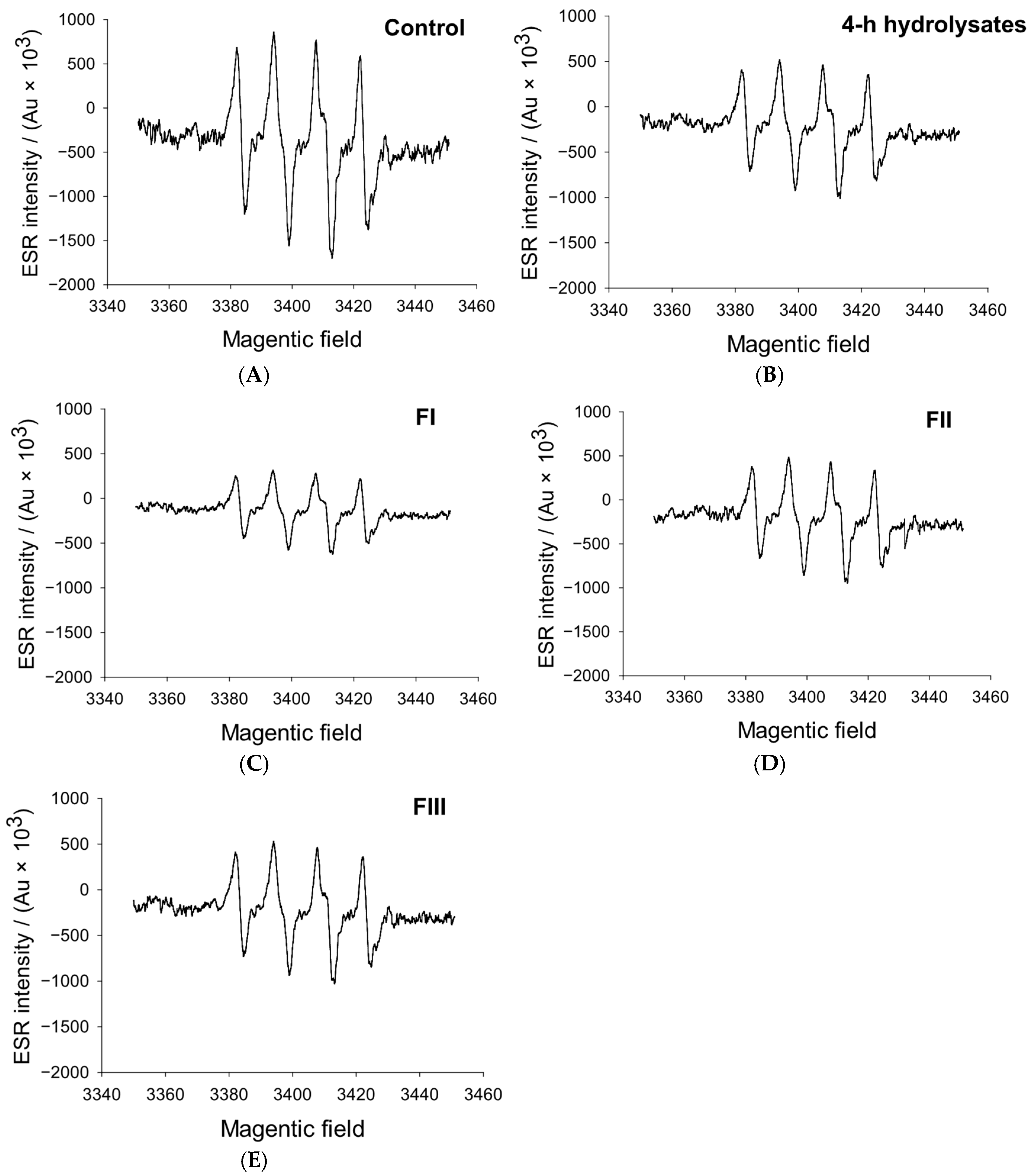
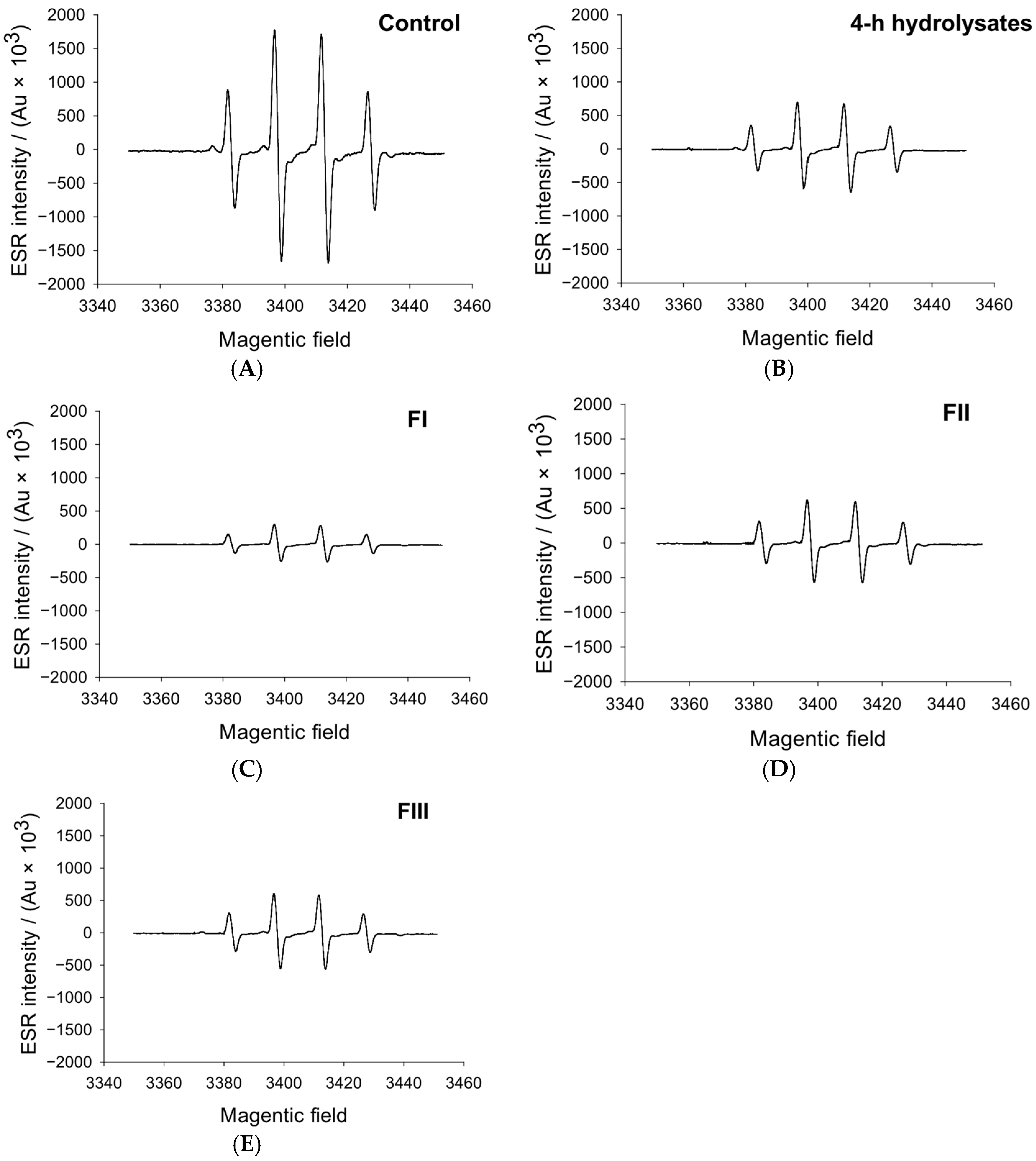
2.5. Determination of Free Radical Scavenging Capacity by Electron Spin Resonance
2.6. Preparation of Ground Pork
2.7. Determination of Acid Value
2.8. Determination of Peroxide Value
2.9. Determination of Thiobarbituric Acid-Reactive Substances
2.10. Determination of pH
2.11. Dynamic Rheological Properties
2.12. Statistical Analysis
3. Results and Discussion
3.1. DPPH Free Radical Scavenging Capacity
3.2. FRAP Assay
3.3. Hydroxyl Radical Analysis
3.4. Superoxide Radical Analysis
3.5. DPPH Radical Analysis
3.6. Acid Value
3.7. Peroxides Value
3.8. TBARS
3.9. pH
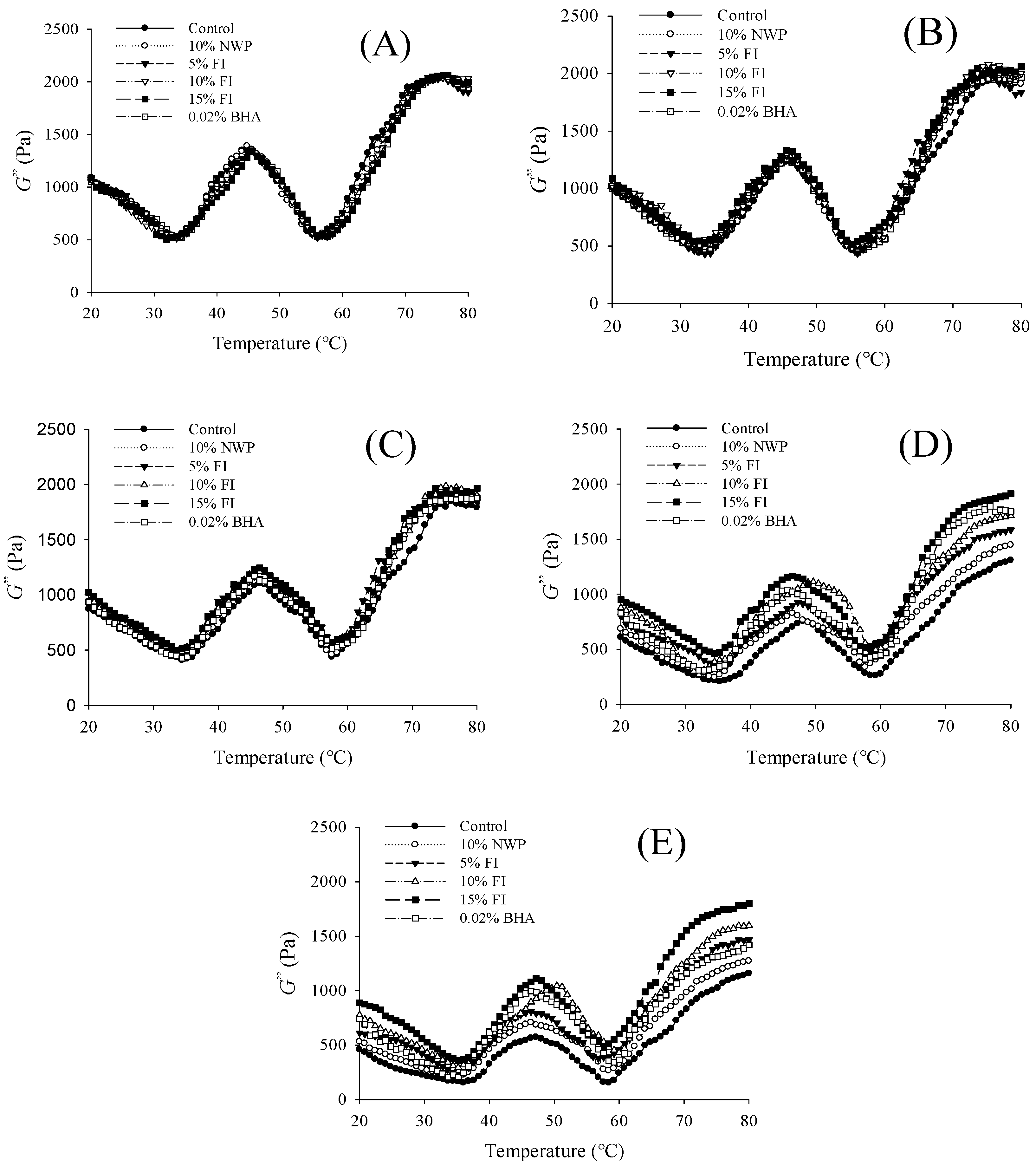
3.10. G″ Value
4. Conclusions
Author Contributions
Funding
Institutional Review Board Statement
Informed Consent Statement
Data Availability Statement
Conflicts of Interest
References
- Zhang, R.; Realini, C.E.; Kim, Y.H.B.; Farouk, M.M. Challenges and processing strategies to produce high quality frozen meat. Meat Sci. 2023, 205, 109311. [Google Scholar] [CrossRef] [PubMed]
- Xie, A.; Sun, D.-W.; Xu, Z.; Zhu, Z. Rapid detection of frozen pork quality without thawing by Vis–NIR hyperspectral imaging technique. Talanta 2015, 139, 208–215. [Google Scholar] [CrossRef]
- Zhang, M.; Li, F.; Diao, X.; Kong, B.; Xia, X. Moisture migration, microstructure damage and protein structure changes in porcine longissimus muscle as influenced by multiple freeze-thaw cycles. Meat Sci. 2017, 133, 10–18. [Google Scholar] [CrossRef] [PubMed]
- Kong, C.H.Z.; Hamid, N.; Ma, Q.; Lu, J.; Wang, B.-G.; Sarojini, V. Antifreeze peptide pretreatment minimizes freeze-thaw damage to cherries: An in-depth investigation. LWT 2017, 84, 441–448. [Google Scholar] [CrossRef]
- Li, F.; Zhong, Q.; Kong, B.; Wang, B.; Pan, N.; Xia, X. Deterioration in quality of quick-frozen pork patties induced by changes in protein structure and lipid and protein oxidation during frozen storage. Food Res. Int. 2020, 133, 109142. [Google Scholar] [CrossRef]
- Pan, N.; Dong, C.; Du, X.; Kong, B.; Sun, J.; Xia, X. Effect of freeze-thaw cycles on the quality of quick-frozen pork patty with different fat content by consumer assessment and instrument-based detection. Meat Sci. 2021, 172, 108313. [Google Scholar] [CrossRef]
- Wen, R.; Hu, Y.; Zhang, L.; Wang, Y.; Chen, Q.; Kong, B. Effect of NaCl substitutes on lipid and protein oxidation and flavor development of Harbin dry sausage. Meat Sci. 2019, 156, 33–43. [Google Scholar] [CrossRef] [PubMed]
- Qi, J.; Li, C.; Chen, Y.; Gao, F.; Xu, X.; Zhou, G. Changes in meat quality of ovine longissimus dorsi muscle in response to repeated freeze and thaw. Meat Sci. 2012, 92, 619–626. [Google Scholar] [CrossRef]
- Lorido, L.; Ventanas, S.; Akcan, T.; Estévez, M. Effect of protein oxidation on the impaired quality of dry-cured loins produced from frozen pork meat. Food Chem. 2016, 196, 1310–1314. [Google Scholar] [CrossRef]
- Wang, B.; Li, F.; Pan, N.; Kong, B.; Xia, X. Effect ofice structuring protein on the quality of quick-frozen patties subjected to multiple freeze-thaw cycles. Meat Sci. 2021, 172, 108335. [Google Scholar] [CrossRef]
- Lin, S.; Yang, S.; Li, X.; Chen, F.; Zhang, M. Dynamics of water mobility and distribution in soybean antioxidant peptide powders monitored by LF-NMR. Food Chem. 2016, 199, 280–286. [Google Scholar] [CrossRef]
- Zhao, C.; Gong, Y.; Zheng, L.; Zhao, M. Whey protein hydrolysate enhances exercise endurance, regulates energy metabolism, and attenuates muscle damage in exercise mice. Food Biosci. 2023, 52, 102453. [Google Scholar] [CrossRef]
- Ha, H.-K.; Rankin, S.; Lee, M.-R.; Lee, W.-J. Development and Characterization of Whey Protein-Based Nano-Delivery Systems: A Review. Molecules 2019, 24, 3254. [Google Scholar] [CrossRef]
- Li, Y.; Kong, B.; Xia, X.; Liu, Q.; Diao, X. Structural changes of the myofibrillar proteins in common carp (Cyprinus carpio) muscle exposed to a hydroxyl radical-generating system. Process Biochem. 2013, 48, 863–870. [Google Scholar] [CrossRef]
- Liu, C.; Kong, L.; Yu, P.; Wen, R.; Yu, X.; Xu, X.; Peng, X. Whey Protein Hydrolysates Improved the Oxidative Stability and Water-Holding Capacity of Pork Patties by Reducing Protein Aggregation during Repeated Freeze–Thaw Cycles. Foods 2022, 11, 2133. [Google Scholar] [CrossRef] [PubMed]
- Peng, X.; Xiong, Y.L.; Kong, B. Antioxidant activity of peptide fractions from whey protein hydrolysates as measured by electron spin resonance. Food Chem. 2009, 113, 196–201. [Google Scholar] [CrossRef]
- Shen, D.-Y.; Begum, N.; Song, H.-L.; Zhang, Y.; Wang, L.-J.; Zhao, Y.-J.; Zhang, L.; Liu, P. In vitro and in vivo antioxidant activity and umami taste of peptides (<1 kDa) from porcine bone protein extract. Food Biosci. 2021, 40, 100901. [Google Scholar] [CrossRef]
- Chen, Y.; Huang, F.; Xie, B.; Sun, Z.; McClements, D.J.; Deng, Q. Fabrication and characterization of whey protein isolates- lotus seedpod proanthocyanin conjugate: Its potential application in oxidizable emulsions. Food Chem. 2021, 346, 128680. [Google Scholar] [CrossRef]
- Liu, W.; Tang, D.; Ao, C. Adding of Allium mongolicum regel extracts to lamb feedlot diets influences 4-alkyl-branched fatty acids deposition and the meat quality during storage. Meat Sci. 2022, 193, 108951. [Google Scholar] [CrossRef]
- Wang, Z.; He, Z.; Gan, X.; Li, H. Interrelationship among ferrous myoglobin, lipid and protein oxidations in rabbit meat during refrigerated and superchilled storage. Meat Sci. 2018, 146, 131–139. [Google Scholar] [CrossRef]
- Gan, S.; Zhang, M.; Mujumdar, A.S.; Jiang, Q. Effects of different thawing methods on quality of unfrozen meats. Int. J. Refrig. 2022, 134, 168–175. [Google Scholar] [CrossRef]
- Hu, R.; Zhang, M.; Mujumdar, A.S. Application ofinfrared and microwave heating prior to freezing of pork: Effect on frozen meat quality. Meat Sci. 2022, 189, 108811. [Google Scholar] [CrossRef]
- Zhao, X.; Bai, Y.; Xing, T.; Xu, X.-l.; Zhou, G. Use of an isoelectric solubilization/precipitation process to modify the functional properties of PSE (pale, soft, exudative)-like chicken meat protein: A mechanistic approach. Food Chem. 2018, 248, 201–209. [Google Scholar] [CrossRef] [PubMed]
- Jang, H.L.; Liceaga, A.M.; Yoon, K.Y. Purification, characterisation and stability of an antioxidant peptide derived from sandfish (Arctoscopus japonicus) protein hydrolysates. J. Funct. Foods 2016, 20, 433–442. [Google Scholar] [CrossRef]
- Millan, G.C.L.; Veras, F.F.; Stincone, P.; Pailliè-Jiménez, M.E.; Brandelli, A. Biological activities of whey protein hydrolysate produced by protease from the Antarctic bacterium Lysobacter sp. A03. Biocatal. Agric. Biotechnol. 2022, 43, 102415. [Google Scholar] [CrossRef]
- Gomes, M.H.G.; Kurozawa, L.E. Improvement of the functional and antioxidant properties of rice protein by enzymatic hydrolysis for the microencapsulation of linseed oil. J. Food Eng. 2020, 267, 109761. [Google Scholar] [CrossRef]
- Phongthai, S.; Lim, S.-T.; Rawdkuen, S. Optimization of microwave-assisted extraction of rice bran protein and its hydrolysates properties. J. Cereal Sci. 2016, 70, 146–154. [Google Scholar] [CrossRef]
- Tkaczewska, J.; Borawska-Dziadkiewicz, J.; Kulawik, P.; Duda, I.; Morawska, M.; Mickowska, B. The effects of hydrolysis condition on the antioxidant activity of protein hydrolysate from Cyprinus carpio skin gelatin. LWT 2020, 117, 108616. [Google Scholar] [CrossRef]
- Kumar, D.; Chatli, M.K.; Singh, R.; Mehta, N.; Kumar, P. Antioxidant and antimicrobial activity of camel milk casein hydrolysates and its fractions. Small Rumin. Res. 2016, 139, 20–25. [Google Scholar] [CrossRef]
- Kong, B.; Peng, X.; Xiong, Y.L.; Zhao, X. Protection of lung fibroblast MRC-5 cells against hydrogen peroxide-induced oxidative damage by 0.1–2.8kDa antioxidative peptides isolated from whey protein hydrolysate. Food Chem. 2012, 135, 540–547. [Google Scholar] [CrossRef]
- Vo, H.; Saldaña, M.D.A. Hydrolysis of pea protein concentrate in subcritical water media with addition of citrus pectin and citric acid. J. Supercrit. Fluids 2023, 195, 105866. [Google Scholar] [CrossRef]
- Li, S.; Tang, S.; Li, J.; Chen, L.; Ma, Y. Protective Effects of Four Natural Antioxidants on Hydroxyl-Radical-Induced Lipid and Protein Oxidation in Yak Meat. Foods 2022, 11, 3062. [Google Scholar] [CrossRef]
- Kong, L.; Liu, C.; Tang, H.; Yu, P.; Wen, R.; Peng, X.; Xu, X.; Yu, X. Hygroscopicity and antioxidant activity of whey protein hydrolysate and its ability to improve the water holding capacity of pork patties during freeze−thaw cycles. LWT 2023, 182, 114784. [Google Scholar] [CrossRef]
- Wang, L.; Li, Z.; Fan, X.; Zhang, T.; Wang, H.; Ye, K. Novel antioxidant peptides from bovine blood: Purification, identification and mechanism of action. LWT 2024, 205, 116499. [Google Scholar] [CrossRef]
- Zhang, X.; Guo, L.; Hong, C.; Wu, P.; Tuly, J.; Ma, H. Accumulation of phenolic in fresh-cut lotus roots induced by thermosonication: Regulation of phenylpropanoid pathway and reactive oxygen species metabolism. Food Chem. 2025, 467, 142206. [Google Scholar] [CrossRef]
- Unuofin, J.O.; Oladipo, A.O.; More, G.K.; Adeeyo, A.O.; Mustapha, H.T.; Msagati, T.A.M.; Lebelo, S.L. Phytochemical Profiling of Phragmites australis Leaf Extract and Its Nano-Structural Antioxidant, Antimicrobial, and Anticancer Activities. J. Ofinorganic Organomet. Polym. Mater. 2024, 34, 4509–4523. [Google Scholar] [CrossRef]
- Manessis, G.; Kalogianni, A.I.; Lazou, T.; Moschovas, M.; Bossis, I.; Gelasakis, A.I. Plant-Derived Natural Antioxidants in Meat and Meat Products. Antioxidants 2020, 9, 1215. [Google Scholar] [CrossRef]
- Karimi, A.; Azizi, M.H.; Ahmadi Gavlighi, H. Fractionation of hydrolysate from corn germ protein by ultrafiltration: In vitro antidiabetic and antioxidant activity. Food Sci. Nutr. 2020, 8, 5192. [Google Scholar] [CrossRef]
- Yang, D.; Zhang, L.; Gao, S.; Luo, Y.; Luo, R.; Hou, Y. Effects of grape seed proanthocyanidin on the conformation and functional properties of lamb myofibrillar protein under hydroxyl radical-induced oxidative stress. LWT 2025, 222, 117625. [Google Scholar] [CrossRef]
- Yang, L.; Xing, Y.; Chen, R.; Ni, H.; Li, H.-H. Isolation and identification of antioxidative peptides from crocodile meat hydrolysates using silica gel chromatography. Sci. Rep. 2022, 12, 13223. [Google Scholar] [CrossRef]
- Ramani, A.; Hazra, T.; Mudgil, S.; Mudgil, D. Emerging potential of whey proteins in prevention of cancer. Food Humanit. 2024, 2, 100199. [Google Scholar] [CrossRef]
- Cui, L.; Yang, G.; Lu, S.; Zeng, X.; He, J.; Guo, Y.; Pan, D.; Wu, Z. Antioxidant peptides derived from hydrolyzed milk proteins by Lactobacillus strains: A BIOPEP-UWM database-based analysis. Food Res. Int. 2022, 156, 111339. [Google Scholar] [CrossRef]
- Otoo, E.A.; Ocloo, F.C.K.; Appiah, V. Effect of gamma irradiation on shelf life of smoked guinea fowl (Numida meleagris) meat stored at refrigeration temperature. Radiat. Phys. Chem. 2022, 194, 110041. [Google Scholar] [CrossRef]
- Jiang, Q.; Nakazawa, N.; Hu, Y.; Osako, K.; Okazaki, E. Changes in quality properties and tissue histology of lightly salted tuna meat subjected to multiple freeze-thaw cycles. Food Chem. 2019, 293, 178–186. [Google Scholar] [CrossRef] [PubMed]
- Rahman, M.H.; Alam, M.S.; Monir, M.M.; Ahmed, K. Comprehensive effects of black cumin (Nigella sativa) and synthetic antioxidant on sensory and physicochemical quality of beef patties during refrigerant storage. J. Agric. Food Res. 2021, 4, 100145. [Google Scholar] [CrossRef]
- Al-Dalali, S.; Li, C.; Xu, B. Effect of frozen storage on the lipid oxidation, protein oxidation, and flavor profile of marinated raw beef meat. Food Chem. 2022, 376, 131881. [Google Scholar] [CrossRef]
- Xia, X.; Kong, B.; Liu, J.; Diao, X.; Liu, Q. Influence of different thawing methods on physicochemical changes and protein oxidation of porcine longissimus muscle. LWT—Food Sci. Technol. 2012, 46, 280–286. [Google Scholar] [CrossRef]
- Sun, Q.; Chen, Q.; Xia, X.; Kong, B.; Diao, X. Effects of ultrasound-assisted freezing at different power levels on the structure and thermal stability of common carp (Cyprinus carpio) proteins. Ultrason. Sonochemistry 2019, 54, 311–320. [Google Scholar] [CrossRef] [PubMed]
- Ahmad Mir, S.; Ahmad Masoodi, F.; Raja, J. Influence of natural antioxidants on microbial load, lipid oxidation and sensorial quality of rista—A traditional meat product ofindia. Food Biosci. 2017, 20, 79–87. [Google Scholar] [CrossRef]
- Chen, X.; Li, X.; Yang, F.; Wu, J.; Huang, D.; Huang, J.; Wang, S. Effects and mechanism of antifreeze peptides from silver carp scales on the freeze-thaw stability of frozen surimi. Food Chem. 2022, 396, 133717. [Google Scholar] [CrossRef] [PubMed]
- Li, M.; He, S.; Sun, Y.; Pan, D.; Zhou, C.; He, J. Effectiveness of l-arginine/l-lysine in retarding deterioration of structural and gelling properties of duck meat myofibrillar protein during freeze-thaw cycles. Food Biosci. 2023, 51, 102302. [Google Scholar] [CrossRef]
- Peng, X.; Liu, C.; Wang, B.; Kong, L.; Wen, R.; Zhang, H.; Yu, X.; Bai, Y.; Jang, A. Hygroscopic properties of whey protein hydrolysates and their effects on water retention in pork patties during repeated freeze–thaw cycles. LWT 2023, 184, 114984. [Google Scholar] [CrossRef]










Disclaimer/Publisher’s Note: The statements, opinions and data contained in all publications are solely those of the individual author(s) and contributor(s) and not of MDPI and/or the editor(s). MDPI and/or the editor(s) disclaim responsibility for any injury to people or property resulting from any ideas, methods, instructions or products referred to in the content. |
© 2025 by the authors. Licensee MDPI, Basel, Switzerland. This article is an open access article distributed under the terms and conditions of the Creative Commons Attribution (CC BY) license (https://creativecommons.org/licenses/by/4.0/).
Share and Cite
Yin, Y.; Yin, Y.; Li, J.; Lv, H.; Tang, X.; Wang, C.; Dong, Q. Fraction I of Whey Protein Hydrolysates Improves Lipid Stability and Water Retention in Ground Pork During Freeze–Thaw Cycles. Foods 2025, 14, 4161. https://doi.org/10.3390/foods14234161
Yin Y, Yin Y, Li J, Lv H, Tang X, Wang C, Dong Q. Fraction I of Whey Protein Hydrolysates Improves Lipid Stability and Water Retention in Ground Pork During Freeze–Thaw Cycles. Foods. 2025; 14(23):4161. https://doi.org/10.3390/foods14234161
Chicago/Turabian StyleYin, Yifan, Yina Yin, Jia Li, Haoyu Lv, Xuefeng Tang, Chao Wang, and Qingtian Dong. 2025. "Fraction I of Whey Protein Hydrolysates Improves Lipid Stability and Water Retention in Ground Pork During Freeze–Thaw Cycles" Foods 14, no. 23: 4161. https://doi.org/10.3390/foods14234161
APA StyleYin, Y., Yin, Y., Li, J., Lv, H., Tang, X., Wang, C., & Dong, Q. (2025). Fraction I of Whey Protein Hydrolysates Improves Lipid Stability and Water Retention in Ground Pork During Freeze–Thaw Cycles. Foods, 14(23), 4161. https://doi.org/10.3390/foods14234161

