Physicochemical and Functional Characterization of Pearl Millet-Based Probiotic Beverage for Antiaging Potential in Caenorhabditis elegans
Abstract
1. Introduction
2. Materials
2.1. Chemicals and Reagents
2.2. Ingredients for Beverage
2.3. Formulation of Beverage
2.4. Nutritional and Physicochemical Characterization of Beverage
2.5. Physicochemical Characterization of Beverage
2.6. Fermentation Metabolites
2.7. Microbiological Characterization of Beverage
2.8. In Vitro Characterization of Beverage
2.8.1. Total Polyphenol Content and Total Flavonoid Content
2.8.2. Antioxidant Potential
2.9. Evaluation of In Vivo Anti-Aging Potential of Beverage
2.9.1. Acute Toxicity
2.9.2. Health Span Assays
2.9.3. Resistance to Oxidative and Thermal Stress
2.9.4. Production of Reactive Oxygen Species
2.9.5. Lifespan Assay
2.9.6. Biochemical Parameters
2.10. Sensory Evaluation
2.11. Statistical Analysis
3. Results and Discussion
3.1. Characterization of Probiotic Beverage
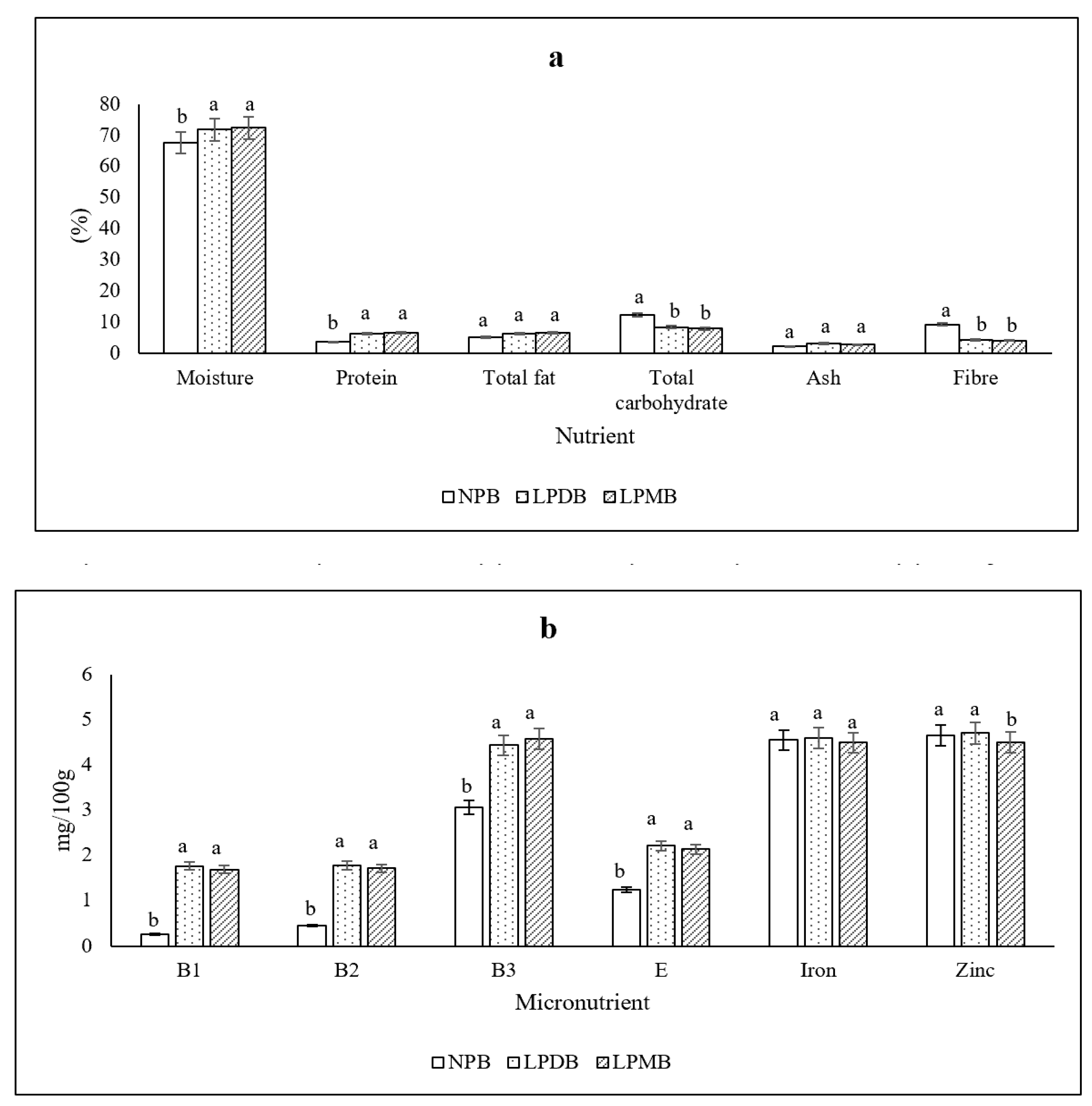
3.1.1. Nutritional Composition
3.1.2. Physicochemical Characteristics
3.2. Post-Fermentation Metabolites
3.3. Microbiological Parameters
3.4. In Vitro Studies
3.4.1. Yield Efficiency
3.4.2. Total Polyphenol and Total Flavonoid Content
3.4.3. In Vitro Antioxidant and Anti-Inflammatory Potential
3.5. In Vivo Studies
3.5.1. Effect of Probiotic Beverage Extracts on Acute Toxicity on C. Elegans
3.5.2. Health Spans Assays
Movement Assay
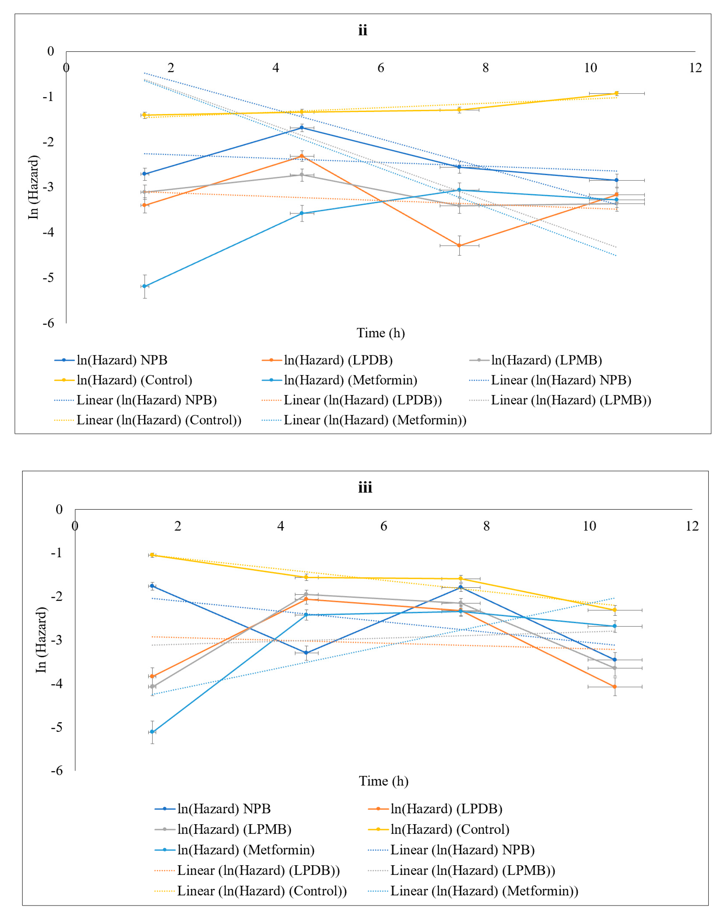
3.5.3. Lifespan Extension Assay
3.5.4. Tolerance to Stress Conditions
3.5.5. Lipofuscin Accumulation Assay
3.5.6. Reactive Oxygen Species Detection Assay
3.5.7. Biochemical Parameters
3.6. Sensory Evaluation of Probiotic Beverage
4. Discussion
5. Conclusions
Supplementary Materials
Author Contributions
Funding
Institutional Review Board Statement
Informed Consent Statement
Data Availability Statement
Acknowledgments
Conflicts of Interest
References
- López-Otín, C.; Blasco, M.A.; Partridge, L.; Serrano, M.; Kroemer, G. The hallmarks of aging. Cell 2013, 153, 1194–1217. [Google Scholar] [CrossRef]
- De la Fuente, M.; Miquel, J. An Update of the Oxidation-Inflammation Theory of Aging: The Involvement of the Immune System in Oxi-Inflamm-Aging. Curr. Pharm. Des. 2009, 15, 3003–3026. [Google Scholar] [CrossRef]
- Liguori, I.; Russo, G.; Curcio, F.; Bulli, G.; Aran, L.; Della-Morte, D.; Gargiulo, G.; Testa, G.; Cacciatore, F.; Bonaduce, D.; et al. Oxidative stress, aging and diseases. Clin. Interv. Aging 2018, 13, 757–772. [Google Scholar] [CrossRef]
- Peng, C.; Zuo, Y.; Kwan, K.M.; Liang, Y.; Ma, K.Y.; Chan, H.Y.E.; Huang, Y.; Yu, H.; Chen, Z.-Y. Blueberry extract prolongs lifespan of Drosophila melanogaster. Exp. Gerontol. 2012, 47, 170–178. [Google Scholar] [CrossRef] [PubMed]
- Basu, A.; Izuora, K.; Betts, N.M.; Ebersole, J.L.; Scofield, R.H. Dietary Strawberries Improve Biomarkers of Antioxidant Status and Endothelial Function in Adults with Cardiometabolic Risks in a Randomized Controlled Crossover Trial. Antioxidants 2021, 10, 1730. [Google Scholar] [CrossRef]
- Zhao, L.; Zhang, F.; Ding, X.; Wu, G.; Lam, Y.Y.; Wang, X.; Fu, H.; Xue, X.; Lu, C.; Ma, J.; et al. Gut bacteria selectively promoted by dietary fibers alleviate type 2 diabetes. Science 2018, 359, 1151–1156. [Google Scholar] [CrossRef]
- Chandrasekara, A.; Shahidi, F. Inhibitory activities of soluble and bound millet seed phenolics on free radicals and reactive oxygen species. J. Agric. Food Chem. 2011, 59, 428–436. [Google Scholar] [CrossRef]
- Palaniswamy, S.K.; Govindaswamy, V. Inhibition of metal catalyzed H2O2 and peroxyl-AAPH mediated protein, DNA and human erythrocytes lipid oxidation using millet phenolics. J. Plant Biochem. Biotechnol. 2017, 26, 406–414. [Google Scholar] [CrossRef]
- Tsai, Y.C.; Cheng, L.H.; Liu, Y.W.; Jeng, O.J.; Lee, Y.K. Gerobiotics: Probiotics targeting fundamental aging processes. Biosci. Microbiota Food Health 2021, 40, 1–11. [Google Scholar] [CrossRef] [PubMed]
- Salazar, C.; Barreto, M.; Adriasola-Carrasco, A.A.; Carvajal, F.; Lerma-Cabrera, J.M.; Ruiz, L.M. Lactobacillus rhamnosus GG Modulates Mitochondrial Function and Antioxidant Responses in an Ethanol-Exposed In Vivo Model: Evidence of HIGD2A-Dependent OXPHOS Remodeling in the Liver. Antioxidants 2025, 14, 627. [Google Scholar] [CrossRef] [PubMed]
- Hsu, C.Y.; Liu, T.Y.; Wang, C.C. Gut instinct: Harnessing the power of probiotics to tame inflammation via modulation of TLR4/MyD88/NF-κB signaling. Front. Med. 2024. Available online: https://www.frontiersin.org/journals/medicine/articles/10.3389/fmed.2024.1396789/full (accessed on 7 October 2025). [CrossRef]
- Goel, A.; Halami, P.M. Safety assessment of probiotic Lactiplantibacillus plantarum MCC5231 and its persistence in gastrointestinal tract. Microb. Pathog. 2024, 194, 106824. [Google Scholar] [CrossRef]
- Goel, A.; Halami, P.M.; Tamang, J.P. Genome analysis of Lactobacillus plantarum isolated from some Indian fermented foods for bacteriocin production and probiotic marker genes. Front. Microbiol. 2020, 11, 40. [Google Scholar] [CrossRef]
- Tissenbaum, H.A. Using C. elegans for aging research. Invertebr. Reprod. Dev. 2015, 59 (Supp. 1), 59–63. [Google Scholar] [CrossRef]
- Wang, C.; Zhang, J.; Li, Q.; Zhang, Z.; Liang, D.; Wang, F. Caenorhabditis elegans as a model for studying human disease genes and aging: Homologs and age-dependent physiological and molecular changes relevant to human aging. Ageing Res. Rev. 2019, 52, 123–135. [Google Scholar]
- Li, C.; Xu, W.; Zhang, X.; Cui, X.; Tsopmo, A.; Li, J. Antioxidant Peptides Derived from Millet Bran Promote Longevity and Stress Resistance in Caenorhabditis elegans. Plant Foods Hum. Nutr. 2023, 78, 790–795. [Google Scholar] [CrossRef]
- AOAC. Official Method of Analysis, 18th ed.; Association of Officiating Analytical Chemists: Washington, DC, USA, 2005. [Google Scholar]
- Kaila, N.H.J.; Muthukumar, S.P. Antioxidant, anti-inflammatory and enzyme inhibition potential of pearl millet (Pennisetum glaucum). J. Food Meas. Charact. 2025, 19, 4034–4047. [Google Scholar] [CrossRef]
- Weaver, C.M.; Daniel, J.R. The Food Chemistry Laboratory: A Manual for Experimental Foods, Dietetics and Food Scientists; CRC Press: Boca Raton, FL, USA, 2003. [Google Scholar]
- Sonkar, N.; Rajoriya, D.; Chetana, R.; Murthy, K.V. Effect of cultivars, pretreatment and drying on physicochemical properties of Amla (Emblica officinalis) gratings. J. Food Sci. Technol. 2020, 57, 980–992. [Google Scholar] [CrossRef]
- Thuy, C.X.; Pham, V.T.; Nguyen, T.T.N.H.; Ton, N.T.A.; Tuu, T.T.; Vu, N.D. Effect of Fermentation Conditions (Dilution Ratio, Medium pH, Total Soluble Solids, and Saccharomyces cerevisiae Yeast Ratio) on the Ability to Ferment Cider from Tamarillo (Solanum betaceum) Fruit. J. Food Process. Preserv. 2024, 2024, 8841207. [Google Scholar] [CrossRef]
- Zhang, S.; Wang, H.; Zhu, M.-J. A sensitive GC/MS detection method for analyzing microbial metabolites short chain fatty acids in fecal and serum samples. Talanta 2019, 196, 249–254. [Google Scholar] [CrossRef] [PubMed]
- da Costa, M.P.; da Silva Frasao, B.; da Costa Lima, B.R.C.; Rodrigues, B.L.; Junior, C.A.C. Simultaneous analysis of carbohydrates and organic acids by HPLC-DAD-RI for monitoring goat’s milk yogurts fermentation. Talanta 2016, 152, 162–170. [Google Scholar] [CrossRef]
- Salar, R.K.; Purewal, S.S.; Sandhu, K.S. Fermented pearl millet (Pennisetum glaucum) with in vitro DNA damage protection activity, bioactive compounds and antioxidant potential. Food Res. Int. 2017, 100, 204–210. [Google Scholar] [CrossRef] [PubMed]
- Singhal, N.; Singh, N.S.; Mohanty, S.; Kumar, M.; Virdi, J.S. Rhizospheric Lactobacillus plantarum (Lactiplantibacillus plantarum) strains exhibit bile salt hydrolysis, hypocholestrolemic and probiotic capabilities in vitro. Sci. Rep. 2021, 11, 1–9. [Google Scholar] [CrossRef] [PubMed]
- Govindhan, T.; Amirthalingam, M.; Duraisamy, K.; Cho, J.H.; Tawata, S.; Palanisamy, S. Fermented cereal-origin gerobiotic cocktails promote healthy longevity in Caenorhabditis elegans. Food Funct. 2023, 14, 10430–10442. [Google Scholar] [CrossRef]
- Xiao, F.; Xu, T.; Lu, B.; Liu, R. Guidelines for antioxidant assays for food components. Food Front. 2020, 1, 60–69. [Google Scholar] [CrossRef]
- Jayathilaka, S.I.; Abeysekera, W.P.K.M.; Senevirathne, I.G.N.H.; Jayanath, N.Y.; Premakumara, G.A.S.; Wijewardana, D.C.M.S.I. In vitro determination of anti-lipidemic, anti-inflammatory, and anti-oxidant properties and proximate composition of range of millet types and sorghum varieties in Sri Lanka. Front. Sustain. Food Syst. 2022, 6, 884436. [Google Scholar] [CrossRef]
- Solis, G.M.; Petrascheck, M. Measuring Caenorhabditis elegans life span in 96 well microtiter plates. J. Vis. Exp. 2011, 49, 2496. [Google Scholar]
- Qin, Y.; Chen, F.; Tang, Z.; Ren, H.; Wang, Q.; Shen, N.; Lin, W.; Xiao, Y.; Yuan, M.; Chen, H.; et al. Ligusticum chuanxiong Hort as a medicinal and edible plant foods: Antioxidant, anti-aging and neuroprotective properties in Caenorhabditis elegans. Front. Pharmacol. 2022, 13, 1049890. [Google Scholar] [CrossRef]
- Cho, J.; Lu, J.; Kim, D.; Park, Y. Determination of health status during aging using bending and pumping rates at various survival rates in Caenorhabditis elegans. Sci. Rep. 2025, 15, 9057. [Google Scholar] [CrossRef] [PubMed]
- Onken, B.; Driscoll, M. Metformin Induces a Dietary Restriction–Like State and the Oxidative Stress Response to Extend C. elegans Healthspan via AMPK, LKB1, and SKN-1. PLoS ONE 2010, 5, e8758. [Google Scholar] [CrossRef]
- Xiang, Y.; Zhang, J.; Li, H.; Wang, Q.; Xiao, L.; Weng, H.; Zhou, X.; Ma, C.W.; Ma, F.; Hu, M.; et al. Epimedium Polysaccharide Alleviates Polyglutamine-Induced Neurotoxicity in Caenorhabditis elegans by Reducing Oxidative Stress. Rejuvenation Res. 2017, 20, 32–41. [Google Scholar] [CrossRef] [PubMed]
- Rajashri, K.; Mudhol, S.; Serva Peddha, M.; Borse, B.B. Neuroprotective effect of spice oleoresins on memory and cognitive impairment associated with scopolamine-induced Alzheimer’s disease in rats. ACS Omega 2020, 5, 30898–30905. [Google Scholar] [CrossRef]
- Zhang, J.; Chen, R.; Yu, Z.; Xue, L. Superoxide Dismutase (SOD) and Catalase (CAT) Activity Assay Protocols for Caenorhabditis elegans. Bio-Protocol 2017, 7, e2505. [Google Scholar] [CrossRef]
- Cornwell, A.B.; Samuelson, A.V. Analysis of Lifespan in C. elegans: Low-and High-Throughput Approaches. In Aging: Methods and Protocols; Springer: New York, NY, USA, 2020; pp. 7–27. [Google Scholar]
- Simwaka, J.E.; Chamba, M.V.M.; Huiming, Z.; Masamba, K.G.; Luo, Y. Effect of fermentation on physicochemical and antinutritional factors of complementary foods from millet, sorghum, pumpkin and amaranth seed flours. Int. Food Res. J. 2017, 24, 1869–1879. [Google Scholar]
- Marko, A.; Rakická, M.; Mikušová, L.; Valík, L.; Šturdík, E. Lactic acid fermentation of cereal substrates in nutritional perspective. Int. J. Res. Chem. Environ. 2014, 4, 80–92. [Google Scholar]
- Vázquez, J.A.; Murado, M.A. Unstructured mathematical model for biomass, lactic acid and bacteriocin production by lactic acid bacteria in batch fermentation. J. Chem. Technol. Biotechnol. 2007, 83, 91–96. [Google Scholar] [CrossRef]
- Ojokoh, A.O.; Daramola, M.B.K.; Oluoti, O.J. Effect of fermentation on nutrient and anti-nutrient composition of breadfruit (Treculia africana) and cowpea (Vigna unguiculata) blend flours. Afr. J. Agric. Res. 2013, 8, 3566–3570. [Google Scholar] [CrossRef]
- Samtiya, M.; Chandratre, G.A.; Dhewa, T.; Badgujar, P.C.; Sirohi, R.; Kumar, A.; Kumar, A. A comparative study on comprehensive nutritional profiling of indigenous non-bio-fortified and bio-fortified varieties and bio-fortified hybrids of pearl millets. J. Food Sci. Technol. 2023, 60, 1065–1076. [Google Scholar] [CrossRef]
- Wei, L.; Li, Y.; Hao, Z.; Zheng, Z.; Yang, H.; Xu, S.; Li, S.; Zhang, L.; Xu, Y. Fermentation improves antioxidant capacity and γ-aminobutyric acid content of Ganmai Dazao Decoction by lactic acid bacteria. Front. Microbiol. 2023, 14, 1274353. [Google Scholar] [CrossRef]
- Kaltsa, A.; Papaliaga, D.; Papaioannou, E.; Kotzekidou, P. Characteristics of oleuropeinolytic strains of Lactobacillus plantarum group and influence on phenolic compounds in table olives elaborated under reduced salt conditions. Food Microbiol. 2015, 48, 58–62. [Google Scholar] [CrossRef]
- Benincasa, C.; Muccilli, S.; Amenta, M.; Perri, E.; Romeo, F.V. Phenolic trend and hygienic quality of green table olives fermented with Lactobacillus plantarum starter culture. Food Chem. 2015, 186, 271–276. [Google Scholar] [CrossRef] [PubMed]
- Malik, S.; Krishnaswamy, K.; Mustapha, A. Development and functional characterization of complementary food using kodo and proso millet with acid whey from Greek yogurt processing. J. Food Process. Preserv. 2022, 46, e16051. [Google Scholar] [CrossRef]
- Moghaddam, A.D.; Garavand, F.; Razavi, S.H.; Talatappe, H.D. Production of saffron-based probiotic beverage by lactic acid bacteria. J. Food Meas. Charact. 2018, 12, 2708–2717. [Google Scholar] [CrossRef]
- Kwaw, E.; Ma, Y.; Tchabo, W.; Apaliya, M.T.; Wu, M.; Sackey, A.S.; Xiao, L.; Tahir, H.E. Effect of lactobacillus strains on phenolic profile, color attributes and antioxidant activities of lactic-acid-fermented mulberry juice. Food Chem. 2018, 250, 148–154. [Google Scholar] [CrossRef]
- Verón, H.E.; Cano, P.G.; Fabersani, E.; Sanz, Y.; Isla, M.I.; Espinar, M.T.F.; Ponce, J.V.G.; Torres Castaños, S. Cactus Pear (Opuntia Ficus-Indica) Juice Fermented with Autochthonous Lactobacillus plantarum S-811. Food Funct. 2019, 10, 1085–1097. [Google Scholar] [CrossRef]
- Kumaree, K.K.; Prasanth, M.I.; Sivamaruthi, B.S.; Kesika, P.; Tencomnao, T.; Chaiyavat, C.; Prasansuklab, A. Lactobacillus paracasei HII01 enhances lifespan and promotes neuroprotection in Caenorhabditis elegans. Sci. Rep. 2023, 13, 16707. [Google Scholar] [CrossRef]
- Lane, M.M.; Gamage, E.; Du, S.; Ashtree, D.N.; McGuinness, A.J.; Gauci, S.; Baker, P.; Lawrence, M.; Rebholz, C.M.; Srour, B.; et al. Ultra-processed food exposure and adverse health outcomes: Umbrella review of epidemiological meta-analyses. BMJ 2024, 384, e077310. [Google Scholar] [CrossRef]
- Srivastava, U.; Saini, P.; Singh, A. Synergistic enhancement of iron, folate, and antioxidant properties in pearl millet via RSM-optimized probiotic fermentation with Lactiplantibacillus plantarum. Meas. Food 2024, 13, 100137. [Google Scholar] [CrossRef]
- Li, Y.; Song, H.; Zhang, Z.; Li, R.; Zhang, Y.; Yang, L.; Li, J.; Zhu, D.; Liu, J.; Yu, H.; et al. Effects of fermentation with different probiotics on the quality, isoflavone content, and flavor of okara beverages. Food Sci. Nutr. 2024, 12, 2619–2633. [Google Scholar] [CrossRef] [PubMed]
- Knez, E. Effect of Fermentation on the Nutritional Quality and Bioactivity of Plant-Based Foods: A Review. Foods 2023, 12, 675. Available online: https://pmc.ncbi.nlm.nih.gov/articles/PMC10051273/ (accessed on 24 July 2025).
- Adebo, O.A. Fermentation Enhances the Nutritional, Functional and Bioactive Properties of Plant-Based Foods. Trends Food Sci. Technol. 2022, 120, 223–238. [Google Scholar]
- Sybesma, W.; Starrenburg, M.; Tijsseling, L.; Hoefnagel, M.H.N.; Hugenholtz, J. Effects of Cultivation Conditions on Folate Production by Lactic Acid Bacteria. Appl. Environ. Microbiol. 2003, 69, 4542–4548. [Google Scholar] [CrossRef] [PubMed]
- Marco, M.L.; Heeney, D.; Binda, S.; Cifelli, C.J.; Cotter, P.D.; Foligné, B.; Gänzle, M.; Kort, R.; Pasin, G.; Pihlanto, A.; et al. Health benefits of fermented foods: Microbiota and beyond. Curr. Opin. Biotechnol. 2017, 44, 94–102. [Google Scholar] [CrossRef] [PubMed]
- Patel, S.; Kasoju, P.; Bhatt, S.; Tiwari, R.K. Fermentation enhances bioactive profile and antioxidant activity in millets: Insight into mechanism and future prospects. Food Res. Int. 2021, 140, 110063. [Google Scholar]
- Bai, Y.; Xu, Y.; Chen, H.; Liu, Y.; Ren, D. Effects of lactic acid bacteria fermentation on the nutritional and functional properties of cereal-based substrates: A review. J. Funct. Foods 2022, 93, 105094. [Google Scholar]
- Xu, H.Y.; Li, Q.C.; Zhou, W.J.; Zhang, H.B.; Chen, Z.X.; Peng, N.; Gong, S.Y.; Liu, B.; Zeng, F. Anti-oxidative and anti-aging effects of probiotic fermented ginseng by modulating gut microbiota and metabolites in Caenorhabditis elegans. Plant Foods Hum. Nutr. 2023, 78, 320–328. [Google Scholar] [CrossRef]
- Hu, R.; Zhang, Y.; Qian, X.; Leng, Y.; Long, Y.; Liu, Y.; Li, X.; Wan, X.; Wei, X. Pediococcus acidilactici promotes the longevity of Caenorhabditis elegans by regulating insulin/IGF-1 and JNK/MAPK signaling, fat accumulation and chloride ion. Frontiers in Nutrition 2022, 9, 822537. [Google Scholar]









| Parameters | NPB | LPDB | LPMB |
|---|---|---|---|
| Titratable acidity (g/L) | 2.36 ± 0.17 b | 6.23 ± 0.08 a | 6.49 ± 0.29 a |
| pH | 7.53 ± 0.07 a | 5.17 ± 0.67 b | 4.15 ± 0.18 c |
| TSS (°B) | 14.83 ± 0.25 a | 10.09 ± 0.31 b | 9.8 ± 0.28 c |
| Bulk density (g/cm3) | 0.58 ± 0.13 b | 0.86 ± 0.01 a | 0.84 ± 0.03 a |
| Viscosity (cP) | 856.00 ± 22.06 a | 590.00 ± 22.54 b | 577.00 ± 20.13 b |
| Color analysis | |||
| L* | 29.96 ± 0.06 b | 30.58 ± 0.02 b | 32.45 ± 0.02 a |
| a* | 11.68 ± 0.04 a | 11.21 ± 0.05 b | 11.69 ± 0.05 a |
| b* | 17.66 ± 0.05 a | 17.67 ± 0.04 a | 17.98 ± 0.03 a |
| ΔE | 70.74 ± 0.07 a | 70.07 ± 0.03 a | 68.45 ± 0.04 b |
| Reducing sugar (mg/100 mL WB) | 7.59 ± 0.14 a | 3.20 ± 0.14 b | 3.18 ± 0.03 b |
| Total sugar (mg/100 mL WB) | 12.24 ± 0.72 a | 4.78 ± 0.19 b | 4.44 ± 0.21 b |
| Metabolite | NPB (Control) | LPDB | LPMB |
|---|---|---|---|
| Acetate | Not detected | Detected | Detected |
| Propionate | Not detected | Detected | Detected |
| Iso-butyrate | Not detected | Detected | Detected |
| Valerate | Not detected | Detected | Detected |
| Iso-propionate | Not detected | Detected | Detected |
| Methyl-propionate | Not detected | Detected | Detected |
| Vanillic acid | Detected | Not detected | Not detected |
| Catechin | Detected | Not detected | Not detected |
| Kaemferol | Detected | Not detected | Not detected |
| Rutin | Detected | Not detected | Not detected |
| Gallic acid | Not detected | Detected | Detected |
| Epigallocatechin gallic acid | Not detected | Detected | Detected |
| Di-hydroferulic acid | Not detected | Detected | Detected |
| Quercitin | Not detected | Detected | Detected |
| Caffeic acid | Not detected | Detected | Detected |
| 4-vinyl guaiacol | Not detected | Detected | Detected |
| Parameter | Initial (0 h) | LPDB (12 h) | LPMB (12 h) |
|---|---|---|---|
| Viability | 9.0 ± 0.00 b | 8.8 ± 0.07 c | 9.2 ± 0.04 a |
| Resistance to pH (pH 2) | 9.0 ± 0.00 a | 8.5 ± 0.15 b | 8.1 ± 0.17 c |
| Resistance to bile salts (0.3% w/v) | 9.0 ± 0.00 a | 8.6 ± 0.11 b | 8.4 ± 0.10 c |
| Resistance to lysozyme (0.1% v/v) | 9.0 ± 0.00 a | 8.3 ± 0.24 c | 8.7 ± 0.09 b |
| Parameter/Groups | Control | NPB | LPDB | LPMB | Metformin |
|---|---|---|---|---|---|
| CAT inhibition (%) | 23.49 ± 3.10 a | 11.37 ± 4.32 b | 8.11 ± 2.52 c | 8.67 ± 1.95 c | 7.65 ± 1.71 e |
| SOD (U/mg protein) | 0.52 ± 0.13 d | 0.83 ± 0.08 c | 1.53 ± 0.24 a | 1.38 ± 0.44 b | 1.64 ± 0.23 a |
| GSH (nmol/mg protein) | 12,620 ± 17.11 e | 13,952 ± 21.14 d | 16,875 ± 26.91 a | 15,067 ± 23.63 c | 15,383 ± 22.41 b |
| MDA (nmol/mg protein) | 0.89 ± 0.04 a | 0.76 ± 0.07 b | 0.65 ± 0.03 c | 0.61 ± 0.05 c | 0.49 ± 0.07 d |
Disclaimer/Publisher’s Note: The statements, opinions and data contained in all publications are solely those of the individual author(s) and contributor(s) and not of MDPI and/or the editor(s). MDPI and/or the editor(s) disclaim responsibility for any injury to people or property resulting from any ideas, methods, instructions or products referred to in the content. |
© 2025 by the authors. Licensee MDPI, Basel, Switzerland. This article is an open access article distributed under the terms and conditions of the Creative Commons Attribution (CC BY) license (https://creativecommons.org/licenses/by/4.0/).
Share and Cite
Kaila, N.H.J.; Halami, P.M.; Ramakrishna, C.; Shivaramu, M.S.; Peddha, M.S. Physicochemical and Functional Characterization of Pearl Millet-Based Probiotic Beverage for Antiaging Potential in Caenorhabditis elegans. Foods 2025, 14, 3460. https://doi.org/10.3390/foods14203460
Kaila NHJ, Halami PM, Ramakrishna C, Shivaramu MS, Peddha MS. Physicochemical and Functional Characterization of Pearl Millet-Based Probiotic Beverage for Antiaging Potential in Caenorhabditis elegans. Foods. 2025; 14(20):3460. https://doi.org/10.3390/foods14203460
Chicago/Turabian StyleKaila, Nova Henna Jemimah, Prakash M. Halami, Chethana Ramakrishna, Mamatha Singanahalli Shivaramu, and Muthukumar Serva Peddha. 2025. "Physicochemical and Functional Characterization of Pearl Millet-Based Probiotic Beverage for Antiaging Potential in Caenorhabditis elegans" Foods 14, no. 20: 3460. https://doi.org/10.3390/foods14203460
APA StyleKaila, N. H. J., Halami, P. M., Ramakrishna, C., Shivaramu, M. S., & Peddha, M. S. (2025). Physicochemical and Functional Characterization of Pearl Millet-Based Probiotic Beverage for Antiaging Potential in Caenorhabditis elegans. Foods, 14(20), 3460. https://doi.org/10.3390/foods14203460

