Impact of Ultrasound Pretreatment and Enzyme Concentration on Taste and Biological Activities of Porcine Lung Hydrolyzates
Abstract
1. Introduction
2. Materials and Methods
2.1. Chemicals and Reagents
2.2. Proximate Composition and Physicochemical Properties
2.2.1. Sample Preparation
2.2.2. Physicochemical Properties and Proximate Composition
2.3. Enzymatic Hydrolysis Procedure
2.3.1. Sample Preparation
2.3.2. Ultrasound Pretreatment
2.3.3. Enzymatic Hydrolysis
2.4. Degree of Hydrolysis
2.5. Determination of Taste-Related Substances
2.5.1. Free Amino Acids (FAA) Determination
2.5.2. Nucleotides Determination
2.5.3. Equivalent Umami Concentration (EUC)
2.5.4. Taste Active Value (TAV)
2.6. Biological Activity Assays
2.6.1. Sample Preparation
2.6.2. Antioxidant Activity Assays
2.7. MS/MS Analysis
2.7.1. Sample Preparation
2.7.2. Tandem Mass Spectrometry Analysis
2.8. In Silico Analysis
2.9. Statistical Analysis
3. Results
3.1. Porcine Lung Characterization
3.2. Degree of Hydrolysis and Taste-Related Substances Analysis
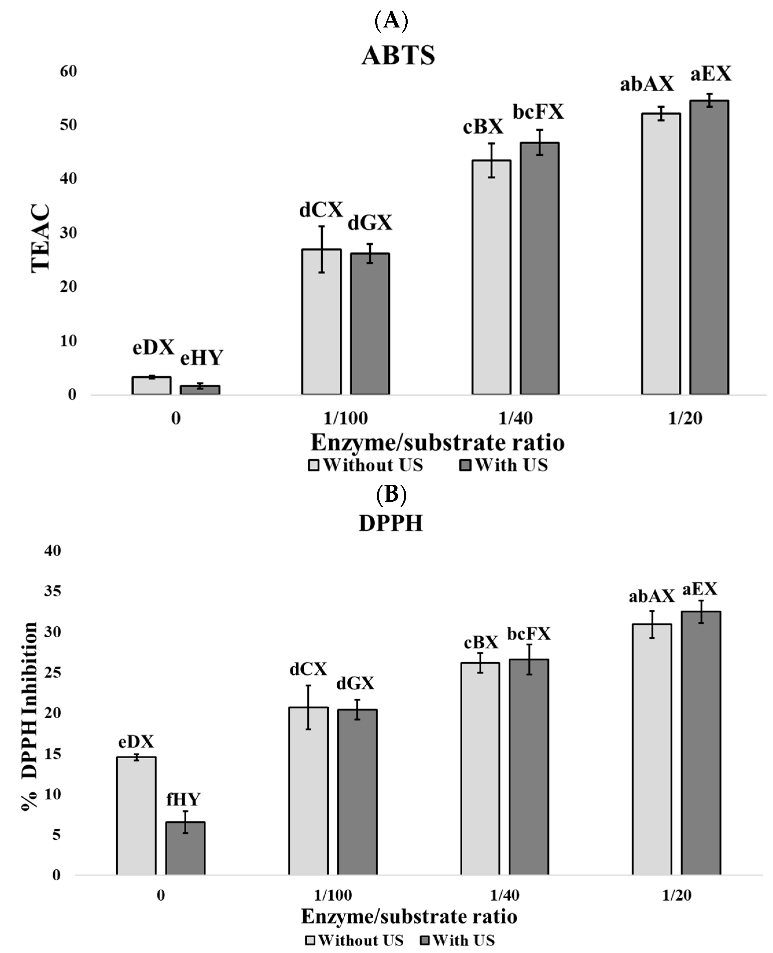
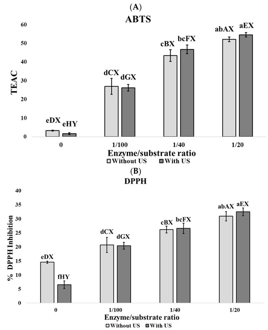
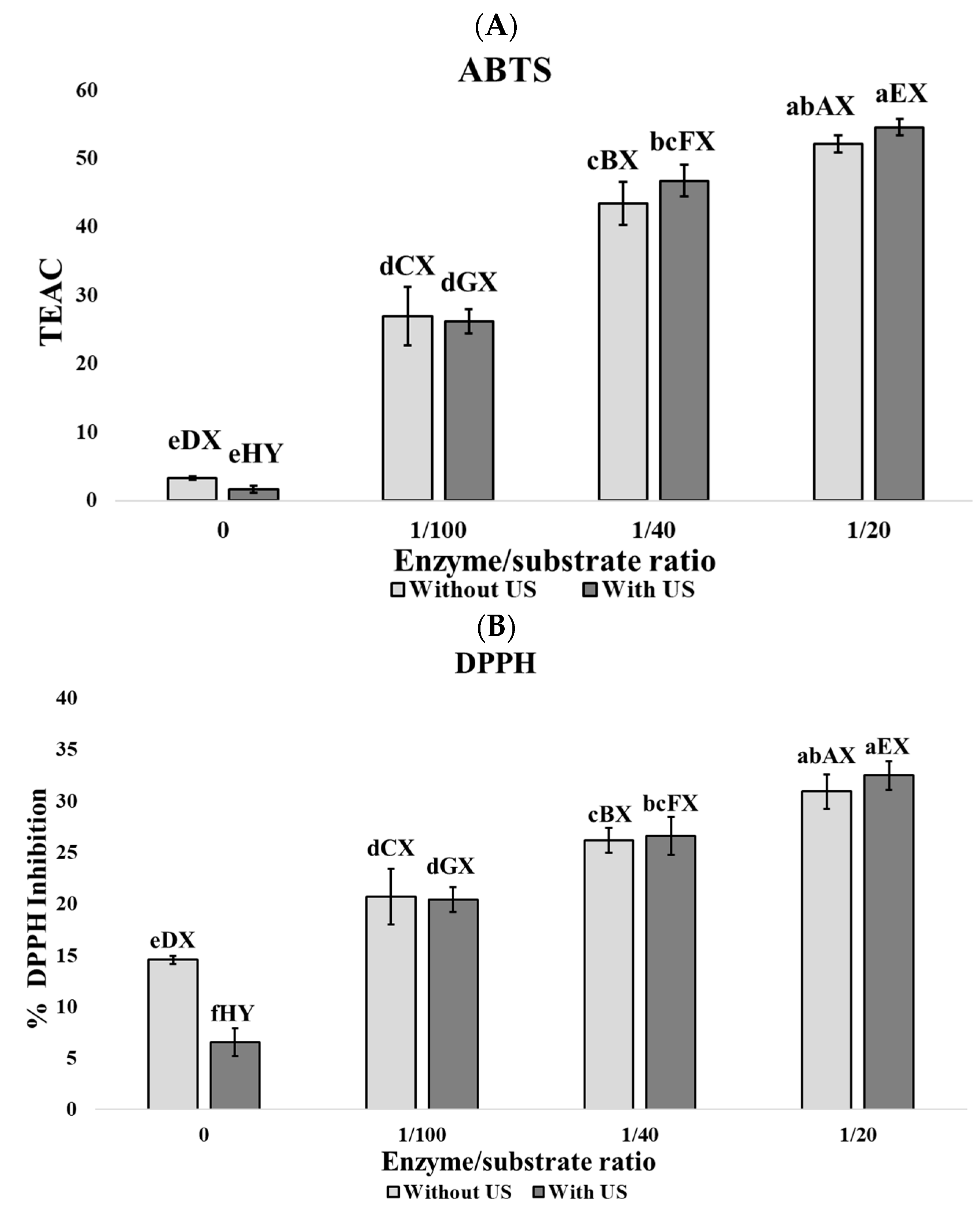
3.3. Biological Activity Assays
3.4. Peptidomics and In Silico Analysis
4. Conclusions
Supplementary Materials
Author Contributions
Funding
Institutional Review Board Statement
Informed Consent Statement
Data Availability Statement
Acknowledgments
Conflicts of Interest
References
- Gagaoua, M.; Das, A.K.; Fu, Y.; Dib, A.L.; Nanda, P.K. Meat By-Products as a Source of Bioactive Peptides and Functional Ingredients: Regulatory and Safety Barriers to Valorization. Curr. Opin. Green Sustain. Chem. 2024, 47, 100910. [Google Scholar] [CrossRef]
- Nollet, L.M.L.; Toldrá, F. Introduction. Offal meat: Definitions, regions, cultures, generalities. In Handbook of Analysis of Edible Animal By-Products; CRC Press: Boca Raton, FL, USA, 2011; pp. 3–11. ISBN 1439803609. [Google Scholar]
- Mullen, A.M.; Álvarez, C.; Zeugolis, D.I.; Henchion, M.; O’Neill, E.; Drummond, L. Alternative Uses for Co-Products: Harnessing the Potential of Valuable Compounds from Meat Processing Chains. Meat Sci. 2017, 132, 90–98. [Google Scholar] [CrossRef]
- López-Martínez, M.I.; Toldrá, F.; Mora, L. Sequential Enzymatic Hydrolysis and Ultrasound Pretreatment of Pork Liver for the Generation of Bioactive and Taste-Related Hydrolyzates. J. Agric. Food Chem. 2024, 72, 15693–15703. [Google Scholar] [CrossRef] [PubMed]
- Rezvankhah, A.; Yarmand, M.S.; Ghanbarzadeh, B.; Mirzaee, H. Development of Lentil Peptides with Potent Antioxidant, Antihypertensive, and Antidiabetic Activities along with Umami Taste. Food Sci. Nutr. 2023, 11, 2974–2989. [Google Scholar] [CrossRef] [PubMed]
- Mora, L.; Toldrá, F. Advanced Enzymatic Hydrolysis of Food Proteins for the Production of Bioactive Peptides. Curr. Opin. Food Sci. 2022, 49, 100973. [Google Scholar] [CrossRef]
- Umego, E.C.; He, R.; Ren, W.; Xu, H.; Ma, H. Ultrasonic-Assisted Enzymolysis: Principle and Applications. Process Biochem. 2021, 100, 59–68. [Google Scholar] [CrossRef]
- Iwaniak, A.; Minkiewicz, P.; Darewicz, M. Bioinformatics and Bioactive Peptides from Foods: Do They Work Together? In Advances in Food and Nutrition Research; Elsevier: Amsterdam, The Netherlands, 2024; Volume 108, pp. 35–111. ISBN 1043-4526. [Google Scholar]
- Association of Official Agricultural Chemists (AOAC). Crude protein in meat and meat products. Combustion method. In Official Methods of Analysis of the AOAC International; AOAC International: Gaithersburg, MD, USA, 1992. [Google Scholar]
- Nielsen, P.M.; Petersen, D.; Dambmann, C. Improved Method for Determining Food Protein Degree of Hydrolysis. J. Food Sci. 2001, 66, 642–646. [Google Scholar] [CrossRef]
- Aristoy, M.C.; Toldra, F. Deproteinization Techniques for HPLC Amino Acid Analysis in Fresh Pork Muscle and Dry-Cured Ham. J. Agric. Food Chem. 1991, 39, 1792–1795. [Google Scholar] [CrossRef]
- Flores, M.; Aristoy, M.; Spanier, A.M.; Toldrá, F. Non-volatile Components Effects on Quality of “Serrano” Dry-cured Ham as Related to Processing Time. J. Food Sci. 1997, 62, 1235–1239. [Google Scholar] [CrossRef]
- Camacho, C.; Correia, T.; Teixeira, B.; Mendes, R.; Valente, L.M.P.; Pessoa, M.F.; Nunes, M.L.; Gonçalves, A. Nucleotides and Free Amino Acids in Sea Urchin Paracentrotus Lividus Gonads: Contributions for Freshness and Overall Taste. Food Chem. 2023, 404, 134505. [Google Scholar] [CrossRef]
- Liu, Y.; Qiu, C. Calculated Taste Activity Values and Umami Equivalences Explain Why Dried Sha-Chong (Sipunculus nudus) Is a Valuable Condiment. J. Aquat. Food Prod. Technol. 2016, 25, 177–184. [Google Scholar] [CrossRef]
- Yin, M.; Matsuoka, R.; Yanagisawa, T.; Xi, Y.; Zhang, L.; Wang, X. Effect of Different Drying Methods on Free Amino Acid and Flavor Nucleotides of Scallop (Patinopecten yessoensis) Adductor Muscle. Food Chem. 2022, 396, 133620. [Google Scholar] [CrossRef]
- Du, X.; Muniz, A.; Davila, M.; Juma, S. Egg White Partially Substituted with Mushroom: Taste Impartment with Mushroom Amino Acids, 5′-Nucleotides, Soluble Sugars, and Organic Acids, and Impact Factors. ACS Food Sci. Technol. 2021, 1, 1333–1348. [Google Scholar] [CrossRef]
- Burns, G.B.; Ke, P.J. Liquid Chromatographic Determination of Hypoxanthine Content in Fish Tissue. J. Assoc. Off. Anal. Chem. 1985, 68, 444–448. [Google Scholar] [CrossRef]
- Mora, L.; Hernández-Cázares, A.S.; Aristoy, M.-C.; Toldrá, F. Hydrophilic Interaction Chromatographic Determination of Adenosine Triphosphate and Its Metabolites. Food Chem. 2010, 123, 1282–1288. [Google Scholar] [CrossRef]
- Sabikun, N.; Bakhsh, A.; Rahman, M.S.; Hwang, Y.-H.; Joo, S.-T. Volatile and Nonvolatile Taste Compounds and Their Correlation with Umami and Flavor Characteristics of Chicken Nuggets Added with Milkfat and Potato Mash. Food Chem. 2021, 343, 128499. [Google Scholar] [CrossRef] [PubMed]
- Kuchiba-Manabe, M.; Matoba, T.; Hasegawa, K. Sensory Changes in Umami Taste of Inosine 5′-Monophosphate Solution after Heating. J. Food Sci. 1991, 56, 1429–1432. [Google Scholar] [CrossRef]
- Yamaguchi, S.; Yoshikawa, T.; Ikeda, S.; Ninomiya, T. Measurement of the Relative Taste Intensity of Some L-α-amino Acids and 5′-nucleotides. J. Food Sci. 1971, 36, 846–849. [Google Scholar] [CrossRef]
- Kong, Y.; Zhang, L.-L.; Sun, Y.; Zhang, Y.-Y.; Sun, B.-G.; Chen, H.-T. Determination of the Free Amino Acid, Organic Acid, and Nucleotide in Commercial Vinegars. J. Food Sci. 2017, 82, 1116–1123. [Google Scholar] [CrossRef] [PubMed]
- Qi, J.; Xu, Y.; Zhang, W.; Xie, X.; Xiong, G.; Xu, X. Short-Term Frozen Storage of Raw Chicken Meat Improves Its Flavor Traits upon Stewing. LWT 2021, 142, 111029. [Google Scholar] [CrossRef]
- Mora, L.; Escudero, E.; Aristoy, M.-C.; Toldrá, F. A Peptidomic Approach to Study the Contribution of Added Casein Proteins to the Peptide Profile in Spanish Dry-Fermented Sausages. Int. J. Food Microbiol. 2015, 212, 41–48. [Google Scholar] [CrossRef] [PubMed]
- Bersuder, P.; Hole, M.; Smith, G. Antioxidants from a Heated Histidine-Glucose Model System. I: Investigation of the Antioxidant Role of Histidine and Isolation of Antioxidants by High-Performance Liquid Chromatography. J. Am. Oil Chem. Soc. 1998, 75, 181–187. [Google Scholar] [CrossRef]
- Re, R.; Pellegrini, N.; Proteggente, A.; Pannala, A.; Yang, M.; Rice-Evans, C. Antioxidant Activity Applying an Improved ABTS Radical Cation Decolorization Assay. Free Radic. Biol. Med. 1999, 26, 1231–1237. [Google Scholar] [CrossRef]
- Chen, T.-S.; Liou, S.-Y.; Wu, H.-C.; Tsai, F.-J.; Tsai, C.-H.; Huang, C.-Y.; Chang, Y.-L. New Analytical Method for Investigating the Antioxidant Power of Food Extracts on the Basis of Their Electron-Donating Ability: Comparison to the Ferric Reducing/Antioxidant Power (FRAP) Assay. J. Agric. Food Chem. 2010, 58, 8477–8480. [Google Scholar] [CrossRef]
- Davalos, A.; Gomez-Cordoves, C.; Bartolome, B. Extending Applicability of the Oxygen Radical Absorbance Capacity (ORAC-Fluorescein) Assay. J. Agric. Food Chem. 2004, 52, 48–54. [Google Scholar] [CrossRef]
- Zheng, Z.; Li, J.; Li, J.; Sun, H.; Liu, Y. Physicochemical and Antioxidative Characteristics of Black Bean Protein Hydrolysates Obtained from Different Enzymes. Food Hydrocoll. 2019, 97, 105222. [Google Scholar] [CrossRef]
- Mooney, C.; Haslam, N.J.; Pollastri, G.; Shields, D.C. Towards the Improved Discovery and Design of Functional Peptides: Common Features of Diverse Classes Permit Generalized Prediction of Bioactivity. PLoS ONE 2012, 7, e45012. [Google Scholar] [CrossRef]
- Olsen, T.H.; Yesiltas, B.; Marin, F.I.; Pertseva, M.; García-Moreno, P.J.; Gregersen, S.; Overgaard, M.T.; Jacobsen, C.; Lund, O.; Hansen, E.B. AnOxPePred: Using Deep Learning for the Prediction of Antioxidative Properties of Peptides. Sci. Rep. 2020, 10, 21471. [Google Scholar] [CrossRef]
- Charoenkwan, P.; Nantasenamat, C.; Hasan, M.M.; Moni, M.A.; Manavalan, B.; Shoombuatong, W. StackDPPIV: A Novel Computational Approach for Accurate Prediction of Dipeptidyl Peptidase IV (DPP-IV) Inhibitory Peptides. Methods 2022, 204, 189–198. [Google Scholar] [CrossRef] [PubMed]
- Charoenkwan, P.; Chumnanpuen, P.; Schaduangrat, N.; Shoombuatong, W. Deepstack-ACE: A Deep Stacking-Based Ensemble Learning Framework for the Accelerated Discovery of ACE Inhibitory Peptides. Methods 2025, 234, 131–140. [Google Scholar] [CrossRef]
- Gupta, S.; Kapoor, P.; Chaudhary, K.; Gautam, A.; Kumar, R.; Consortium, O.S.D.D.; Raghava, G.P.S. In Silico Approach for Predicting Toxicity of Peptides and Proteins. PLoS ONE 2013, 8, e73957. [Google Scholar] [CrossRef]
- Dimitrov, I.; Bangov, I.; Flower, D.R.; Doytchinova, I. AllerTOP v. 2—A Server for in Silico Prediction of Allergens. J. Mol. Model. 2014, 20, 2278. [Google Scholar]
- Manavalan, B.; Subramaniyam, S.; Shin, T.H.; Kim, M.O.; Lee, G. Machine-Learning-Based Prediction of Cell-Penetrating Peptides and Their Uptake Efficiency with Improved Accuracy. J. Proteome Res. 2018, 17, 2715–2726. [Google Scholar] [CrossRef]
- Vishnepolsky, B.; Pirtskhalava, M. Prediction of Linear Cationic Antimicrobial Peptides Based on Characteristics Responsible for Their Interaction with the Membranes. J. Chem. Inf. Model. 2014, 54, 1512–1523. [Google Scholar] [CrossRef]
- Vishnepolsky, B.; Grigolava, M.; Managadze, G.; Gabrielian, A.; Rosenthal, A.; Hurt, D.E.; Tartakovsky, M.; Pirtskhalava, M. Comparative Analysis of Machine Learning Algorithms on the Microbial Strain-Specific AMP Prediction. Brief. Bioinform. 2022, 23, bbac233. [Google Scholar] [CrossRef]
- Minkiewicz, P.; Dziuba, J.; Iwaniak, A.; Dziuba, M.; Darewicz, M. BIOPEP Database and Other Programs for Processing Bioactive Peptide Sequences. J. AOAC Int. 2008, 91, 965–980. [Google Scholar] [CrossRef]
- Minkiewicz, P.; Iwaniak, A.; Darewicz, M. BIOPEP-UWM Database of Bioactive Peptides: Current Opportunities. Int. J. Mol. Sci. 2019, 20, 5978. [Google Scholar] [CrossRef]
- Charoenkwan, P.; Nantasenamat, C.; Hasan, M.M.; Moni, M.A.; Manavalan, B.; Shoombuatong, W. UMPred-FRL: A New Approach for Accurate Prediction of Umami Peptides Using Feature Representation Learning. Int. J. Mol. Sci. 2021, 22, 13124. [Google Scholar] [CrossRef] [PubMed]
- Charoenkwan, P.; Nantasenamat, C.; Hasan, M.M.; Manavalan, B.; Shoombuatong, W. BERT4Bitter: A Bidirectional Encoder Representations from Transformers (BERT)-Based Model for Improving the Prediction of Bitter Peptides. Bioinformatics 2021, 37, 2556–2562. [Google Scholar] [CrossRef] [PubMed]
- Hwang, J.; Son, W.-Y.; Jeong, E.J.; Kim, K.-S.; Shin, E.-C.; Song, D.-H.; Lee, K.-W.; Kim, H.-W. Comparative Exploration of Antioxidant Properties of Alcalase-and Trypsin-Hydrolyzed Porcine By-Products and Their Classification for Industrial Use. Appl. Sci. 2024, 15, 47. [Google Scholar] [CrossRef]
- López-Martínez, M.I.; Toldrá, F.; Mora, L. Pork Organs as a Potential Source of Flavour-Related Substances. Food Res. Int. 2023, 173, 113468. [Google Scholar] [CrossRef] [PubMed]
- Seong, P.N.; Park, K.M.; Cho, S.H.; Kang, S.M.; Kang, G.H.; Park, B.Y.; Moon, S.S.; Van Ba, H. Characterization of Edible Pork By-Products by Means of Yield and Nutritional Composition. Korean J. Food Sci. Anim. Resour. 2014, 34, 297. [Google Scholar] [CrossRef] [PubMed]
- Kęska, P.; Stadnik, J. Taste-Active Peptides and Amino Acids of Pork Meat as Components of Dry-Cured Meat Products: An in-Silico Study. J. Sens. Stud. 2017, 32, e12301. [Google Scholar] [CrossRef]
- Fu, Y.; Chen, J.; Bak, K.H.; Lametsch, R. Valorisation of Protein Hydrolysates from Animal By-Products: Perspectives on Bitter Taste and Debittering Methods: A Review. Int. J. Food Sci. Technol. 2019, 54, 978–986. [Google Scholar] [CrossRef]
- López-Martínez, M.I.; Toldrá, F.; Mora, L. Comparative Analysis of Different Pretreatments and Hydrolysis Conditions for the Generation of Taste-Related Substances in Pork Liver Hydrolyzates. Food Chem. 2025, 467, 142178. [Google Scholar] [CrossRef]
- Kim, M.J.; Son, H.J.; Kim, Y.; Misaka, T.; Rhyu, M.-R. Umami–Bitter Interactions: The Suppression of Bitterness by Umami Peptides via Human Bitter Taste Receptor. Biochem. Biophys. Res. Commun. 2015, 456, 586–590. [Google Scholar] [CrossRef]
- Siewe, F.B.; Kudre, T.G.; Narayan, B. Optimisation of Ultrasound-Assisted Enzymatic Extraction Conditions of Umami Compounds from Fish by-Products Using the Combination of Fractional Factorial Design and Central Composite Design. Food Chem. 2021, 334, 127498. [Google Scholar] [CrossRef]
- Zhang, J.; Tu, Z.; Hu, Z.; Hu, Y.; Wang, H. Efficient Preparation of Oyster Hydrolysate with Aroma and Umami Coexistence Derived from Ultrasonic Pretreatment Assisted Enzymatic Hydrolysis. Food Chem. 2024, 437, 137881. [Google Scholar] [CrossRef]
- Kido, S.; Tanaka, R. Umami-Enhancing Effect of Mushroom Stocks on Japanese Fish Stock Based on the Equivalent Umami Concentration (EUC) Value. Int. J. Gastron. Food Sci. 2023, 34, 100832. [Google Scholar] [CrossRef]
- Kong, Y.; Zhang, L.-L.; Zhang, Y.-Y.; Sun, B.-G.; Sun, Y.; Zhao, J.; Chen, H.-T. Evaluation of Non-Volatile Taste Components in Commercial Soy Sauces. Int. J. Food Prop. 2018, 21, 1854–1866. [Google Scholar] [CrossRef]
- Zhu, Y.; Zhou, X.; Chen, Y.P.; Liu, Z.; Jiang, S.; Chen, G.; Liu, Y. Exploring the Relationships between Perceived Umami Intensity, Umami Components and Electronic Tongue Responses in Food Matrices. Food Chem. 2022, 368, 130849. [Google Scholar] [CrossRef]
- Fang, R.; Zhu, Z. Advances in Reducing Salt Content in Processed Meats with Basic Amino Acids. Foods 2025, 14, 940. [Google Scholar] [CrossRef]
- Mardani, M.; Badakné, K.; Farmani, J.; Aluko, R.E. Antioxidant Peptides: Overview of Production, Properties, and Applications in Food Systems. Compr. Rev. Food Sci. Food Saf. 2023, 22, 46–106. [Google Scholar] [CrossRef] [PubMed]
- O’Sullivan, S.M.; Lafarga, T.; Hayes, M.; O’Brien, N.M. Bioactivity of Bovine Lung Hydrolysates Prepared Using Papain, Pepsin, and Alcalase. J. Food Biochem. 2017, 41, e12406. [Google Scholar] [CrossRef]
- Martinez, F.G.; Ambrosi, V.A.; Rocha, G.; Sancho, A.M.; Szerman, N. Enzymatic Hydrolysis as a Valorization Strategy of Bovine Lungs: Optimization of Process Variables and Study of Antioxidant Capacity. JSFA Rep. 2023, 3, 161–169. [Google Scholar] [CrossRef]
- Cheng, S.; Gao, J.; Yu, L.; Chen, Y.; Zhao, Z.; Zhou, X.; Wang, P.; Bai, Y.; Zeng, X.; Xu, X.; et al. Physicochemical Properties and Action Mechanism of Chicken Lung Protein Hydrolysate Modified by Plastein Reaction. Food Biosci. 2025, 68, 106456. [Google Scholar] [CrossRef]
- Damgaard, T.; Lametsch, R.; Otte, J. Antioxidant Capacity of Hydrolyzed Animal By-Products and Relation to Amino Acid Composition and Peptide Size Distribution. J. Food Sci. Technol. 2015, 52, 6511–6519. [Google Scholar] [CrossRef]
- Damgaard, T.D.; Otte, J.A.H.; Meinert, L.; Jensen, K.; Lametsch, R. Antioxidant Capacity of Hydrolyzed Porcine Tissues. Food Sci. Nutr. 2014, 2, 282–288. [Google Scholar] [CrossRef] [PubMed]
- Bechaux, J.; Ferraro, V.; Sayd, T.; Chambon, C.; Le Page, J.F.; Drillet, Y.; Gatellier, P.; Santé-Lhoutellier, V. Workflow towards the Generation of Bioactive Hydrolysates from Porcine Products by Combining in Silico and in Vitro Approaches. Food Res. Int. 2020, 132, 109123. [Google Scholar] [CrossRef]
- Gallego, M.; Mora, L.; Toldrá, F. The Relevance of Dipeptides and Tripeptides in the Bioactivity and Taste of Dry-Cured Ham. Food Prod. Process. Nutr. 2019, 1, 2. [Google Scholar] [CrossRef]
- Tomkinson, B. Tripeptidyl-Peptidase II: Update on an Oldie That Still Counts. Biochimie 2019, 166, 27–37. [Google Scholar] [CrossRef]
- Liu, C.; An, H.; Liu, A. Functional Development of Porcine Spleen as a By-Product of Pig Slaughterhouse: Preparation, Identification and Bioactive Activities of a Novel Peptide. Food Biosci. 2023, 56, 103448. [Google Scholar] [CrossRef]
- Moreno-Mariscal, C.; Moroni, F.; Pérez-Sánchez, J.; Mora, L.; Toldrá, F. Optimization of Sequential Enzymatic Hydrolysis in Porcine Blood and the Influence on Peptide Profile and Bioactivity of Prepared Hydrolysates. Int. J. Mol. Sci. 2025, 26, 3583. [Google Scholar] [CrossRef] [PubMed]
- Neundorf, I. Antimicrobial and Cell-Penetrating Peptides: How to Understand Two Distinct Functions despite Similar Physicochemical Properties. Antimicrob. Pept. Basics Clin. Appl. 2019, 93–109. [Google Scholar]
- Power, O.; Nongonierma, A.B.; Jakeman, P.; Fitzgerald, R.J. Food Protein Hydrolysates as a Source of Dipeptidyl Peptidase IV Inhibitory Peptides for the Management of Type 2 Diabetes. Proc. Nutr. Soc. 2014, 73, 34–46. [Google Scholar] [CrossRef] [PubMed]
- Li, W.; Chen, W.; Ma, H.; Wang, J.; Li, Z.; Wang, Q.; Zhang, Z.; Wu, D.; Zhang, J.; Yang, Y. Study on the Relationship between Structure and Taste Activity of the Umami Peptide of Stropharia Rugosoannulata Prepared by Ultrasound. Ultrason. Sonochem. 2022, 90, 106206. [Google Scholar] [CrossRef] [PubMed]
- Liu, B.; Li, N.; Chen, F.; Zhang, J.; Sun, X.; Xu, L.; Fang, F. Review on the Release Mechanism and Debittering Technology of Bitter Peptides from Protein Hydrolysates. Compr. Rev. Food Sci. Food Saf. 2022, 21, 5153–5170. [Google Scholar] [CrossRef]
- Ahmed, T.; Sun, X.; Udenigwe, C.C. Role of Structural Properties of Bioactive Peptides in Their Stability during Simulated Gastrointestinal Digestion: A Systematic Review. Trends Food Sci. Technol. 2022, 120, 265–273. [Google Scholar] [CrossRef]
- Karaś, M. Influence of Physiological and Chemical Factors on the Absorption of Bioactive Peptides. Int. J. food Sci. Technol. 2019, 54, 1486–1496. [Google Scholar] [CrossRef]


| Properties and Composition | Weight (g) | pH | Water Activity (aw) | Moisture (g/100 g) | Protein (g/100 g) |
| 333.67 ± 13.43 | 7.03 ± 0.12 | 0.997 ± 0.002 | 78.04 ± 0.72 | 17.50 ± 0.28 | |
| Colour Properties | Luminosity (L*) | Redness (a*) | Yellowness (b*) | Chroma (C*) | Hue (°) |
| 32.57 ± 1.74 | 9.71 ± 0.23 | 6.91 ± 1.06 | 12.29 ± 0.85 | 35.50 ± 2.90 | |
| Nucleotides | Hypoxhantine | Inosine | AMP a | IMP | GMP |
| Concentration (mg/100 g wet matter) | 40.71 ± 0.95 | 5.79 ± 0.18 | 1.47 ± 0.02 | 1.71 ± 0.03 | 1.46 ± 0.02 |
| Potential taste b | Bitter (1) | Bitter (5) | Umami (1,2,3,4) | Umami (1,2,3,4) | Umami (1,2,3,4) |
| Taste Threshold (mg/100 g wet matter) c | - | - | 50 (6,7,8) | 25 (6,7,8) | 12.5 (6,7,8) |
| Taste Activity Value (TAV) (Dimensionless) | - | - | 0.029 ± 0.000 | 0.069 ± 0.001 | 0.117 ± 0.002 |
| Without US a | With US | |||||||
|---|---|---|---|---|---|---|---|---|
| Enzyme:substrate ratio | 0 | 1:100 | 1:40 | 1:20 | 0 | 1:100 | 1:40 | 1:20 |
| Degree of hydrolysis (%) | 2.42 ± 0.18 fDX | 15.90 ± 2.40 eCY | 36.04 ± 1.28 cdBY | 43.78 ± 2.46 abAY | 3.67 ± 1.24 fGX | 29.72 ± 2.53 dFX | 42.55 ± 1.18 bcEX | 49.96 ± 1.37 aEX |
| FAA content (mg aas/g wet matter) | ||||||||
| Asp (Umami) (1,2,3,4) b | 0.51 ± 0.06 eCY e | 1.09 ± 0.03 cdeBCY | 1.54 ± 0.12 cdBY | 3.57 ± 0.26 bAY | 0.73 ± 0.06 deGX | 1.43 ± 0.03 cdeFGX | 1.89 ± 0.08 cFX | 4.72 ± 0.47 aEX |
| Glu (Umami) (1,2,3,4) | 1.72 ± 0.09 dBY | 3.14 ± 0.18 cdBY | 3.34 ± 0.12 cdBX | 6.88 ± 0.77 bAY | 2.58 ± 0.21 cdFX | 3.59 ± 0.08 cdFX | 4.08 ± 0.43 cFX | 9.16 ± 0.86 aEX |
| Umami aas | 2.23 ± 0.14 dCY | 4.23 ± 0.15 cdBCY | 4.89 ± 0.24 cdBY | 10.45 ± 1.81 bAY | 3.31 ± 0.30 cdFX | 5.02 ± 0.11 cdFX | 5.98 ± 0.59 cFX | 13.87 ± 2.30 aEX |
| Ser (Sweet) (1,2,3,4), | 0.37 ± 0.07 eCX | 1.41 ± 0.10 cdeCY | 2.49 ± 0.25 bcBY | 5.94 ± 0.42 aAX | 0.51 ± 0.06 deGX | 1.94 ± 0.08 bcdFGX | 3.09 ± 0.03 bFX | 7.17 ± 0.72 aEX |
| Gly (Sweet) (1,2,3,4) | 1.13 ± 0.12 cCY | 1.84 ± 0.02 bcBC | 2.26 ± 0.15 bcBY | 4.70 ± 0.39 aAY | 1.68 ± 0.15 bcFX | 2.21 ± 0.08 bcFX | 2.75 ± 0.08 bFX | 5.93 ± 0.58 aEX |
| Gln (Sweet) (4) | 0.27 ± 0.02 cCY | 1.85 ± 0.21 bcBCY | 2.78 ± 0.14 bBY | 6.70 ± 0.57 aAY | 0.42 ± 0.03 cGX | 2.30 ± 0.20 bFX | 3.43 ± 0.16 bFX | 8.02 ± 0.81 aEX |
| Thr (Sweet) (1,2,3,4) | 0.18 ± 0.03 DdY | 1.25 ± 0.10 cdCY | 2.22 ± 0.18 bcBY | 5.38 ± 0.39 aAY | 0.36 ± 0.04 dGX | 1.70 ± 0.07 bcFGX | 2.74 ± 0.03 bFX | 6.49 ± 0.65 aEX |
| Ala (Sweet) (1,2,3,4) | 0.48 ± 0.54 dCY | 2.00 ± 0.22 cdeBY | 3.29 ± 0.30 bcBY | 7.84 ± 0.61 aAY | 0.79 ± 0.07 deGX | 2.68 ± 0.09 bcdFGX | 4.09 ± 0.06 bFX | 9.46 ± 0.97 aEX |
| Sweet aas | 2.43 ± 0.707 dCY | 8.33 ± 0.65 bcdBY | 13.03 ± 1.01 bBY | 30.57 ± 4.20 aAY | 3.75 ± 0.35 cdGX | 10.84 ± 0.52 bcFX | 16.09 ± 0.36 bFX | 37.06 ± 6.46 aEX |
| Arg (Bittersweet) (2,3) | 0.19 ± 0.04 dCX | 2.37 ± 0.33 cdBY | 4.09 ± 0.21 bcBY | 9.44 ± 0.74 aAX | 0.28 ± 0.06 dGX | 3.25 ± 0.15 bcFGX | 4.96 ± 0.19 bFX | 11.33 ± 1.01 aEX |
| Pro (Bittersweet) (2,3) | 0.32 ± 0.09 bBX | 0.38 ± 0.01 bBY | 0.37 ± 0.10 bBX | 1.10 ± 0.15 aAX | 0.48 ± 0.05 bFX | 0.44 ± 0.01 bFX | 0.50 ± 0.03 bFX | 1.31 ± 0.19 aEX |
| Val (Bittersweet) (2,3) | 0.25 ± 0.05 eCX | 1.82 ± 0.18 cdeBCY | 3.17 ± 0.29 bcBY | 8.11 ± 0.68 aAX | 0.36 ± 0.04 deGX | 2.50 ± 0.08 bcdFGX | 4.00 ± 0.05 bFX | 9.81 ± 1.01 aEX |
| Lys (Bittersweet) (2,3) | 0.62 ± 0.15 dCY | 2.59 ± 0.26 cdBCY | 4.78 ± 0.39 bcBY | 11.13 ± 0.78 aAY | 0.85 ± 0.12 dGX | 3.65 ± 0.18 bcFGX | 5.86 ± 0.07 bFX | 13.35 ± 1.17 aEX |
| Met (Bittersweet) (2,3) | 0.08 ± 0.03 dBX | 0.65 ± 0.04 bcdBY | 1.28 ± 0.16 bcBY | 3.57 ± 0.52 aAX | 0.14 ± 0.01 cdGX | 0.96 ± 0.05 bcdFGX | 1.65 ± 0.05 bFX | 4.25 ± 0.43 aEX |
| Bittersweet aas | 1.47 ±0.59 dCX | 7.81 ± 0.79 cdBY | 13.69 ± 1.15 bcBY | 33.35 ± 5.03 aAX | 2.10 ± 0.17 dGX | 10.79 ± 0.45 bcFX | 16.79 ± 0.46 bFX | 40.04 ± 6.61 aEX |
| Tau (Bitter) (1,2) | 1.52 ± 0.14 cBY | 1.79 ± 0.017 cBX | 1.70 ± 0.14 cBX | 2.80 ± 0.25 abAY | 2.14 ± 0.24 bcFX | 2.04 ± 0.06 bcFX | 1.98 ± 0.05 cFX | 3.47 ± 0.28 aEX |
| His (Bitter) (1,3,4) | 0.06 ± 0.02 dCX | 0.63 ± 0.07 cdBCY | 1.37 ± 0.17 bcBY | 3.79 ± 0.34 aAX | 0.07 ± 0.01 dGX | 0.93 ± 0.03 bcdFGX | 1.77 ± 0.02 bFX | 4.57 ± 0.51 aEX |
| Tyr (Bitter) (1,2,3,4) | 0.12 ± 0.02 eCX | 1.00 ± 0.07 cdeBCY | 1.81 ± 0.18 bcBY | 4.67 ± 0.40 aAX | 0.09 ± 0.04 eGX | 1.39 ± 0.19 bcdFGX | 2.30 ± 0.06 bFX | 5.61 ± 0.59 aEX |
| Ile (Bitter) (1,2,3,4) | 0.12 ± 0.02 dCY | 1.03 ± 0.06 cdBY | 1.77 ± 0.11 bcBY | 4.28 ± 0.35 aAY | 0.20 ± 0.03 dGX | 1.41 ± 0.06 bcFX | 2.19 ± 0.06 bFX | 5.35 ± 0.54 aEX |
| Leu (Bitter) (1,2,3,4) | 0.33 ± 0.07 dCY | 3.94 ± 0.25 cdCX | 6.62 ± 0.61 bcBY | 15.63 ± 1.29 aAY | 0.53 ± 0.05 dHX | 5.23 ± 0.18 bcGX | 8.27 ± 0.16 bFX | 18.25 ± 1.77 aEX |
| Phe (Bitter) (1,2,3,4) | 0.14 ± 0.03 dCY | 1.81 ± 0.14 cdCY | 3.61 ± 0.30 bcBY | 7.36 ± 0.63 aAY | 0.21 ± 0.02 dFX | 2.38 ± 0.15 cFX | 4.43 ± 0.10 bFX | 9.13 ± 0.84 aEX |
| Trp (Bitter) (1,2,3,4) | 0.06 ± 0.01 dCY | 0.50 ± 0.05 cdBY | 0.98 ± 0.12 bcBY | 2.24 ± 0.18 aAY | 0.08 ± 0.00 dGX | 0.65 ± 0.05 cFGX | 1.22 ±0.02 bFX | 2.63 ± 0.23 aEX |
| Bitter aas | 2.36 ± 0.39 dCY | 10.71 ± 0.48 cdBCY | 17.87 ± 1.63 bcBY | 40.78 ± 6.03 aAY | 3.32 ± 0.31 dGX | 14.02 ± 0.73 bcFGX | 22.15 ± 0.41 bFX | 49.01 ± 8.25 aEX |
| Hyp | 0.02 ± 0.00 cBY | 0.01 ± 0.00 cBX | 0.03 ± 0.01 bcBX | 0.09 ± 0.03 abAY | 0.03 ± 0.01 bcFX | 0.03 ± 0.01 bcFX | 0.03 ± 0.01 bcFX | 0.13 ± 0.03 aEX |
| Asn | 0.10 ± 0.02 eDY | 0.99 ± 0.09 cdeCY | 1.91 ± 0.11 bcBY | 4.77 ± 0.35 aDY | 0.16 ± 0.01 deGX | 1.41 ± 0.05 bcdFGX | 2.37 ± 0.07 bFX | 5.96 ± 0.64 aEX |
| Orn | 0.14 ± 0.03 cCX | 0.18 ± 0.00 bcBCY | 0.21 ± 0.04 bcBY | 0.33 ± 0.01 aAX | 0.20 ± 0.02 bcGX | 0.22 ± 0.01 bFX | 0.23 ± 0.02 bFX | 0.36 ± 0.02 aEX |
| Taste aas | 8.41 ± 1.61 eCY | 31.07 ± 1.77 cdeBCY | 49.48 ± 4.03 bcBY | 115.14 ± 17.06 aAY | 12.48 ± 1.13 deGX | 40.67 ± 1.81 bcdFGX | 61.18 ± 1.59 bFX | 139.99 ± 23.61 aEX |
| EAA c | 1.85 ± 0.60 dCX | 14.22 ± 1.14 cdCY | 25.78 ± 2.32 bcBY | 61.49 ± 9.04 aAX | 2.80 ± 0.32 dGX | 19.40 ± 0.85 bcFX | 32.12 ± 0.46 bFX | 73.83 ± 12.38 aEX |
| BCAA c | 0.71 ± 0.20 dCY | 6.79 ± 0.49 cdBY | 11.56 ± 1.01 bcBY | 28.02 ± 4.08 aAY | 1.09 ± 0.11 dGX | 9.13 ± 0.33 bcFX | 14.46 ± 0.27 bFX | 33.41 ± 5.76 aEX |
| Total aas | 10.51 ± 1.94 dCY | 34.33 ± 1.52 bcdBCY | 53.60 ± 4.37 bBY | 124.03 ± 18.64 aAY | 15.37 ± 1.51 cdGX | 44.70 ± 1.91 bcFGX | 66.07 ± 1.62 bFX | 151.20 ± 25.55 aEX |
| % taste d | 80.66 ± 0.56 cCX | 89.87 ± 1.78 bBX | 92.31 ± 0.11 aAX | 92.85 ± 0.19 aAX | 81.27 ± 0.72 cGX | 90.98 ± 0.16 abFX | 92.59 ± 0.17 aEX | 92.59 ± 0.04 aEX |
| % EAA d | 14.99 ± 2.27 cCX | 32.68 ± 4.76 bBX | 42.18 ± 0.36 aBX | 43.05 ± 0.14 aAX | 15.83 ± 0.24 cGX | 37.80 ± 0.11 abFX | 42.57 ± 0.48 aEX | 42.35 ± 0.13 aEX |
| %BCAA d | 6.64 ± 0.68 eCX | 20.77 ± 0.48 cdBX | 21.56 ± 0.13 bcABX | 22.61 ± 0.11 aAX | 7.11 ± 0.06 eGX | 20.43 ± 0.14 dFX | 21.88 ± 0.14 abEX | 22.09 ± 0.08 aEX |
| EUC (g MSG/100 g wet matter) | ||||||||
| 11.61 ± 0.73 dCY | 21.25 ± 0.95 cdBY | 22.86 ± 1.14 cdBX | 47.19 ± 8.93 bAY | 17.37 ± 1.33 cdGX | 24.40 ± 0.85 cdFX | 27.94 ± 3.39 cFX | 62.85 ± 10.41 aEX | |
| Taste Activity Values | Without US a | With US | |||||||
|---|---|---|---|---|---|---|---|---|---|
| Enzyme:Substrate Ratio (E/S) | 0 | 1:100 | 1:40 | 1:20 | 0 | 1:100 | 1:40 | 1:20 | |
| Amino Acid | Taste Threshold (mg/g) | ||||||||
| Asp | 1.0 b (1,2) | 0.51 | 1.09 | 1.54 | 3.57 | 0.73 | 1.43 | 1.89 | 4.72 |
| Glu | 0.3 (1,2,3) | 5.73 | 10.46 | 11.15 | 22.93 | 8.59 | 11.95 | 13.61 | 30.52 |
| Ser | 1.5 (1,2,3) | 0.25 | 0.94 | 1.66 | 3.96 | 0.34 | 1.29 | 2.06 | 4.78 |
| Gly | 1.3 (1,2,3) | 0.87 | 1.41 | 1.74 | 3.62 | 1.29 | 1.70 | 2.11 | 4.56 |
| Thr | 2.6 (1,2,3) | 0.07 | 0.48 | 0.85 | 2.07 | 0.14 | 0.66 | 1.05 | 2.50 |
| Ala | 0.6 (1,2,3) | 0.80 | 3.33 | 5.49 | 13.07 | 1.32 | 4.47 | 6.82 | 15.76 |
| Arg | 0.5 (1,2,3) | 0.37 | 4.74 | 8.19 | 18.88 | 0.55 | 6.50 | 9.92 | 22.65 |
| Pro | 3.0 (1,2,3) | 0.11 | 0.13 | 0.12 | 0.37 | 0.16 | 0.15 | 0.17 | 0.44 |
| Val | 0.4 (1,2,3) | 0.62 | 4.56 | 7.91 | 20.28 | 0.90 | 6.24 | 9.99 | 24.52 |
| Met | 0.3 (1,2,3) | 0.28 | 2.16 | 4.25 | 11.89 | 0.46 | 3.19 | 5.50 | 14.15 |
| Lys | 0.5 (1,2,3) | 1.25 | 5.17 | 9.55 | 22.26 | 1.69 | 7.29 | 11.72 | 26.71 |
| Tau | 18.8 (3) | 0.08 | 0.10 | 0.09 | 0.15 | 0.11 | 0.11 | 0.11 | 0.19 |
| His | 0.2 (1,2,3) | 0.32 | 3.17 | 6.84 | 18.96 | 0.36 | 4.63 | 8.84 | 22.85 |
| Tyr | 0.9 (3) | 0.12 | 1.04 | 1.88 | 4.84 | 0.10 | 1.44 | 2.38 | 5.80 |
| Ile | 0.9 (1,2,3) | 0.14 | 1.14 | 1.97 | 4.76 | 0.22 | 1.56 | 2.44 | 5.94 |
| Leu | 1.9 (1,2,3) | 0.18 | 2.08 | 3.48 | 8.22 | 0.28 | 2.75 | 4.35 | 9.61 |
| Phe | 0.9 (1,2,3) | 0.15 | 2.02 | 4.01 | 8.18 | 0.23 | 2.64 | 4.92 | 10.15 |
| Trp | 0.9 (3) | 0.07 | 0.56 | 1.09 | 2.48 | 0.09 | 0.72 | 1.35 | 2.92 |
| Enzyme:Substrate Ratio | 1:100 | 1:100 Ultrasound | 1:20 | 1:20 Ultrasound |
|---|---|---|---|---|
| Total Peptides | 2792 | 2856 | 2520 | 2800 |
| Bioactive peptides > 0.5 a | 277 | 305 | 317 | 392 |
| Bioactive peptides > 0.9 | 10 | 10 | 13 | 18 |
| Umami peptides b | 1511 | 1502 | 1188 | 1299 |
| Bitter peptides b | 851 | 843 | 762 | 790 |
| Nº | Sequence | PRK a | FRS Score | CHEL Score | Allergencity | Toxicity | CPP | AMP | ACE | DPPIV | Umaminess | Bitterness |
|---|---|---|---|---|---|---|---|---|---|---|---|---|
| 1 | GFDPFLF | 0.991 | 0.46 | 0.25 | Yes | No | No | No | No | Yes | No | Yes |
| 2 | PPPFFPPRLPP | 0.971 | 0.59 | 0.30 | No | No | Yes | No | No | No | No | Yes |
| 3 | ADHPFLF | 0.970 | 0.51 | 0.29 | No | No | No | No | No | No | No | No |
| 4 | GWPLPPPYP | 0.963 | 0.64 | 0.30 | No | No | Yes | No | Yes | No | No | No |
| 5 | YPWTQRFF | 0.956 | 0.48 | 0.20 | Yes | No | Yes | No | Yes | No | No | Yes |
| 6 | RPPPFFPPRLPP | 0.953 | 0.60 | 0.29 | No | No | Yes | No | No | Yes | No | Yes |
| 7 | GGGGGGGGGGGLGGGLG | 0.951 | 0.52 | 0.17 | No | No | No | No | No | Yes | No | Yes |
| 8 | GDSWGILF | 0.951 | 0.47 | 0.22 | No | No | No | No | No | No | No | No |
| 9 | WDPFRDWYP | 0.948 | 0.48 | 0.21 | Yes | No | Yes | No | Yes | Yes | No | Yes |
| 10 | GAPSFPLG | 0.942 | 0.44 | 0.25 | No | No | No | No | No | Yes | No | Yes |
| 11 | GDGWWGPGSRP | 0.939 | 0.63 | 0.23 | No | No | Yes | No | Yes | No | Yes | Yes |
| 12 | GGGGGGGGGGGLGGGLGN | 0.937 | 0.49 | 0.16 | No | No | No | No | No | Yes | No | Yes |
| 13 | GDGWWGPGS | 0.930 | 0.62 | 0.20 | No | No | Yes | No | Yes | No | Yes | Yes |
| 14 | WDPFRDWYPA | 0.928 | 0.53 | 0.20 | Yes | No | Yes | No | Yes | No | No | No |
| 15 | FGGAPSFPL | 0.926 | 0.48 | 0.24 | No | No | No | No | No | Yes | No | Yes |
| 16 | FPDPPPLSPPVLG | 0.925 | 0.46 | 0.30 | No | No | Yes | No | No | No | No | No |
| 17 | DFLGDSWGILF | 0.925 | 0.43 | 0.22 | Yes | No | No | No | No | No | No | Yes |
| 18 | GGAPSFPLGSPL | 0.925 | 0.46 | 0.26 | No | No | Yes | No | No | Yes | No | Yes |
| 19 | GPPDPILG | 0.922 | 0.43 | 0.25 | No | No | No | No | No | Yes | No | Yes |
| 20 | VYPWTQRFF | 0.913 | 0.50 | 0.20 | Yes | No | Yes | No | Yes | No | No | Yes |
| 21 | GPSGPPGLP | 0.912 | 0.57 | 0.28 | No | No | Yes | No | No | Yes | No | No |
| 22 | SPSWDPFRDWYPAH | 0.911 | 0.47 | 0.22 | Yes | No | Yes | No | Yes | No | No | No |
| 23 | GPPDPIL | 0.907 | 0.46 | 0.27 | No | No | No | No | No | Yes | No | Yes |
| 24 | GNNTPIFF | 0.906 | 0.44 | 0.24 | Yes | No | Yes | No | No | No | No | Yes |
| 25 | GAGGPGAGGFG | 0.900 | 0.50 | 0.23 | No | No | No | No | No | Yes | No | Yes |
| Nº | Sequence | Protein of Origin | Hydrolyzate | In Silico Gastrointestinal Digestion a |
|---|---|---|---|---|
| 1 | GFDPFLF | Xaa-Pro aminopeptidase 2 | 1:20 US | GF b—DPF—L—F - |
| 2 | PPPFFPPRLPP | Antibacterial protein PR-39 | 1:100, 1:100 US, 1:20 | PPPF—F—PPR—L—PP |
| 3 | ADHPFLF | Leukocyte elastase inhibitor | 1:20 US | ADH—PF—L—F - |
| 4 | GWPLPPPYP | Tryptase | 1:20 US | GW—PL—PPPY—P |
| 5 | YPWTQRFF | Hemoglobin subunit beta | 1:100, 1:100 US, 1:20 US | Y—PW—TQR—F—F - |
| 6 | RPPPFFPPRLPP | Antibacterial protein PR-39 | 1:20, 1:20 US | R—PPPF—F—PPR—L—PP |
| 7 | GGGGGGGGGGGLGGGLG | Calpain small subunit 1 | 1:100, 1:100 US, 1:20, 1:20 US | GGGGGGGGGGGL—GGGL—G |
| 8 | GDSWGILF | Peroxiredoxin-6 | 1:100, 1:100 US, 1:20 | GDSW—GIL—F - |
| 9 | WDPFRDWYP | Heat shock protein beta-1 | 1:100 US | W—DPF—R—DW—Y—P |
| 10 | GAPSFPLG | Desmin | 1:100 | GAPSF—PL—G |
| 11 | GDGWWGPGSRP | Epoxide hydrolase 1 | 1:20 US | GDGW—W—GPGSR—P |
| 12 | GGGGGGGGGGGLGGGLGN | Calpain small subunit 1 | 1:100, 1:100 US, 1:20, 1:20 US | GGGGGGGGGGGL—GGGL—GN - |
| 13 | GDGWWGPGS | Epoxide hydrolase 1 | 1:20 | GDGW—W—GPGS |
| 14 | WDPFRDWYPA | Heat shock protein beta-1 | 1:20, 1:20 US | W—DPF—R—DW—Y—PA |
| 15 | FGGAPSFPL | Desmin | 1:20 | F—GGAPSF—PL - |
| 16 | FPDPPPLSPPVLG | ATP-binding cassette sub-family F member 1 | 1:20 US | F—PDPPPL—SPPVL—G |
| 17 | DFLGDSWGILF | Peroxiredoxin-6 | 1:100 | DF—L—GDSW—GIL—F - |
| 18 | GGAPSFPLGSPL | Desmin | 1:100, 1:100 US, 1:20, 1:20 US | GGAPSF—PL—GSPL - |
| 19 | GPPDPILG | Aspartate aminotransferase, mitochondrial | 1:100, 1:100 US, 1:20, 1:20 US | GPPDPIL—G |
| 20 | VYPWTQRFF | Hemoglobin subunit beta | 1:20 US | VY—PW—TQR—F—F - |
| 21 | GPSGPPGLP | Complement C1q subcomponent subunit A | 1:20 US | GPSGPPGL—P |
| 22 | SPSWDPFRDWYPAH | Heat shock protein beta-1 | 1:100 US, 1:20 US | SPSW—DPF—R—DW—Y—PAH - |
| 23 | GPPDPIL | Aspartate aminotransferase, mitochondrial | 1:20, 1:20 US | GPPDPIL- |
| 24 | GNNTPIFF | Catalase | 1:20, 1:20 US | GN—N—TPIF—F - |
| 25 | GAGGPGAGGFG | Heat shock 70 kDa protein 1B | 1:100, 1:100 US, 1:20, 1:20 US | GAGGPGAGGF—G |
| Nº | 1 | 2 | 3 | 4 | 5 | 6 | 7 | 8 | 9 |
|---|---|---|---|---|---|---|---|---|---|
| Digestion fragment | PPPF | PW | GW | DF | GF | PF | GIL | PL | VY |
| Location | P2, P6 | P5, P20 | P4 | P17 | P1 | P3 | P8, P17 | P4, P10, P15, P18 | P20 |
| Peptide Ranker score a | 0.96 | 0.95 | 0.95 | 0.94 | 0.93 | 0.92 | 0.61 | 0.51 | 0.1 |
| Toxicity | No | No | No | No | No | No | No | No | No |
| CPP | Yes | Yes | Yes | Yes | Yes | Yes | No | Yes | No |
| FRS score | 0.5 | 0.53 | 0.52 | 0.38 | 0.44 | 0.45 | 0.37 | 0.43 | 0.49 |
| CHEL score | 0.32 | 0.28 | 0.26 | 0.28 | 0.28 | 0.3 | 0.25 | 0.31 | 0.24 |
| ACE | No | Yes | No | No | No | No | No | No | Yes |
| DPPIV | Yes | Yes | Yes | Yes | Yes | Yes | Yes | Yes | Yes |
| Umaminess | No | No | No | Yes | No | No | No | No | No |
| Bitterness | Yes | Yes | Yes | Yes | Yes | Yes | No | No | Yes |
| Taste BIOPEP | x | x | x | x | Bitter | Bitter | x | Bitter | Bitter |
| SVM Score | −0.84 | −0.63 | −0.7 | −0.8 | −0.87 | −0.87 | −0.79 | −0.7 | −0.8 |
| Hydrophobicity | 0.07 | 0.07 | 0.13 | −0.05 | 0.19 | 0.14 | 0.47 | 0.12 | 0.28 |
| Steric hindrance | 0.3 | 0.21 | 0.3 | 0.73 | 0.34 | 0.27 | 0.64 | 0.22 | 0.7 |
| Sidebulk | 0.3 | 0.21 | 0.3 | 0.73 | 0.34 | 0.27 | 0.64 | 0.22 | 0.7 |
| Hydropathicity | −0.33 | −0.62 | −0.33 | −0.35 | 0.6 | 0.3 | 2.63 | 0.55 | 1.45 |
| Amphipathicity | 0 | 0 | 0 | 0 | 0 | 0 | 0 | 0 | 0 |
| Hydrophilicity | −0.42 | −0.85 | −0.85 | 0.25 | −0.62 | −0.62 | −1.2 | −0.45 | −1.9 |
| Net Hydrogen | 0 | 0.25 | 0.25 | 0.5 | 0 | 0 | 0 | 0 | 0.5 |
| Charge | 0 | 0 | 0 | −1 | 0 | 0 | 0 | 0 | 0 |
| pI | 5.88 | 5.88 | 5.88 | 3.8 | 5.88 | 5.88 | 5.88 | 5.88 | 5.88 |
| Mol wt | 750.96 | 673.82 | 633.76 | 280.29 | 516.64 | 556.7 | 301.43 | 454.67 | 280.34 |
| Bioactivities Reported b | DPPCP c | ANTIOX | ACE | ACE | ACE | DPPIV | ACE | ACE | ACE |
| DPPIV | DPPIV | GCII | DPPIV | DPPIII | DPPIV | ANTIOX | |||
| ANTIOX | DPPIII | ACE2 | XAA | DPPIV | |||||
| TPPII | TPPII | LCP | DPPIII | ||||||
| ACYLP | TPPII |
Disclaimer/Publisher’s Note: The statements, opinions and data contained in all publications are solely those of the individual author(s) and contributor(s) and not of MDPI and/or the editor(s). MDPI and/or the editor(s) disclaim responsibility for any injury to people or property resulting from any ideas, methods, instructions or products referred to in the content. |
© 2025 by the authors. Licensee MDPI, Basel, Switzerland. This article is an open access article distributed under the terms and conditions of the Creative Commons Attribution (CC BY) license (https://creativecommons.org/licenses/by/4.0/).
Share and Cite
López-Martínez, M.I.; Toldrá, F.; Morcillo-Martínez, S.; Mora, L. Impact of Ultrasound Pretreatment and Enzyme Concentration on Taste and Biological Activities of Porcine Lung Hydrolyzates. Foods 2025, 14, 3243. https://doi.org/10.3390/foods14183243
López-Martínez MI, Toldrá F, Morcillo-Martínez S, Mora L. Impact of Ultrasound Pretreatment and Enzyme Concentration on Taste and Biological Activities of Porcine Lung Hydrolyzates. Foods. 2025; 14(18):3243. https://doi.org/10.3390/foods14183243
Chicago/Turabian StyleLópez-Martínez, Manuel Ignacio, Fidel Toldrá, Sandra Morcillo-Martínez, and Leticia Mora. 2025. "Impact of Ultrasound Pretreatment and Enzyme Concentration on Taste and Biological Activities of Porcine Lung Hydrolyzates" Foods 14, no. 18: 3243. https://doi.org/10.3390/foods14183243
APA StyleLópez-Martínez, M. I., Toldrá, F., Morcillo-Martínez, S., & Mora, L. (2025). Impact of Ultrasound Pretreatment and Enzyme Concentration on Taste and Biological Activities of Porcine Lung Hydrolyzates. Foods, 14(18), 3243. https://doi.org/10.3390/foods14183243

