Factors Influencing Eating Habits of Video Gamers and Professional eSports Gamers in Peru
Abstract
1. Introduction
2. Materials and Methods
2.1. Population, Sample, and Sampling
2.2. Selection Criteria
2.3. Collection Techniques and Instruments
2.4. Validation of the Instrument
2.5. Data Processing and Analysis
3. Results
3.1. Demographic and Food Intake
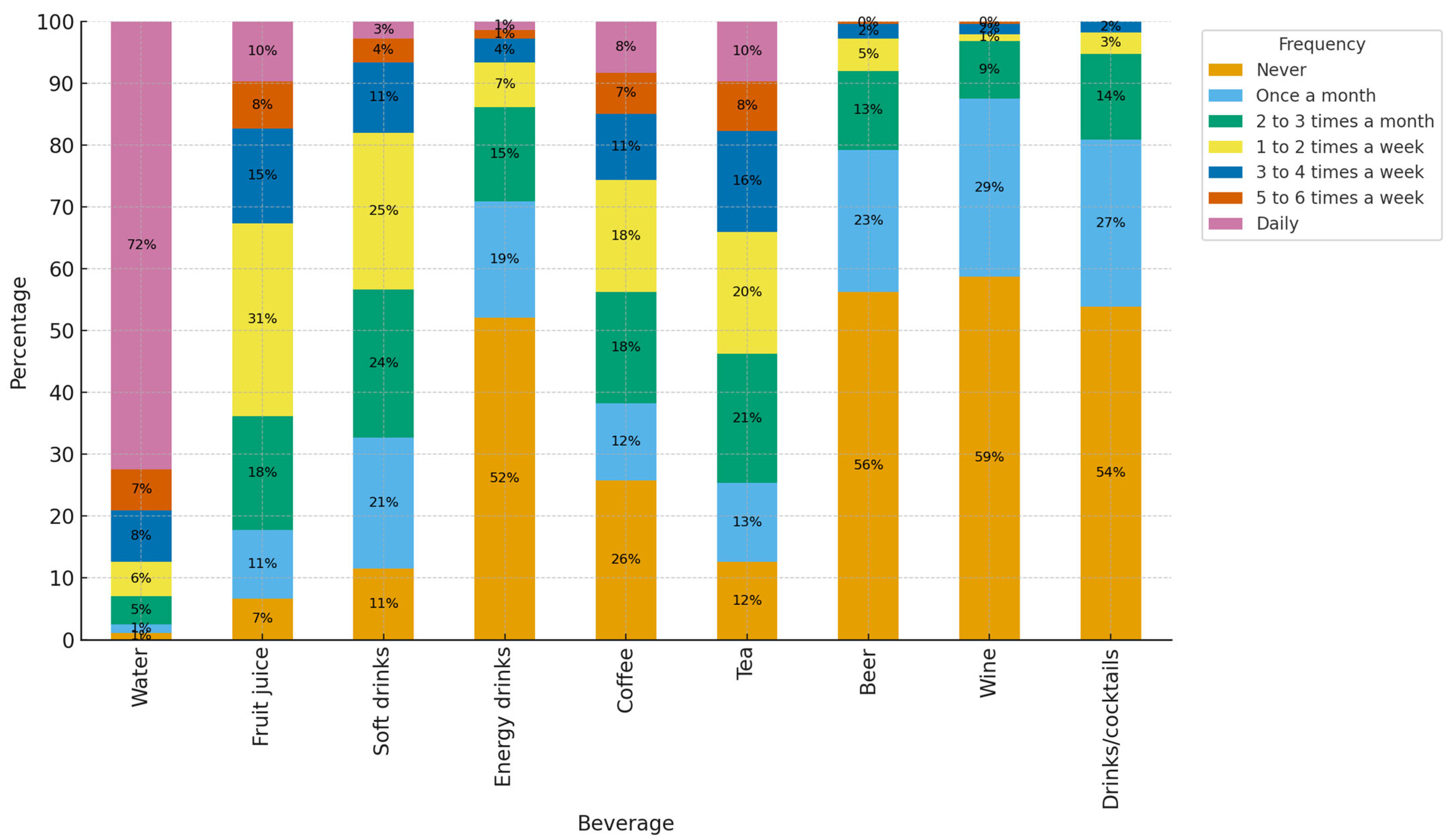
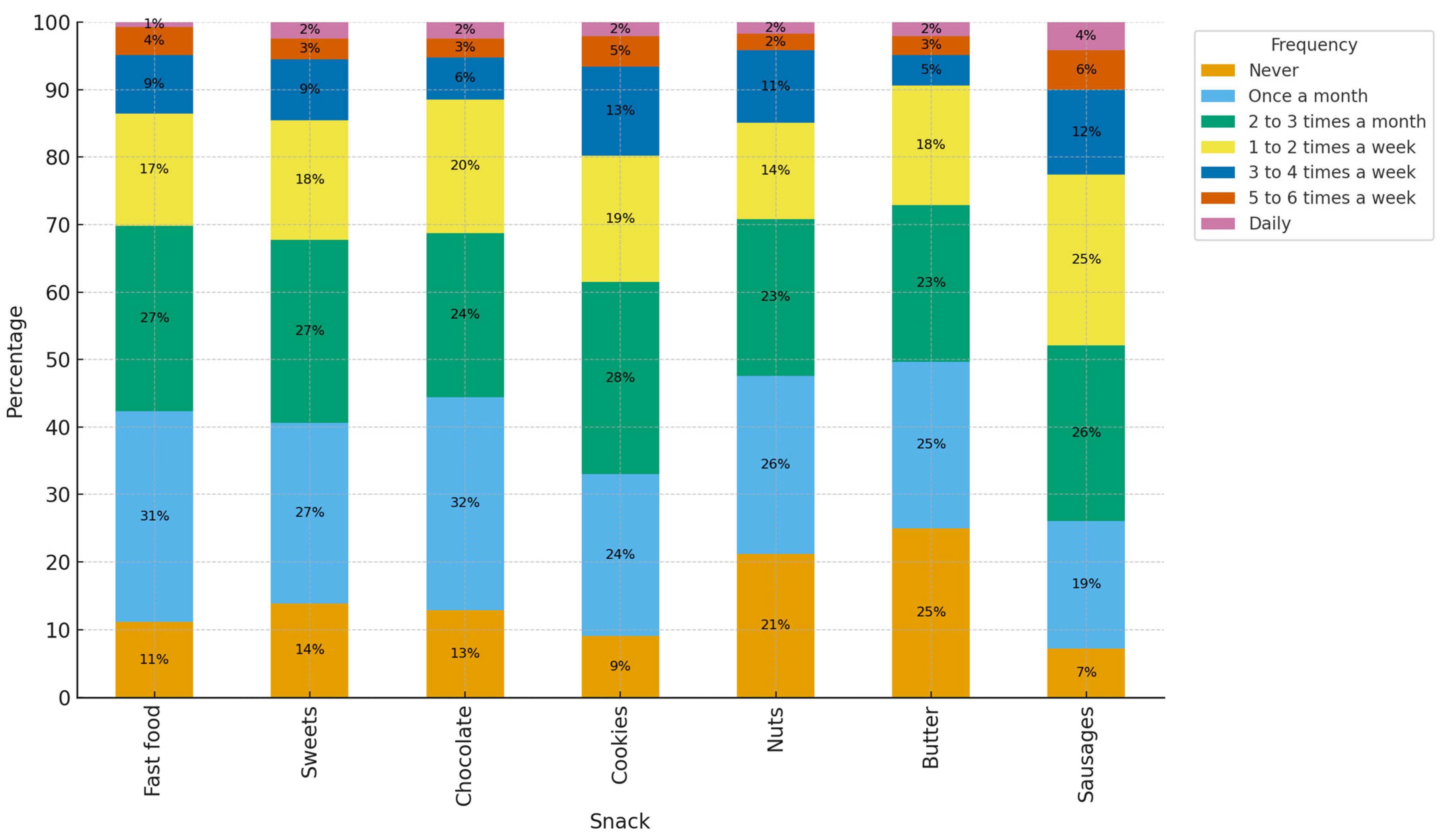
Food Frequency
4. Discussion
4.1. Demographic Aspects
4.2. Beverage Consumption
4.3. Energy Drinks
4.4. Consumption of Fruits and Vegetables
4.5. Influence Related to Food Consumption Habits
4.6. Limitations
5. Conclusions
Author Contributions
Funding
Institutional Review Board Statement
Informed Consent Statement
Data Availability Statement
Acknowledgments
Conflicts of Interest
References
- Sylvie, S. Periodos y Factores Sensibles para la Formación Temprana de las Preferencias Alimentarias; European Childhood Obesity Group. Centro de Taste and Food Science: Dijon, France, 2010. [Google Scholar]
- Abad, G. Gamers: Perfiles, Cultura y Prioridades en la Compra. Un Deep Dive en la Categoría de Gaming Peruano; Interactive Advertising Bureau Perú, GFK: Lima, Peru, 2019; pp. 1–25. Available online: https://iabperu.com/wp-content/uploads/2019/08/Promocio_n-Gamers.pdf (accessed on 12 March 2022).
- Laos, D.; Wong, L. Cómo pasar al siguiente nivel: Desafíos y oportunidades de la industria de videojuegos en el Perú; Inter-American Development Bank: Washington, DC, USA, 2020. [Google Scholar] [CrossRef]
- Andina—Agencia Peruana de Noticias. Perú Inaugura su Primer Centro de Rendimiento para Esports. 2023. Available online: https://andina.pe/agencia/noticia-peru-inaugura-su-primer-centro-alto-rendimiento-para-esports-956264.aspx (accessed on 10 October 2025).
- Crisólogo, Y.; Delgadillo, J. Espacios de Alto Rendimiento e Integración Social de Portiva para Gamers en el Distrito de Los Olivos, Lima 2020. Caso de Estudio: Pro Gaming House en la Urbanización Puerta de Pro. Centro de alto Rendimiento de E-Sports en el Distrito de Los Olivos: Lima, Perú. 2020. Available online: https://repositorio.ucv.edu.pe/handle/20.500.12692/76527 (accessed on 10 October 2025).
- Froböse, I.; Rudolf, K.; Bickmann, P.; Tholl, C.; MSoffner, M.; Wechsler, K.; Grieben, C. eSport-Studie 2021: Ernährung im eSport—Mehr als nur Pizza und Energydrinks; Deutsche Sporthochschule Köln: Cologne, Germany, 2021; pp. 5–18. Available online: https://www.esportwissen.de/wpcontent/uploads/2021/02/Ergebnisbeschreibung-2021_HP-Design.pdf (accessed on 10 October 2025).
- Panahi, S.; Tremblay, A. Sedentariness and Health: Is Sedentary Behavior More Than Just Physical Inactivity? Front. Public Health. 2018, 6, 258. [Google Scholar] [CrossRef]
- Wattanapisit, A.; Wattanapisit, S.; Wongsiri, S. Public Health Perspectives on eSports. Public Health Rep. 2020, 135, 295–298. [Google Scholar] [CrossRef] [PubMed]
- Rudolf, K.; Soffner, M.; Bickmann, P.; Froböse, I.; Tholl, C.; Wechsler, K.; Grieben, C. Media Consumption, Stress and Wellbeing of Video Game and eSports Players in Germany: The eSports Study 2020. Front. Sports Act. Living 2022, 4, 665604. [Google Scholar] [CrossRef]
- APDEV. Gamers, Hábitos de Alimentación y Actividad Física; Asociación Peruana de Deportes Electrónicos y Videojuegos: Lima, Peru, 2020; Available online: https://apdev.org.pe/gamers-habitos-de-alimentacion-y-actividad-fisica/ (accessed on 1 January 2020).
- Goulart, J.; Aitken, L.; Siddiqui, S.; Cuevas, M.; Beathard, K.; Riechman, S. Nutrition, lifestyle, and cognitive performance in esports athletes. Front. Nutr. 2023, 10, 1120303. [Google Scholar] [CrossRef]
- Tartar, J.L.; Kalman, D.S.; Hewlings, S. A Prospective Study Evaluating the Effects of a Nutritional Supplement Intervention on Cognition, Mood States, and Mental Performance in Video Gamers. Nutrients 2019, 11, 2326. [Google Scholar] [CrossRef]
- Kim, S.; Ng, H.; Micallef, D.; Legrand, S.; Brennan, L.; Bin, T.; Rakib, A.; Abdulgalimov, D.; Olivier, P.; Foster, E.; et al. An online pilot study exploring the relationship between diet quality and psychobehavioural characteristics in gamers and non-gamers. Proc. Nutr. Soc. 2024, 83, E470. [Google Scholar] [CrossRef]
- Tholl, C.; Wechsler, K.; Grieben, C. Demographics and Health Behavior of Video Game and eSports Players in Germany: The eSports Study 2019. Int. J. Environ. Res. Public Health 2020, 17, 1870. [Google Scholar] [CrossRef]
- Bickman, P.; Tholl, C.; Soffner, M.; Froböse, I.; Grieben, C. Nutritional behavior of video game and Esports gamers in Germany—The Esports Study 2021. In Esports Research Network; Institut des Sciences du Sport-Santé de Paris: Paris, France, 2021; pp. 70–73. Available online: https://fis.dshs-koeln.de/en/publications/nutritional-behavior-of-video-game-and-esports-players-in-germany (accessed on 10 October 2025).
- Griffiths, M.D.; Nuyens, F. An Overview of Structural Characteristics in Problematic Video Game Playing. Curr. Addict. Rep. 2017, 4, 272–283. [Google Scholar] [CrossRef]
- Campos, S.; Falcón, M. Impacto de los Videojuegos en la Formación de una Subcultura entre los Jóvenes de Lima Metropolitana 2019. Bachelor’s Thesis, Universidad Tecnológica del Perú, Lima, Peru, 2019. Available online: https://repositorio.utp.edu.pe/bitstream/handle/20.500.12867/3121/Saskia%20Campos_Martha%20Falcon_Trabajo%20de%20Investigacion_Bachiller_2019.pdf?sequence=4&isAllowed=y (accessed on 10 October 2025).
- Seo, Y. Professionalized consumption and identity transformations in the field of eSports. J. Bus. Res. 2016, 69, 264–272. [Google Scholar] [CrossRef]
- Nájera, D. Los Anglicismos Híbridos de los Esports. Traducción y Propuestas de Adaptación Terminológica (en-esp). Bachelor’s Thesis, Universidad de Valladolid, Valladolid, Spanin, 2019. Available online: https://uvadoc.uva.es/bitstream/handle/10324/38589/TFG-O1659.pdf?sequence=1 (accessed on 10 October 2025).
- Seo, Y.; Jung, S. Beyond solitary play in computer games: The social practices of eSports. J. Consum. Cult. 2014, 16, 635–655. [Google Scholar] [CrossRef]
- Patterson, R.; McNamara, E.; Tainio, M.; de Sá, T.H.; Smith, A.D.; Sharp, S.J.; Edwards, P.; Woodcock, J.; Brage, S.; Wijndaele, K. Sedentary behaviour and risk of all-cause, cardiovascular and cancer mortality, and incident type 2 diabetes: A systematic review and dose response meta-analysis. Eur. J. Epidemiol. 2018, 33, 811–829. [Google Scholar] [CrossRef] [PubMed]
- Levin, K.A. Study design III: Cross-sectional studies. Evid. Based Dent. 2006, 7, 24–25. [Google Scholar] [CrossRef] [PubMed]
- Setia, M.S. Methodology Series Module 3: Cross-sectional Studies. Indian J Dermatol. 2016, 61, 261–264. [Google Scholar] [CrossRef] [PubMed]
- Wang, X.; Cheng, Z. Cross-sectional studies: Strengths, weaknesses, and recommendations. Chest 2020, 158 (Suppl. S1), S65–S71. [Google Scholar] [CrossRef]
- Beaton, D.E.; Bombardier, C.; Guillemin, F.; Ferraz, M.B. Guidelines for the process of cross-cultural adaptation of self-report measures. Spine 2000, 25, 3186–3191. [Google Scholar] [CrossRef]
- Guillemin, F.; Bombardier, C.; Beaton, D. Cross-cultural adaptation and validation of health-related quality of life measures: Literature review and proposed guidelines. J. Clin. Epidemiol. 1993, 46, 1417–1432. [Google Scholar] [CrossRef]
- Epstein, J.; Santo, R.M.; Guillemin, F. A review of guidelines for cross-cultural adaptation of questionnaires could not bring out a consensus. J. Clin. Epidemiol. 2015, 68, 435–441. [Google Scholar] [CrossRef]
- Bear, L. How female video gamers experience being part of a male-dominated community. J. Appl. Psychol. Soc. Sci. 2019, 5, 31–50. [Google Scholar]
- Garcés, T.E.; Cuberos, R.C.; Sánchez, M.C.; Martínez, A.M.; Ortega, F.Z.; Martínez, C.P. Análisis descriptivo del uso problemático y hábitos de consumo de los videojuegos con relación al género en estudiantes universitarios/Descriptive analysis of the problematic use and habits of consumption of the video games with relation to…. Rev. Latinoam. De Tecnol. Educ.-RELATEC 2015, 14, 85–93. [Google Scholar]
- Clemes, S.A.; Houdmont, J.; Munir, F.; Wilson, K.; Kerr, R.; Addley, K. Descriptive epidemiology of domain-specific sitting in working adults: The Stormont Study. J. Public Health 2016, 38, 53–60. [Google Scholar] [CrossRef]
- Ferrari, G.; Werneck, A.O.; Pereira da Silva, D.R.; Kovalskys, I.; Gomez, G.; Rigotti, A.; Cortes, L.Y.; Yepez, M.; Pareja, R.G.; Herrera-Cuenca, M.; et al. Socio-Demographic Correlates of Total and Domain-Specific Sedentary Behavior in Latin America: A Population-Based Study. Int. J. Environ. Res. Public Health 2020, 17, 5587. [Google Scholar] [CrossRef]
- Bowman, N.D. Replicación y Extensión: La Faltante Experiencia Latinoamericana en el Estudio de los Videojuegos; Revista Panamericana de Comunicación: Ciudad de México, Mexico, 2022; Volume 4, pp. 67–74. [Google Scholar] [CrossRef]
- Zendle, D.; Flick, C.; Halgarth, D.; Ballou, N.; Demediuk, S.; Drachen, A. Cross-cultural patterns in mobile playtime: An analysis of 118 billion hours of human data. Sci. Rep. 2023, 13, 386. [Google Scholar] [CrossRef] [PubMed]
- Instituto de Consumo Energético. ICE. Available online: https://www.solucionesice.com/cual-es-el-consumo-de-agua-de-una-persona-al-dia/ (accessed on 10 October 2025).
- Schulze, M.B.; Manson, J.E.; Ludwig, D.S.; Colditz, G.A.; Stampfer, M.J.; Willett, W.C.; Hu, F.B. Sugar-sweetened beverages, weight gain, and incidence of type 2 diabetes in young and middle-aged women. JAMA 2004, 292, 927–934. [Google Scholar] [CrossRef] [PubMed]
- Hennessy, M.; Bleakley, A.; Ellithorpe, M.E.; Maloney, E.; Jordan, A.B.; Stevens, R. Reducing unhealthy normative behavior: The case of sports and energy drinks. Health Educ. Behav. 2021, 50, 394–405. [Google Scholar] [CrossRef]
- Roscoe, D.; Pu, H.; Cuy-Castellanos, D.; Dalton, J. “Fueling the Games”: Energy Drink Consumption, Marketing, and the Associated Perceptions and Behaviors in Video Gaming. J. Electron. Gaming Esports 2023, 1, jege.2022-0047. [Google Scholar] [CrossRef]
- Nadeem, I.M.; Shanmugaraj, A.; Sakha, S.; Horner, N.S.; Ayeni, O.R.; Khan, M. Energy drinks and their adverse health effects: A systematic review and meta-analysis. Sports Health 2021, 13, 265–277. [Google Scholar] [CrossRef]
- Yin, K.; Zi, Y.; Zhuang, W.; Gao, Y.; Tong, Y.; Song, L.; Liu, Y. Linking esports to health risks and benefits: Current knowledge and future research needs. J. Sport Health Sci. 2020, 9, 485–488. [Google Scholar] [CrossRef]
- Alsunni, A.A. Energy drink consumption: Beneficial and adverse health effects. Int. J. Health Sci. 2015, 9, 468–474. [Google Scholar] [CrossRef]
- Malik, V.S.; Pan, A.; Willett, W.C.; Hu, F.B. Sugar-sweetened beverages and weight gain in children and adults: A systematic review and meta-analysis. Am. J. Clin. Nutr. 2013, 98, 1084–1102. [Google Scholar] [CrossRef]
- O’Connor, L.; Imamura, F.; Lentjes, M.A.H.; Khaw, K.-T.; Wareham, N.J.; Forouhi, N.G. Prospective associations and population impact of sweet beverage intake and type 2 diabetes, and effects of substitutions with alternative beverages. Diabetologia 2015, 58, 1474–1483. [Google Scholar] [CrossRef]
- Akçay, D.; Akçay, B.D. The effect of computer game playing habits of university students on their sleep states. Perspect. Psychiatr. Care 2020, 56, 820–826. [Google Scholar] [CrossRef] [PubMed]
- Chan, G.; Huo, Y.; Kelly, S.; Leung, J.; Tisdale, C.; Gullo, M. The impact of eSports and online video gaming on lifestyle behaviours in youth: A systematic review. Comput. Hum. Behav. 2022, 126, 106974. [Google Scholar] [CrossRef]
- Holubcikova, J.; Kolarcik, P.; Madarasova Geckova, A.; Reijneveld, S.A.; Van Dijk, J.P. Regular energy drink consumption is associated with the risk of health and behavioural problems in adolescents. Eur. J. Pediatr. 2017, 176, 599–605. [Google Scholar] [CrossRef] [PubMed]
- Ribeiro, F.J.; Teixeira, R.; Poínhos, R. Dietary Habits and Gaming Behaviors of Portuguese and Brazilian Esports Gamers. Nutrients 2023, 15, 4200. [Google Scholar] [CrossRef]
- Moore, D.; Morrell, J.S. Do dietary patterns differ with video game usage in college men? J. Am. Coll. Health 2022, 23, 2362–2370. [Google Scholar] [CrossRef]
- Instituto Nacional de Salud. Minsa Recomienda Reducir el Consumo de Carnes Rojas. 2015. Available online: https://www.gob.pe/institucion/minsa/noticias/29879-minsa-recomienda-reducir-el-consumo-de-carnes-rojas (accessed on 10 October 2025).
- Zhao, Z.; Feng, Q.; Yin, Z.; Shuang, J.; Bai, B.; Yu, P.; Guo, M.; Zhao, Q. Red and processed meat consumption and colorectal cancer risk: A systematic review and meta-analysis. Oncotarget 2017, 8, 83306–83314. [Google Scholar] [CrossRef]
- Benito, L.; Cortez, J. Producción de carne de pollo en Perú. Rev. Estud. AGRO-VET 2020, 4, 494–498. [Google Scholar]
- Zuazo, J.; Amarista, M. Factores sociodemográficos y económicos que influyeron en el consumo de carne de pollo y otras aves en el Perú durante el período 2016–2020. Salud Tecnol. Vet. 2023, 11, 26–36. [Google Scholar] [CrossRef]
- Matos, J.S.; Vázquez-Rowe, I.; Kahhat, R. Are Peruvians moving toward healthier diets with lower environmental burden? Household consumption trends for the period 2008–2021. J. Ind. Ecol. 2024, 28, 1147–1164. [Google Scholar] [CrossRef]
- Lombardo, M.; Feraco, A.; Armani, A.; Camajani, E.; Gorini, S.; Strollo, R.; Padua, E.; Caprio, M.; Bellia, A. Gender differences in body composition, dietary patterns, and physical activity: Insights from a cross-sectional study. Front. Nutr. 2024, 11, 1414217. [Google Scholar] [CrossRef]
- Soffner, M.; Bickmann, P.; Tholl, C.; Froböse, I. Dietary behavior of video game gamers and esports gamers in Germany: A cross-sectional study. J. Health Popul. Nutr. 2023, 42, 29. [Google Scholar] [CrossRef]
- Grzymisławska, M.; Puch, E.A.; Zawada, A.; Grzymisławski, M. Do nutritional behaviors depend on biological sex and cultural gender? Adv. Clin. Exp. Med. 2020, 29, 165–172. [Google Scholar] [CrossRef]
- Matia, C.N.; Cardoso, J.; Cavaca, M.; Cardoso, S.; Giro, R.; Vaz, J.; Couto, P.A.; Dores, A.R.; Ferreira, T.B.; Tinsley, G.M.; et al. Game on: A cross-sectional study on gamers’ mental health, Game patterns, physical activity, eating, and sleeping habits. Comput. Hum. Behav. 2023, 148, 107901. [Google Scholar] [CrossRef]
- Ballard, M.E. Video Game Play. In Behavior, Food and Nutrition; Springer: New York, NY, USA, 2011; pp. 2169–2181. [Google Scholar] [CrossRef]



| Characteristics | N (%) |
|---|---|
| Age (years) * | 21 (19–25) |
| Age (categorized) | |
| 18–19 | 88 (30.6) |
| 20–29 | 176 (61.1) |
| 30–35 | 24 (8.3) |
| Sex | |
| Female | 15 (5.2) |
| Male | 273 (94.8) |
| Academic degree | |
| Bachelor | 64 (22.2) |
| Title | 12 (4.2) |
| Technician | 83 (28.8) |
| Secondary School | 129 (44.8) |
| Gamer category | |
| Professional | 104 (36.1) |
| Recreational | 184 (63.9) |
| Time spent sitting or resting per day | |
| More than 8 h | 105 (36.5) |
| Less than 8 h | 183 (63.5) |
| Meals a day | |
| 1 | 57 (19.8) |
| 2 | 108 (37.5) |
| 3 | 123 (42.7) |
| Daily water consumption | |
| 1 to 3 glasses | 131 (45.5) |
| 4 to 5 glasses | 97 (33.7) |
| 6 or more glasses | 60 (20.8) |
| Weekly playtime * | 21 (12–42) |
| playtime (categorized) | |
| 3 to 29 h | 180 (62.5) |
| 30 to 82 h | 108 (37.5) |
| Type of perceived healthy habit | |
| Adequate | 224 (77.8) |
| Inadequate | 64 (22.2) |
| Variable | Eating Habits | p | |
|---|---|---|---|
| Inadequate (n = 224) 77.8 (%) | Adequate (n = 64) 22.2 (%) | ||
| Time sitting or resting | 0.844 | ||
| 8 h or more | 81 (77.1) | 24 (22.9) | |
| Less than 8 h | 143 (78.1) | 40 (21.9) | |
| Meals a day | 0.928 | ||
| 1 | 44 (77.2) | 13 (22.8) | |
| 2 | 83 (76.9) | 25 (23.1) | |
| 3 | 97 (78.9) | 26 (21.1) | |
| Daily water consumption | 0.143 | ||
| 1 to 3 glasses | 97 (74.1) | 34 (25.9) | |
| 4 to 5 glasses | 82 (84.5) | 15 (15.5) | |
| 6 to more glasses | 45 (75.0) | 15 (25.0) | |
| Weekly game hours | 0.143 | ||
| 3 to 29 h | 135 (75.0) | 45 (25.0) | |
| 30 to 82 h | 89 (82.4) | 19 (17.6) | |
| Variable | Eating Habits | p | |
|---|---|---|---|
| Inadequate (n = 224) | Adequate (n = 64) | ||
| 77.8 (%) | 22.2 (%) | ||
| Time spent playing video games influences your diet | 0.053 * | ||
| Strongly agree | 22 (66.7) | 11 (33.3) | |
| Agree | 69 (78.4) | 19 (21.6) | |
| Neither agree nor disagree | 76 (74.5) | 26 (25.5) | |
| Disagree | 41 (83.7) | 8 (16.3) | |
| Strongly disagree | 16 (100.0) | 0 | |
| Gamer propaganda influences their diet | 0.269 | ||
| Strongly agree | 20 (69.0) | 9 (31.0) | |
| Agree | 78 (78.8) | 21 (21.2) | |
| Neither agree nor disagree | 70 (73.7) | 25 (26.3) | |
| Disagree | 37 (88.1) | 5 (11.9) | |
| Strongly disagree | 19 (82.6) | 4 (17.4) | |
| Interaction with your friends or fellow gamers influences your diet | 0.037 | ||
| Strongly agree | 7 (46.7) | 8 (53.3) | |
| Agree | 56 (78.9) | 15 (21.1) | |
| Neither agree nor disagree | 75 (77.3) | 22 (22.7) | |
| Disagree | 59 (79.7) | 15 (20.3) | |
| Strongly disagree | 27 (87.1) | 4 (12.9) | |
| Video games influence your diet | 0.031 * | ||
| Strongly agree | 8 (53.3) | 7 (46.7) | |
| Agree | 59 (80.2) | 14 (19.2) | |
| Neither agree nor disagree | 74 (76.3) | 23 (23.7) | |
| Disagree | 60 (76.0) | 19 (24.0) | |
| Strongly disagree | 23 (95.8) | 1 (4.2) | |
| Household traditions influence your diet | 0.092 | ||
| Strongly agree | 56 (70.0) | 24 (30.0) | |
| Agree | 106 (80.9) | 25 (19.1) | |
| Neither agree nor disagree | 32 (74.4) | 11 (25.6) | |
| Disagree | 17 (81.0) | 4 (19.0) | |
| Strongly disagree | 13 (100.0) | 0 | |
Disclaimer/Publisher’s Note: The statements, opinions and data contained in all publications are solely those of the individual author(s) and contributor(s) and not of MDPI and/or the editor(s). MDPI and/or the editor(s) disclaim responsibility for any injury to people or property resulting from any ideas, methods, instructions or products referred to in the content. |
© 2025 by the authors. Licensee MDPI, Basel, Switzerland. This article is an open access article distributed under the terms and conditions of the Creative Commons Attribution (CC BY) license (https://creativecommons.org/licenses/by/4.0/).
Share and Cite
Caycho, J.M.; Lozada-Urbano, M.; Aguirre-Ipenza, R.; Contreras, P.J. Factors Influencing Eating Habits of Video Gamers and Professional eSports Gamers in Peru. Foods 2025, 14, 3597. https://doi.org/10.3390/foods14213597
Caycho JM, Lozada-Urbano M, Aguirre-Ipenza R, Contreras PJ. Factors Influencing Eating Habits of Video Gamers and Professional eSports Gamers in Peru. Foods. 2025; 14(21):3597. https://doi.org/10.3390/foods14213597
Chicago/Turabian StyleCaycho, Jimena Mujica, Michelle Lozada-Urbano, Rubén Aguirre-Ipenza, and Pavel J. Contreras. 2025. "Factors Influencing Eating Habits of Video Gamers and Professional eSports Gamers in Peru" Foods 14, no. 21: 3597. https://doi.org/10.3390/foods14213597
APA StyleCaycho, J. M., Lozada-Urbano, M., Aguirre-Ipenza, R., & Contreras, P. J. (2025). Factors Influencing Eating Habits of Video Gamers and Professional eSports Gamers in Peru. Foods, 14(21), 3597. https://doi.org/10.3390/foods14213597

