Modeling the Influence of Macronutrients on the Heat Resistance of Salmonella in Milk Powder
Abstract
1. Introduction
2. Materials and Methods
2.1. Milk Powder Products
2.2. Proximate Composition Analysis
2.3. Bacterial Cultures and Inoculation Procedure
2.4. Sample Equilibration and Storage Stability
2.5. Reconstitution Experiment of IMP
2.6. Isothermal Treatment
2.7. Primary Model Fitting
2.8. Secondary Model Fitting
2.9. Statistical Analysis
3. Results
3.1. Proximate Composition Estimation
3.2. Survival of Salmonella After Reconstitution
3.3. Storage Stability of Powder Inoculation
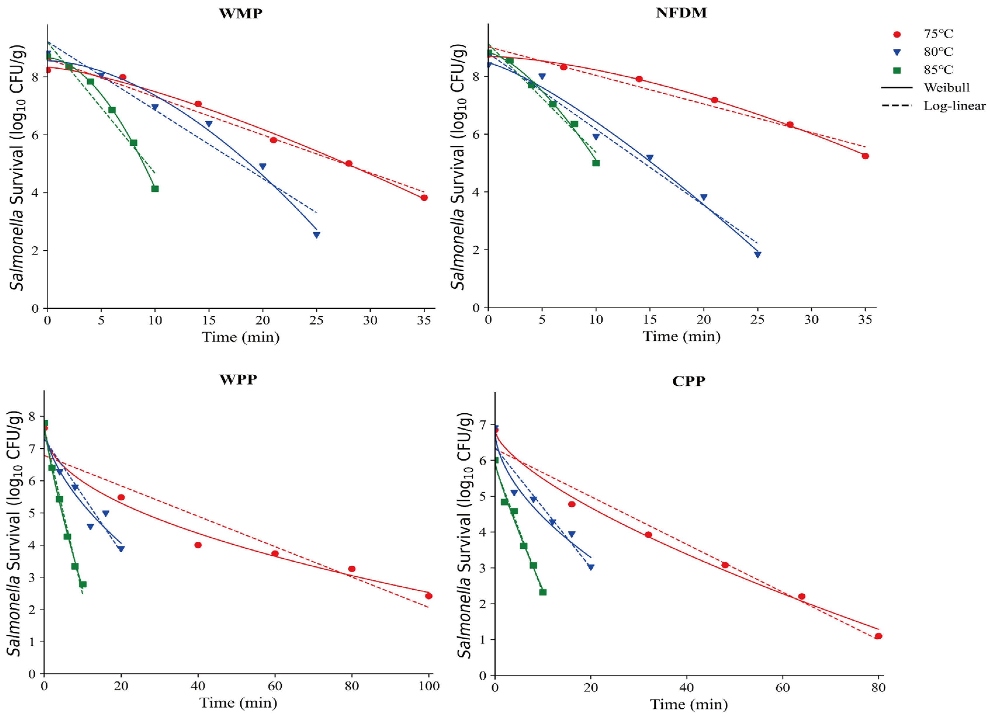
3.4. Thermal Resistance of Salmonella in Seven Types of Milk Powder
3.5. Influence of Temperature and Macronutrients on the Thermal Resistance of Salmonella
4. Conclusions
Author Contributions
Funding
Institutional Review Board Statement
Informed Consent Statement
Data Availability Statement
Conflicts of Interest
References
- Codex Alimentarius Commission. Code of Hygienic Practice for Low-Moisture Foods; CAC/RCP 75-2015; Codex Alimentarius: Rome, Italy, 2015. [Google Scholar]
 - RASFF RASFF Portal. 2025. Available online: https://webgate.ec.europa.eu/rasff-window/screen/search (accessed on 13 August 2025).
 - Jayeola, V.; Farber, J.M.; Kathariou, S. Induction of the Viable-but-Nonculturable State in Salmonella Contaminating Dried Fruit. Appl. Environ. Microbiol. 2022, 88, e01733-21. [Google Scholar] [CrossRef]
 - Millqvistfureby, A.; Smith, P. In-Situ Lecithination of Dairy Powders in Spray-Drying for Confectionery Applications. Food Hydrocoll. 2007, 21, 920–927. [Google Scholar] [CrossRef]
 - Chuchird, P.; Pattarathitiwat, P.; Pongprajak, A. Formulation and Evaluation of Physical, Chemical and Sensory Properties Ofinstant Functional Beverage Powder Containing Pathum Thani Fragrance Rice, Soy Protein and Milk Powder. Food Res. 2024, 8, 394–401. [Google Scholar] [CrossRef] [PubMed]
 - Serna-Saldívar, S.O. (Ed.) Snack Foods: Processing, Innovation, and Nutritional Aspects, 1st ed.; CRC Press: Boca Raton, FL, USA, 2022; Volume 8–22, ISBN 978-1-003-12906-6. [Google Scholar]
 - Banach, J.C.; Clark, S.; Lamsal, B.P. Particle Size of Milk Protein Concentrate Powder Affects the Texture of High-protein Nutrition Bars during Storage. J. Food Sci. 2017, 82, 913–921. [Google Scholar] [CrossRef]
 - LiCari, J.J.; Potter, N.N. Salmonella Survival during Spray Drying and Subsequent Handling of Skimmilk Powder. II. Effects of Drying Conditions. J. Dairy Sci. 1970, 53, 871–876. [Google Scholar] [CrossRef]
 - Ahmad, N.H.; Marks, B.P.; Ryser, E.T. Effect of Lactose and Milk Protein on Thermal Resistance of Enterococcus Faecium NRRL B-2354 and Salmonella in Dairy Powders. J. Food Prot. 2022, 85, 1865–1874. [Google Scholar] [CrossRef]
 - Hebishy, E.; Yerlikaya, O.; Mahony, J.; Akpinar, A.; Saygili, D. Microbiological Aspects and Challenges of Whey Powders—I Thermoduric, Thermophilic and Spore-forming Bacteria. Int. J. Dairy Technol. 2023, 76, 779–800. [Google Scholar] [CrossRef]
 - EFSA Multi-Country Outbreak of Salmonella Poona Infections Linked to Consumption of Infant Formula. EFSA Supporting Publications; John Wiley & Sons: Hoboken, NJ, USA, 2019; Volume 16. [Google Scholar] [CrossRef]
 - Rachon, G.; Peñaloza, W.; Gibbs, P.A. Inactivation of Salmonella, Listeria Monocytogenes and Enterococcus Faecium NRRL B-2354 in a Selection of Low Moisture Foods. Int. J. Food Microbiol. 2016, 231, 16–25. [Google Scholar] [CrossRef]
 - Deng, L.-Z.; Tao, Y.; Mujumdar, A.S.; Pan, Z.; Chen, C.; Yang, X.-H.; Liu, Z.-L.; Wang, H.; Xiao, H.-W. Recent Advances in Non-Thermal Decontamination Technologies for Microorganisms and Mycotoxins in Low-Moisture Foods. Trends Food Sci. Technol. 2020, 106, 104–112. [Google Scholar] [CrossRef]
 - Wei, X.; Lau, S.K.; Chaves, B.D.; Danao, M.-G.C.; Agarwal, S.; Subbiah, J. Effect of Water Activity on the Thermal Inactivation Kinetics of Salmonella in Milk Powders. J. Dairy Sci. 2020, 103, 6904–6917. [Google Scholar] [CrossRef] [PubMed]
 - Sekhon, A.S.; Singh, A.; Unger, P.; Babb, M.; Yang, Y.; Michael, M. Survival and Thermal Resistance of Salmonella in Dry and Hydrated Nonfat Dry Milk and Whole Milk Powder during Extended Storage. Int. J. Food Microbiol. 2021, 337, 108950. [Google Scholar] [CrossRef]
 - Wei, X. Microbial Challenge Studies of Radio Frequency Heating for Dairy Powders and Gaseous Technologies for Spices. Ph.D. Thesis, The University of Nebraska-Lincoln, Lincoln, NE, USA, 2021. [Google Scholar]
 - Ma, L.; Zhang, G.; Gerner-Smidt, P.; Mantripragada, V.; Ezeoke, I.; Doyle, M.P. Thermal Inactivation of Salmonella in Peanut Butter. J. Food Prot. 2009, 72, 1596–1601. [Google Scholar] [CrossRef]
 - Ng, H.; Bayne, H.G.; Garibaldi, J.A. Heat Resistance of Salmonella: The Uniqueness of Salmonella senftenberg 775W. Appl. Microbiol. 1969, 17, 78–82. [Google Scholar] [CrossRef]
 - Quintavalla, S.; Larini, S.; Mutti, P.; Barbuti, S. Evaluation of the Thermal Resistance of Different Salmonella Serotypes in Pork Meat Containing Curing Additives. Int. J. Food Microbiol. 2001, 67, 107–114. [Google Scholar] [CrossRef] [PubMed]
 - Bowman, L.S.; Waterman, K.M.; Williams, R.C.; Ponder, M.A. Inoculation Preparation Affects Survival of Salmonella Enterica on Whole Black Peppercorns and Cumin Seeds Stored at Low Water Activity. J. Food Prot. 2015, 78, 1259–1265. [Google Scholar] [CrossRef] [PubMed]
 - Liu, S.; Xu, J.; Xie, L.; Zhu, M.-J.; Tang, J. Dry Inoculation Methods for Nonfat Milk Powder. J. Dairy Sci. 2019, 102, 77–86. [Google Scholar] [CrossRef]
 - Ban, C.; Lee, D.H.; Jo, Y.; Bae, H.; Seong, H.; Kim, S.O.; Lim, S.; Choi, Y.J. Use of Superheated Steam to Inactivate Salmonella Enterica Serovars Typhimurium and Enteritidis Contamination on Black Peppercorns, Pecans, and Almonds. J. Food Eng. 2018, 222, 284–291. [Google Scholar] [CrossRef]
 - Bedane, T.F.; Erdogdu, F.; Lyng, J.G.; Marra, F. Effects of Geometry and Orientation of Food Products on Heating Uniformity during Radio Frequency Heating. Food Bioprod. Process. 2021, 125, 149–160. [Google Scholar] [CrossRef]
 - Verma, T.; Wei, X.; Lau, S.K.; Bianchini, A.; Eskridge, K.M.; Subbiah, J. Evaluation of Enterococcus faecium NRRL B-2354 as a Surrogate for Salmonella during Extrusion of Low-moisture Food. J. Food Sci. 2018, 83, 1063–1072. [Google Scholar] [CrossRef]
 - Jin, Y.; Pickens, S.R.; Hildebrandt, I.M.; Burbick, S.J.; Grasso-Kelley, E.M.; Keller, S.E.; Anderson, N.M. Thermal Inactivation of Salmonella Agona in Low–Water Activity Foods: Predictive Models for the Combined Effect of Temperature, Water Activity, and Food Component. J. Food Prot. 2018, 81, 1411–1417. [Google Scholar] [CrossRef] [PubMed]
 - Mattick, K.L.; Jørgensen, F.; Wang, P.; Pound, J.; Vandeven, M.H.; Ward, L.R.; Legan, J.D.; Lappin-Scott, H.M.; Humphrey, T.J. Effect of Challenge Temperature and Solute Type on Heat Tolerance of Salmonella Serovars at Low Water Activity. Appl. Environ. Microbiol. 2001, 67, 4128–4136. [Google Scholar] [CrossRef]
 - Zhang, Y.; Pérez-Reyes, M.E.; Qin, W.; Hu, B.; Wu, Q.; Liu, S. Modeling the Effect of Protein and Fat on the Thermal Resistance of Salmonella Enterica Enteritidis PT 30 in Egg Powders. Food Res. Int. 2022, 155, 111098. [Google Scholar] [CrossRef]
 - Moats, W.A.; Dabbah, R.; Edwards, V.M. Survival of Salmonella anatum Heated in Various Media. Appl. Microbiol. 1971, 21, 476–481. [Google Scholar] [CrossRef] [PubMed]
 - AOAC International. Official Methods of Analysis, 17th ed.; Association of Official Agricultural Chemists: Washington, DC, USA, 2023; ISBN 978-0-19-761014-5. [Google Scholar]
 - Xu, J.; Tang, J.; Jin, Y.; Song, J.; Yang, R.; Sablani, S.S.; Zhu, M.-J. High Temperature Water Activity as a Key Factor Influencing Survival of Salmonella Enteritidis PT30 in Thermal Processing. Food Control 2019, 98, 520–528. [Google Scholar] [CrossRef]
 - Wei, X.; Agarwal, S.; Subbiah, J. Heating of Milk Powders at Low Water Activity to 95 °C for 15 Minutes Using Hot Air-Assisted Radio Frequency Processing Achieved Pasteurization. J. Dairy Sci. 2021, 104, 9607–9616. [Google Scholar] [CrossRef]
 - Chung, H.-J.; Birla, S.L.; Tang, J. Performance Evaluation of Aluminum Test Cell Designed for Determining the Heat Resistance of Bacterial Spores in Foods. LWT-Food Sci. Technol. 2008, 41, 1351–1359. [Google Scholar] [CrossRef]
 - Peleg, M.; Cole, M.B. Reinterpretation of Microbial Survival Curves. Crit. Rev. Food Sci. Nutr. 1998, 38, 353–380. [Google Scholar] [CrossRef]
 - Motulsky, H.; Christopoulos, A. Fitting Models to Biological Data Using Linear and Nonlinear Regression: A Practical Guide to Curve Fitting; Oxford University Press: New York, NY, USA, 2004; ISBN 978-0-19-517179-2. [Google Scholar]
 - Dolan, K.D.; Valdramidis, V.P.; Mishra, D.K. Parameter Estimation for Dynamic Microbial Inactivation: Which Model, Which Precision? Food Control 2013, 29, 401–408. [Google Scholar] [CrossRef]
 - Lenth, R.V. Response-Surface Methods in R, Usingrsm. J. Stat. Softw. 2009, 32, 1–17. [Google Scholar] [CrossRef]
 - WHO. Safe Preparation, Storage and Handling of Powdered Infant Formula: Guidelines; WHO: Geneva, Switzerland, 2007; p. 26.
 - Shi, A.; Li, S.; Ma, H.; Du, X.-J.; Wang, S.; Lu, X. Survival of Salmonella in Tea under Different Storage Conditions and Brewing Methods. Front. Microbiol. 2022, 13, 816667. [Google Scholar] [CrossRef]
 - Highmore, C.J.; Warner, J.C.; Rothwell, S.D.; Wilks, S.A.; Keevil, C.W. Viable-but-Nonculturable Listeria Monocytogenes and Salmonella Enterica Serovar Thompson Induced by Chlorine Stress Remain Infectious. Mbio 2018, 9, e00540-18. [Google Scholar] [CrossRef]
 - Hongxin, J.; Liang, J.; Ni, L. Effect of Reconstitution Temperature on Survival Rate of Probiotics in Infant Formula. J. Dairy Sci. Technol. 2019, 42, 21–24. [Google Scholar] [CrossRef]
 - Howard, L.A.; Wong, A.D.; Perry, A.K.; Klein, B.P. Β-carotene and Ascorbic Acid Retention in Fresh and Processed Vegetables. J. Food Sci. 1999, 64, 929–936. [Google Scholar] [CrossRef]
 - Kmiecik, W.; Lisiewska, Z. Effect of Pretreatment and Conditions and Period of Storage on Some Quality Indices of Frozen Chive (Allium schoenoprasum L.). Food Chem. 1999, 67, 61–66. [Google Scholar] [CrossRef]
 - Lian, F.; Zhao, W.; Yang, R.; Tang, Y.; Katiyo, W. Survival of Salmonella Enteric in Skim Milk Powder with Different Water Activity and Water Mobility. Food Control 2015, 47, 1–6. [Google Scholar] [CrossRef]
 - Wei, X.; Agarwal, S.; Subbiah, J. Evaluation of Enterococcus Faecium NRRL B-2354 as a Surrogate for Salmonella Enterica in Milk Powders at Different Storage Times and Temperatures. J. Dairy Sci. 2021, 104, 198–210. [Google Scholar] [CrossRef]
 - Wei, X.; Lau, S.K.; Stratton, J.; Irmak, S.; Subbiah, J. Radiofrequency Pasteurization Process for Inactivation of Salmonella spp. and Enterococcus faecium NRRL B-2354 on Ground Black Pepper. Food Microbiol. 2019, 82, 388–397. [Google Scholar] [CrossRef]
 - Wei, X.; Lau, S.K.; Reddy, B.S.; Subbiah, J. A Microbial Challenge Study for Validating Continuous Radio-Frequency Assisted Thermal Processing Pasteurization of Egg White Powder. Food Microbiol. 2020, 85, 103306. [Google Scholar] [CrossRef] [PubMed]
 - Verma, T.; Chaves, B.D.; Howell, T.; Subbiah, J. Thermal Inactivation Kinetics of Salmonella and Enterococcus Faecium NRRL B-2354 on Dried Basil Leaves. Food Microbiol. 2021, 96, 103710. [Google Scholar] [CrossRef]
 - Verma, T.; Chaves, B.D.; Irmak, S.; Subbiah, J. Pasteurization of Dried Basil Leaves Using Radio Frequency Heating: A Microbial Challenge Study and Quality Analysis. Food Control 2021, 124, 107932. [Google Scholar] [CrossRef]
 - Wason, S.; Subbiah, J. Gaseous Chlorine Dioxide for Inactivating Salmonella enterica and Enterococcus faecium NRRL B-2354 on Chia Seeds. Food Control 2023, 150, 109736. [Google Scholar] [CrossRef]
 - Blessington, T.; Theofel, C.G.; Harris, L.J. A Dry-Inoculation Method for Nut Kernels. Food Microbiol. 2013, 33, 292–297. [Google Scholar] [CrossRef]
 - Gruzdev, N.; Pinto, R.; Sela, S. Effect of Desiccation on Tolerance of Salmonella Enterica to Multiple Stresses. Appl. Environ. Microbiol. 2011, 77, 1667–1673. [Google Scholar] [CrossRef] [PubMed]
 - Day, J.B.; Sharma, D.; Siddique, N.; Hao, Y.D.; Strain, E.A.; Blodgett, R.J.; Al-Khaldi, S.F. Survival of Salmonella Typhi and Shigella dysenteriae in Dehydrated Infant Formula. J. Food Sci. 2011, 76, M324–M328. [Google Scholar] [CrossRef]
 - Barnes, S.R. Influence of Sugar on the Survival of Salmonella in a Low—Water Activity Whey Protein-Based Model Food System. Master’s Thesis, University of Georgia, Athens, GA, USA, 2015. [Google Scholar]
 - Alshammari, J.; Xu, J.; Tang, J.; Sablani, S.; Zhu, M.-J. Thermal Resistance of Salmonella in Low-Moisture High-Sugar Products. Food Control 2020, 114, 107255. [Google Scholar] [CrossRef]
 - Yang, R.; Xie, Y.; Lombardo, S.P.; Tang, J. Oil Protects Bacteria from Humid Heat in Thermal Processing. Food Control 2021, 123, 107690. [Google Scholar] [CrossRef]
 - Manas, P.; Pagan, R.; Sala, F.J.; Condon, S. Low Molecular Weight Milk Whey Components Protect Salmonella Senftenberg 775W against Heat by a Mechanism Involving Divalent Cations. J. Appl. Microbiol. 2001, 91, 871–877. [Google Scholar] [CrossRef] [PubMed]
 - Yang, Y.; Khoo, W.J.; Zheng, Q.; Chung, H.-J.; Yuk, H.-G. Growth Temperature Alters Salmonella Enteritidis Heat/Acid Resistance, Membrane Lipid Composition and Stress/Virulence Related Gene Expression. Int. J. Food Microbiol. 2014, 172, 102–109. [Google Scholar] [CrossRef]
 - Lee, J.; Roux, S.; Le Roux, E.; Keller, S.; Rega, B.; Bonazzi, C. Unravelling Caramelization and Maillard Reactions in Glucose and Glucose + Leucine Model Cakes: Formation and Degradation Kinetics of Precursors, α-Dicarbonyl Intermediates and Furanic Compounds during Baking. Food Chem. 2022, 376, 131917. [Google Scholar] [CrossRef]
 





| Milk Powder | Ash (%) | Protein (%) | Lipid (%) | Carbohydrate (%) | Moisture (%) | 
|---|---|---|---|---|---|
| WMP | 6.88 ± 0.53 | 24.50 ± 0.15 | 27.46 ± 0.42 | 38.45 ± 1.27 | 2.71 ± 0.33 | 
| NFDM | 9.23 ± 0.24 | 33.24 ± 0.22 | 0.82 ± 0.04 | 53.58 ± 0.52 | 3.13 ± 0.25 | 
| WPP | 4.80 ± 0.17 | 88.18 ± 2.14 | 1.05 ± 0.08 | 0.35 ± 0.06 | 5.62 ± 0.26 | 
| CPP | 3.45 ± 0.20 | 90.18 ± 1.78 | 0.96 ± 0.10 | 0.61 ± 0.07 | 4.80 ± 0.05 | 
| IMP | 0.64 ± 0.15 | 10.75 ± 0.35 | 28.87 ± 0.66 | 57.59 ± 1.03 | 2.15 ± 0.17 | 
| LFIM | 2.45 ± 0.22 | 10.44 ± 0.32 | 25.67 ± 0.58 | 58.55 ± 1.27 | 2.89 ± 0.17 | 
| AAF | 1.01 ± 0.11 | 12.99 ± 0.29 | 20.15 ± 0.31 | 63.24 ± 1.88 | 2.61 ± 0.15 | 
| Sample | Temperature (°C)  | Weibull Model | Log-Linear Model | ||||||
|---|---|---|---|---|---|---|---|---|---|
| β-Value | α-Value | RMSE | AICc | D-Value | RMSE | AICc | ZT | ||
| (Min) | (Min) | (°C) | |||||||
| IMP | 75 | 2.73 ± 0.42 | 0.86 ± 0.07 | 0.091 | −10.722 | 3.52 ± 0.16 | 0.135 | −16.032 | 9.78 | 
| 80 | 1.54 ± 0.58 | 0.84 ± 0.16 | 0.231 | 0.398 | 2.11 ± 0.17 | 0.268 | −7.813 | ||
| 85 | 1.15 ± 0.37 | 1.06 ± 0.21 | 0.242 | 0.978 | 1.06 ± 0.08 | 0.246 | −8.845 | ||
| WMP | 75 | 11.32 ± 1.57 | 1.34 ± 0.15 | 0.131 | −6.426 | 7.60 ± 0.60 | 0.246 | −8.815 | 8.52 | 
| 80 | 9.00 ± 1.80 | 1.73 ± 0.32 | 0.270 | 2.293 | 4.23 ± 0.51 | 0.490 | −0.558 | ||
| 85 | 4.40 ± 0.16 | 1.83 ± 0.07 | 0.045 | −19.093 | 2.21 ± 0.28 | 0.389 | −3.332 | ||
| NFDM | 75 | 16.14 ± 0.90 | 1.59 ± 0.10 | 0.056 | −16.570 | 10.12 ± 0.97 | 0.227 | −9.788 | 5.11 | 
| 80 | 5.71 ± 1.60 | 1.27 ± 0.23 | 0.294 | 3.311 | 3.80 ± 0.32 | 0.374 | −3.789 | ||
| 85 | 4.14 ± 0.51 | 1.49 ± 0.19 | 0.120 | −7.465 | 2.66 ± 0.25 | 0.243 | −8.960 | ||
| WPP | 75 | 3.46 ± 1.95 | 0.49 ± 0.08 | 0.195 | −1.617 | 21.21 ± 3.69 | 0.560 | 1.037 | 3.80 | 
| 80 | 2.03 ± 1.54 | 0.58 ± 0.18 | 0.286 | 2.958 | 5.69 ± 0.97 | 0.409 | −2.732 | ||
| 85 | 1.25 ± 0.22 | 0.79 ± 0.06 | 0.103 | −9.219 | 1.98 ± 0.12 | 0.209 | −10.777 | ||
| CPP | 75 | 6.72 ± 1.81 | 0.69 ± 0.07 | 0.144 | −5.270 | 15.02 ± 1.32 | 0.319 | −5.713 | 5.40 | 
| 80 | 1.99 ± 1.20 | 0.55 ± 0.13 | 0.213 | −0.565 | 5.95 ± 0.91 | 0.349 | −4.628 | ||
| 85 | 2.31 ± 0.59 | 0.87 ± 0.14 | 0.145 | −5.202 | 2.84 ± 0.19 | 0.161 | −13.950 | ||
| LFIM | 75 | 9.37 ± 0.72 | 1.05 ± 0.05 | 0.057 | −16.297 | 8.65 ± 0.18 | 0.067 | −24.350 | 6.50 | 
| 80 | 4.27 ± 0.61 | 1.04 ± 0.09 | 0.109 | −8.606 | 4.01 ± 0.13 | 0.113 | −18.189 | ||
| 85 | 2.91 ± 0.73 | 1.12 ± 0.16 | 0.229 | 0.297 | 2.39 ± 0.14 | 0.254 | −8.446 | ||
| AAF | 75 | 10.82 ± 1.69 | 0.90 ± 0.11 | 0.086 | −11.419 | 12.27 ± 0.61 | 0.096 | −20.096 | 7.08 | 
| 80 | 3.93 ± 0.70 | 0.75 ± 0.07 | 0.087 | −11.353 | 6.05 ± 0.45 | 0.168 | −13.414 | ||
| 85 | 3.31 ± 0.55 | 0.96 ± 0.10 | 0.110 | −8.471 | 3.51 ± 0.14 | 0.113 | −18.182 | ||
Disclaimer/Publisher’s Note: The statements, opinions and data contained in all publications are solely those of the individual author(s) and contributor(s) and not of MDPI and/or the editor(s). MDPI and/or the editor(s) disclaim responsibility for any injury to people or property resulting from any ideas, methods, instructions or products referred to in the content.  | 
© 2025 by the authors. Licensee MDPI, Basel, Switzerland. This article is an open access article distributed under the terms and conditions of the Creative Commons Attribution (CC BY) license (https://creativecommons.org/licenses/by/4.0/).
Share and Cite
Wei, X.; Lian, Y.; Liu, S. Modeling the Influence of Macronutrients on the Heat Resistance of Salmonella in Milk Powder. Foods 2025, 14, 3757. https://doi.org/10.3390/foods14213757
Wei X, Lian Y, Liu S. Modeling the Influence of Macronutrients on the Heat Resistance of Salmonella in Milk Powder. Foods. 2025; 14(21):3757. https://doi.org/10.3390/foods14213757
Chicago/Turabian StyleWei, Xinyao, Yi Lian, and Shuxiang Liu. 2025. "Modeling the Influence of Macronutrients on the Heat Resistance of Salmonella in Milk Powder" Foods 14, no. 21: 3757. https://doi.org/10.3390/foods14213757
APA StyleWei, X., Lian, Y., & Liu, S. (2025). Modeling the Influence of Macronutrients on the Heat Resistance of Salmonella in Milk Powder. Foods, 14(21), 3757. https://doi.org/10.3390/foods14213757
        
