Sex-Related Anti-Nociceptive Activity of a Flavonoid-Based Formulated Extract from Citrus Peels (Gold Lotion): New Insights into a Rat Model
Abstract
1. Introduction
2. Materials and Methods
2.1. Animals and Housing
2.2. Gold Lotion
2.3. Mechanical Threshold Testing
2.4. Complete Freund’s Adjuvant (CFA) Model
2.5. Carrageenan Model
2.6. Statistical Analysis
3. Results
3.1. GL Improves Carrageenan- and CFA-Induced Mechanical Sensitivity in Males and Females
3.2. Efficacy of GL in CFA and Carrageenan Models
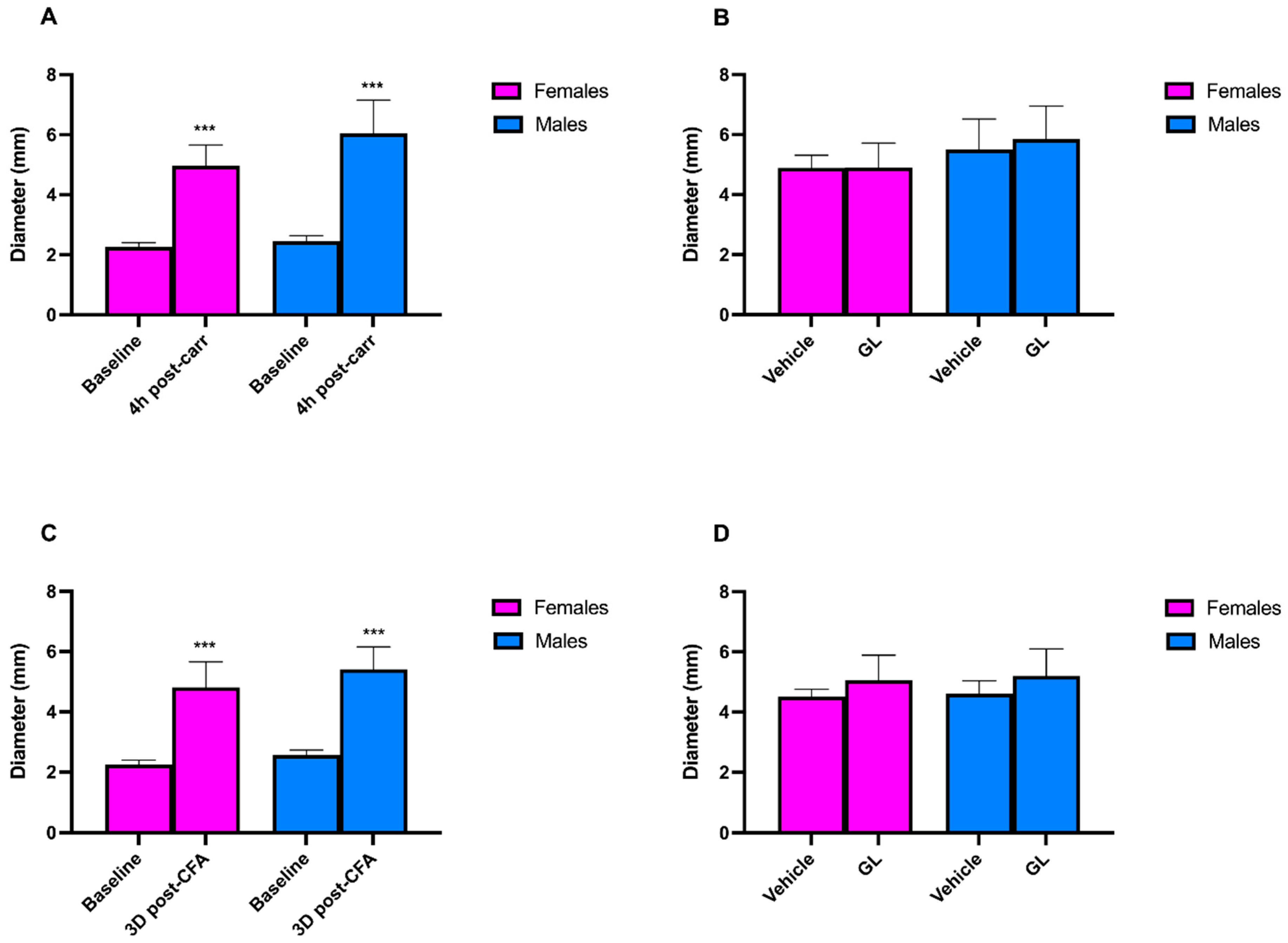
3.3. Gold Lotion Does Not Influence Paw Edema in Both Carrageenan- and CFA-Induced Mechanical Hypersensitivity
4. Discussion
5. Conclusions
Author Contributions
Funding
Institutional Review Board Statement
Informed Consent Statement
Data Availability Statement
Acknowledgments
Conflicts of Interest
Abbreviations
| GL | Gold Lotion |
| CFA | Complete Freund’s Adjuvant |
| AUC | Area Under the Curve |
References
- Chen, L.; Deng, H.; Cui, H.; Fang, J.; Zuo, Z.; Deng, J.; Li, Y.; Wang, X.; Zhao, L. Inflammatory responses and inflammation-associated diseases in organs. Oncotarget 2018, 9, 7204–7218. [Google Scholar] [CrossRef]
- Elgazzar, A.H.; Elmonayeri, M. Inflammation. In The Pathophysiologic Basis of Nuclear Medicine; Elgazzar, A.H., Ed.; Springer International Publishing: Cham, Germany, 2015; pp. 69–98. [Google Scholar] [CrossRef]
- Zhou, Y.; Hong, Y.; Huang, H. Triptolide Attenuates Inflammatory Response in Membranous Glomerulo-Nephritis Rat via Downregulation of NF-kappaB Signaling Pathway. Kidney Blood Press. Res. 2016, 41, 901–910. [Google Scholar] [CrossRef]
- Zhang, Y.H.; Adamo, D.; Liu, H.; Wang, Q.; Wu, W.; Zheng, Y.L.; Wang, X.Q. Editorial: Inflammatory pain: Mechanisms, assessment, and intervention. Front. Mol. Neurosci. 2023, 16, 1286215. [Google Scholar] [CrossRef]
- Layne-Stuart, C.M.; Carpenter, A.L. Chronic Pain Considerations in Patients with Cardiovascular Disease. Anesthesiol. Clin. 2022, 40, 791–802. [Google Scholar] [CrossRef]
- Moalem, G.; Tracey, D.J. Immune and inflammatory mechanisms in neuropathic pain. Brain Res. Rev. 2006, 51, 240–264. [Google Scholar] [CrossRef] [PubMed]
- Bautista-Carro, M.A.; Galindo-Paredes, G.; Iannitti, T.; Morales-Medina, J.C. Resveratrol Improves Mechanical Allodynia and Inflammation: Focus on Sex Differences in Rats. Rev. Bras. De Farmacogn. 2024, 34, 577–584. [Google Scholar] [CrossRef]
- Devries, J.; Rafie, S.; Polston, G. Implementing an overdose education and naloxone distribution program in a health system. J. Am. Pharm. Assoc. 2017, 57, S154–S160. [Google Scholar] [CrossRef]
- Mogil, J.S. Qualitative sex differences in pain processing: Emerging evidence of a biased literature. Nat. Rev. Neurosci. 2020, 21, 353–365. [Google Scholar] [CrossRef] [PubMed]
- Osborne, N.R.; Davis, K.D. Chapter Eight—Sex and gender differences in pain. In International Review of Neurobiology; Moro, E., Arabia, G., Tartaglia, M.C., Ferretti, M.T., Eds.; Academic Press: San Diego, CA, USA, 2022; Volume 164, pp. 277–307. [Google Scholar]
- The Lancet, R. Time to listen to women about their pain. Lancet Rheumatol. 2024, 6, e329. [Google Scholar] [CrossRef]
- Public Health England. Chronic Pain in Adults 2017. Available online: https://assets.publishing.service.gov.uk/media/5fc8c6b78fa8f547585ed7f3/Chronic_Pain_Report.pdf (accessed on 12 August 2025).
- Orlando, R.A.; Gonzales, A.M.; Hunsaker, L.A.; Franco, C.R.; Royer, R.E.; Vander Jagt, D.L.; Vander Jagt, D.J. Inhibition of nuclear factor kappaB activation and cyclooxygenase-2 expression by aqueous extracts of Hispanic medicinal herbs. J. Med. Food 2010, 13, 888–895. [Google Scholar] [CrossRef]
- Tai, F.W.D.; McAlindon, M.E. Non-steroidal anti-inflammatory drugs and the gastrointestinal tract. Clin. Med. 2021, 21, 131–134. [Google Scholar] [CrossRef] [PubMed]
- Varga, Z.; Sabzwari, S.R.A.; Vargova, V. Cardiovascular Risk of Nonsteroidal Anti-Inflammatory Drugs: An Under-Recognized Public Health Issue. Cureus 2017, 9, e1144. [Google Scholar] [CrossRef] [PubMed]
- Cyong, J.; Otsuka, Y. A Pharmacological Study of the Anti-Inflammatory Activity of Chinese herbs. A Review. Acupunct. Electro-Ther. Res. 1982, 7, 173–202. [Google Scholar] [CrossRef]
- Pan, M.H.; Chiou, Y.S.; Tsai, M.L.; Ho, C.T. Anti-inflammatory activity of traditional Chinese medicinal herbs. J. Tradit. Complement. Med. 2011, 1, 8–24. [Google Scholar] [CrossRef] [PubMed]
- Malleshappa, P.; Kumaran, R.C.; Venkatarangaiah, K.; Parveen, S. Peels of Citrus Fruits: A Potential Source of Anti-inflammatory and Anti-nociceptive Agents. Pharmacogn. J. 2018, 10, 172–178. [Google Scholar] [CrossRef]
- Ding, S.; Wang, P.; Pang, X.; Zhang, L.; Qian, L.; Jia, X.; Chen, W.; Ruan, S.; Sun, L. The new exploration of pure total flavonoids extracted from Citrus maxima (Burm.) Merr. as a new therapeutic agent to bring health benefits for people. Front. Nutr. 2022, 9, 958329. [Google Scholar] [CrossRef]
- Andrade, M.A.; Barbosa, C.H.; Shah, M.A.; Ahmad, N.; Vilarinho, F.; Khwaldia, K.; Silva, A.S.; Ramos, F. Citrus By-Products: Valuable Source of Bioactive Compounds for Food Applications. Antioxidants 2023, 12, 38. [Google Scholar] [CrossRef]
- Choi, I.S.; Lee, Y.G.; Khanal, S.K.; Park, B.J.; Bae, H.-J. A low-energy, cost-effective approach to fruit and citrus peel waste processing for bioethanol production. Appl. Energy 2015, 140, 65–74. [Google Scholar] [CrossRef]
- Sakaki, M.; Harai, K.; Takahashi, R.; Amitani, M.; Amitani, H.; Takimoto, Y.; Inui, A. Medicine and food with particular reference to chinpi, dried citrus peel, and a component of Ninjin’yoeito. Neuropeptides 2021, 89, 102166. [Google Scholar] [CrossRef]
- Lai, C.S.; Li, S.; Miyauchi, Y.; Suzawa, M.; Ho, C.T.; Pan, M.H. Potent anti-cancer effects of citrus peel flavonoids in human prostate xenograft tumors. Food Funct. 2013, 4, 944–949. [Google Scholar] [CrossRef]
- Pan, M.-H.; Li, S.; Lai, C.-S.; Miyauchi, Y.; Suzawa, M.; Ho, C.-T. Inhibition of citrus flavonoids on 12-O-tetradecanoylphorbol 13-acetate-induced skin inflammation and tumorigenesis in mice. Food Sci. Hum. Wellness 2012, 1, 65–73. [Google Scholar] [CrossRef]
- Lai, C.S.; Li, S.; Liu, C.B.; Miyauchi, Y.; Suzawa, M.; Ho, C.T.; Pan, M.H. Effective suppression of azoxymethane-induced aberrant crypt foci formation in mice with citrus peel flavonoids. Mol. Nutr. Food Res. 2013, 57, 551–555. [Google Scholar] [CrossRef]
- Lin, N.; Sato, T.; Takayama, Y.; Mimaki, Y.; Sashida, Y.; Yano, M.; Ito, A. Novel anti-inflammatory actions of nobiletin, a citrus polymethoxy flavonoid, on human synovial fibroblasts and mouse macrophages. Biochem. Pharmacol. 2003, 65, 2065–2071. [Google Scholar] [CrossRef] [PubMed]
- Lee, Y.Y.; Lee, E.J.; Park, J.S.; Jang, S.E.; Kim, D.H.; Kim, H.S. Anti-Inflammatory and Antioxidant Mechanism of Tangeretin in Activated Microglia. J. Neuroimmune Pharmacol. 2016, 11, 294–305. [Google Scholar] [CrossRef] [PubMed]
- Li, S.; Pan, M.-H.; Lo, C.-Y.; Tan, D.; Wang, Y.; Shahidi, F.; Ho, C.-T. Chemistry and health effects of polymethoxyflavones and hydroxylated polymethoxyflavones. J. Funct. Foods 2009, 1, 2–12. [Google Scholar] [CrossRef]
- Li, S.; Lin, Y.C.; Ho, C.T.; Lin, P.Y.; Suzawa, M.; Wang, H.C.; Chu, C.L.; Chen, D.Y.; Lin, C.C. Formulated extract from multiple citrus peels impairs dendritic cell functions and attenuates allergic contact hypersensitivity. Int. Immunopharmacol. 2014, 20, 12–23. [Google Scholar] [CrossRef] [PubMed]
- Kilkenny, C.; Browne, W.J.; Cuthill, I.C.; Emerson, M.; Altman, D.G. Improving bioscience research reporting: The ARRIVE guidelines for reporting animal research. PLoS Biol. 2010, 8, e1000412. [Google Scholar] [CrossRef]
- Iannitti, T.; Di Cerbo, A.; Loschi, A.R.; Rea, S.; Suzawa, M.; Morales-Medina, J.C. Repeated administration of a flavonoid-based formulated extract from citrus peels significantly reduces peripheral inflammation-induced pain in the rat. Food Sci. Nutr. 2020, 8, 3173–3180. [Google Scholar] [CrossRef]
- Morales-Medina, J.C.; Flores, G.; Vallelunga, A.; Griffiths, N.H.; Iannitti, T. Cerebrolysin improves peripheral inflammatory pain: Sex differences in two models of acute and chronic mechanical hypersensitivity. Drug Dev. Res. 2019, 80, 513–518. [Google Scholar] [CrossRef]
- Chaplan, S.R.; Bach, F.W.; Pogrel, J.W.; Chung, J.M.; Yaksh, T.L. Quantitative assessment of tactile allodynia in the rat paw. J. Neurosci. Methods 1994, 53, 55–63. [Google Scholar] [CrossRef]
- Morales-Medina, J.C.; Griffiths, N.H.; Flores, G.; Mastranzo, V.M.; Iannitti, T. Cerebrolysin reduces mechanical allodynia in a rodent model of peripheral inflammation. Neurosci. Lett. 2017, 642, 27–30. [Google Scholar] [CrossRef]
- Iannitti, T.; Graham, A.; Dolan, S. Adiponectin-Mediated Analgesia and Anti-Inflammatory Effects in Rat. PLoS ONE 2015, 10, e0136819. [Google Scholar] [CrossRef]
- Doolen, S.; Iannitti, T.; Donahue, R.R.; Shaw, B.C.; Grachen, C.M.; Taylor, B.K. Fingolimod reduces neuropathic pain behaviors in a mouse model of multiple sclerosis by a sphingosine-1 phosphate receptor 1-dependent inhibition of central sensitization in the dorsal horn. Pain 2018, 159, 224–238. [Google Scholar] [CrossRef]
- Goldberg, D.S.; McGee, S.J. Pain as a global public health priority. BMC Public Health 2011, 11, 770. [Google Scholar] [CrossRef]
- Breivik, H. International Association for the Study of Pain: Update on WHO-IASP Activities. J. Pain Symptom Manag. 2002, 24, 97–101. [Google Scholar] [CrossRef] [PubMed]
- Harvard Health Publishing. Women and Pain: Disparities in Experience and Treatment. Available online: https://www.health.harvard.edu/blog/women-and-pain-disparities-in-experience-and-treatment-2017100912562 (accessed on 12 August 2025).
- Matsuda, M.; Huh, Y.; Ji, R.R. Roles of inflammation, neurogenic inflammation, and neuroinflammation in pain. J. Anesth. 2019, 33, 131–139. [Google Scholar] [CrossRef]
- Munir, H.; Yaqoob, S.; Awan, K.A.; Imtiaz, A.; Naveed, H.; Ahmad, N.; Naeem, M.; Sultan, W.; Ma, Y. Unveiling the Chemistry of Citrus Peel: Insights into Nutraceutical Potential and Therapeutic Applications. Foods 2024, 13, 1681. [Google Scholar] [CrossRef] [PubMed]
- Mogil, J.S.; Parisien, M.; Esfahani, S.J.; Diatchenko, L. Sex differences in mechanisms of pain hypersensitivity. Neurosci. Biobehav. Rev. 2024, 163, 105749. [Google Scholar] [CrossRef] [PubMed]
- Bartley, E.J.; Fillingim, R.B. Sex differences in pain: A brief review of clinical and experimental findings. Br. J. Anaesth. 2013, 111, 52–58. [Google Scholar] [CrossRef]
- Mogil, J.S. Sex differences in pain and pain inhibition: Multiple explanations of a controversial phenomenon. Nat. Rev. Neurosci. 2012, 13, 859–866. [Google Scholar] [CrossRef]
- Romanescu, M.; Buda, V.; Lombrea, A.; Andor, M.; Ledeti, I.; Suciu, M.; Danciu, C.; Dehelean, C.A.; Dehelean, L. Sex-Related Differences in Pharmacological Response to CNS Drugs: A Narrative Review. J. Pers. Med. 2022, 12, 907. [Google Scholar] [CrossRef] [PubMed]
- Packiasabapathy, S.; Sadhasivam, S. Gender, genetics, and analgesia: Understanding the differences in response to pain relief. J. Pain. Res. 2018, 11, 2729–2739. [Google Scholar] [CrossRef] [PubMed]
- Walker, J.S.; Carmody, J.J. Experimental pain in healthy human subjects: Gender differences in nociception and in response to ibuprofen. Anesth. Analg. 1998, 86, 1257–1262. [Google Scholar] [CrossRef]
- Compton, P.; Charuvastra, V.C.; Ling, W. Effect of oral ketorolac and gender on human cold pressor pain tolerance. Clin. Exp. Pharmacol. Physiol. 2003, 30, 759–763. [Google Scholar] [CrossRef]
- Caruso, C. Why We Need Female Mice in Neuroscience Research. Available online: https://news.harvard.edu/gazette/story/2023/03/study-confirms-why-we-need-female-mice-in-neuroscience-research/ (accessed on 12 August 2025).
- Sadler, K.E.; Mogil, J.S.; Stucky, C.L. Innovations and advances in modelling and measuring pain in animals. Nat. Rev. Neurosci. 2022, 23, 70–85. [Google Scholar] [CrossRef]
- Smith, J.C. A Review of Strain and Sex Differences in Response to Pain and Analgesia in Mice. Comp. Med. 2019, 69, 490–500. [Google Scholar] [CrossRef] [PubMed]
- Sorge, R.E.; Mapplebeck, J.C.; Rosen, S.; Beggs, S.; Taves, S.; Alexander, J.K.; Martin, L.J.; Austin, J.S.; Sotocinal, S.G.; Chen, D.; et al. Different immune cells mediate mechanical pain hypersensitivity in male and female mice. Nat. Neurosci. 2015, 18, 1081–1083. [Google Scholar] [CrossRef]
- Craft, R.M.; Mogil, J.S.; Aloisi, A.M. Sex differences in pain and analgesia: The role of gonadal hormones. Eur. J. Pain 2004, 8, 397–411. [Google Scholar] [CrossRef]
- Eckersell, C.B.; Popper, P.; Micevych, P.E. Estrogen-induced alteration of mu-opioid receptor immunoreactivity in the medial preoptic nucleus and medial amygdala. J. Neurosci. 1998, 18, 3967–3976. [Google Scholar] [CrossRef]





Disclaimer/Publisher’s Note: The statements, opinions and data contained in all publications are solely those of the individual author(s) and contributor(s) and not of MDPI and/or the editor(s). MDPI and/or the editor(s) disclaim responsibility for any injury to people or property resulting from any ideas, methods, instructions or products referred to in the content. |
© 2025 by the authors. Licensee MDPI, Basel, Switzerland. This article is an open access article distributed under the terms and conditions of the Creative Commons Attribution (CC BY) license (https://creativecommons.org/licenses/by/4.0/).
Share and Cite
Di Cerbo, A.; Nicotra, M.; Suzawa, M.; Iannitti, T.; Morales-Medina, J.C. Sex-Related Anti-Nociceptive Activity of a Flavonoid-Based Formulated Extract from Citrus Peels (Gold Lotion): New Insights into a Rat Model. Foods 2025, 14, 2877. https://doi.org/10.3390/foods14162877
Di Cerbo A, Nicotra M, Suzawa M, Iannitti T, Morales-Medina JC. Sex-Related Anti-Nociceptive Activity of a Flavonoid-Based Formulated Extract from Citrus Peels (Gold Lotion): New Insights into a Rat Model. Foods. 2025; 14(16):2877. https://doi.org/10.3390/foods14162877
Chicago/Turabian StyleDi Cerbo, Alessandro, Mario Nicotra, Michiko Suzawa, Tommaso Iannitti, and Julio Cesar Morales-Medina. 2025. "Sex-Related Anti-Nociceptive Activity of a Flavonoid-Based Formulated Extract from Citrus Peels (Gold Lotion): New Insights into a Rat Model" Foods 14, no. 16: 2877. https://doi.org/10.3390/foods14162877
APA StyleDi Cerbo, A., Nicotra, M., Suzawa, M., Iannitti, T., & Morales-Medina, J. C. (2025). Sex-Related Anti-Nociceptive Activity of a Flavonoid-Based Formulated Extract from Citrus Peels (Gold Lotion): New Insights into a Rat Model. Foods, 14(16), 2877. https://doi.org/10.3390/foods14162877

