The Sensory and Emotional Response to Different Tableware Materials
Abstract
1. Introduction
2. Materials and Methods
2.1. Food and Tableware Samples
2.2. Consumer Testing
2.2.1. Ranking of the Tableware Materials
2.2.2. Assessment of Emotional Responses
2.2.3. Acceptance and Attribute Intensity Testing
2.3. Descriptive Sensory Testing of Tableware Sets
2.4. Statistical Analysis
3. Results
3.1. Survey of Tableware Materials
3.2. Emotional Responses
3.3. Results of Acceptance and Attribute Intensity Testing
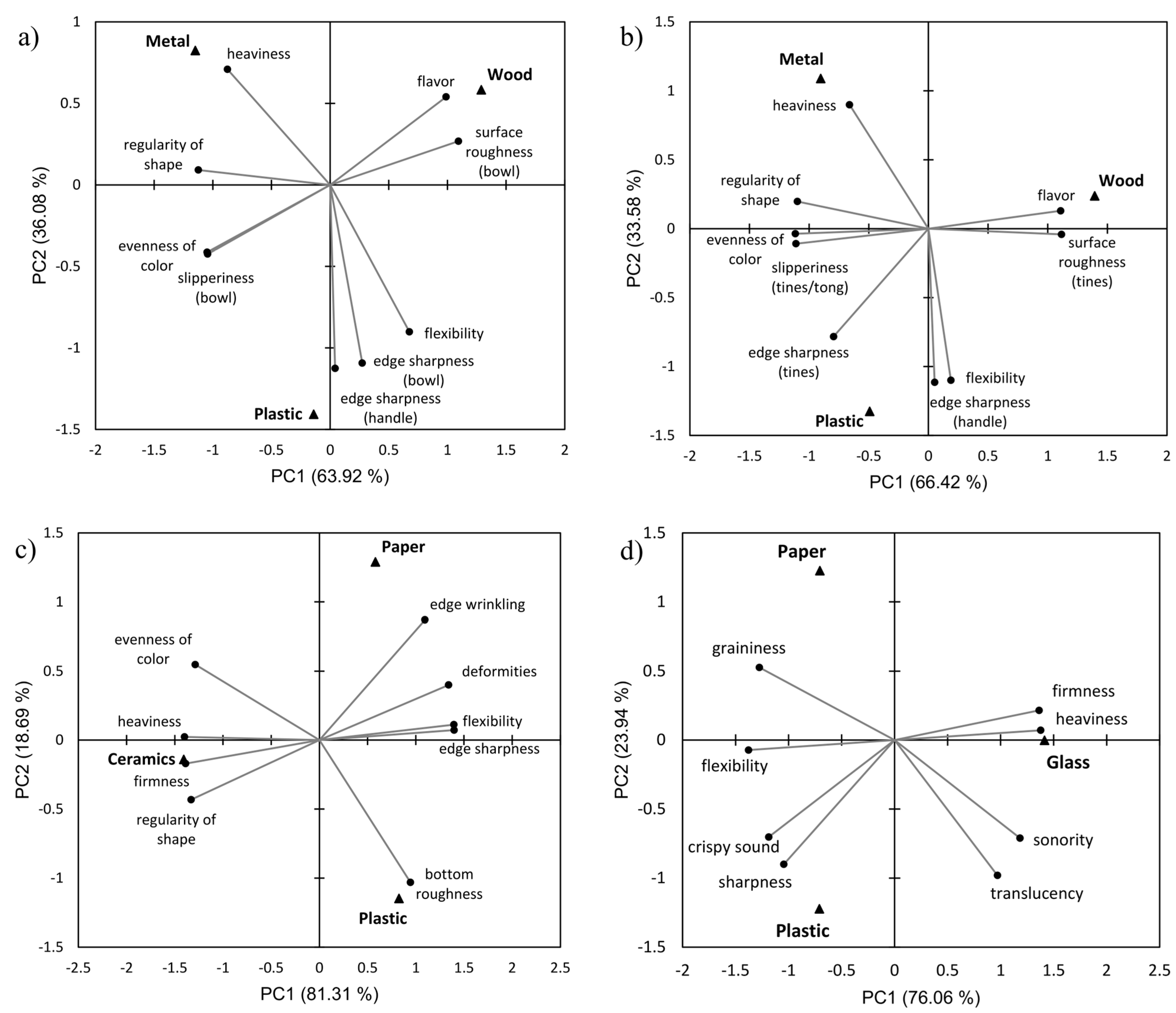
3.4. Descriptive Analysis
4. Discussion
4.1. Limitations of the Study
4.2. Further Research
5. Conclusions
Supplementary Materials
Author Contributions
Funding
Institutional Review Board Statement
Informed Consent Statement
Data Availability Statement
Acknowledgments
Conflicts of Interest
References
- De Boer, M.; McCarthy, M.; Cowan, C.; Ryan, I. The Influence of Lifestyle Characteristics and Beliefs about Convenience Food on the Demand for Convenience Foods in the Irish Market. Food Qual. Prefer. 2004, 15, 155–165. [Google Scholar] [CrossRef]
- Smith, L.P.; Ng, S.W.; Popkin, B.M. Trends in US Home Food Preparation and Consumption: Analysis of National Nutrition Surveys and Time Use Studies from 1965–1966 to 2007–2008. Nutr. J. 2013, 12, 45. [Google Scholar] [CrossRef]
- Ncube, L.K.; Ude, A.U.; Ogunmuyiwa, E.N.; Zulkifli, R.; Beas, I.N. Environmental Impact of Food Packaging Materials: A Review of Contemporary Development from Conventional Plastics to Polylactic Acid Based Materials. Materials 2020, 13, 4994. [Google Scholar] [CrossRef]
- Suskevice, V.; Grönman, K. Single-Use Paper Cups Circularity Improvement and Environmental Impact Mitigation Measures for Lappeenranta University of Technology Campus. In Proceedings of the Innovations-Sustainability-Modernity-Openness Conference (ISMO’19), Bialystok, Poland, 22–23 May 2019; p. 58. [Google Scholar]
- Landon-Lane, M. Corporate Social Responsibility in Marine Plastic Debris Governance. Mar. Pollut. Bull. 2018, 127, 310–319. [Google Scholar] [CrossRef]
- Geyer, R.; Jambeck, J.R.; Law, K.L. Production, Use, and Fate of All Plastics Ever Made. Sci. Adv. 2017, 3, e1700782. [Google Scholar] [CrossRef] [PubMed]
- Ritch, E.; Brennan, C.; MacLeod, C. Plastic Bag Politics: Modifying Consumer Behaviour for Sustainable Development. Int. J. Consum. Stud. 2009, 33, 168–174. [Google Scholar] [CrossRef]
- Marn, N.; Jusup, M.; Kooijman, S.A.L.M.; Klanjscek, T. Quantifying Impacts of Plastic Debris on Marine Wildlife Identifies Ecological Breakpoints. Ecol. Lett. 2020, 23, 1479–1487. [Google Scholar] [CrossRef]
- Leslie, H.A.; van Velzen, M.J.M.; Brandsma, S.H.; Vethaak, A.D.; Garcia-Vallejo, J.J.; Lamoree, M.H. Discovery and Quantification of Plastic Particle Pollution in Human Blood. Environ. Int. 2022, 163, 107199. [Google Scholar] [CrossRef]
- European Commission. European Green Deal: Putting an End to Wasteful Packaging, Boosting Reuse and Recycling; European Commission: Brussels, Belgium, 2022.
- European Commission. Directive 2019/904 of the European Parliament and of the Council of 5 June 2019 on the Reduction of the Impact of Certain Plastic Products on the Environment; European Commission: Brussels, Belgium, 2019.
- Reuters Staff. Trump Pushes Use of Plastic Straws as US Defies Global Trend of Bans. Reuters, 12 February 2025.
- Petrović, T.; Djekić, I. Sustainable Perspectives of Disposable Tableware: A Systematic Review. Sustainability 2025, 17, 1434. [Google Scholar] [CrossRef]
- Meilgaard, M.; Civille, G.; Carr, K.T. Sensory Evaluation Techniques, 5th ed.; CRC Press: Boca Raton, FL, USA, 2015. [Google Scholar]
- Piqueras-Fiszman, B.; Spence, C. Do The Material Properties Of Cutlery Affect The Perception Of The Food You Eat? An Exploratory Study. J. Sens. Stud. 2011, 26, 358–362. [Google Scholar] [CrossRef]
- Skaczkowski, G.; Durkin, S.; Kashima, Y.; Wakefield, M. The Effect of Packaging, Branding and Labeling on the Experience of Unhealthy Food and Drink: A Review. Appetite 2016, 99, 219–234. [Google Scholar] [CrossRef] [PubMed]
- Blackwell, L. Visual Cues and Their Effects on Odour Assessment. Nutr. Food Sci. 1995, 95, 24–28. [Google Scholar] [CrossRef]
- Zellner, D.A.; Kautz, M.A. Color Affects Perceived Odor Intensity. J. Exp. Psychol. Hum. Percept. Perform. 1990, 16, 391–397. [Google Scholar] [CrossRef]
- Masson, M.; Delarue, J.; Bouillot, S.; Sieffermann, J.-M.; Blumenthal, D. Beyond Sensory Characteristics, How Can We Identify Subjective Dimensions? A Comparison of Six Qualitative Methods Relative to a Case Study on Coffee Cups. Food Qual. Prefer. 2016, 47, 156–165. [Google Scholar] [CrossRef]
- Spence, C.; Carvalho, F.M. Assessing the Influence of the Coffee Cup on the Multisensory Tasting Experience. Food Qual. Prefer. 2019, 75, 239–248. [Google Scholar] [CrossRef]
- Carvalho, F.M.; Moksunova, V.; Spence, C. Cup Texture Influences Taste and Tactile Judgments in the Evaluation of Specialty Coffee. Food Qual. Prefer. 2020, 81, 103841. [Google Scholar] [CrossRef]
- Van Doorn, G.H.; Wuillemin, D.; Spence, C. Does the Colour of the Mug Influence the Taste of the Coffee? Flavour 2014, 3, 10. [Google Scholar] [CrossRef]
- Hummel, T.; Delwiche, J.F.; Schmidt, C.; Hüttenbrink, K.-B. Effects of the Form of Glasses on the Perception of Wine Flavors: A Study in Untrained Subjects. Appetite 2003, 41, 197–202. [Google Scholar] [CrossRef]
- Tomic, N.; Smigic, N.; Udovicki, B.; Djekic, I. Influence of Drinking Cups of Different Materials on Emotional and Acceptance Responses, and Perception of Sensory Attributes of Soft Drinks. Food Qual. Prefer. 2024, 120, 105252. [Google Scholar] [CrossRef]
- Piqueras-Fiszman, B.; Laughlin, Z.; Miodownik, M.; Spence, C. Tasting Spoons: Assessing How the Material of a Spoon Affects the Taste of the Food. Food Qual. Prefer. 2012, 24, 24–29. [Google Scholar] [CrossRef]
- Piqueras-Fiszman, B.; Spence, C. The Influence of the Feel of Product Packaging on the Perception of the Oral-Somatosensory Texture of Food. Food Qual. Prefer. 2012, 26, 67–73. [Google Scholar] [CrossRef]
- Hasegawa, T.; Sakai, N. Comparing Meal Satisfaction Based on Different Types of Tableware: An Experimental Study of Japanese Cuisine Culture. Foods 2021, 10, 1546. [Google Scholar] [CrossRef]
- Schifferstein, H.N.J. The Drinking Experience: Cup or Content? Food Qual. Prefer. 2009, 20, 268–276. [Google Scholar] [CrossRef]
- Spence, C.; Gallace, A. Multisensory Design: Reaching out to Touch the Consumer. Psychol. Mark. 2011, 28, 267–308. [Google Scholar] [CrossRef]
- Macht, M.; Meininger, J.; Roth, J. The Pleasures of Eating: A Qualitative Analysis. J. Happiness Stud. 2005, 6, 137–160. [Google Scholar] [CrossRef]
- Rosenstein, D.; Oster, H. Differential Facial Responses to Four Basic Tastes in Newborns. Child. Dev. 1988, 59, 1555–1568. [Google Scholar] [CrossRef] [PubMed]
- Pramudya, R.C.; Singh, A.; Seo, H.-S. A Sip of Joy: Straw Materials Can Influence Emotional Responses to, and Sensory Attributes of Cold Tea. Food Qual. Prefer. 2021, 88, 104090. [Google Scholar] [CrossRef]
- Miller, L.J.; Lu, W. Gen Z Is Set to Outnumber Millennials Within a Year. Bloomberg, 20 August 2018. [Google Scholar]
- Su, C.-H.; Tsai, C.-H.; Chen, M.-H.; Lv, W.Q. U.S. Sustainable Food Market Generation Z Consumer Segments. Sustainability 2019, 11, 3607. [Google Scholar] [CrossRef]
- Jaciow, M.; Wolny, R. New Technologies in the Ecological Behavior of Generation Z. Procedia Comput. Sci. 2021, 192, 4780–4789. [Google Scholar] [CrossRef]
- King, S.C.; Meiselman, H.L. Development of a Method to Measure Consumer Emotions Associated with Foods. Food Qual. Prefer. 2010, 21, 168–177. [Google Scholar] [CrossRef]
- Heymann, H.; King, E.S.; Hopfer, H. Classical Descriptive Analysis. In Novel Techniques in Sensory Characterization and Consumer Profiling; CRC Press, Taylor & Francis Group: Boca Raton, FL, USA, 2014; pp. 9–40. [Google Scholar]
- Delarue, J. Flash Profile. In Novel Techniques in Sensory Characterization and Consumer Profiling; CRC Press, Taylor & Francis Group: Boca Raton, FL, USA, 2014; pp. 175–205. [Google Scholar]
- Romano, R.; Brockhoff, P.B.; Hersleth, M.; Tomic, O.; Næs, T. Correcting for Different Use of the Scale and the Need for Further Analysis of Individual Differences in Sensory Analysis. Food Qual. Prefer. 2008, 19, 197–209. [Google Scholar] [CrossRef]
- Creator. RStudio: Integrated Development Environment for R 2023; Posit: Boston, MA, USA, 2023. [Google Scholar]
- Spence, C. The Multisensory Science and Aesthetics of Teaware. Int. J. Gastron. Food Sci. 2024, 38, 101041. [Google Scholar] [CrossRef]
- Harrar, V.; Spence, C. The Taste of Cutlery: How the Taste of Food Is Affected by the Weight, Size, Shape, and Colour of the Cutlery Used to Eat It. Flavour 2013, 2, 21. [Google Scholar] [CrossRef]
- Kampfer, K.; Leischnig, A.; Ivens, B.S.; Spence, C. Touch-Flavor Transference: Assessing the Effect of Packaging Weight on Gustatory Evaluations, Desire for Food and Beverages, and Willingness to Pay. PLoS ONE 2017, 12, e0186121. [Google Scholar] [CrossRef]
- Piqueras-Fiszman, B.; Harrar, V.; Alcaide, J.; Spence, C. Does the Weight of the Dish Influence Our Perception of Food? Food Qual. Prefer. 2011, 22, 753–756. [Google Scholar] [CrossRef]
- Schouteten, J.J.; De Pelsmaeker, S.; Juvinal, J.; Lagast, S.; Dewettinck, K.; Gellynck, X. Influence of Sensory Attributes on Consumers’ Emotions and Hedonic Liking of Chocolate. Br. Food J. 2018, 120, 1489–1503. [Google Scholar] [CrossRef]
- Lawless, H.T.; Heymann, H. Sensory Evaluation of Food: Principles and Practices; Food Science Text Series; Springer: New York, NY, USA, 2010; ISBN 978-1-4419-6487-8. [Google Scholar]
- Zellner, D.A.; Allen, D.; Henley, M.; Parker, S. Hedonic Contrast and Condensation: Good Stimuli Make Mediocre Stimuli Less Good and Less Different. Psychon. Bull. Rev. 2006, 13, 235–239. [Google Scholar] [CrossRef]
- Senate of the University of Belgrade. The Code of Professional Ethics of the University of Belgrade; University of Belgrade: Beograd, Serbia, 2016; p. 16. [Google Scholar]


| Tableware Item | Material | Weight (g) | Height/Outer Diameter (cm) |
|---|---|---|---|
| The regular set of tableware | |||
| Spoon | Steel | 35.76 ± 0.40 | 17.14 ± 0.23 |
| Fork | Steel | 37.14 ± 0.21 | 20.1 ± 0.10 |
| Knife | Steel | 81.42 ± 1.32 | 23.48 ± 0.11 |
| Plate (deep) | Ceramic | 411.27 ± 10.35 | 19.98 ± 0.04 |
| Plate (shallow) | Ceramic | 557 ± 8.67 | 25.08 ± 0.08 |
| Cup | Glass | 259.72 ± 1.57 | 7.56 ± 0.05 |
| The wooden set of tableware | |||
| Spoon | Wood | 2.65 ± 0.42 | 15.9 ± 0.14 |
| Fork | Wood | 2.49 ± 0.19 | 15.8 ± 0.12 |
| Knife | Wood | 2.65 ± 0.23 | 16.46 ± 0.11 |
| Plate (deep) | Paper | 12.70 ± 0.01 | 19.68 ± 0.19 |
| Plate (shallow) | Paper | 11.01 ± 0.06 | 21.68 ± 0.13 |
| Cup | Paper | 4.40 ± 0.03 | 6.9 ± 0.14 |
| Plastic set of tableware | |||
| Spoon | Plastic | 2.44 ± 0.16 | 16.3 ± 0.32 |
| Fork | Plastic | 2.22 ± 0.14 | 16.3 ± 0.19 |
| Knife | Plastic | 2.24 ± 0.03 | 16.42 ± 0.16 |
| Plate (deep) | Plastic | 8.69 ± 0.34 | 20.38 ± 0.16 |
| Plate (shallow) | Plastic | 10.33 ± 0.20 | 20.54 ± 0.15 |
| Cup | Plastic | 2.52 ± 0.05 | 6.88 ± 0.08 |
| Attribute | Definition | Characteristic |
|---|---|---|
| SPOON | ||
| Visual perception: | ||
| Evenness of color | The evenness of distribution of the color, not blotchy | Uneven/Blotchy—Even |
| Regularity of shape | Regularity of the shape of the spoon (regular, not distorted, not bent, not curved) | Distorted/Bent—Regular |
| Feeling in the hands: | ||
| Heaviness | The feeling in a part of the body of weighing a lot and being difficult to move | Light—Heavy |
| Flexibility | The ability of the spoon to bend without breaking when force is applied | Inflexible—Flexible |
| Slipperiness (handle/thumb) | Ease of sliding the thumb over the handle of the spoon | Drag—Slip |
| Edge sharpness (handle) | The amount of irregularity at the edges of the spoon handle or the possession of a pronounced, sharp edge that scratches or cuts | Smooth—Rough/Sharp |
| Feeling in contact with the lips: | ||
| Edge sharpness (bowl) | The amount of irregularity at the edges of the spoon bowl or the possession of a pronounced, sharp edge that scratches or cuts | Smooth—Rough/Sharp |
| Surface roughness (bowl) | The overall roughness of the surface of the spoon bowl | Smooth—Rough |
| Feeling in contact with the tongue: | ||
| Slipperiness (bowl/tongue) | Ease to slide tongue over the spoon bowl | Drag—Slip |
| Flavor intensity | The intensity of the overall flavor of the material | None—Intensive |
| FORK | ||
| Visual perception: | ||
| Evenness of color | The evenness of distribution of the color, not blotchy | Uneven/Blotchy—Even |
| Regularity of shape | Regularity of the shape of the fork (regular, not distorted, not bent, not curved) | Distorted/Bent—Regular |
| Feeling in the hands: | ||
| Heaviness | The feeling in a part of the body of weighing a lot and being difficult to move | Light—Heavy |
| Flexibility | The ability of the fork to bend without breaking when force is applied | Inflexible—Flexible |
| Slipperiness (handle/thumb) | Ease to slide thumb over the handle of the fork | Drag—Slip |
| Edge sharpness (handle) | The amount of irregularity at the edges of the fork handle or the possession of a pronounced sharp edge that scratches or cuts | Smooth—Rough/Sharp |
| Feeling in contact with the lips: | ||
| Edge sharpness (tines) | The amount of irregularity at the edges of the fork head (tines) or the possession of a pronounced sharp edge that scratches or cuts | Smooth—Rough/Sharp |
| Surface roughness (tines) | The overall roughness of the surface of the fork head | Smooth—Rough |
| Feeling in contact with the tongue: | ||
| Slipperiness (tines/tongue) | Ease to slide tongue over the fork head | Drag—Slip |
| Flavor intensity | The intensity of the overall flavor of the material | None—Intensive |
| PLATE | ||
| Visual perception: | ||
| Evenness of color | The evenness of distribution of the color, not blotchy | Uneven/Blotchy—Even |
| Regularity of shape | Regularity of the shape of the plate (regular, not distorted, not bent, not curved) | Distorted/Bent—Regular |
| Bottom roughness | The amount of irregularity, protrusions, grains, or bumps that can be seen on the bottom of the plate | Smooth—Rough |
| Edge wrinkling | Flat—Wrinkled | |
| Presence of deformities | None—Intensive | |
| Feeling in the hands: | ||
| Heaviness | The feeling in a part of the body of weighing a lot and being difficult to move | Light—Heavy |
| Flexibility | The ability of the plate to bend without breaking when force is applied | Inflexible—Flexible |
| Firmness | The force required to bend the plate | Soft—Firm |
| Edge sharpness | The amount of irregularity on the edge of the plate or possession of a pronounced sharp edge that scratches or cuts | Smooth—Rough/Sharp) |
| CUP | ||
| Visual perception: | ||
| Translucency | A phenomenon that occurs between the extremes of opaqueness and transparency, partial transparency. Possibility of transmitting and scattering the light at the same time. | Opaque—Transparent |
| Feeling in the hands: | ||
| Heaviness | The feeling that a part of the body weighs a lot and is difficult to move. | Light—Heavy |
| Flexibility | The ability of the cup to bend without breaking when force is applied. | Inflexible—Flexible |
| Firmness | The force required to compress between fingers. | Soft—Firm |
| Crispy/Rustle sound | The noise/sound with which the cup crumples or fractures. | No sound—Crispy/Rustle |
| Feeling in contact with the lips: | ||
| Roughness/Sharpness | The amount of irregularity on the rim of the cup or possession of a pronounced sharp rim that scratches or cuts the lips. | Smooth—Rough/Sharp |
| Graininess | Number of small grains/particles on surface below the rim. | Smooth—Grainy |
| Moistness | Sensation of the transfer of moisture from the lips to the surface of the glass. | Dry—Moist |
| Feeling in contact with the teeth: | ||
| Sonority | The property of producing a ringing sound when struck with teeth. | Dull sound—Ringing sound |
| Emotion Terms | Type of Tableware | Warm Animal-Based Meal—PORK Stew (n = 59) | Warm Plant-Based Meal—Peas (n = 61) | Cold Animal-Based Meal—Cheese-Meat (n = 62) | Cold Plant-Based Meal—Salads (n = 60) |
|---|---|---|---|---|---|
| Calm | Regular | 0.695 (a) | 0.705 (a) | 0.887 (b) | 0.817 (a) |
| Wood | 0.729 (a) | 0.623 (a) | 0.694 (a) | 0.717 (a) | |
| Plastic | 0.695 (a) | 0.721 (a) | 0.726 (a) | 0.733 (a) | |
| Nervous | Regular | - | - | 0.065 (a) | 0.033 (a) |
| Wood | - | - | 0.210 (b) | 0.167 (b) | |
| Plastic | - | - | 0.161 (ab) | 0.100 (ab) | |
| Good | Regular | 0.847 (a) | 0.770 (a) | - | 0.867 (b) |
| Wood | 0.729 (a) | 0.689 (a) | - | 0.667 (a) | |
| Plastic | 0.814 (a) | 0.787 (a) | - | 0.767 (ab) | |
| Bad | Regular | - | - | - | 0.017 (a) |
| Wood | - | - | - | 0.150 (b) | |
| Plastic | - | - | - | 0.133 (ab) | |
| Comfortable | Regular | 0.831 (b) | 0.705 (b) | 0.839 (b) | 0.850 (b) |
| Wood | 0.593 (a) | 0.557 (a) | 0.613 (a) | 0.600 (a) | |
| Plastic | 0.729 (ab) | 0.721 (b) | 0.694 (ab) | 0.733 (ab) | |
| Irritated | Regular | - | - | 0.032 (a) | 0.050 (a) |
| Wood | - | - | 0.194 (b) | 0.150 (a) | |
| Plastic | - | - | 0.145 (ab) | 0.133 (a) | |
| Energetic | Regular | 0.644 (b) | 0.639 (a) | 0.742 (b) | 0.700 (b) |
| Wood | 0.492 (a) | 0.590 (a) | 0.581 (ab) | 0.517 (a) | |
| Plastic | 0.576 (ab) | 0.623 (a) | 0.548 (a) | 0.567 (ab) | |
| Tormented | Regular | - | - | 0.048 (a) | - |
| Wood | - | - | 0.210 (b) | - | |
| Plastic | - | - | 0.161 (ab) | - | |
| Interested | Regular | 0.712 (a) | 0.721 (b) | 0.790 (b) | 0.750 (b) |
| Wood | 0.593 (a) | 0.508 (a) | 0.629 (ab) | 0.600 (ab) | |
| Plastic | 0.729 (a) | 0.689 (b) | 0.597 (a) | 0.550 (a) | |
| Bored | Regular | - | - | - | 0.050 (a) |
| Wood | - | - | - | 0.183 (b) | |
| Plastic | - | - | - | 0.167 (ab) | |
| Pleasant | Regular | 0.831 (b) | 0.787 (a) | 0.855 (b) | 0.833 (b) |
| Wood | 0.661 (a) | 0.689 (a) | 0.677 (a) | 0.667 (a) | |
| Plastic | 0.797 (ab) | 0.754 (a) | 0.758 (ab) | 0.767 (ab) | |
| Unpleasant | Regular | - | - | 0.032 (a) | 0.050 (a) |
| Wood | - | - | 0.177 (b) | 0.167 (a) | |
| Plastic | - | - | 0.129 (ab) | 0.133 (a) | |
| Satisfied | Regular | 0.864 (b) | 0.803 (a) | 0.887 (b) | 0.917 (b) |
| Wood | 0.712 (a) | 0.672 (a) | 0.677 (a) | 0.617 (a) | |
| Plastic | 0.831 (ab) | 0.787 (a) | 0.774 (ab) | 0.767 (ab) | |
| Unsatisfied | Regular | 0.068 (a) | - | 0.032 (a) | 0.050 (a) |
| Wood | 0.169 (a) | - | 0.210 (b) | 0.200 (b) | |
| Plastic | 0.068 (a) | - | 0.161 (ab) | 0.150 (ab) | |
| Like it * | Regular | 0.932 (b) | 0.951 (b) | 0.887 (b) | 0.900 (b) |
| Wood | 0.508 (a) | 0.574 (a) | 0.387 (a) | 0.417 (a) | |
| Plastic | 0.559 (a) | 0.639 (a) | 0.565 (a) | 0.583 (a) | |
| Dislike it * | Regular | 0 (a) | 0.033 (a) | 0.048 (a) | 0.033 (a) |
| Wood | 0.322 (b) | 0.262 (b) | 0.419 (b) | 0.383 (b) | |
| Plastic | 0.220 (b) | 0.180 (ab) | 0.274 (b) | 0.267 (b) | |
| Blissful | Regular | 0.627 (a) | 0.689 (b) | 0.694 (a) | 0.683 (b) |
| Wood | 0.508 (a) | 0.525 (a) | 0.581 (a) | 0.450 (a) | |
| Plastic | 0.599 (a) | 0.639 (ab) | 0.613 (a) | 0.633 (b) | |
| Tame | Regular | 0.508 (a) | 0.525 (a) | 0.677 (b) | 0.550 (a) |
| Wood | 0.424 (a) | 0.475 (a) | 0.532 (a) | 0.483 (a) | |
| Plastic | 0.508 (a) | 0.508 (a) | 0.532 (a) | 0.483 (a) | |
| Eager/craving | Regular | 0.593 (a) | 0.738 (b) | 0.710 (b) | 0.583 (b) |
| Wood | 0.424 (a) | 0.525 (a) | 0.532 (a) | 0.417 (a) | |
| Plastic | 0.492 (a) | 0.574 (a) | 0.565 (ab) | 0.433 (ab) | |
| Merry/Joyful | Regular | 0.763 (a) | 0.721 (b) | 0.790 (b) | 0.717 (a) |
| Wood | 0.610 (a) | 0.541 (a) | 0.645 (ab) | 0.567 (a) | |
| Plastic | 0.644 (a) | 0.639 (ab) | 0.629 (a) | 0.667 (a) | |
| Enthusiastic | Regular | 0.627 (b) | 0.689 (a) | 0.758 (b) | 0.633 (b) |
| Wood | 0.458 (a) | 0.557 (a) | 0.516 (a) | 0.433 (a) | |
| Plastic | 0.542 (ab) | 0.672 (a) | 0.565 (a) | 0.550 (ab) |
| Hedonic Attributes | Type of Tableware | Warm Animal-Based meal—Pork Stew (n = 59) | Warm Plant-Based Meal—Peas (n = 61) | Cold Animal-Based Meal—Cheese-Meat (n = 62) | Cold Plant-Based Meal—Salads (n = 60) |
|---|---|---|---|---|---|
| Taste of the meal | Regular | 7.0 ± 1.6 (b) | 7.0 ± 1.9 | 7.6 ± 1.8 (b) | 7.1 ± 1.8 (b) |
| Wood | 6.3 ± 2.0 (a) | 6.7 ± 2.1 | 6.8 ± 1.9 (a) | 6.2 ± 2.2 (a) | |
| Plastic | 6.6 ± 1.8 (a, b) | 6.9 ± 2.9 | 7.1 ± 1.4 (a, b) | 6.7 ± 1.9 (a, b) | |
| Dishes used | Regular | 8.1 ± 1.1 (b) | 7.9 ± 1.5 (b) | 8.1 ± 1.5 (b) | 8.1 ± 1.7 (b) |
| Wood | 4.3 ± 2.4 (a) | 4.6 ± 2.8 (a) | 3.7 ± 2.6 (a) | 3.9 ± 2.8 (a) | |
| Plastic | 4.4 ± 2.5 (a) | 5.0 ± 2.3 (a) | 4.3 ± 2.2 (a) | 4.7 ± 2.3 (a) | |
| Cutlery used | Regular | 8.2 ± 1.1 (b) | 8.1 ± 1.5 (b) | 8.1 ± 1.6 (b) | 8.2 ± 1.8 (b) |
| Wood | 4.7 ± 2.7 (a) | 4.5 ± 2.9 (a) | 3.1 ± 2.5 (a) | 3.6 ± 2.8 (a) | |
| Plastic | 4.3 ± 2.3 (a) | 5.0 ± 2.3 (a) | 3.8 ± 2.2 (a) | 4.2 ± 2.4 (a) | |
| Served meal | Regular | 7.5 ± 1.2 (b) * | 7.7 ± 1.3 (b) * | 7.8 ± 1.7 (b) NS | 7.7 ± 1.5 (b) * |
| Wood | 5.3 ± 2.2 (a) * | 5.7 ± 2.3 (a) * | 4.9 ± 2.2 (a) * | 5.0 ± 2.2 (a) * | |
| Plastic | 5.6 ± 1.9 (a) * | 6.0 ± 1.8 (a) * | 5.7 ± 1.9 (a) * | 5.5 ± 2.1 (a) * |
| Attributes | Type of Tableware | Warm Animal-Based Meal—Pork Stew (n = 59) | Warm Plant-Based Meal—Peas (n = 61) | Cold Animal-Based Meal—Cheese-Meat (n = 62) |
|---|---|---|---|---|
| Overall odor | Regular | 4.9 ± 1.3 (b) | 4.4 ± 1.3 (b) | 4.5 ± 1.8 (a) |
| Wood | 4.1 ± 1.4 (a) | 3.8 ± 1.7 (a) | 4.3 ± 1.6 (a) | |
| Plastic | 4.1 ± 1.3 (a) | 3.9 ± 1.6 (a) | 4.3 ± 1.8 (a) | |
| Salty taste | Regular | 4.4 ± 1.5 (b) | 3.9 ± 1.4 (b) | 4.5 ± 1.2 (a) |
| Wood | 3.7 ± 1.5 (a) | 3.4 ± 1.7 (a) | 4.4 ± 1.2 (a) | |
| Plastic | 3.9 ± 1.5 (a) | 3.4 ± 1.8 (a) | 4.5 ± 1.4 (a) | |
| Flavor of spices | Regular | 4.9 ± 1.4 (b) | 4.0 ± 1.4 (a) | 4.0 ± 1.8 (a) |
| Wood | 4.3 ± 1.6 (a) | 3.9 ± 1.5 (a) | 3.8 ± 1.8 (a) | |
| Plastic | 4.5 ± 1.4 (a, b) | 4.0 ± 1.7 (a) | 3.7 ± 1.9 (a) | |
| Atypical flavor | Regular | 1.2 ± 1.6 (a) | 1.0 ± 1.8 (a) | 1.0 ± 1.9 (a) |
| Wood | 3.1 ± 2.3 (b) | 2.5 ± 2.3 (b) | 2.3 ± 2.3 (b) | |
| Plastic | 1.3 ± 1.6 (a) | 1.2 ± 1.8 (a) | 1.4 ± 1.8 (a) | |
| Overall flavor | Regular | 5.0 ± 1.3 (b) | 5.3 ± 1.3 (b) | 5.0 ± 1.2 (a) |
| Wood | 4.4 ± 1.6 (a) | 4.7 ± 1.5 (a) | 4.8 ± 1.4 (a) | |
| Plastic | 4.4 ± 1.3 (a) | 4.7 ± 1.6 (a) | 4.6 ± 1.3 (a) |
Disclaimer/Publisher’s Note: The statements, opinions and data contained in all publications are solely those of the individual author(s) and contributor(s) and not of MDPI and/or the editor(s). MDPI and/or the editor(s) disclaim responsibility for any injury to people or property resulting from any ideas, methods, instructions or products referred to in the content. |
© 2025 by the authors. Licensee MDPI, Basel, Switzerland. This article is an open access article distributed under the terms and conditions of the Creative Commons Attribution (CC BY) license (https://creativecommons.org/licenses/by/4.0/).
Share and Cite
Pantović, A.; Djekić, I.; Petrović, T.; Tomić, N. The Sensory and Emotional Response to Different Tableware Materials. Foods 2025, 14, 3151. https://doi.org/10.3390/foods14183151
Pantović A, Djekić I, Petrović T, Tomić N. The Sensory and Emotional Response to Different Tableware Materials. Foods. 2025; 14(18):3151. https://doi.org/10.3390/foods14183151
Chicago/Turabian StylePantović, Ana, Ilija Djekić, Tanja Petrović, and Nikola Tomić. 2025. "The Sensory and Emotional Response to Different Tableware Materials" Foods 14, no. 18: 3151. https://doi.org/10.3390/foods14183151
APA StylePantović, A., Djekić, I., Petrović, T., & Tomić, N. (2025). The Sensory and Emotional Response to Different Tableware Materials. Foods, 14(18), 3151. https://doi.org/10.3390/foods14183151

