Effect of Ultrasound Pretreatment Combined with Magnetic Field-Assisted Freezing on Bioactive Compounds and Antioxidant Capacity of Blueberry
Abstract
1. Introduction
2. Materials and Methods
2.1. Materials
2.2. Freezing Treatment
2.3. Anthocyanin Content
2.4. Total Phenolic and Flavonoid Contents
2.5. Total Soluble Solid, Titratable Acidity, Ascorbic Acid, and Reducing Sugar Contents
2.6. Organic Acid Content
2.7. Antioxidant Capacities
2.8. Color
2.9. Statistical Analysis
3. Results and Discussion
3.1. Anthocyanin Content
3.2. Total Phenolic and Flavonoid Contents
3.3. TSS, TA, Ascorbic Acid, and Reducing Sugar Contents
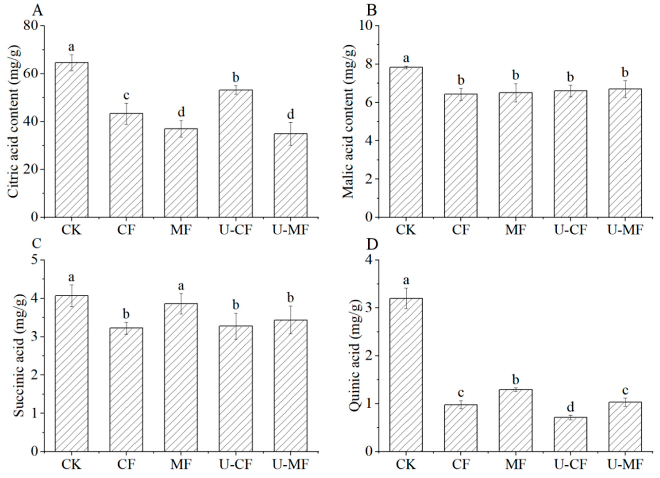
3.4. Organic Acid Content
3.5. Antioxidant Capacities
3.6. Color
3.7. Analysis of Correlation
4. Conclusions
Author Contributions
Funding
Institutional Review Board Statement
Informed Consent Statement
Data Availability Statement
Conflicts of Interest
References
- Duan, Y.; Tarafdar, A.; Chaurasia, D.; Singh, A.; Bhargava, P.C.; Yang, J.; Li, Z.; Ni, X.; Tian, Y.; Li, H. Blueberry fruit valorization and valuable constituents: A review. Int. J. Food Microbiol. 2022, 381, 109890. [Google Scholar] [CrossRef]
- Spinei, M.; Oroian, M. The influence of osmotic treatment assisted by ultrasound on the physico-chemical characteristics of blueberries (Vaccinium myrtillus L.). Ultrasonics 2021, 110, 106298. [Google Scholar] [CrossRef] [PubMed]
- Cao, X.; Zhang, F.; Zhao, D.; Zhu, D.; Li, J. Effects of freezing conditions on quality changes in blueberries. J. Sci. Food Agric. 2018, 98, 4673–4679. [Google Scholar] [CrossRef]
- Jiang, Q.; Zhang, M.; Mujumdar, A.S.; Gan, S. Effects of magnetic field-assisted liquid carbon dioxide spray freezing on the quality of honeydew melon. Food Chem. 2023, 417, 135850. [Google Scholar] [CrossRef] [PubMed]
- Tang, J.; Shao, S.; Tian, C. Effects of the magnetic field on the freezing process of blueberry. Int. J. Refrig. 2020, 113, 288–295. [Google Scholar] [CrossRef]
- Tang, J.; Zhang, H.; Tian, C.; Shao, S. Effects of different magnetic fields on the freezing parameters of cherry. J. Food Eng. 2020, 278, 109949. [Google Scholar] [CrossRef]
- Wiktor, A.; Sledz, M.; Nowacka, M.; Rybak, K.; Witrowa-Rajchert, D. The influence of immersion and contact ultrasound treatment on selected properties of the apple tissue. Appl. Acoust. 2016, 103, 136–142. [Google Scholar] [CrossRef]
- Rojas, M.L.; Kubo, M.T.; Caetano-Silva, M.E.; Augusto, P.E. Ultrasound processing of fruits and vegetables, structural modification and impact on nutrient and bioactive compounds: A review. Int. J. Food Sci. Tech. 2021, 56, 4376–4395. [Google Scholar] [CrossRef]
- Lee, J.; Durst, R.W.; Wrolstad, R.E. Determination of Total Monomeric Anthocyanin Pigment Content of Fruit Juices, Beverages, Natural Colorants, and Wines by the pH Differential Method: Collaborative Study. J. AOAC Int. 2005, 88, 1269–1278. [Google Scholar] [CrossRef]
- Ge, Y.; Wei, M.; Li, C.; Chen, Y.; Lv, J.; Meng, K.; Wang, W.; Li, J. Reactive oxygen species metabolism and phenylpropanoid pathway involved in disease resistance against Penicillium expansum in apple fruit induced by ϵ-poly-l-lysine. J. Sci. Food Agric. 2018, 98, 5082–5088. [Google Scholar] [CrossRef]
- Zhao, D.; Wei, J.; Hao, J.; Han, X.; Ding, S.; Yang, L.; Zhang, Z. Effect of sodium carbonate solution pretreatment on drying kinetics, antioxidant capacity changes, and final quality of wolfberry (Lycium barbarum) during drying. LWT 2019, 99, 254–261. [Google Scholar] [CrossRef]
- Zhang, J.; Li, C.; Wei, M.; Ge, Y.; Tang, Q.; Xue, W.; Zhang, S.; Wang, W.; Lv, J. Effects of trisodium phosphate treatment after harvest on storage quality and sucrose metabolism in jujube fruit. Food Chem. 2019, 99, 5526–5532. [Google Scholar] [CrossRef] [PubMed]
- Zhang, S.; Li, C.; Wang, M.; Xu, H.; Guo, Y.; Ge, Y. Phenyllactic acid maintains the storage quality of ‘Zaosu’ pears by regulating respiration and energy metabolism. Postharvest Biol. Technol. 2024, 207, 112607. [Google Scholar] [CrossRef]
- Ullrich, L.; Gillich, E.; André, A.; Panarese, S.; Imhaus, A.F.; Fieseler, L.; Chetschik, I. Influence of Ozone Treatment during Storage on Odour-Active Compounds, Total Titratable Acidity, and Ascorbic Acid in Oranges and Bananas. Appl. Sci. 2023, 13, 10885. [Google Scholar] [CrossRef]
- Zhu, J.; Li, C.; Fan, Y.; Qu, L.; Huang, R.; Liu, J.; Zhang, C.; Ge, Y. γ-Aminobutyric acid regulates mitochondrial energy metabolism and organic acids metabolism in apples during postharvest ripening. Postharvest Biol. Technol. 2022, 186, 111846. [Google Scholar] [CrossRef]
- Wu, H.C.; Chen, H.M.; Shiau, C.Y. Free amino acids and peptides as related to antioxidant properties in protein hydrolysates of mackerel (Scomber austriasicus). Food Res. Int. 2003, 36, 949–957. [Google Scholar] [CrossRef]
- Wu, C.; Li, T.; Qi, J.; Jiang, T.; Xu, H.; Lei, H. Effects of lactic acid fermentation-based biotransformation on phenolic profiles, antioxidant capacity and flavor volatiles of apple juice. LWT 2020, 122, 109064. [Google Scholar] [CrossRef]
- Yang, X.-H.; Deng, L.-Z.; Mujumdar, A.S.; Xiao, H.-W.; Zhang, Q.; Kan, Z. Evolution and modeling of colour changes of red pepper (Capsicum annuum L.) during hot air drying. J. Food Eng. 2018, 231, 101–108. [Google Scholar] [CrossRef]
- Kalt, W.; Lawand, C.; Ryan, D.A.; McDonald, J.E.; Donner, H.; Forney, C.F. Oxygen radical absorbing capacity, anthocyanin and phenolic content of highbush blueberries (Vaccinium corymbosum L.) during ripening and storage. Am. Soc. Hortic. Sci. 2003, 128, 917–923. [Google Scholar] [CrossRef]
- Kalt, W.; Cassidy, A.; Howard, L.R.; Krikorian, R.; Stull, A.J.; Tremblay, F.; Zamora-Ros, R. Recent Research on the Health Benefits of Blueberries and Their Anthocyanins. Adv. Nutr. 2020, 11, 224–236. [Google Scholar] [CrossRef] [PubMed]
- Bamba, B.S.B.; Shi, J.; Tranchant, C.C.; Xue, S.J.; Forney, C.F.; Lim, L.-T. Influence of Extraction Conditions on Ultrasound-Assisted Recovery of Bioactive Phenolics from Blueberry Pomace and Their Antioxidant Activity. Molecules 2018, 23, 1685. [Google Scholar] [CrossRef]
- Nowacka, M.; Fijalkowska, A.; Dadan, M.; Rybak, K.; Wiktor, A.; Witrowa-Rajchert, D. Effect of ultrasound treatment during osmotic dehydration on bioactive compounds of cranberries. Ultrasonics 2018, 83, 18–25. [Google Scholar] [CrossRef]
- Zhang, W.; Zhao, H.; Zhang, J.; Sheng, Z.; Cao, J.; Jiang, W. Different molecular weights chitosan coatings delay the senescence of postharvest nectarine fruit in relation to changes of redox state and respiratory pathway metabolism. Food Chem. 2019, 289, 160–168. [Google Scholar] [CrossRef]
- Ge, Y.; Chen, Y.; Li, C.; Wei, M.; Li, X.; Li, S.; Lu, S.; Li, J. Effect of trisodium phosphate dipping treatment on the quality and energy metabolism of apples. Food Chem. 2019, 274, 324–329. [Google Scholar] [CrossRef]
- Fan, P.; Huber, D.J.; Su, Z.; Hu, M.; Gao, Z.; Li, M.; Shi, X.; Zhang, Z. Effect of postharvest spray of apple polyphenols on the quality of fresh-cut red pitaya fruit during shelf life. Food Chem. 2018, 243, 19–25. [Google Scholar] [CrossRef] [PubMed]
- Magwaza, L.S.; Mditshwa, A.; Tesfay, S.Z.; Opara, U.L. An overview of preharvest factors affecting vitamin C content of citrus fruit. Sci. Hortic. 2017, 216, 12–21. [Google Scholar] [CrossRef]
- Chen, B.; Zhang, M.; Wang, Y.; Devahastin, S.; Yu, D. Comparative study of conventional and novel combined modes of microwave-and infrared-assisted thawing on quality of frozen green pepper, carrot and cantaloupe. LWT 2022, 154, 112842. [Google Scholar] [CrossRef]
- Jiang, Q.; Zhang, M.; Mujumdar, A.S.; Chen, B. Comparative freezing study of broccoli and cauliflower: Effects of electrostatic field and static magnetic field. Food Chem. 2022, 397, 133751. [Google Scholar] [CrossRef]
- Bramantyo, A.; Febriyati, P.; Gunardi, I.; Trisanti, P. Ultrasound Pre-treatment for Intensification of Hydrothermal Process in Reducing Sugar Production from Cassava Starch. IOP Conf. Ser. Mater. Sci. Eng. 2019, 543, 012085. [Google Scholar] [CrossRef]
- Liu, L.; Chen, C.X.; Zhu, Y.F.; Xue, L.; Liu, Q.-W.; Qi, K.J.; Zhang, S.L.; Wu, J. Maternal inheritance has impact on organic acid content in progeny of pear (Pyrus spp.) fruit. Euphytica 2016, 209, 305–321. [Google Scholar] [CrossRef]
- Jiang, B.; Fang, X.; Fu, D.; Wu, W.; Han, Y.; Chen, H.; Liu, R.; Gao, H. Exogenous salicylic acid regulates organic acids metabolism in postharvest blueberry fruit. Front. Plant Sci. 2022, 13, 1024909. [Google Scholar] [CrossRef]
- Veberic, R.; Stampar, F.; Schmitzer, V.; Cunja, V.; Zupan, A.; Koron, D.; Mikulic-Petkovsek, M. Changes in the contents of anthocyanins and other compounds in blackberry fruits due to freezing and long-term frozen storage. J. Agric. Food Chem. 2014, 62, 6926–6935. [Google Scholar] [CrossRef] [PubMed]
- Sheng, L.; Shen, D.; Luo, Y.; Sun, X.; Wang, J.; Luo, T.; Zeng, Y.; Xu, J.; Deng, X.; Cheng, Y. Exogenous γ-aminobutyric acid treatment affects citrate and amino acid accumulation to improve fruit quality and storage performance of postharvest citrus fruit. Food Chem. 2017, 216, 138–145. [Google Scholar] [CrossRef]
- Habibi, F.; Ramezanian, A.; Guillén, F.; Serrano, M.; Valero, D. Blood oranges maintain bioactive compounds and nutritional quality by postharvest treatments with γ-aminobutyric acid, methyl jasmonate or methyl salicylate during cold storage. Food Chem. 2020, 306, 125634. [Google Scholar] [CrossRef] [PubMed]
- Kourouma, V.; Mu, T.-H.; Zhang, M.; Sun, H.-N. Effects of cooking process on carotenoids and antioxidant activity of orange-fleshed sweet potato. LWT 2019, 104, 134–141. [Google Scholar] [CrossRef]
- Pingret, D.; Fabiano-Tixier, A.S.; Chemat, F. Degradation during application of ultrasound in food processing: A review. Food Control 2013, 31, 593–606. [Google Scholar] [CrossRef]
- Panayampadan, A.S.; Alam, M.S.; Aslam, R.; Gupta, S.K.; Sidhu, G.K. Effects of alternating magnetic field on freezing of minimally processed guava. LWT 2022, 163, 113544. [Google Scholar] [CrossRef]
- Jha, P.K.; Chevallier, S.; Xanthakis, E.; Jury, V.; Le-Bail, A. Effect of innovative microwave assisted freezing (MAF) on the quality attributes of apples and potatoes. Food Chem. 2020, 309, 125594. [Google Scholar] [CrossRef]
- Ergün, A.R.; Yanat, M.; Baysal, T. The effects of the novel home freezing system on microstructure, color, antioxidant activity, and microbiological properties of strawberries. Int. J. Refrig. 2021, 121, 228–234. [Google Scholar] [CrossRef]




| Sample | TSS (%) | TA (%) | Ascorbic Acid (mg 100g−1) | Reducing Sugar Content (%) |
|---|---|---|---|---|
| CK | 10.91 ± 0.29 c | 0.66 ± 0.05 a | 22.44 ± 1.56 a | 5.68 ± 0.26 c |
| CF | 11.31 ± 0.31 b | 0.31 ± 0.05 b | 6.29 ± 0.87 c | 8.18 ± 0.34 b |
| MF | 11.81 ± 0.23 a | 0.21 ± 0.02 c | 7.57 ± 0.86 b | 8.30 ± 0.48 b |
| U-CF | 11.57 ± 0.37 a,b | 0.16 ± 0.05 d | 7.88 ± 0.94 b | 8.87 ± 0.48 a |
| U-MF | 11.83 ± 0.35 a | 0.10 ± 0.02 e | 8.58 ± 1.47 b | 8.71 ± 0.32 a |
| Sample | L* | a* | b* | ΔE* |
|---|---|---|---|---|
| CK | 46.35 ± 1.76 a | −4.15 ± 0.96 | 16.19 ± 1.25 a | 51.29 ± 1.31 d |
| CF | 33.69 ± 1.51 b | 5.24 ± 0.99 c | 10.21 ± 1.17 b | 61.78 ± 1.41 c |
| MF | 31.35 ± 1.37 c | 8.31 ± 0.98 b | 8.26 ± 1.08 c | 64.08 ± 1.33 b |
| U-CF | 30.59 ± 0.99 d | 9.22 ± 0.71 a | 8.10 ± 0.56 c | 65.14 ± 1.30 a |
| U-MF | 29.65 ± 0.62 e | 9.52 ± 0.81 a | 6.95 ± 0.50 d | 65.58 ± 0.79 a |
Disclaimer/Publisher’s Note: The statements, opinions and data contained in all publications are solely those of the individual author(s) and contributor(s) and not of MDPI and/or the editor(s). MDPI and/or the editor(s) disclaim responsibility for any injury to people or property resulting from any ideas, methods, instructions or products referred to in the content. |
© 2025 by the authors. Licensee MDPI, Basel, Switzerland. This article is an open access article distributed under the terms and conditions of the Creative Commons Attribution (CC BY) license (https://creativecommons.org/licenses/by/4.0/).
Share and Cite
You, K.; Xiong, X.; Wang, Z.; Li, Q.; Cao, X. Effect of Ultrasound Pretreatment Combined with Magnetic Field-Assisted Freezing on Bioactive Compounds and Antioxidant Capacity of Blueberry. Foods 2025, 14, 4013. https://doi.org/10.3390/foods14234013
You K, Xiong X, Wang Z, Li Q, Cao X. Effect of Ultrasound Pretreatment Combined with Magnetic Field-Assisted Freezing on Bioactive Compounds and Antioxidant Capacity of Blueberry. Foods. 2025; 14(23):4013. https://doi.org/10.3390/foods14234013
Chicago/Turabian StyleYou, Kaiyan, Xuefeng Xiong, Ziyi Wang, Qianyu Li, and Xuehui Cao. 2025. "Effect of Ultrasound Pretreatment Combined with Magnetic Field-Assisted Freezing on Bioactive Compounds and Antioxidant Capacity of Blueberry" Foods 14, no. 23: 4013. https://doi.org/10.3390/foods14234013
APA StyleYou, K., Xiong, X., Wang, Z., Li, Q., & Cao, X. (2025). Effect of Ultrasound Pretreatment Combined with Magnetic Field-Assisted Freezing on Bioactive Compounds and Antioxidant Capacity of Blueberry. Foods, 14(23), 4013. https://doi.org/10.3390/foods14234013
