Impact of Drying and Storage Conditions on the Bioactive and Nutritional Properties of Malolactic Wine Lees
Abstract
1. Introduction
2. Materials and Methods
2.1. Materials and Reagents
2.2. Preparation of the Wine Lees Powder
2.3. Obtaining the Alcoholic Extract
2.4. Analysis Methods
2.4.1. Color Characteristics CIE L*a*b*
2.4.2. Proximate Composition
2.4.3. Amino Acid Profile and Protein Quality
2.4.4. Stability of Wine Lees Powder for 90 Days
2.4.5. Total Phenolic Compounds
2.4.6. Antioxidant Activity
2.4.7. Individual Phenolic Compounds by HPLC-DAD-FD
2.4.8. Statistical Analysis
3. Results and Discussion
3.1. Characterization of the Wine Lees
3.2. Quantification of Total Phenolics
3.3. Antioxidant Activity
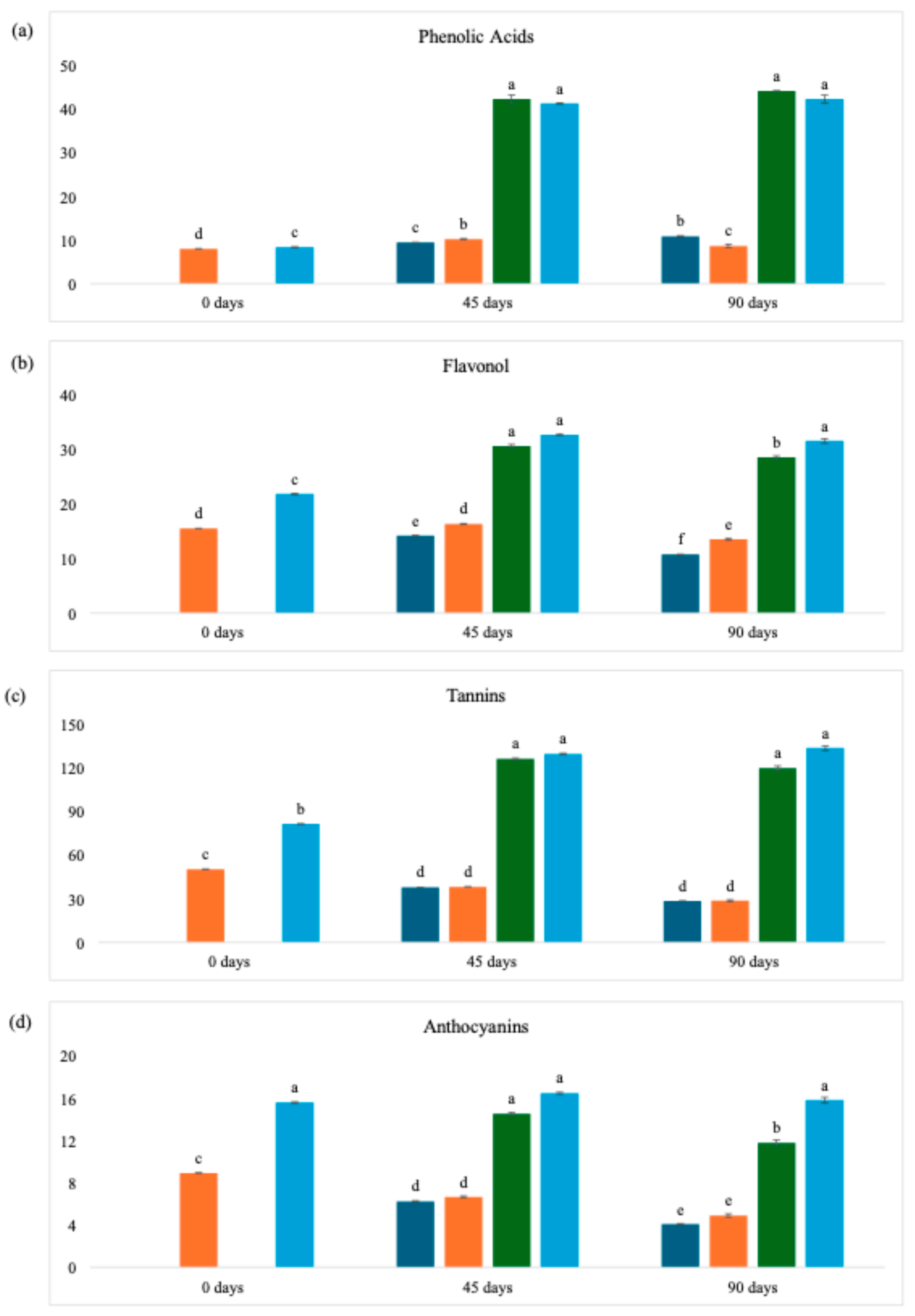
3.4. Identification of Phenolic Compounds
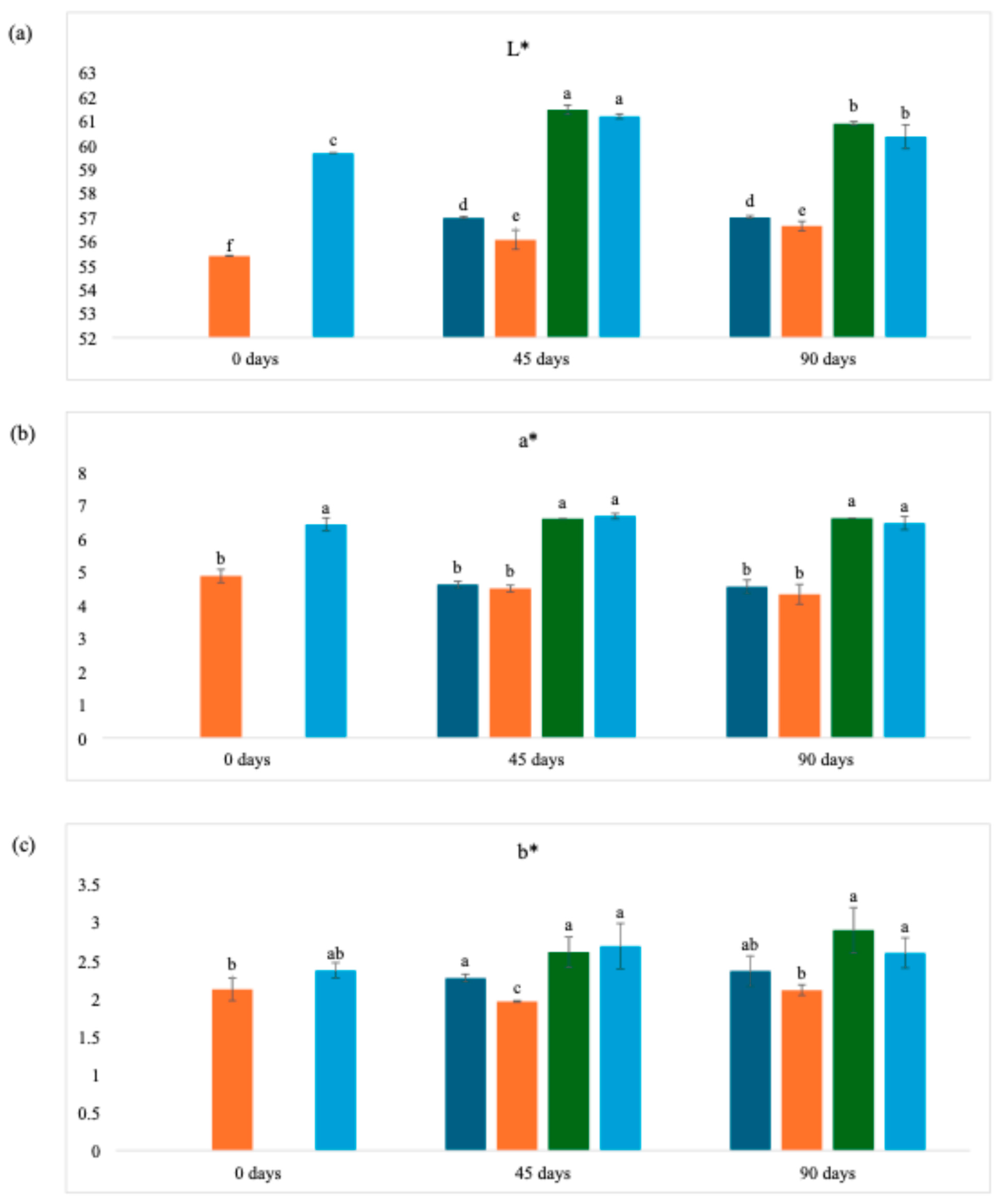
3.5. Color Analysis
3.6. Principal Component Analysis
3.7. Amino Acid Profile and Protein Quality
4. Conclusions
Supplementary Materials
Author Contributions
Funding
Institutional Review Board Statement
Informed Consent Statement
Data Availability Statement
Conflicts of Interest
Abbreviations
| AA | Amino Acids |
| AAA | Aromatic Amino Acids |
| AAS | Amino Acid Score |
| ANVISA | National Health Surveillance Agency |
| AOAC | Association of Official Analytical Collaboration |
| BCAA | Branched-Chain Amino Acids |
| CIE | International Commission on Illumination |
| DAD | Diode Array Detector |
| DPPH | 2,2-Diphenyl-1-picrylhydrazyl |
| EAA | Essential Amino Acids |
| EAAI | Essential Amino Acid Index |
| FAO | Food and Agriculture Organization |
| FD | Fluorescence Detection |
| FRAP | Ferric Reducing Antioxidant Power Assay |
| GAE | Gallic Acid Equivalent |
| HPLC | High-Performance Liquid Chromatography |
| NEAA | Non-essential Amino Acids |
| PCA | Principal Component Analysis |
| RDC | Resolutions of the Collegiate Board |
| SAA | Sulfur Amino Acids |
| UNU | United Nations University |
| WHO | World Health Organization |
| WL | Wine lees |
References
- Jara-Palacio, M.J. Wine Lees as a Source of Antioxidant Compounds. Antioxidants 2019, 8, 45. [Google Scholar] [CrossRef]
- De Iseppi, A.; Lomolino, G.; Marangon, M.; Curioni, A. Current and Future Strategies for Wine Yeast Lees Valorization. Food Res. Int. 2020, 137, 109352. [Google Scholar] [CrossRef]
- Rodríguez-Bencomo, J.J.; García-Ruiz, A.; Martín-Álvarez, P.J.; Moreno-Arribas, M.V.; Bartolomé, B. Volatile and Phenolic Composition of a Chardonnay Wine Treated with Antimicrobial Plant Extracts before Malolactic Fermentation. J. Agric. Stud. 2014, 2, 62. [Google Scholar] [CrossRef][Green Version]
- Lopes, J.d.C.; Madureira, J.; Margaça, F.M.A.; Verde, S.C. Grape Pomace: A Review of Its Bioactive Phenolic Compounds, Health Benefits, and Applications. Molecules 2025, 30, 362. [Google Scholar] [CrossRef]
- Moreno-Arribas, M.V.; Gómez-Cordovés, C.; Martín-Álvarez, P.J. Evolution of Red Wine Anthocyanins during Malolactic Fermentation, Postfermentative Treatments and Ageing with Lees. Food Chem. 2008, 109, 149–158. [Google Scholar] [CrossRef]
- Mir-Cerdà, A.; Carretero, I.; Coves, J.R.; Pedrouso, A.; Castro-Barros, C.M.; Alvarino, T.; Cortina, J.L.; Saurina, J.; Granados, M.; Sentellas, S. Recovery of Phenolic Compounds from Wine Lees Using Green Processing: Identifying Target Molecules and Assessing Membrane Ultrafiltration Performance. Sci. Total Environ. 2023, 857, 159623. [Google Scholar] [CrossRef] [PubMed]
- Crespo-López, L.; Martínez-Ramirez, A.; Sebastián, E.; Cultrone, G. Pomace from the Wine Industry as an Additive in the Production of Traditional Sustainable Lightweight Eco-Bricks. Appl. Clay Sci. 2023, 243, 107084. [Google Scholar] [CrossRef]
- da Silva, G.V.; Machado, B.A.S.; de Oliveira, W.P.; da Silva, C.F.G.; de Quadros, C.P.; Druzian, J.I.; Ferreira, E.d.S.; Umsza-Guez, M.A. Effect of Drying Methods on Bioactive Compounds and Antioxidant Capacity in Grape Skin Residues. Molecules 2020, 25, 3701. [Google Scholar] [CrossRef] [PubMed]
- de Carvalho Tavares, I.M.; de Castilhos, M.B.M.; Mauro, M.A.; Ramos, A.M.; de Souza, R.T.; Gomez-Alonso, S.; Gomes, E.; Da-Silva, R.; Hermosin-Gutierrez, I.; Lago-Vanzela, E.S. BRS Violeta (BRS Rúbea × IAC 1398-21) Grape Juice Powder Produced by Foam Mat Drying. Part I: Effect of Drying Temperature on Phenolic Compounds and Antioxidant Activity. Food Chem. 2019, 298, 124971. [Google Scholar] [CrossRef] [PubMed]
- Nowaks, D. The Freeze-Drying of Foods—The Characteristic of the Process Course and the Effect of Its Parameters on the Physical Properties of Food Materials. Foods 2020, 9, 1488. [Google Scholar] [CrossRef]
- Meng, J.F.; Fang, Y.L.; Qin, M.Y.; Zhuang, X.F.; Zhang, Z.W. Varietal Differences among the Phenolic Profiles and Antioxidant Properties of Four Cultivars of Spine Grape (Vitis davidii Foex) in Chongyi County (China). Food Chem. 2012, 134, 2049–2056. [Google Scholar] [CrossRef]
- Borges, M.S.; Biz, A.P.; Bertolo, A.P.; Bagatini, L.; Rigo, E.; Cavalheiro, D. Enriched Cereal Bars with Wine Fermentation Biomass. J. Sci. Food Agric. 2021, 101, 542–547. [Google Scholar] [CrossRef] [PubMed]
- Caponio, G.R.; Miolla, R.; Vacca, M.; Difonzo, G.; De Angelis, M. Wine Lees as Functional Ingredient to Produce Biscuits Fortified with Polyphenols and Dietary Fibre. LWT 2024, 198, 115943. [Google Scholar] [CrossRef]
- Tseng, A.; Zhao, Y. Wine Grape Pomace as Antioxidant Dietary Fibre for Enhancing Nutritional Value and Improving Storability of Yogurt and Salad Dressing. Food Chem. 2013, 138, 356–365. [Google Scholar] [CrossRef]
- Gerardi, C.; Durante, M.; Tufariello, M.; Grieco, F.; Giovinazzo, G. Effects of Time and Temperature on Stability of Bioactive Molecules, Color and Volatile Compounds during Storage of Grape Pomace Flour. Appl. Sci. 2022, 12, 3956. [Google Scholar] [CrossRef]
- Alarcón, M.; López-Viñas, M.; Pérez-Coello, M.S.; Díaz-Maroto, M.C.; Alañón, M.E.; Soriano, A. Effect of Wine Lees as Alternative Antioxidants on Physicochemical and Sensorial Composition of Deer Burgers Stored during Chilled Storage. Antioxidants 2020, 9, 687. [Google Scholar] [CrossRef]
- Amorim, F.L.; de Cerqueira Silva, M.B.; Cirqueira, M.G.; Oliveira, R.S.; Machado, B.A.S.; Gomes, R.G.; de Souza, C.O.; Druzian, J.I.; de Souza Ferreira, E.; Umsza-Guez, M.A. Grape Peel (Syrah var.) Jam as a Polyphenol-Enriched Functional Food Ingredient. Food Sci. Nutr. 2019, 7, 1584–1594. [Google Scholar] [CrossRef]
- Association of Official Analytical Chemists. AOAC Oficial Methods of Analysis, 18th ed.; Association of Official Analytical Chemists: Gaithersburg, MD, USA, 2005. [Google Scholar]
- Machado, S.; Costa, A.S.; Pimentel, F.; Oliveira, M.B.P.; Alves, R.C. A Study on the Protein Fraction of Coffee Silverskin: Protein/Non-Protein Nitrogen and Free and Total Amino Acid Profiles. Food Chem. 2020, 326, 126940. [Google Scholar] [CrossRef] [PubMed]
- Helou, C.; Jacolot, P.; Niquet-Léridon, C.; Gadonna-Widehem, P.; Tessier, F.J. Maillard Reaction Products in Bread: A Novel Semi-Quantitative Method for Evaluating Melanoidins in Bread. Food Chem. 2016, 190, 904–911. [Google Scholar] [CrossRef]
- Singleton, V.L.; Rossi, J.A. Colorimetry of Total Phenolics with Phosphomolybdic-Phosphotungstic Acid Reagents. Am. J. Enol. Vitic. 1965, 16, 144–158. [Google Scholar] [CrossRef]
- Brand-Williams, W.; Cuvelier, M.E.; Berset, C. Use of a Free Radical Method to Evaluate Antioxidant Activity. LWT-Food Sci. Technol. 1995, 28, 25–30. [Google Scholar] [CrossRef]
- Corrêa, L.C.; Marques, A.T.B.; Pereira, G.E.; Silva, P.T.d.S.e.; Rybka, A.C.P. Desenvolvimento e Validação de Metodologia Para a Determinação de Compostos Fenólicos em Vinhos Brancos e Tintos por Cromatografia Líquida de Alta Eficiência (CLAE). In Proceedings of the XIV Congresso Latino-Americano de Cromatografia e Técnicas Relacionadas XIV, Florianópolis, Brazil, 2–5 October 2012; p. 320. [Google Scholar]
- Natividade, M.M.P.; Corrêa, L.C.; de Souza, S.V.C.; Pereira, G.E.; Lima, L.C.d.O. Simultaneous Analysis of 25 Phenolic Compounds in Grape Juice for HPLC: Method Validation and Characterization of São Francisco Valley Samples. Microchem. J. 2013, 110, 665–674. [Google Scholar] [CrossRef]
- Jofre, C.M.; Campderrós, M.E.; Rinaldoni, A.N. Integral Use of Grape: Clarified Juice Production by Microfiltration and Pomace Flour by Freeze-Drying. Development of Gluten-Free Filled Cookies. Food Chem. Adv. 2024, 4, 100583. [Google Scholar] [CrossRef]
- Cilli, L.P.; Contini, L.R.F.; Sinnecker, P.; Lopes, P.S.; Andreo, M.A.; Neiva, C.R.P.; Nascimento, M.S.; Yoshida, C.M.P.; Venturini, A.C. Effects of Grape Pomace Flour on Quality Parameters of Salmon Burger. J. Food Process. Preserv. 2020, 44, e14329. [Google Scholar] [CrossRef]
- Alomar, D.; Fuchslocher, R.; Stockebrand, S. Effects of Oven- or Freeze-Drying on Chemical Composition and NIR Spectra of Pasture Silage. Anim. Feed Sci. Technol. 1999, 80, 309–319. [Google Scholar] [CrossRef]
- Rivas, M.Á.; Casquete, R.; Córdoba, M.d.G.; Ruíz-Moyano, S.; Benito, M.J.; Pérez-Nevado, F.; Martín, A. Chemical Composition and Functional Properties of Dietary Fibre Concentrates from Winemaking By-Products: Skins, Stems and Lees. Foods 2021, 10, 1510. [Google Scholar] [CrossRef]
- Machado, A.R.; Voss, G.B.; Machado, M.; Paiva, J.A.P.; Nunes, J.; Pintado, M. Chemical Characterization of the Cultivar ‘Vinhão’ (Vitis vinifera L.) Grape Pomace towards Its Circular Valorisation and Its Health Benefits. Meas. Food 2024, 15, 100175. [Google Scholar] [CrossRef]
- Barriga-Sánchez, M.; Hiparraguirre, H.C.; Rosales-Hartshorn, M. Chemical Composition and Mineral Content of Black Borgoña (Vitis labrusca L.) Grapes, Pomace and Seeds, and Effects of Conventional and Non-Conventional Extraction Methods on Their Antioxidant Properties. Food Sci. Technol. 2022, 42, e120021. [Google Scholar] [CrossRef]
- Ceccanti, C.; Finimundy, T.C.; Heleno, S.A.; Pires, T.C.S.P.; Calhelha, R.C.; Guidi, L.; Ferreira, I.C.F.R.; Barros, L. Differences in the Phenolic Composition and Nutraceutical Properties of Freeze Dried and Oven-Dried Wild and Domesticated Samples of Sanguisorba Minor Scop. LWT 2021, 145, 111335. [Google Scholar] [CrossRef]
- de Torres, C.; Díaz-Maroto, M.C.; Hermosín-Gutiérrez, I.; Pérez-Coello, M.S. Effect of Freeze-Drying and Oven-Drying on Volatiles and Phenolics Composition of Grape Skin. Anal. Chim. Acta 2010, 660, 177–182. [Google Scholar] [CrossRef]
- Ye, Z.; Qin, Y.; Harrison, R.; Hider, R.; Bekhit, A.E.D.A. Characterization of Bioactive Compounds in Lees from New Zealand Wines with Different Vinification Backgrounds. Antioxidants 2022, 11, 2335. [Google Scholar] [CrossRef] [PubMed]
- Tsali, A.; Goula, A.M. Valorization of Grape Pomace: Encapsulation and Storage Stability of Its Phenolic Extract. Powder Technol. 2018, 340, 194–207. [Google Scholar] [CrossRef]
- Oliveira, D.A.; Salvador, A.A.; Smânia, A.; Smânia, E.F.A.; Maraschin, M.; Ferreira, S.R.S. Antimicrobial Activity and Composition Profile of Grape (Vitis vinifera) Pomace Extracts Obtained by Supercritical Fluids. J. Biotechnol. 2013, 164, 423–432. [Google Scholar] [CrossRef]
- Duarte, E.L.; Carlos, L.A.; Gonçalves, C.R.; De Andrade, R.M.; De Oliveira, K.G. Influência Da Liofilização Sobre Os Carotenoides De Frutos Do Cerrado E Comportamento Higróscopico Dos Pós-Liofilizados. Biológicas Saúde 2017, 7, 22–33. [Google Scholar] [CrossRef]
- Nguyen, V.T.; Van Vuong, Q.; Bowyer, M.C.; Van Altena, I.A.; Scarlett, C.J. The Effects of Different Drying Methods on Bioactive Compound Yield and Antioxidant Capacity of Phyllanthus amarus. Acta Hortic. 2018, 1213, 317–324. [Google Scholar] [CrossRef]
- Manzocco, L.; Calligaris, S.; Mastrocola, D.; Nicoli, M.C.; Lerici, C.R. Review of Non-Enzymatic Browning and Antioxidant Capacity in Processed Foods. Trends Food Sci. Technol. 2000, 11, 340–346. [Google Scholar] [CrossRef]
- Dewanto, V.; Xianzhong, W.; Adom, K.K.; Hai, L.R. Thermal Processing Enhances the Nutritional Value of Tomatoes by Increasing Total Antioxidant Activity. J. Phys. D Appl. Phys. 2002, 31, 3185–3187. [Google Scholar] [CrossRef]
- Hong Son, N.; Thi Phuong Loan, B.; Duc Minh, N. The Current Status of Agricultural Wastes and Residuals Management and Recycling in Vietnam; FFTC Agricultural Policy Platform: Taipei, Taiwan, 2021; pp. 1–8. [Google Scholar]
- Avdović, E.; Antonijević, M.; Simijonović, D.; Grujović, M.; Marković, K.; Milenković, D.; Ćirić, A.; Marković, Z. Ultrasound-Assisted Extraction of Bioactive Phenolics from Marselan and Shiraz Grape Skins: A Step toward Circular Economy in Food and Pharmaceutical Industry. LWT 2025, 224, 117817. [Google Scholar] [CrossRef]
- Pérez-Serradilla, J.A.; de Castro, M.D.L. Role of Lees in Wine Production: A Review. Food Chem. 2008, 111, 447–456. [Google Scholar] [CrossRef] [PubMed]
- Çinar, I. Carotenoid Pigment Loss of Freeze-Dried Plant Samples under Different Storage Conditions. LWT 2004, 37, 363–367. [Google Scholar] [CrossRef]
- Perez-Moral, N.; Saha, S.; Philo, M.; Hart, D.J.; Winterbone, M.S.; Hollands, W.J.; Spurr, M.; Bows, J.; van der Velpen, V.; Kroon, P.A.; et al. Comparative Bio-Accessibility, Bioavailability and Bioequivalence of Quercetin, Apigenin, Glucoraphanin and Carotenoids from Freeze-Dried Vegetables Incorporated into a Baked Snack Versus Minimally Processed Vegetables: Evidence from in Vitro Models and a Human Bioavailability Study. J. Funct. Foods 2018, 48, 410–419. [Google Scholar] [CrossRef]
- Floegel, A.; Kim, D.O.; Chung, S.J.; Koo, S.I.; Chun, O.K. Comparison of ABTS/DPPH Assays to Measure Antioxidant Capacity in Popular Antioxidant-Rich US Foods. J. Food Compos. Anal. 2011, 24, 1043–1048. [Google Scholar] [CrossRef]
- Thaipong, K.; Boonprakob, U.; Crosby, K.; Cisneros-Zevallos, L.; Hawkins Byrne, D. Comparison of ABTS, DPPH, FRAP, and ORAC Assays for Estimating Antioxidant Activity from Guava Fruit Extracts. J. Food Compos. Anal. 2006, 19, 669–675. [Google Scholar] [CrossRef]
- Hwang, J.Y.; Shyu, Y.S.; Hsu, C.K. Grape Wine Lees Improves the Rheological and Adds Antioxidant Properties to Ice Cream. LWT 2009, 42, 312–318. [Google Scholar] [CrossRef]
- Pérez-Serradilla, J.A.; Luque de Castro, M.D. Microwave-Assisted Extraction of Phenolic Compounds from Wine Lees and Spray-Drying of the Extract. Food Chem. 2011, 124, 1652–1659. [Google Scholar] [CrossRef]
- Donno, D.; Mellano, M.G.; Raimondo, E.; Cerutti, A.K.; Prgomet, Z.; Beccaro, G.L. Influence of Applied Drying Methods on Phytochemical Composition in Fresh and Dried Goji Fruits by HPLC Fingerprint. Eur. Food Res. Technol. 2016, 242, 1961–1974. [Google Scholar] [CrossRef]
- Ginjom, I.; D’Arcy, B.; Caffin, N.; Gidley, M. Phenolic Compound Profiles in Selected Queensland Red Wines at All Stages of the Wine-Making Process. Food Chem. 2011, 125, 823–834. [Google Scholar] [CrossRef]
- Monagas, M.; Bartolomé, B.; Gómez-Cordovés, C. Evolution of Polyphenols in Red Wines from Vitis vinifera L. during Aging in the Bottle: IIII. Non-Anthocyanin Phenolic Compounds. Eur. Food Res. Technol. 2005, 220, 331–340. [Google Scholar] [CrossRef]
- Guerrero, R.F.; García-Parrilla, M.C.; Puertas, B.; Cantos-Villar, E. Wine, Resveratrol and Health: A Review. Nat. Prod. Commun. 2009, 4, 1934578X0900400503. [Google Scholar] [CrossRef]
- Ozkan, K.; Karadag, A.; Sagdic, O. The Effects of Different Drying Methods on the in Vitro Bioaccessibility of Phenolics, Antioxidant Capacity, Minerals and Morphology of Black ‘Isabel’ Grape. LWT 2022, 158, 113185. [Google Scholar] [CrossRef]
- Li, G.; Wang, Q.; Zhou, H. Research on the Application of Vacuum Freeze-Drying Technology for Food. E3S Web Conf. 2023, 370, 2022–2024. [Google Scholar] [CrossRef]
- Romero-Díez, R.; Rodríguez-Rojo, S.; Cocero, M.J.; Duarte, C.M.M.; Matias, A.A.; Bronze, M.R. Phenolic Characterization of Aging Wine Lees: Correlation with Antioxidant Activities. Food Chem. 2018, 259, 188–195. [Google Scholar] [CrossRef]
- López-Fernández-Sobrino, R.; Margalef, M.; Torres-Fuentes, C.; Ávila-Román, J.; Aragonès, G.; Muguerza, B.; Bravo, F.I. Enzyme-Assisted Extraction to Obtain Phenolic-Enriched Wine Lees with Enhanced Bioactivity in Hypertensive Rats. Antioxidants 2021, 10, 517. [Google Scholar] [CrossRef]
- Alonzo-Macías, M.; Cardador-Martínez, A.; Mounir, S.; Montejano-Gaitán, G.; Allaf, K. Comparative Study of the Effects of Drying Methods on Antioxidant Activity of Dried Strawberry (Fragaria Var. Camarosa). J. Food Res. 2013, 2, 92. [Google Scholar] [CrossRef]
- Barcia, M.T.; Pertuzatti, P.B.; Gómez-Alonso, S.; Godoy, H.T.; Hermosín-Gutiérrez, I. Phenolic Composition of Grape and Winemaking By-Products of Brazilian Hybrid Cultivars BRS Violeta and BRS Lorena. Food Chem. 2014, 159, 95–105. [Google Scholar] [CrossRef]
- Delgado De La Torre, M.P.; Priego-Capote, F.; Luque De Castro, M.D. Characterization and Comparison of Wine Lees by Liquid Chromatography-Mass Spectrometry in High-Resolution Mode. J. Agric. Food Chem. 2015, 63, 1116–1125. [Google Scholar] [CrossRef] [PubMed]
- McCullum, R.; Saifullah, M.; Bowyer, M.; Vuong, Q.V. The Impact of Drying Method and Temperature on the Colour and Functional Quality of Illawarra Plum (Podocarpus elatus). Appl. Food Res. 2024, 4, 100407. [Google Scholar] [CrossRef]
- Dai, J.; Liu, L.; Yang, Z.; Song, Y.; Liu, Z.; Lv, L. The Study of Phycocyanin-Quercetin Complex on Color Stability under Light Condition. LWT 2024, 211, 116931. [Google Scholar] [CrossRef]
- Liu, Z.; Cheng, Y.; Chao, Z. Effects of Light on the Quality of Honeysuckle during Storage Based on Physico–Chemical Indicators and Chemical Composition. Arab. J. Chem. 2024, 17, 105595. [Google Scholar] [CrossRef]
- Chayjan, R.A.; Alaei, B. New Model for Colour Kinetics of Plum under Infrared Vacuum Condition and Microwave Drying. Acta Sci. Pol. Technol. Aliment. 2016, 15, 131–144. [Google Scholar] [CrossRef] [PubMed]
- Ju, Y.; Yang, L.; Yue, X.; Li, Y.; He, R.; Deng, S.; Yang, X.; Fang, Y. Anthocyanin Profiles and Color Properties of Red Wines Made from Vitis Davidii and Vitis Vinifera Grapes. Food Sci. Hum. Wellness 2021, 10, 335–344. [Google Scholar] [CrossRef]
- Tiwari, B.K.; Muthukumarappan, K.; O’Donnell, C.P.; Cullen, P.J. Effects of Sonication on the Kinetics of Orange Juice Quality Parameters. J. Agric. Food Chem. 2008, 56, 2423–2428. [Google Scholar] [CrossRef]
- Yan, Q.; Zhang, L.; Zhang, X.; Liu, X.; Yuan, F.; Hou, Z.; Gao, Y. Stabilization of Grape Skin Anthocyanins by Copigmentation with Enzymatically Modified Isoquercitrin (EMIQ) as a Copigment. Food Res. Int. 2013, 50, 603–609. [Google Scholar] [CrossRef]
- Karastergiou, A.; Gancel, A.L.; Jourdes, M.; Teissedre, P.L. Valorization of Grape Pomace: A Review of Phenolic Composition, Bioactivity, and Therapeutic Potential. Antioxidants 2024, 13, 1131. [Google Scholar] [CrossRef]
- Giacosas, S.; Ferrero, L.; Paissoni, M.A.; Río Segade, S.; Gerbi, V.; Rolle, L. Grape Skin Anthocyanin Extraction from Red Varieties during Simulated Maceration: Influence of Grape Seeds and Pigments Adsorption on Their Surface. Food Chem. 2023, 424, 136463. [Google Scholar] [CrossRef] [PubMed]
- Espinosa-Roldán, F.E.; Valdés Sánchez, M.E.; Rico, R.P.; Moreno Cardona, D.; Martínez de Toda, F.; Muñoz-Organero, G. Amino Acid Profile of Must and Aromatic Potential of 30 Minor Grape Varieties Grown in Alcalá de Henares (Spain). Agronomy 2025, 15, 1111. [Google Scholar] [CrossRef]
- Pozo-bayón, M.Á.; Algeria, E.G.; Polo, M.C.; Tenorio, C.; Martin-alvarez, P.J.; Calvo De La Banda, M.T.; Ruiz-Larrrea, F.; Moreno-arribas, M.V. Wine Volatile and Amino Acid Composition after Malolactic Fermentation: Effect of Oenococcus oeni and Lactobacillus plantarum Starter Cultures. J. Agric. Food Chem. 2005, 53, 8729–8735. [Google Scholar] [CrossRef]
- Zhang, K.; Kang, W.; Han, W.; Ma, H.; Gong, D.; Qin, L. Effects of the Fertilizer and Water Management on Amino Acids and Volatile Components in Cabernet Sauvignon Grapes and Wines. Int. J. Agric. Biol. Eng. 2024, 17, 69–79. [Google Scholar] [CrossRef]
- Alcaide-Hidalgo, J.M.; Moreno-Arribas, M.V.; Martín-Álvarez, P.J.; Polo, M.C. Influence of Malolactic Fermentation, Postfermentative Treatments and Ageing with Lees on Nitrogen Compounds of Red Wines. Food Chem. 2007, 103, 572–581. [Google Scholar] [CrossRef]
- FAO/WHO. Energy and Protein Requirements. World Health Organization Technical Report Series; 1973. Available online: https://www.fao.org/ (accessed on 6 November 2025).
- Zhang, Y.; Zhang, P.; Peng, H.; Chen, Q.; Jiao, X.; Jia, J.; Pan, Z.; Cheng, J.; Wang, L. Effects of Cooking Processes on Protein Nutritional Values and Volatile Flavor Substances of Silver Carp (Hypophthalmichthys molitrix). Foods 2023, 12, 3169. [Google Scholar] [CrossRef] [PubMed]
- Machado, M.; Machado, S.; Pimentel, F.B.; Freitas, V.; Alves, R.C.; Oliveira, M.B.P.P. Amino Acid Profile and Protein Quality Assessment of Macroalgae Produced in an Integrated Multi-Trophic Aquaculture System. Foods 2020, 9, 1382. [Google Scholar] [CrossRef] [PubMed]
- Dawczynski, C.; Schubert, R.; Jahreis, G. Amino Acids, Fatty Acids, and Dietary Fibre in Edible Seaweed Products. Food Chem. 2007, 103, 891–899. [Google Scholar] [CrossRef]
- FAO/WHO/UNU. Protein and Amino Acid Requirements in Human Nutrition. Report of a Joint FAO/WHO/UNU Expert Consultation. 2007; Volume 235, pp. 1–13. Available online: https://www.fao.org/ (accessed on 6 November 2025).




| Parameters (g/100 g) | Samples | p Value | |
|---|---|---|---|
| Oven | Freeze-Drying | ||
| Moisture | 8.50 ± 0.20 a | 5.00 ± 0.20 b | 0.00 |
| Protein | 20.30 ± 0.40 a | 19.93 ± 0.50 a | 0.08 |
| Lipids | 1.20 ± 0.07 b | 2.02 ± 0.08 a | 0.00 |
| Carbohydrate | 52.24 ± 0.35 a | 54.75 ± 0.20 a | 0.30 |
| Ash ** | 12.86 ± 0.03 b | 14.70 ± 0.02 a | 0.01 |
| Crude fiber | 4.90 ± 0.20 a | 3.60 ± 0.40 b | 0.03 |
| Drying Methods and Storage Conditions | Total Phenolic Content (mg GAE/g) at Different Storage Time (Days) | |||
|---|---|---|---|---|
| 0 | 45 | 90 | R2 | |
| 40 °C with light | 59.67 A* ± 0.00 | 58.20 aA* ± 0.00 | 52.10 bB* ± 0.01 | 0.8891 |
| 40 °C without light | 57.30 bA* ± 0.01 | 55.80 aB* ± 0.08 | 0.9834 | |
| Freeze-dried with light | 77.92 A* ± 0.08 | 72.20 bA* ± 0.01 | 59.90 bB* ± 0.05 | 0.9574 |
| Freeze-dried without light | 75.98 aA* ± 0.03 | 63.45 aB* ± 0.00 | 0.9574 | |
| Drying Methods and Storage Conditions | Antioxidant Activity (μg/mL) at Different Storage Time (Days) | |||
|---|---|---|---|---|
| 0 | 45 | 90 | R2 | |
| 40 °C with light | 37.02 B* ± 0.00 | 35.01 aA* ± 0.00 | 31.48 aB* ± 0.01 | 0.9755 |
| 40 °C without light | 35.20 aA* ± 0.10 | 34.26 bA* ± 0.00 | 0.9672 | |
| Freeze-dried with light | 42.12 A* ± 0.00 | 37.11 aB* ± 0.03 | 33.84 aB* ± 0.02 | 0.9855 |
| Freeze-dried without light | 40.01 bA* ± 0.05 | 35.69 bA* ± 0.01 | 0.9621 | |
| Drying Methods and Storage Conditions | Antioxidant Activity 1 at Different Storage Time (Days) | |||
|---|---|---|---|---|
| 0 | 45 | 90 | R2 | |
| 40 °C with light | 1075.00 A* ± 0.00 | 341.84 bB* ± 0.00 | 287.46 bB* ± 0.00 | 0.8015 |
| 40 °C without light | 363.03 aB* ± 2.10 | 314.27 aB* ± 0.59 | 0.7979 | |
| Freeze-dried with light | 829.54B* ± 0.00 | 653.05 bA* ± 1.21 | 566.51 aA* ± 1.44 | 0.9625 |
| Freeze-dried without light | 669.37 aA* ± 0.33 | 542.00 bA* ± 1.15 | 0.9957 | |
| Phenolic Groups | Concentration Expressed in mg/g for Different Drying Method | |
|---|---|---|
| 40 °C | Freeze-Dried | |
| Phenolic acids | 8.03 ± 0.05 b | 8.40 ± 0.07 a |
| Flavonol | 15.51 ± 0.00 b | 21.88 ± 0.00 a |
| Tannins | 50.40 ± 0.00 b | 81.73 ± 0.00 a |
| Anthocyanins | 8.93 ± 0.03 b | 15.60 ± 0.02 a |
| Parameters | Sample | p Value | |
|---|---|---|---|
| 40 °C | Freeze-Dried | ||
| L* | 55.40 ± 0.01 b | 59.68 ± 0.00 a | 0.00 |
| a* | 4.89 ± 0.01 b | 6.44 ± 0.00 a | 0.00 |
| b* | 2.12 ± 0.02 a | 2.37 ± 0.02 a | 0.06 |
| ΔE* | 6.08 ± 0.01 | ||
| Amino Acids | (mg/g Protein) |
|---|---|
| Aspartic acid | 104.11 ± 2.59 |
| Glutamic acid | 113.17 ± 2.54 |
| Arginine | 56.11 ± 5.00 |
| Alanine | 63.76 ± 1.24 |
| Glycine | 53.94 ± 1.25 |
| Hydroxyproline | 12.33 ± 0.53 |
| Proline | 62.87 ± 4.66 |
| Serine | 56.02 ± 1.43 |
| Tyrosine | 31.93 ± 0.82 |
| Phenylalanine * | 58.88 ± 1.74 |
| Histidine * | 30.21 ± 0.99 |
| Isoleucine * | 49.12 ± 0.84 |
| Leucine * | 103.94 ± 2.08 |
| Lysine * | 72.39 ± 3.29 |
| Methionine * | 13.45 ± 0.38 |
| Threonine * | 49.14 ± 0.87 |
| Tryptophan * | 7.14 ± 0.32 |
| Valine * | 61.49 ± 1.51 |
| ΣEAA | 445.76 ± 7.88 |
| ΣNEAA | 554.24 ± 17.57 |
| ΣEAA/ΣNEAA | 0.80 ± 0.01 |
| ΣAA | 1000.00 |
| EAAI | 1.55 ± 0.02 |
| Amino Acids | AAS (%) |
|---|---|
| Freeze-Dried | |
| Histidine | 188.83 ± 7.82 |
| Threonine | 199.83 ± 1.60 |
| Valine | 153.73 ± 1.50 |
| Tryptophan | 108.31 ± 6.12 |
| Phenylalanine | 143.62 ± 1.56 |
| Isoleucine | 163.75 ± 1.53 |
| Leucine | 170.39 ± 0.75 |
| Lysine | 150.81 ± 7.63 |
| SAA * | 58.50 ± 1.63 |
| AAA ** | 238.96 ± 2.49 |
Disclaimer/Publisher’s Note: The statements, opinions and data contained in all publications are solely those of the individual author(s) and contributor(s) and not of MDPI and/or the editor(s). MDPI and/or the editor(s) disclaim responsibility for any injury to people or property resulting from any ideas, methods, instructions or products referred to in the content. |
© 2025 by the authors. Licensee MDPI, Basel, Switzerland. This article is an open access article distributed under the terms and conditions of the Creative Commons Attribution (CC BY) license (https://creativecommons.org/licenses/by/4.0/).
Share and Cite
de Andrade Bulos, R.B.; de Souza, C.O.; de Quadros, C.P.; Leme, O.A.D.; Corrêa, L.C.; Oliveira, M.B.P.P.; Machado, S.; Biasoto, A.C.T.; Tavares, P.P.L.G.; Nascimento, R.Q.; et al. Impact of Drying and Storage Conditions on the Bioactive and Nutritional Properties of Malolactic Wine Lees. Foods 2025, 14, 3852. https://doi.org/10.3390/foods14223852
de Andrade Bulos RB, de Souza CO, de Quadros CP, Leme OAD, Corrêa LC, Oliveira MBPP, Machado S, Biasoto ACT, Tavares PPLG, Nascimento RQ, et al. Impact of Drying and Storage Conditions on the Bioactive and Nutritional Properties of Malolactic Wine Lees. Foods. 2025; 14(22):3852. https://doi.org/10.3390/foods14223852
Chicago/Turabian Stylede Andrade Bulos, Roberta Barreto, Carolina Oliveira de Souza, Cedenir Pereira de Quadros, Otávio Augusto Durando Leme, Luiz Claudio Corrêa, Maria Beatriz Prior Pinto Oliveira, Susana Machado, Aline Camarão Telles Biasoto, Pedro Paulo Lordelo Guimarães Tavares, Renata Quartieri Nascimento, and et al. 2025. "Impact of Drying and Storage Conditions on the Bioactive and Nutritional Properties of Malolactic Wine Lees" Foods 14, no. 22: 3852. https://doi.org/10.3390/foods14223852
APA Stylede Andrade Bulos, R. B., de Souza, C. O., de Quadros, C. P., Leme, O. A. D., Corrêa, L. C., Oliveira, M. B. P. P., Machado, S., Biasoto, A. C. T., Tavares, P. P. L. G., Nascimento, R. Q., & Umsza-Guez, M. A. (2025). Impact of Drying and Storage Conditions on the Bioactive and Nutritional Properties of Malolactic Wine Lees. Foods, 14(22), 3852. https://doi.org/10.3390/foods14223852

