Effects of Royal Jelly Freshness and Concentration on Lifespan, Growth, Motility and Reproduction in Caenorhabditis elegans
Abstract
1. Introduction
2. Material and Methods
2.1. Materials
2.2. Preparation of RJ and Treatment Plates
2.3. C. elegans Maintenance, Synchronization and Feeding RJ
2.4. Lifespan Assays
2.5. Growing Ability Assay
2.6. Motor Ability Assay
2.7. Fecundity Assay
2.8. RNA Extraction and Quantitative Real-Time PCR (RT-qPCR)
2.9. Statistical Analysis
3. Result
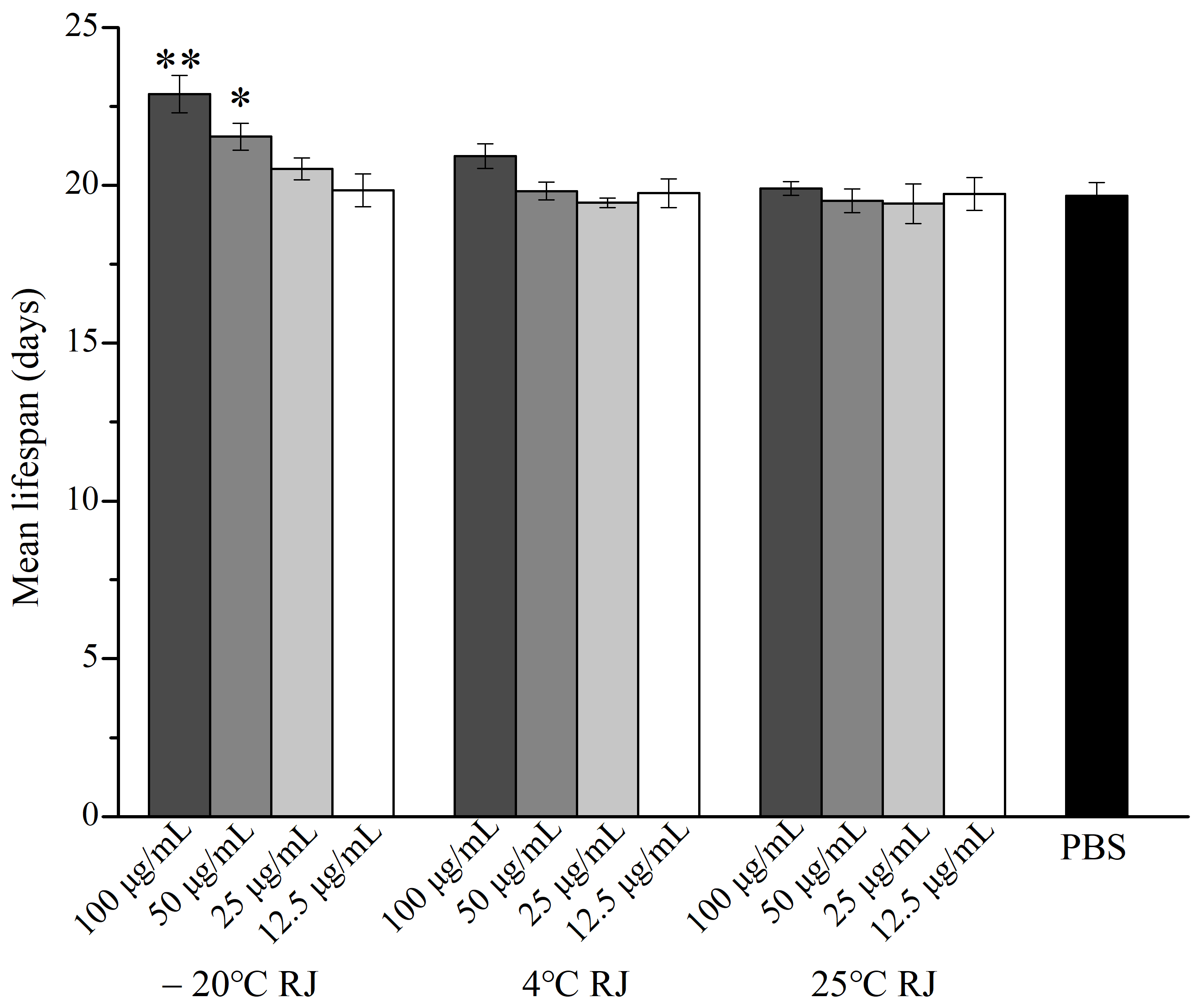
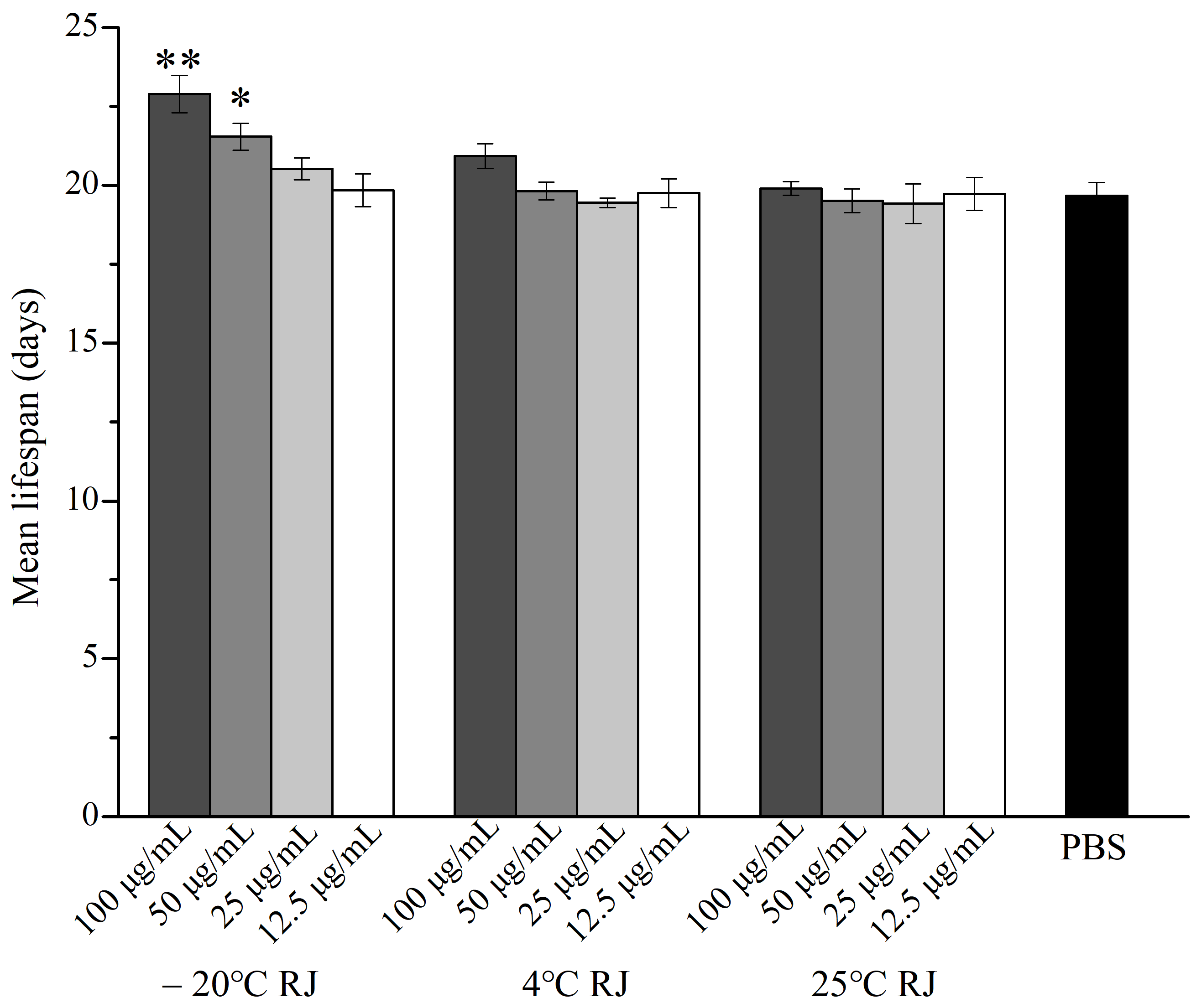
3.1. RJ Slightly Increased the Lifespan of C. elegans
3.2. Effects of Different RJ on Body Length of C. elegans
3.3. RJ Improved the Motility of C. elegans
3.4. RJ Showed Significant Effect on the Reproduction Capacity of C. elegans
3.5. Aging-Related Gene Expression
4. Discussion
5. Conclusions
Author Contributions
Funding
Institutional Review Board Statement
Informed Consent Statement
Data Availability Statement
Conflicts of Interest
References
- Aunan, J.R.; Watson, M.M.; Hagland, H.R.; Soreide, K. Molecular and biological hallmarks of ageing. Brit. J. Surg. 2016, 103, e29–e46. [Google Scholar] [CrossRef]
- Wu, Z.M.; Qu, J.; Zhang, W.Q.; Liu, G.H. Stress, epigenetics, and aging unraveling the intricate crosstalk. Mol. Cell. 2024, 84, 34–54. [Google Scholar] [CrossRef]
- Elizabeth, L.; Machado, P.; Zinöcker, M.; Baker, P.; Lawrence, M. Ultra-processed foods and health outcomes: A narrative review. Nutrients 2020, 12, 1955. [Google Scholar] [CrossRef]
- Green, C.L.; Lamming, D.W.; Fontana, L. Molecular mechanisms of dietary restriction promoting health and longevity. Nat. Rev. Mol. Cell. Bio. 2022, 23, 56–73. [Google Scholar] [CrossRef]
- Fontana, L.; Partridge, L. Promoting health and longevity through diet: From model organisms to humans. Cell 2015, 161, 106–118. [Google Scholar] [CrossRef]
- Giampieri, F.; Quiles, J.L.; Cianciosi, D.; Forbes-Hernández, T.Y.; Orantes-Bermejo, F.J.; Alvarez-Suarez, J.M.; Battino, M. Bee products: An emblematic example of underutilized sources of bioactive compounds. J. Agr. Food. Chem. 2022, 70, 6833–6848. [Google Scholar] [CrossRef] [PubMed]
- Pasupuleti, V.R.; Sammugam, L.; Ramesh, N.; Gan, S.H. Honey, propolis, and royal jelly: A comprehensive review of their biological actions and health benefits. Oxid. Med. Cell. Longev. 2017, 2017, 1259510. [Google Scholar] [CrossRef] [PubMed]
- Kamakura, M. Royalactin induces queen differentiation in honeybees. Nature 2011, 473, 478–483. [Google Scholar] [CrossRef]
- Li, S.S.; Tao, L.C.; Yu, X.Y.; Zheng, H.Q.; Wu, J.P.; Hu, F.L. Royal jelly proteins and their derived peptides: Preparation, properties, and biological activities. J. Agric. Food Chem. 2021, 69, 14415–14427. [Google Scholar] [CrossRef] [PubMed]
- Ahmad, S.; Campos, M.G.; Fratini, F.; Altaye, S.Z.; Li, J.K. New insights into the biological and pharmaceutical properties of royal jelly. Int. J. Mol. Sci. 2020, 21, 382. [Google Scholar] [CrossRef] [PubMed]
- Orsolic, N.; Jembrek, M.J. Royal jelly biological action and health benefits. Int. J. Mol. Sci. 2024, 25, 6023. [Google Scholar] [CrossRef] [PubMed]
- Ramadan, M.F.; Al-Ghamdi, A. Bioactive compounds and health-promoting properties of royal jelly: A review. J. Funct. Foods. 2012, 4, 39–52. [Google Scholar] [CrossRef]
- Hadi, A.; Najafgholizadeh, A.; Aydenlu, E.S.; Shafiei, Z.; Pirivand, F.; Golpour, S.; Pourmasoumi, M. Royal jelly is an effective and relatively safe alternative approach to blood lipid modulation: A meta-analysis. J. Funct. Foods 2018, 41, 202–209. [Google Scholar] [CrossRef]
- Kurek-Górecka, A.; Górecki, M.; Rzepecka-Stojko, A.; Balwierz, R.; Stojko, J. Bee products in dermatology and skin care. Molecules 2020, 25, 556. [Google Scholar] [CrossRef] [PubMed]
- Fratini, F.; Cilia, G.; Mancini, S.; Felicioli, A. Royal jelly: An ancient remedy with remarkable antibacterial properties. Microbiol. Res. 2016, 192, 130–141. [Google Scholar] [CrossRef]
- Collazo, N.; Carpena, M.; Nuñez-Estevez, B.; Otero, P.; Simal-Gandara, J.; Prieto, M.A. Health promoting properties of bee royal jelly: Food of the queens. Nutrients 2021, 13, 543. [Google Scholar] [CrossRef] [PubMed]
- Qi, D.D.; Ma, C.Y.; Wang, W.W.; Zhang, L.C.; Li, J.K. Gas chromatography-mass spectrometry analysis as a tool to reveal differences between the volatile compound profile of royal jelly produced from tea and pagoda trees. Food. Anal. Method. 2021, 14, 616–630. [Google Scholar] [CrossRef]
- Buttstedt, A.; Moritz, R.F.A.; Erler, S. Origin and function of the major royal jelly proteins of the honeybee as members of the gene family. Biol. Rev. 2014, 89, 255–269. [Google Scholar] [CrossRef]
- Ramanathan, A.N.K.G.; Nair, A.J.; Sugunan, V.S. A review on royal jelly proteins and peptides. J. Funct. Foods 2018, 44, 255–264. [Google Scholar] [CrossRef]
- Alattal, Y.Z.; Bazeyad, A.Y.; Al-Ghamdi, A.A. Variation in chemical composition of fresh and commercial royal jelly associated with international standards. J. Food. Compos. Anal. 2025, 138, 107017. [Google Scholar] [CrossRef]
- Hu, H.; Wei, Q.H.; Sun, Z.H.; Zhang, X.F.; Ma, C.; Feng, M.; Meng, L.F.; Li, J.K.; Han, B. Development of a freshness assay for royal jelly based on the temperature- and time-dependent changes of antimicrobial effectiveness and proteome dynamics of royal jelly proteins. J. Agr. Food. Chem. 2021, 69, 10731–10740. [Google Scholar] [CrossRef]
- Shen, P.Y.; Yue, Y.R.; Park, Y. A living model for obesity and aging research: Caenorhabditis elegans. Crit. Rev. Food. Sci. 2018, 58, 741–754. [Google Scholar] [CrossRef]
- Fang, Z.Y.; Chen, Y.T.; Wang, G.; Feng, T.; Shen, M.; Xiao, B.; Gu, J.Y.; Wang, W.M.; Li, J.; Zhang, Y.J. Evaluation of the antioxidant effects of acid hydrolysates from polysaccharides using a model. Food. Funct. 2019, 10, 5531–5543. [Google Scholar] [CrossRef] [PubMed]
- Kunugi, H.; Ali, A.M. Royal jelly and its components promote healthy aging and longevity, from animal models to humans. Int. J. Mol. Sci. 2019, 20, 4662. [Google Scholar] [CrossRef] [PubMed]
- Honda, Y.; Fujita, Y.; Maruyama, H.; Araki, Y.; Ichihara, K.; Sato, A.; Kojima, T.; Tanaka, M.; Nozawa, Y.; Ito, M.; et al. Lifespan-extending effects of royal jelly and its related substances on the nematode. PLoS ONE 2011, 6, e23527. [Google Scholar] [CrossRef]
- Inoue, S. Royal jelly prolongs the life span of C3H/HeJ mice: Correlation with reduced DNA damage. Exp. Gerontol. 2003, 38, 965–969. [Google Scholar] [CrossRef] [PubMed]
- Detienne, G.; De Haes, W.; Ernst, U.R.; Schoofs, L. Temmerman, Royalactin extends lifespan of through epidermal growth factor signaling. Exp. Gerontol. 2014, 60, 129–135. [Google Scholar] [CrossRef]
- Elnagar, S.A. Royal jelly counteracts bucks’ “summer infertility”. Anim. Reprod. Sci. 2010, 121, 174–180. [Google Scholar] [CrossRef]
- Almeer, R.S.; Soliman, D.; Kassab, R.B.; AlBasher, G.I.; Alarifi, S.; Alkahtani, S.; Ali, D.; Metwally, D.; Moneim, A.E.A. Royal jelly abrogates cadmium-induced oxidative challenge in mouse testes: Involvement of the Nrf2 pathway. Int. J. Mol. Sci. 2018, 19, 3979. [Google Scholar] [CrossRef]
- Khazaei, F.; Ghanbari, E.; Khazaei, M. Improved hormonal and oxidative changes by royal jelly in the rat model of PCOS: An experimental study. Int. J. Reprod. Biomed. 2021, 19, 515–524. [Google Scholar] [CrossRef]
- Zhou, J.; Xue, X.; Li, Y.; Zhang, J.; Zhao, J. Optimized determination method for trans-10-hydroxy-2-decenoic acid content in royal jelly by high-performance liquid chromatography with an internal standard. J. AOAC Int. 2007, 90, 244–249. [Google Scholar] [CrossRef]
- Maher, A.M.; Elsanosy, G.A.; Ghareeb, D.A.; Elblehi, S.S.; Saleh, S.R. 10-Hydroxy decanoic acid and zinc oxide nanoparticles retrieve Nrf2/HO-1 and Caspase-3/Bax/Bcl-2 signaling in lead-induced testicular toxicity. Biol. Trace Elem. Res. 2025, 203, 2728–2751. [Google Scholar] [CrossRef]
- Duangjan, C.; Rangsinth, P.; Gu, X.J.; Wink, M.; Tencomnao, T. Lifespan extending and oxidative stress resistance properties of a leaf extracts from L. in Caenorhabditis elegans. Oxid. Med. Cell. Longev. 2019, 2019, 9012396. [Google Scholar] [CrossRef] [PubMed]
- Templeman, N.M.; Murphy, C.T. Regulation of reproduction and longevity by nutrient-sensing pathways. J. Cell. Biol. 2018, 217, 93–106. [Google Scholar] [CrossRef]
- Altintas, O.; Park, S.; Lee, S.J.V. The role of insulin/IGF-1 signaling in the longevity of model invertebrates C and D. Bmb. Rep. 2016, 49, 81–92. [Google Scholar] [CrossRef]
- Jia, K.L.; Levine, B. Autophagy and longevity, lessons from C. elegans. Adv. Exp. Med. Biol. 2010, 694, 47–60. [Google Scholar]
- Ishii, N.; Goto, S.; Hartman, P.S. Protein oxidation during aging of the nematode Caenorhabditis elegans. Free Radic. Biol. Med. 2002, 33, 1021–1025. [Google Scholar] [CrossRef] [PubMed]
- Murphy, C.; McCarroll, S.; Bargmann, C.; Fraser, A.; Kamath, R.; Ahringer, J.; Li, H.; Kenyon, C. Genes that act downstream of DAF-16 to influence the lifespan of Caenorhabditis elegans. Nature 2003, 424, 277–283. [Google Scholar] [CrossRef] [PubMed]
- Wang, H.L.; Liu, J.; Li, T.; Liu, R.H. Blueberry extract promotes longevity and stress tolerance via DAF-16 in Caenorhabditis elegans. Food. Funct. 2018, 9, 5273–5282. [Google Scholar] [CrossRef]
- Yang, P.G.; Zhang, H. The coiled-coil domain protein EPG-8 plays an essential role in the autophagy pathway in C. elegans. Autophagy 2011, 7, 159–165. [Google Scholar] [CrossRef]
- Han, J.H.; Park, H.S.; Lee, D.H.; Jo, J.H.; Heo, K.S.; Myung, C.S. Regulation of autophagy by controlling Erk1/2 and mTOR for platelet-derived growth factor-BB-mediated vascular smooth muscle cell phenotype shift. Life. Sci. 2021, 267, 118978. [Google Scholar] [CrossRef] [PubMed]
- Yanase, S. PAK1-deficiency/down-regulation reduces brood size, activates HSP16.2 gene and extends lifespan in Caenorhabditis elegans. Drug Discov. Ther. 2013, 7, 29–35. [Google Scholar] [CrossRef] [PubMed]





| Gene | Gene ID | Forward (5′→3′) | Reverse (5′→3′) |
|---|---|---|---|
| daf16 | 172981 | 5′-CGCTTCTTCATCGGCTCTTC-3′ | 5′-CTTTCGAACAACACCAGGGG-3′ |
| sir2.1 | 177924 | 5′-TTCAGAAGTTGCGGTCACAC-3′ | 5′-TGTGTTTGTTTCGGGTGCAT-3′ |
| skn1 | 177343 | 5′-TCGCCTCTCTTCGGAATCTC-3′ | 5′-CTGGAAGCTCGTTGTCACTG-3′ |
| sod3 | 181748 | 5′-GCGCTGAAATTCAATGGTGG-3′ | 5′-ATATCCCAACCATCCCCAGC-3′ |
| ctl2 | 175085 | 5′-CTTCAACAAGGTCGGGAAGC-3′ | 5′-GTTCGGGAAGTGGATAGGGT-3′ |
| hsp16.2 | 178659 | 5′-GGTGCAGTTGCTTCGAATCTT-3′ | 5′-TCTTCCTTGAACCGCTTCTTTC-3′ |
| hsf1 | 173078 | 5′-TTTGCATTTTCTCGTCTCTGTC-3′ | 5′-TCTATTTCCAGCACACCTCGT-3′ |
| bec1 | 177345 | 5′-ACGAGCTTCATTCGCTGGAA-3′ | 5′-TTCGTGATGTTGTACGCCGA -3′ |
| lgg1 | 174050 | 5′-GCCGAAGGAGACAAGATCCG-3′ | 5′-GGTCCTGGTAGAGTTGTCCC -3′ |
| gpd1 | 174603 | 5′-TCAAGGAGGAGCCAAGAAGG-3′ | 5′-CAGTGGTGCCAGACAGTTG-3′ |
| fat5 | 180162 | 5′-TTGTCTGGAAGAATGTCGC-3′ | 5′-ATGAGCATCAGGAATACTCTCC-3′ |
| fat6 | 178122 | 5′-AAAGATTGAGAAGGACGGC-3′ | 5′-CCGAACACATACAGAAGGAA-3′ |
| fat7 | 179100 | 5′-CGAGCATTGCCAAGAAGAT-3′ | 5′-GCCGTTTGCCATTTAGCA-3′ |
| sbp1 | 176574 | 5′-TCTCCACCACACCATACCT-3′ | 5′-GCCACTTGTTCAGGGTTCT-3′ |
| β-actin | 179534 | 5′-CGGAGCTGAACGGAAAACTC-3′ | 5′-TCAGTGTAGGCGAGGATTCC-3′ |
| Group | Number | Mean Lifespan (Days) | % of Control | |
|---|---|---|---|---|
| −20 °C RJ | 100 μg/mL | 57 | 22.89 ± 0.59 | 116.37% |
| 50 μg/mL | 54 | 21.54 ± 0.43 | 109.51% | |
| 25 μg/mL | 56 | 20.52 ± 0.34 | 104.32% | |
| 12.5 μg/mL | 54 | 19.84 ± 0.52 | 100.86% | |
| 4 °C RJ | 100 μg/mL | 53 | 20.12 ± 0.39 | 102.29% |
| 50 μg/mL | 58 | 19.82 ± 0.28 | 100.76% | |
| 25 μg/mL | 56 | 19.45 ± 0.15 | 98.88% | |
| 12.5 μg/mL | 55 | 19.75 ± 0.46 | 100.41% | |
| 25 °C RJ | 100 μg/mL | 56 | 19.90 ± 0.22 | 101.67% |
| 50 μg/mL | 52 | 19.51 ± 0.38 | 99.19% | |
| 25 μg/mL | 56 | 19.42 ± 0.63 | 98.73% | |
| 12.5 μg/mL | 53 | 19.73 ± 0.52 | 100.31% | |
| PBS | Con. | 55 | 19.67 ± 0.42 | 100% |
Disclaimer/Publisher’s Note: The statements, opinions and data contained in all publications are solely those of the individual author(s) and contributor(s) and not of MDPI and/or the editor(s). MDPI and/or the editor(s) disclaim responsibility for any injury to people or property resulting from any ideas, methods, instructions or products referred to in the content. |
© 2025 by the authors. Licensee MDPI, Basel, Switzerland. This article is an open access article distributed under the terms and conditions of the Creative Commons Attribution (CC BY) license (https://creativecommons.org/licenses/by/4.0/).
Share and Cite
Zhang, C.; Deng, Y.; Luo, Z.; Liu, S.; Tao, W.; Zhang, Y.; Li, H.; Wu, F. Effects of Royal Jelly Freshness and Concentration on Lifespan, Growth, Motility and Reproduction in Caenorhabditis elegans. Foods 2025, 14, 3839. https://doi.org/10.3390/foods14223839
Zhang C, Deng Y, Luo Z, Liu S, Tao W, Zhang Y, Li H, Wu F. Effects of Royal Jelly Freshness and Concentration on Lifespan, Growth, Motility and Reproduction in Caenorhabditis elegans. Foods. 2025; 14(22):3839. https://doi.org/10.3390/foods14223839
Chicago/Turabian StyleZhang, Chenhuan, Yuanhao Deng, Zhenling Luo, Shenyun Liu, Wenhui Tao, Yuhan Zhang, Hongliang Li, and Fan Wu. 2025. "Effects of Royal Jelly Freshness and Concentration on Lifespan, Growth, Motility and Reproduction in Caenorhabditis elegans" Foods 14, no. 22: 3839. https://doi.org/10.3390/foods14223839
APA StyleZhang, C., Deng, Y., Luo, Z., Liu, S., Tao, W., Zhang, Y., Li, H., & Wu, F. (2025). Effects of Royal Jelly Freshness and Concentration on Lifespan, Growth, Motility and Reproduction in Caenorhabditis elegans. Foods, 14(22), 3839. https://doi.org/10.3390/foods14223839

