Maillard Reaction: Mechanism, Influencing Parameters, Advantages, Disadvantages, and Food Industrial Applications: A Review
Abstract
1. Introduction
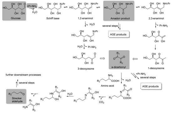
2. The Maillard Reaction Mechanism
2.1. Stage 1: Early Maillard Reaction
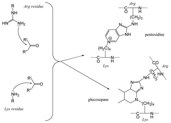
2.2. Stage 2: Intermediate Maillard Reaction with Lys Residues
2.3. Stage 3: Advanced Maillard Reaction
3. Influence of Different Parameters on the Maillard Reaction
3.1. Effect of pH on the Maillard Reaction
3.1.1. Effect of pH on the Reaction Rate and Product Formation
3.1.2. Impact of pH on Product Safety and Stability
3.2. Effect of Temperature on Maillard Reaction’s Rate
3.2.1. Effect of Temperature on Flavor and Color Development
3.2.2. Effect of Temperature on the Food Product Safety
3.3. Effect of Cooking Time
3.3.1. Reaction Rate as a Function of Time
3.3.2. Changes in Flavor and Color over Time
3.4. Effect of Water Activity
3.4.1. Importance of Water Activity
3.4.2. Influence of Water Activity on the Reaction Rate
3.4.3. Effect of Water Activity on Product Texture and Quality
3.5. Presence of Amino Acids and Reducing Sugars
3.5.1. Influence of the Type and Concentration of Amino Acids and Reducing Sugars on the Reaction Rate and Product Formation
Lateral Secondary Amino Group of Proteins: Residues of Histidine
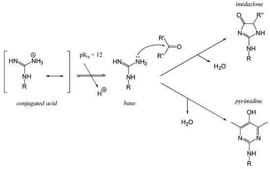
Lateral Guanidine Group of Proteins: Residues of Arginine
Lateral Primary Amino Group of Proteins; Lysine Residues
Effect of the Type and Concentration of Reducing Sugars on Maillard Reaction
3.5.2. Effect of Amino Acid and Reducing Sugar Content on Product Safety and Quality
3.6. Vitamin C Degradation
3.6.1. Effect of the MRPs on Vitamin C Degradation
3.6.2. Effect of Vitamin C Degradation on Product Quality and Safety
4. S-Maillard Reaction
5. Advantages and Beneficial Nutritional Effects of Maillard Reaction
5.1. Improvement in Color, Odor, and Flavor
5.2. Shelf-Life Extension
5.3. Increased Nutrient Density and Bioavailability
5.4. Improved Protein Digestibility
6. Disadvantages of Maillard Reaction
6.1. Elimination of Important Amino Acids and Limiting Their Bioavailability
6.2. Formation of Potentially Harmful Substances
6.3. Nutrient Loss
6.4. Browning Restrictions
6.5. Difficulty to Regulate
7. Mitigation of Maillard Reaction Products
7.1. Use of Additives
7.2. Thermal and Non-Thermal Techniques
7.2.1. Microwave Heating
7.2.2. High Pressure Processing
7.2.3. Ohmic Heating
7.2.4. Air Frying and Vacuum Frying
7.3. Enzymatic Treatment
7.4. Fermentation
8. Food Industrial Applications of the Maillard Reaction
8.1. Soybean Processing
8.2. Milk Processing
8.3. Meat Processing
8.4. Brewing Industry
8.5. Baking Industry
9. Conclusions
Funding
Institutional Review Board Statement
Informed Consent Statement
Data Availability Statement
Acknowledgments
Conflicts of Interest
References
- Ogutu, B.; Kim, Y.-J.; Kim, D.-W.; Oh, S.-C.; Hong, D.-L.; Lee, Y.-B. Optimization of Maillard Reaction between Glucosamine and Other Precursors by Measuring Browning with a Spectrophotometer. Prev. Nutr. Food Sci. 2017, 22, 211–215. [Google Scholar] [CrossRef]
- Lund, M.N.; Ray, C.A. Control of Maillard Reactions in Foods: Strategies and Chemical Mechanisms. J. Agric. Food Chem. 2017, 65, 4537–4552. [Google Scholar] [CrossRef]
- Chen, X.; Yu, J.; Cui, H.; Xia, S.; Zhang, X.; Yang, B. Effect of Temperature on Flavor Compounds and Sensory Characteristics of Maillard Reaction Products Derived from Mushroom Hydrolysate. Molecules 2018, 23, 247. [Google Scholar] [CrossRef]
- Tamanna, N.; Mahmood, N. Food Processing and Maillard Reaction Products: Effect on Human Health and Nutrition. Int. J. Food Sci. 2015, 2015, 526762. [Google Scholar] [CrossRef]
- Xiang, J.; Liu, F.; Wang, B.; Chen, L.; Liu, W.; Tan, S. A Literature Review on Maillard Reaction Based on Milk Proteins and Carbohydrates in Food and Pharmaceutical Products: Advantages, Disadvantages, and Avoidance Strategies. Foods 2021, 10, 1998. [Google Scholar] [CrossRef]
- Twarda-Clapa, A.; Olczak, A.; Białkowska, A.M.; Koziołkiewicz, M. Advanced Glycation End-Products (AGEs): Formation, Chemistry, Classification, Receptors, and Diseases Related to AGEs. Cells 2022, 11, 1312. [Google Scholar] [CrossRef]
- Aktağ, I.G.; Hamzalıoğlu, A.; Kocadağlı, T.; Gökmen, V. Dietary Exposure to Acrylamide: A Critical Appraisal on the Conversion of Disregarded Intermediates into Acrylamide and Possible Reactions during Digestion. Curr. Res. Food Sci. 2022, 5, 1118–1126. [Google Scholar] [CrossRef]
- Doseděl, M.; Jirkovský, E.; Macáková, K.; Krčmová, L.K.; Javorská, L.; Pourová, J.; Mercolini, L.; Remião, F.; Nováková, L.; Mladěnka, P.; et al. Vitamin C—Sources, Physiological Role, Kinetics, Deficiency, Use, Toxicity, and Determination. Nutrients 2021, 13, 615. [Google Scholar] [CrossRef]
- Zhang, L.; Xia, Y.; Peterson, D.G. Identification of Bitter Modulating Maillard-Catechin Reaction Products. J. Agric. Food Chem. 2014, 62, 8470–8477. [Google Scholar] [CrossRef]
- Briceno Noriega, D.; Zenker, H.E.; Croes, C.-A.; Ewaz, A.; Ruinemans-Koerts, J.; Savelkoul, H.F.J.; van Neerven, R.J.J.; Teodorowicz, M. Receptor Mediated Effects of Advanced Glycation End Products (AGEs) on Innate and Adaptative Immunity: Relevance for Food Allergy. Nutrients 2022, 14, 371. [Google Scholar] [CrossRef]
- Segovia Bravo, K.; Ramírez, R.; Durst, R.; Escobedo-Avellaneda, Z.J.; Welti-Chanes, J.; Sanz, P.D.; Torres, J.A. Formation Risk of Toxic and Other Unwanted Compounds in Pressure-Assisted Thermally Processed Foods. J. Food Sci. 2012, 77, R1–R10. [Google Scholar] [CrossRef] [PubMed]
- ALjahdali, N.; Carbonero, F. Impact of Maillard Reaction Products on Nutrition and Health: Current Knowledge and Need to Understand Their Fate in the Human Digestive System. Crit. Rev. Food Sci. Nutr. 2019, 59, 474–487. [Google Scholar] [CrossRef]
- Charnock, H.M.; Pickering, G.J.; Kemp, B.S. The Maillard Reaction in Traditional Method Sparkling Wine. Front. Microbiol. 2022, 13, 979866. [Google Scholar] [CrossRef]
- Yin, X.; Chen, K.; Cheng, H.; Chen, X.; Feng, S.; Song, Y.; Liang, L. Chemical Stability of Ascorbic Acid Integrated into Commercial Products: A Review on Bioactivity and Delivery Technology. Antioxidants 2022, 11, 153. [Google Scholar] [CrossRef] [PubMed]
- Stadler, R.H.; Blank, I.; Varga, N.; Robert, F.; Hau, J.; Guy, P.A.; Robert, M.-C.; Riediker, S. Acrylamide from Maillard Reaction Products. Nature 2002, 419, 449–450. [Google Scholar] [CrossRef] [PubMed]
- Jaisson, S.; Desmons, A.; Gorisse, L.; Gillery, P. Vieillissement moléculaire des proteins—Quel rôle en physiopathologie? Med. Sci. 2017, 33, 176–182. [Google Scholar] [CrossRef][Green Version]
- Peng, H.; Gao, Y.; Zeng, C.; Hua, R.; Guo, Y.; Wang, Y.; Wang, Z. Effects of Maillard Reaction and Its Product AGEs on Aging and Age-Related Diseases. Food Sci. Hum. Wellness 2024, 13, 1118–1134. [Google Scholar] [CrossRef]
- Visvanathan, R.; Krishnakumar, T. Acrylamide in Food Products: A Review. J. Food Process Technol. 2014, 5, 344. [Google Scholar] [CrossRef]
- Luo, Y.; Li, S.; Ho, C.-T. Key Aspects of Amadori Rearrangement Products as Future Food Additives. Molecules 2021, 26, 4314. [Google Scholar] [CrossRef]
- Shumilina, J.; Kusnetsova, A.; Tsarev, A.; Janse van Rensburg, H.C.; Medvedev, S.; Demidchik, V.; Van den Ende, W.; Frolov, A. Glycation of Plant Proteins: Regulatory Roles and Interplay with Sugar Signalling? Int. J. Mol. Sci. 2019, 20, 2366. [Google Scholar] [CrossRef]
- Chen, C.; Zhang, J.-Q.; Li, L.; Guo, M.; He, Y.; Dong, Y.; Meng, H.; Yi, F. Advanced Glycation End Products in the Skin: Molecular Mechanisms, Methods of Measurement, and Inhibitory Pathways. Front. Med. 2022, 9, 837222. [Google Scholar] [CrossRef] [PubMed]
- Liu, S.; Sun, H.; Ma, G.; Zhang, T.; Wang, L.; Pei, H.; Li, X.; Gao, L. Insights into Flavor and Key Influencing Factors of Maillard Reaction Products: A Recent Update. Front. Nutr. 2022, 9, 973677. [Google Scholar] [CrossRef]
- Mertens, T.; Kunz, T.; Gibson, B.R. Transition Metals in Brewing and Their Role in Wort and Beer Oxidative Stability: A Review. J. Inst. Brew. 2022, 128, 77–95. [Google Scholar] [CrossRef]
- Nadkarni, D.V.; Sayre, L.M. Structural Definition of Early Lysine and Histidine Adduction Chemistry of 4-Hydroxynonenal. Chem. Res. Toxicol. 1995, 8, 284–291. [Google Scholar] [CrossRef]
- Zamora, R.; Alaiz, M.; Hidalgo, F.J. Modification of Histidine Residues by 4,5-Epoxy-2-Alkenals. Chem. Res. Toxicol. 1999, 12, 654–660. [Google Scholar] [CrossRef] [PubMed]
- Trnková, L.; Dršata, J.; Boušová, I. Oxidation as an Important Factor of Protein Damage: Implications for Maillard Reaction. J. Biosci. 2015, 40, 419–439. [Google Scholar] [CrossRef]
- Cincotta, F.; Brighina, S.; Condurso, C.; Arena, E.; Verzera, A.; Fallico, B. Sugars Replacement as a Strategy to Control the Formation of α-Dicarbonyl and Furanic Compounds during Cookie Processing. Foods 2021, 10, 2101. [Google Scholar] [CrossRef]
- Diez-Simon, C.; Mumm, R.; Hall, R.D. Mass Spectrometry-Based Metabolomics of Volatiles as a New Tool for Understanding Aroma and Flavour Chemistry in Processed Food Products. Metabolomics 2019, 15, 41. [Google Scholar] [CrossRef]
- Govindaraju, I.; Sana, M.; Chakraborty, I.; Rahman, M.H.; Biswas, R.; Mazumder, N. Dietary Acrylamide: A Detailed Review on Formation, Detection, Mitigation, and Its Health Impacts. Foods 2024, 13, 556. [Google Scholar] [CrossRef]
- Kaur, N.; Halford, N.G. Reducing the Risk of Acrylamide and Other Processing Contaminant Formation in Wheat Products. Foods 2023, 12, 3264. [Google Scholar] [CrossRef]
- Sharma, J.K.; Sihmar, M.; Santal, A.R.; Prager, L.; Carbonero, F.; Singh, N.P. Barley Melanoidins: Key Dietary Compounds with Potential Health Benefits. Front. Nutr. 2021, 8, 708194. [Google Scholar] [CrossRef] [PubMed]
- Wang, Q.; Li, J.; Tu, Y.; Cai, J.; Ren, F.; Zhang, H. Characteristics and Antioxidant Activity of Maillard Reaction Products from β-Lactoglobulin and Isomaltooligosaccharide. Front. Nutr. 2023, 10, 1282485. [Google Scholar] [CrossRef] [PubMed]
- Martinez-Alvarenga, M.S.; Martinez-Rodriguez, E.Y.; Garcia-Amezquita, L.E.; Olivas, G.I.; Zamudio-Flores, P.B.; Acosta-Muniz, C.H.; Sepulveda, D.R. Effect of Maillard Reaction Conditions on the Degree of Glycation and Functional Properties of Whey Protein Isolate—Maltodextrin Conjugates. Food Hydrocoll. 2014, 38, 110–118. [Google Scholar] [CrossRef]
- Kutzli, I.; Weiss, J.; Gibis, M. Glycation of Plant Proteins Via Maillard Reaction: Reaction Chemistry, Technofunctional Properties, and Potential Food Application. Foods 2021, 10, 376. [Google Scholar] [CrossRef]
- Peng, Z.; Zhang, Y.; Wang, H.; Gao, G.; Yu, Z.; Chong, P.H.; Ding, W.; Ke, L.; Zhou, J.; Rao, P.; et al. Effects of Arginine-Glucose Maillard Reaction Products on the Physicochemical and Gel Properties of Chicken Myofibrillar Protein. LWT 2021, 152, 112244. [Google Scholar] [CrossRef]
- Glomb, M.A.; Rösch, D.; Nagaraj, R.H. Nδ-(5-Hydroxy-4,6-dimethylpyrimidine-2-yl)-l-ornithine, a Novel Methylglyoxal−Arginine Modification in Beer. J. Agric. Food Chem. 2001, 49, 366–372. [Google Scholar] [CrossRef]
- Deng, Y.; Wierenga, P.A.; Schols, H.A.; Sforza, S.; Gruppen, H. Effect of Maillard Induced Glycation on Protein Hydrolysis by Lysine/Arginine and Non-Lysine/Arginine Specific Proteases. Food Hydrocoll. 2017, 69, 210–219. [Google Scholar] [CrossRef]
- Hwang, H.-I.; Hartman, T.G.; Ho, C.-T. Relative Reactivities of Amino Acids in Pyrazine Formation. J. Agric. Food Chem. 1995, 43, 179–184. [Google Scholar] [CrossRef]
- Hwang, H.-I.; Hartman, T.G.; Ho, C.-T. Relative Reactivities of Amino Acids in the Formation of Pyridines, Pyrroles, and Oxazoles. J. Agric. Food Chem. 1995, 43, 2917–2921. [Google Scholar] [CrossRef]
- Wang, F.; Shen, H.; Liu, T.; Yang, X.; Yang, Y.; Guo, Y. Formation of Pyrazines in Maillard Model Systems: Effects of Structures of Lysine-Containing Dipeptides/Tripeptides. Foods 2021, 10, 273. [Google Scholar] [CrossRef]
- Biemel, K.M.; Reihl, O.; Conrad, J.; Lederer, M.O. Formation Pathways for Lysine-Arginine Cross-Links Derived from Hexoses and Pentoses by Maillard Processes: UNRAVELING THE STRUCTURE OF A PENTOSIDINE PRECURSOR. J. Biol. Chem. 2001, 276, 23405–23412. [Google Scholar] [CrossRef]
- Cayot, P.; Roullier, L.; Tainturier, G. Electrochemical Modifications of Proteins. 1. Glycitolation. J. Agric. Food Chem. 1999, 47, 1915–1923. [Google Scholar] [CrossRef]
- Liu, P.; Lu, X.; Li, N.; Zheng, Z.; Qiao, X. Characterization, Variables, and Antioxidant Activity of the Maillard Reaction in a Fructose–Histidine Model System. Molecules 2019, 24, 56. [Google Scholar] [CrossRef] [PubMed]
- Yu, H.; Zhang, R.; Yang, F.; Xie, Y.; Guo, Y.; Yao, W.; Zhou, W. Control Strategies of Pyrazines Generation from Maillard Reaction. Trends Food Sci. Technol. 2021, 112, 795–807. [Google Scholar] [CrossRef]
- Nunes, F.M.; Del Castillo, M.D.; Carbonero, F. Editorial: Food Melanoidins: Chemistry and Nutrition. Front. Nutr. 2022, 9, 881690. [Google Scholar] [CrossRef] [PubMed]
- Yang, Y.; Feng, L.; Dong, X.; Ma, Y.; Yan, W.; Shi, X.; Hu, S.; Yu, A.; Sun, B. Volatile Organic Compounds Generated from the Maillard Reaction between l-Ascorbic Acid and Glycine in Hot Compressed Water. ACS Food Sci. Technol. 2025, 5, 743–752. [Google Scholar] [CrossRef]
- Van Boekel, M.A.J.S. Kinetic Aspects of the Maillard Reaction: A Critical Review. Food/Nahrung 2001, 45, 150–159. [Google Scholar] [CrossRef] [PubMed]
- Messia, M.C.; Caboni, M.F.; Marconi, E. Storage Stability Assessment of Freeze-Dried Royal Jelly by Furosine Determination. J. Agric. Food Chem. 2005, 53, 4440–4443. [Google Scholar] [CrossRef]
- Tan, T.-C.; Alkarkhi, A.F.M.; Easa, A.M. Ribose-Induced Maillard Reaction as a Quality Index in Frozen Minced Chicken and Pork Meats. J. Food Qual. 2013, 36, 351–360. [Google Scholar] [CrossRef]
- Akbarabadi, M.; Mohsenzadeh, M.; Housaindokht, M.-R. Ribose-induced Maillard Reaction as an Analytical Method for Detection of Adulteration and Differentiation of Chilled and Frozen-thawed Minced Veal. Food Sci. Anim. Resour. 2020, 40, 350–361. [Google Scholar] [CrossRef]
- Yu, L.; Li, Q.; Li, Y.; Yang, Y.; Guo, C.; Li, M. Impact of Frozen Storage Duration of Raw Pork on the Formation of Advanced Glycation End-Products in Meatballs. LWT 2021, 146, 111481. [Google Scholar] [CrossRef]
- Zhou, Y.-Y.; Li, Y.; Yu, A.-N. The Effects of Reactants Ratios, Reaction Temperatures and Times on Maillard Reaction Products of the L-Ascorbic Acid/L-Glutamic Acid System. Food Sci. Technol. 2016, 36, 268–274. [Google Scholar] [CrossRef]
- Cao, J.; Yan, H.; Liu, L. Optimized Preparation and Antioxidant Activity of Glucose-Lysine Maillard Reaction Products. LWT 2022, 161, 113343. [Google Scholar] [CrossRef]
- Feiner, G. Chapter 3—Definitions. In Salami; Feiner, G., Ed.; Academic Press: Cambridge, MA, USA, 2016; pp. 39–55. ISBN 978-0-12-809598-0. [Google Scholar]
- Liu, J.-K. Natural Products in Cosmetics. Nat. Prod. Bioprospect. 2022, 12, 40. [Google Scholar] [CrossRef]
- Kathuria, D.; Hamid; Gautam, S.; Thakur, A. Maillard Reaction in Different Food Products: Effect on Product Quality, Human Health and Mitigation Strategies. Food Control 2023, 153, 109911. [Google Scholar] [CrossRef]
- Pérez-López, A.J.; Noguera-Artiaga, L.; López-Miranda González, S.; Gómez-San Miguel, P.; Ferrández, B.; Carbonell-Barrachina, Á.A. Acrylamide Content in French Fries Prepared with Vegetable Oils Enriched with β-Cyclodextrin or β-Cyclodextrin-Carvacrol Complexes. LWT 2021, 148, 111765. [Google Scholar] [CrossRef]
- Seok, Y.-J.; Her, J.-Y.; Kim, Y.-G.; Kim, M.Y.; Jeong, S.Y.; Kim, M.K.; Lee, J.; Kim, C.; Yoon, H.-J.; Lee, K.-G. Furan in Thermally Processed Foods—A Review. Toxicol. Res. 2015, 31, 241–253. [Google Scholar] [CrossRef]
- Nadeem, H.R.; Akhtar, S.; Ismail, T.; Sestili, P.; Lorenzo, J.M.; Ranjha, M.M.A.N.; Jooste, L.; Hano, C.; Aadil, R.M. Heterocyclic Aromatic Amines in Meat: Formation, Isolation, Risk Assessment, and Inhibitory Effect of Plant Extracts. Foods 2021, 10, 1466. [Google Scholar] [CrossRef]
- Li, Z.; Zhao, C.; Cao, C. Production and Inhibition of Acrylamide during Coffee Processing: A Literature Review. Molecules 2023, 28, 3476. [Google Scholar] [CrossRef]
- Ren, G.-R.; Zhao, L.-J.; Sun, Q.; Xie, H.-J.; Lei, Q.-F.; Fang, W.-J. Explore the Reaction Mechanism of the Maillard Reaction: A Density Functional Theory Study. J. Mol. Model. 2015, 21, 132. [Google Scholar] [CrossRef]
- Koubaa, M.; Roohinejad, S.; Mungure, T.E.; Alaa El-Din, B.; Greiner, R.; Mallikarjunan, K. Effect of Emerging Processing Technologies on Maillard Reactions. In Encyclopedia of Food Chemistry; Melton, L., Shahidi, F., Varelis, P., Eds.; Academic Press: Oxford, UK, 2019; pp. 76–82. ISBN 978-0-12-814045-1. [Google Scholar]
- Nooshkam, M.; Varidi, M.; Bashash, M. The Maillard Reaction Products as Food-Born Antioxidant and Antibrowning Agents in Model and Real Food Systems. Food Chem. 2019, 275, 644–660. [Google Scholar] [CrossRef] [PubMed]
- Kchaou, H.; Benbettaieb, N.; Jridi, M.; Nasri, M.; Debeaufort, F. Influence of Maillard Reaction and Temperature on Functional, Structure and Bioactive Properties of Fish Gelatin Films. Food Hydrocoll. 2019, 97, 105196. [Google Scholar] [CrossRef]
- Hedegaard, R.V.; Skibsted, L.H. 16—Shelf-Life of Food Powders. In Handbook of Food Powders; Bhandari, B., Bansal, N., Zhang, M., Schuck, P., Eds.; Woodhead Publishing Series in Food Science, Technology and Nutrition; Woodhead Publishing: Cambridge, UK, 2013; pp. 409–434. ISBN 978-0-85709-513-8. [Google Scholar]
- Vera Zambrano, M.; Dutta, B.; Mercer, D.G.; MacLean, H.L.; Touchie, M.F. Assessment of Moisture Content Measurement Methods of Dried Food Products in Small-Scale Operations in Developing Countries: A Review. Trends Food Sci. Technol. 2019, 88, 484–496. [Google Scholar] [CrossRef]
- Wong, C.W.; Wijayanti, H.B.; Bhandari, B.R. Maillard Reaction in Limited Moisture and Low Water Activity Environment. In Water Stress in Biological, Chemical, Pharmaceutical and Food Systems; Gutiérrez-López, G.F., Alamilla-Beltrán, L., del Pilar Buera, M., Welti-Chanes, J., Parada-Arias, E., Barbosa-Cánovas, G.V., Eds.; Springer: New York, NY, USA, 2015; pp. 41–63. ISBN 978-1-4939-2578-0. [Google Scholar]
- Zhang, Z.; Wang, B.; Adhikari, B. Maillard Reaction between Pea Protein Isolate and Maltodextrin via Wet-Heating Route for Emulsion Stabilisation. Future Foods 2022, 6, 100193. [Google Scholar] [CrossRef]
- Hemmler, D.; Roullier-Gall, C.; Marshall, J.W.; Rychlik, M.; Taylor, A.J.; Schmitt-Kopplin, P. Insights into the Chemistry of Non-Enzymatic Browning Reactions in Different Ribose-Amino Acid Model Systems. Sci. Rep. 2018, 8, 16879. [Google Scholar] [CrossRef] [PubMed]
- Mehta, B.M. Nutritional and Toxicological Aspects of the Chemical Changes of Food Components and Nutrients During Heating and Cooking. In Handbook of Food Chemistry; Cheung, P.C.K., Mehta, B.M., Eds.; Springer: Berlin/Heidelberg, Germany, 2014; pp. 1–33. ISBN 978-3-642-41609-5. [Google Scholar]
- Ephrem, E.; Najjar, A.; Charcosset, C.; Greige-Gerges, H. Encapsulation of Natural Active Compounds, Enzymes, and Probiotics for Fruit Juice Fortification, Preservation, and Pro-cessing: An Overview. J. Funct. Foods 2018, 48, 65–84. [Google Scholar] [CrossRef]
- Sogut, E.; Ertekin Filiz, B.; Seydim, A.C. A Model System Based on Glucose–Arginine to Monitor the Properties of Maillard Reaction Products. J. Food Sci. Technol. 2021, 58, 1005–1013. [Google Scholar] [CrossRef] [PubMed]
- Somjai, C.; Siriwoharn, T.; Kulprachakarn, K.; Chaipoot, S.; Phongphisutthinant, R.; Wiriyacharee, P. Utilization of Maillard Reaction in Moist-Dry-Heating System to Enhance Physicochemical and Antioxidative Properties of Dried Whole Longan Fruit. Heliyon 2021, 7, e07094. [Google Scholar] [CrossRef]
- Akıllıoğlu, H.G.; Chatterton, D.E.W.; Lund, M.N. Maillard Reaction Products and Amino Acid Cross-Links in Liquid Infant Formula: Effects of UHT Treatment and Storage. Food Chem. 2022, 396, 133687. [Google Scholar] [CrossRef]
- Wang, Y.; Hu, H.; McClements, D.J.; Nie, S.; Shen, M.; Li, C.; Huang, Y.; Chen, J.; Zeng, M.; Xie, M. Effect of Fatty Acids and Triglycerides on the Formation of Lysine-Derived Advanced Glycation End-Products in Model Systems Exposed to Frying Temperature. RSC Adv. 2019, 9, 15162–15170. [Google Scholar] [CrossRef]
- Tongtummachat, T.; Akkarawatkhoosith, N.; Kaewchada, A.; Jaree, A. Conversion of Glucose to 5-Hydroxymethylfurfural in a Microreactor. Front. Chem. 2020, 7, 951. [Google Scholar] [CrossRef] [PubMed]
- Shahidi, F.; Hossain, A. Role of Lipids in Food Flavor Generation. Molecules 2022, 27, 5014. [Google Scholar] [CrossRef] [PubMed]
- Wan, C.; Wang, Y.; Lian, C.; Chang, Q.; An, Y.; Chen, J.; Sun, J.; Hou, Z.; Yang, D.; Guo, X.; et al. Histidine-Specific Bioconjugation via Visible-Light-Promoted Thioacetal Activation. Chem. Sci. 2022, 13, 8289–8296. [Google Scholar] [CrossRef]
- Pogostin, B.H.; Malmendal, A.; Londergan, C.H.; Åkerfeldt, K.S. pKa Determination of a Histidine Residue in a Short Peptide Using Raman Spectroscopy. Molecules 2019, 24, 405. [Google Scholar] [CrossRef] [PubMed]
- Fitch, C.A.; Platzer, G.; Okon, M.; Garcia-Moreno E., B.; McIntosh, L.P. Arginine: Its pKa Value Revisited. Protein Sci. 2015, 24, 752–761. [Google Scholar] [CrossRef]
- Harms, M.J.; Schlessman, J.L.; Sue, G.R.; García-Moreno E., B. Arginine Residues at Internal Positions in a Protein Are Always Charged. Proc. Natl. Acad. Sci. USA 2011, 108, 18954–18959. [Google Scholar] [CrossRef]
- Thorpe, S.R.; Baynes, J.W. Maillard Reaction Products in Tissue Proteins: New Products and New Perspectives. Amino Acids 2003, 25, 275–281. [Google Scholar] [CrossRef] [PubMed]
- Zha, F.; Gao, K.; Rao, J.; Chen, B. Maillard-Driven Chemistry to Tune the Functionality of Pea Protein: Structure Characterization, Site-Specificity, and Aro-matic Profile. Trends Food Sci. Technol. 2021, 114, 658–671. [Google Scholar] [CrossRef]
- Zhang, M.; Vogel, H.J. etermination of the Side Chain pKa Values of the Lysine Residues in Calmodulin. J. Biol. Chem. 1993, 268, 22420–22428. [Google Scholar] [CrossRef]
- Isom, D.G.; Castañeda, C.A.; Cannon, B.R.; García-Moreno E., B. Large Shifts in pKa Values of Lysine Residues Buried inside a Protein. Proc. Natl. Acad. Sci. USA 2011, 108, 5260–5265. [Google Scholar] [CrossRef]
- Dyer, J.M.; Clerens, S.; Grosvenor, A.; Thomas, A.; Callaghan, C.; Deb-Choudhury, S.; Haines, S. Proteomic Tracking of Hydrothermal Maillard and Redox Modification in Lactoferrin and β-Lactoglobulin: Location of Lactosylation, Carboxymethylation, and Oxidation Sites. J. Dairy. Sci. 2016, 99, 3295–3304. [Google Scholar] [CrossRef] [PubMed]
- Meltretter, J.; Seeber, S.; Humeny, A.; Becker, C.-M.; Pischetsrieder, M. Site-Specific Formation of Maillard, Oxidation, and Condensation Products from Whey Proteins during Reaction with Lactose. J. Agric. Food Chem. 2007, 55, 6096–6103. [Google Scholar] [CrossRef] [PubMed]
- Cayot, P.; Lorient, D. Structures et Technofonctions des Protéines du Lait—Philippe CAYOT, Denis Lorient (EAN13: 9782743017460)|e.lavoisier—Ma Librairie Ebooks; Tec & Doc: Paris, France, 1997. [Google Scholar]
- Wieser, H. Chemistry of Gluten Proteins. Food Microbiol. 2007, 24, 115–119. [Google Scholar] [CrossRef]
- Calhoun, W.K.; Hepburn, F.N.; Bradley, W.B. The Availability of Lysine in Wheat, Flour, Bread and Gluten. J. Nutr. 1960, 70, 337–347. [Google Scholar] [CrossRef]
- Woychik, J.H.; Boundy, J.A.; Dimler, R.J. Wheat Gluten Proteins, Amino Acid Composition of Proteins in Wheat Gluten. J. Agric. Food Chem. 1961, 9, 307–310. [Google Scholar] [CrossRef]
- Chen, T.; Wei, C.-K.; Li, T.; Zhang, H.-L.; Ni, Z.-J.; Khan, M.R.; Wei, Z.-J. Effects of Reducing Sugars on the Structural and Flavor Properties of the Maillard Reaction Products of Lycium Barbarum Seed Meal. Foods 2023, 12, 4346. [Google Scholar] [CrossRef]
- Lin, H.-T.V.; Chan, D.-S.; Kao, L.-Y.; Sung, W.-C. Effect of Hydroxymethylfurfural and Low-Molecular-Weight Chitosan on Formation of Acrylamide and Hydroxymethylfurfural during Maillard Reaction in Glucose and Asparagine Model Systems. Polymers 2021, 13, 1901. [Google Scholar] [CrossRef]
- Belitz, H.-D.; Grosch, W.; Schieberle, P. Springer Food Chemistry, 4th ed.; 4th Revised and Extended Edition; Springer: Berlin/Heidelberg, Germany, 2009. [Google Scholar]
- Han, Z.; Gao, J.; Wang, X.; Wang, W.; Dong, J.; Zhang, Y.; Wang, S. Formation and Alterations of the Potentially Harmful Maillard Reaction Products during the Production and Storage of Brown Fermented Milk. Molecules 2019, 24, 272. [Google Scholar] [CrossRef]
- Moldoveanu, S.C. Analytical Pyrolysis of Caramel Colours and of Maillard Browning Polymers. Anal. Pyrolysis Nat. Org. Polym. 2021, 20, 315–333. [Google Scholar]
- Laemont, J.; Barringer, S. Effect of pH, Reducing Sugars, and Protein on Roasted Sunflower Seed Aroma Volatiles. Foods 2023, 12, 4155. [Google Scholar] [CrossRef]
- Smuda, M.; Glomb, M.A. Maillard Degradation Pathways of Vitamin C. Angew. Chem. Int. Ed. 2013, 52, 4887–4891. [Google Scholar] [CrossRef]
- Zhong, C.; Tan, S.; Langrish, T. Redness Generation via Maillard Reactions of Whey Protein Isolate (WPI) and Ascorbic Acid (Vitamin C) in Spray-Dried Powders. J. Food Eng. 2019, 244, 11–20. [Google Scholar] [CrossRef]
- Rufián-Henares, J.A.; Pastoriza, S. Maillard Reaction. In Encyclopedia of Food and Health; Caballero, B., Finglas, P.M., Toldrá, F., Eds.; Academic Press: Oxford, UK, 2016; pp. 593–600. ISBN 978-0-12-384953-3. [Google Scholar]
- Augustine, D.A.; Bent, G.-A. Acrylamide, a Toxic Maillard by-Product and Its Inhibition by Sulfur-Containing Compounds: A Mini Review. Front. Food. Sci. Technol. 2022, 2, 1072675. [Google Scholar] [CrossRef]
- Awoonor-Williams, E.; Rowley, C.N. Evaluation of Methods for the Calculation of the pKa of Cysteine Residues in Proteins. J. Chem. Theory Comput. 2016, 12, 4662–4673. [Google Scholar] [CrossRef]
- Kallis, G.B.; Holmgren, A. Differential Reactivity of the Functional Sulfhydryl Groups of Cysteine-32 and Cysteine-35 Present in the Reduced Form of Thioredoxin from Escherichia Coli. J. Biol. Chem. 1980, 255, 10261–10265. [Google Scholar] [CrossRef]
- Kortemme, T.; Creighton, T.E. Ionisation of Cysteine Residues at the Termini of Model α-Helical Peptides. Relevance to Unusual Thiol pKaValues in Proteins of the Thioredoxin Family. J. Mol. Biol. 1995, 253, 799–812. [Google Scholar] [CrossRef] [PubMed]
- Kella, N.K.D.; Kinsella, J.E. Structural Stability of β-Lactoglobulin in the Presence of Kosmotropic Salts A Kinetic and Thermodynamic Study. Int. J. Pept. Protein Res. 1988, 32, 396–405. [Google Scholar] [CrossRef] [PubMed]
- Lienhard, G.E.; Jencks, W.P. Thiol Addition to the Carbonyl Group. Equilibria and Kinetics1. J. Am. Chem. Soc. 1966, 88, 3982–3995. [Google Scholar] [CrossRef] [PubMed]
- Yang, S.; Zhang, Z.; Li, J.; Niu, Y.; Yu, L.L. Inhibition Mechanism of L-Cysteine on Maillard Reaction by Trapping 5-Hydroxymethylfurfural. Foods 2021, 10, 1391. [Google Scholar] [CrossRef]
- Nielsen, S.D.; Knudsen, L.J.; Bækgaard, L.T.; Rauh, V.; Larsen, L.B. Influence of Lactose on the Maillard Reaction and Dehydroalanine-Mediated Protein Cross-Linking in Casein and Whey. Foods 2022, 11, 897. [Google Scholar] [CrossRef]
- Nisbet, A.D.; Saundry, R.H.; Moir, A.J.G.; Fothergill, L.A.; Fothergill, J.E. The Complete Amino-Acid Sequence of Hen Ovalbumin. Eur. J. Biochem. 1981, 115, 335–345. [Google Scholar] [CrossRef]
- Campanella, B.; Onor, M.; D’Ulivo, A.; Giannarelli, S.; Bramanti, E. Impact of Protein Concentration on the Determination of Thiolic Groups of Ovalbumin: A Size Exclusion Chromatography–Chemical Vapor Generation–Atomic Fluorescence Spectrometry Study via Mercury Labeling. Anal. Chem. 2014, 86, 2251–2256. [Google Scholar] [CrossRef]
- Noda, K.; Terasawa, N.; Murata, M. Formation Scheme and Antioxidant Activity of a Novel Maillard Pigment, Pyrrolothiazolate, Formed from Cysteine and Glucose. Food Funct. 2016, 7, 2551–2556. [Google Scholar] [CrossRef] [PubMed]
- Sun, Y.; Zhang, P.; Wang, X.; Al-Zahrani, F.A.M.; de Leeuw, N.H.; Lin, L. Deciphering Key Coloured Compounds from Sunless Tanning Reactions. Dye. Pigment. 2022, 204, 110448. [Google Scholar] [CrossRef]
- Zhang, Z.; He, S.; Zhang, L.; Li, X.; Jin, R.; Liu, Q.; Chen, S.; Wang, J.; Sun, H. The Potential Application of Vegetable Oils in the D-Xylose and L-Cysteine Maillard Reaction System for Meaty Aroma Production. Food Res. Int. 2022, 155, 111081. [Google Scholar] [CrossRef] [PubMed]
- Yu, A.-N.; Tan, Z.-W.; Wang, F.-S. Mechanism of Formation of Sulphur Aroma Compounds from L-Ascorbic Acid and l-Cysteine during the Maillard Reaction. Food Chem. 2012, 132, 1316–1323. [Google Scholar] [CrossRef]
- Billaud, C.; Maraschin, C.; Peyrat-Maillard, M.-N.; Nicolas, J. Maillard Reaction Products Derived from Thiol Compounds as Inhibitors of Enzymatic Browning of Fruits and Vegetables: The Structure-Activity Relationship. Ann. N. Y. Acad. Sci. 2005, 1043, 876–885. [Google Scholar] [CrossRef]
- Hofmann, T.; Schieberle, P. Chemical Interactions between Odor-Active Thiols and Melanoidins Involved in the Aroma Staling of Coffee Beverages. J. Agric. Food Chem. 2002, 50, 319–326. [Google Scholar] [CrossRef]
- Kukuminato, S.; Koyama, K.; Koseki, S. Antibacterial Properties of Melanoidins Produced from Various Combinations of Maillard Reaction against Pathogenic Bacteria. Microbiol. Spectr. 2021, 9, e01142-21. [Google Scholar] [CrossRef]
- Karanth, S.; Feng, S.; Patra, D.; Pradhan, A.K. Linking Microbial Contamination to Food Spoilage and Food Waste: The Role of Smart Packaging, Spoilage Risk Assess-ments, and Date Labeling. Front. Microbiol. 2023, 14, 1198124. [Google Scholar] [CrossRef]
- Quinto, E.J.; Caro, I.; Villalobos-Delgado, L.H.; Mateo, J.; De-Mateo-Silleras, B.; Redondo-Del-Río, M.P. Food Safety through Natural Antimicrobials. Antibiotics 2019, 8, 208. [Google Scholar] [CrossRef]
- Wen, F.; Zeng, C.; Yang, Y.; Xu, T.; Wang, H.; Wang, S. Sensory Attributes and Functional Properties of Maillard Reaction Products Derived from the Crassosotrea Gigas (Ostrea Rivularis Gould) Enzymatic Hydrolysate and Xylose System. Heliyon 2023, 9, e14774. [Google Scholar] [CrossRef]
- Bolchini, S.; Angeli, L.; Ferrentino, G.; Van Boekel, M.A.J.S.; Amorati, R.; Scampicchio, M.; Morozova, K. Free Radical Scavenging Kinetics of Maillard Reaction Products: A Glucose-Glycine Model System. LWT 2025, 217, 117316. [Google Scholar] [CrossRef]
- Pruteanu, L.L.; Bailey, D.S.; Grădinaru, A.C.; Jäntschi, L. The Biochemistry and Effectiveness of Antioxidants in Food, Fruits, and Marine Algae. Antioxidants 2023, 12, 860. [Google Scholar] [CrossRef] [PubMed]
- Yu, J.; Hu, N.; Hou, L.; Hang, F.; Li, K.; Xie, C. Extraction Methods of Melanoidins and Its Potential as a Natural Pigment. Food Sci. Technol. 2023, 43, e113322. [Google Scholar] [CrossRef]
- Martinez-Gomez, A.; Caballero, I.; Blanco, C.A. Phenols and Melanoidins as Natural Antioxidants in Beer. Structure, Reactivity and Antioxidant Activity. Biomolecules 2020, 10, 400. [Google Scholar] [CrossRef] [PubMed]
- Etcheverry, P.; Grusak, M.A.; Fleige, L.E. Application of in Vitro Bioaccessibility and Bioavailability Methods for Calcium, Carotenoids, Folate, Iron, Magnesium, Polyphenols, Zinc, and Vitamins B6, B12, D, and E. Front. Physiol. 2012, 3, 317. [Google Scholar] [CrossRef]
- Fanelli, N.S.; Bailey, H.M.; Guardiola, L.V.; Stein, H.H. Values for Digestible Indispensable Amino Acid Score (DIAAS) Determined in Pigs Are Greater for Milk Than for Breakfast Cereals, but DIAAS Values for Individual Ingredients Are Additive in Combined Meals. J. Nutr. 2021, 151, 540–547. [Google Scholar] [CrossRef]
- Fanelli, N.S.; Bailey, H.M.; Thompson, T.W.; Delmore, R.; Nair, M.N.; Stein, H.H. Digestible Indispensable Amino Acid Score (DIAAS) Is Greater in Animal-Based Burgers than in Plant-Based Burgers If De-termined in Pigs. Eur. J. Nutr. 2022, 61, 461–475. [Google Scholar] [CrossRef]
- Ajomiwe, N.; Boland, M.; Phongthai, S.; Bagiyal, M.; Singh, J.; Kaur, L. Protein Nutrition: Understanding Structure, Digestibility, and Bioavailability for Optimal Health. Foods 2024, 13, 1771. [Google Scholar] [CrossRef]
- Gül Akıllıoğlu, H.; Savaş Bahçeci, K.; Gökmen, V. Investigation and Kinetic Evaluation of Furan Formation in Tomato Paste and Pulp during Heating. Food Res. Int. 2015, 78, 224–230. [Google Scholar] [CrossRef] [PubMed]
- Bulanda, S.; Janoszka, B. Consumption of Thermally Processed Meat Containing Carcinogenic Compounds (Polycyclic Aromatic Hydrocarbons and Heterocyclic Aromatic Amines) versus a Risk of Some Cancers in Humans and the Possibility of Reducing Their Formation by Natural Food Additives—A Literature Review. Int. J. Environ. Res. Public Health 2022, 19, 4781. [Google Scholar] [CrossRef]
- Delgado-Andrade, C. Carboxymethyl-Lysine: Thirty Years of Investigation in the Field of AGE Formation. Food Funct. 2016, 7, 46–57. [Google Scholar] [CrossRef] [PubMed]
- Zhang, Y.; Ren, Y.; Zhang, Y. New Research Developments on Acrylamide: Analytical Chemistry, Formation Mechanism, and Mitigation Recipes. Chem. Rev. 2009, 109, 4375–4397. [Google Scholar] [CrossRef]
- Yan, F.; Wang, L.; Zhao, L.; Wang, C.; Lu, Q.; Liu, R. Acrylamide in Food: Occurrence, Metabolism, Molecular Toxicity Mechanism and Detoxification by Phytochemicals. Food Chem. Toxicol. 2023, 175, 113696. [Google Scholar] [CrossRef]
- EFSA Panel on Contaminants in the Food. Scientific Opinion on Acrylamide in Food. EFSA J. 2015, 13, 4104. [Google Scholar] [CrossRef]
- Koszucka, A.; Nowak, A. Thermal Processing Food-Related Toxicants: A Review. Crit. Rev. Food Sci. Nutr. 2019, 59, 3579–3596. [Google Scholar] [CrossRef]
- EFSA Panel on Contaminants in the Food; Knutsen, H.K.; Alexander, J.; Barregård, L.; Bignami, M.; Brüschweiler, B.; Ceccatelli, S.; Cottrill, B.; Dinovi, M.; Edler, L.; et al. Risks for Public Health Related to the Presence of Furan and Methylfurans in Food. EFSA J. 2017, 15, e05005. [Google Scholar] [CrossRef]
- Friedman, M. Chemistry, Biochemistry, and Safety of Acrylamide. A Review. J. Agric. Food Chem. 2003, 51, 4504–4526. [Google Scholar] [CrossRef]
- Barzegar, F.; Kamankesh, M.; Mohammadi, A. Recent Development in Formation, Toxic Effects, Human Health and Analytical Techniques of Food Contaminants. Food Rev. Int. 2023, 39, 1157–1183. [Google Scholar] [CrossRef]
- Gironés-Vilaplana, A.; Villaño, D.; Marhuenda, J.; Moreno, D.A.; García-Viguera, C. Chapter 6—Vitamins. In Nutraceutical and Functional Food Components; Galanakis, C.M., Ed.; Academic Press: Cambridge, MA, USA, 2017; pp. 159–201. ISBN 978-0-12-805257-0. [Google Scholar]
- Murata, M. Browning and Pigmentation in Food through the Maillard Reaction. Glycoconj. J. 2021, 38, 283–292. [Google Scholar] [CrossRef] [PubMed]
- Mohd Hashim, M.N.; Abd-Talib, N.; Yaji, E.L.A.; Kelly, Y.T.L.; Razali, N.; Pa’ee, K.F. The Effect of Frying on Browning, Acrylamide and 5-Hydroxymethylfurfural Formation on Malaysian Curry Puff Skin Treated with l-Asparaginase. Food Sci. Biotechnol. 2021, 30, 149–158. [Google Scholar] [CrossRef] [PubMed]
- Qiu, J.; Li, H.; Liu, Y.; Li, C.; Fang, Z.; Hu, B.; Li, X.; Zeng, Z.; Liu, Y. Changes in Flavor and Biological Activities of Lentinula Edodes Hydrolysates after Maillard Reaction. Food Chem. 2024, 431, 137138. [Google Scholar] [CrossRef] [PubMed]
- Nooshkam, M.; Varidi, M. Chapter Twelve—Antioxidant and Antibrowning Properties of Maillard Reaction Products in Food and Biological Systems. In Vitamins and Hormones; Litwack, G., Ed.; Glycation; Academic Press: Cambridge, MA, USA, 2024; Volume 125, pp. 367–399. [Google Scholar]
- Tran, T.N.; Doan, C.T.; Nguyen, V.B.; Nguyen, A.D.; Wang, S.-L. Anti-Oxidant and Anti-Diabetes Potential of Water-Soluble Chitosan–Glucose Derivatives Produced by Maillard Reaction. Polymers 2019, 11, 1714. [Google Scholar] [CrossRef]
- Hwang, I.G.; Kim, H.Y.; Woo, K.S.; Lee, J.; Jeong, H.S. Biological Activities of Maillard Reaction Products (MRPs) in a Sugar–Amino Acid Model System. Food Chem. 2011, 126, 221–227. [Google Scholar] [CrossRef]
- Kitts, D.D.; Chen, X.-M.; Jing, H. Demonstration of Antioxidant and Anti-Inflammatory Bioactivities from Sugar–Amino Acid Maillard Reaction Products. J. Agric. Food Chem. 2012, 60, 6718–6727. [Google Scholar] [CrossRef]
- Seiquer, I.; Rubio, L.A.; Peinado, M.J.; Delgado-Andrade, C.; Navarro, M.P. Maillard Reaction Products Modulate Gut Microbiota Composition in Adolescents. Mol. Nutr. Food Res. 2014, 58, 1552–1560. [Google Scholar] [CrossRef]
- Liang, Y.; Zhang, H.; Tian, L.; Shi, C.; Zheng, Y.; Wang, J.; Tan, Y.; Luo, Y.; Hong, H. Gut Microbiota and Metabolic Profile as Affected by Maillard Reaction Products Derived from Bighead Carp Meat Hydrol-ysates with Galactose and Galacto-Oligosaccharides during in Vitro Pig Fecal Fermentation. Food Chem. 2023, 398, 133905. [Google Scholar] [CrossRef]
- Gupta, R.K.; Kriti, G.; Akanksha, S.; Mukul, D.; Irfan, A.; Dwivedi, P.D. Maillard Reaction in Food Allergy: Pros and Cons. Crit. Rev. Food Sci. Nutr. 2018, 58, 208–226. [Google Scholar] [CrossRef]
- Kong, S.Y.; Takeuchi, M.; Hyogo, H.; McKeown-Eyssen, G.; Yamagishi, S.; Chayama, K.; O’Brien, P.J.; Ferrari, P.; Overvad, K.; Olsen, A.; et al. The Association between Glyceraldehyde-Derived Advanced Glycation End-Products and Colorectal Cancer Risk. Cancer Epidemiol. Biomark. Prev. 2015, 24, 1855–1863. [Google Scholar] [CrossRef]
- Monnier, V.M.; Taniguchi, N. Advanced Glycation in Diabetes, Aging and Age-Related Diseases: Editorial and Dedication. Glycoconj. J. 2016, 33, 483–486. [Google Scholar] [CrossRef] [PubMed]
- Vicente Miranda, H.; Szegő, É.M.; Oliveira, L.M.A.; Breda, C.; Darendelioglu, E.; de Oliveira, R.M.; Ferreira, D.G.; Gomes, M.A.; Rott, R.; Oliveira, M.; et al. Glycation Potentiates α-Synuclein-Associated Neurodegeneration in Synucleinopathies. Brain 2017, 140, 1399–1419. [Google Scholar] [CrossRef]
- Zhang, Y.; Huang, M.; Wang, Q.; Cheng, J. Structure-Guided Unravelling: Phenolic Hydroxyls Contribute to Reduction of Acrylamide Using Multiplex Quantitative Structure–Activity Relationship Modelling. Food Chem. 2016, 199, 492–501. [Google Scholar] [CrossRef] [PubMed]
- Constantinou, C.; Koutsidis, G. Investigations on the Effect of Antioxidant Type and Concentration and Model System Matrix on Acrylamide Formation in Model Maillard Reaction Systems. Food Chem. 2016, 197, 769–775. [Google Scholar] [CrossRef]
- Bhuiyan, M.N.I.; Mitsuhashi, S.; Sigetomi, K.; Ubukata, M. Quercetin Inhibits Advanced Glycation End Product Formation via Chelating Metal Ions, Trapping Methylglyoxal, and Trapping Reactive Oxygen Species. Biosci. Biotechnol. Biochem. 2017, 81, 882–890. [Google Scholar] [CrossRef]
- Culetu, A.; Fernandez-Gomez, B.; Ullate, M.; del Castillo, M.D.; Andlauer, W. Effect of Theanine and Polyphenols Enriched Fractions from Decaffeinated Tea Dust on the Formation of Maillard Reaction Products and Sensory Attributes of Breads. Food Chem. 2016, 197, 14–23. [Google Scholar] [CrossRef]
- Shen, Y.; Xu, Z.; Sheng, Z. Ability of Resveratrol to Inhibit Advanced Glycation End Product Formation and Carbohydrate-Hydrolyzing Enzyme Ac-tivity, and to Conjugate Methylglyoxal. Food Chem. 2017, 216, 153–160. [Google Scholar] [CrossRef]
- Zhao, T.; Xi, J.; Zhang, C.; Ma, Y.; Wang, X. Using Adinandra Nitida Leaf Extract to Prevent Heterocyclic Amine Formation in Fried Chicken Patties. RSC Adv. 2021, 11, 6831–6841. [Google Scholar] [CrossRef] [PubMed]
- Fu, Y.; Jia, Y.; Sun, Y.; Liu, X.; Yi, J.; Cai, S. Dietary Flavonoids Alleviate Inflammation and Vascular Endothelial Barrier Dysfunction Induced by Advanced Glycation End Products In Vitro. Nutrients 2022, 14, 1026. [Google Scholar] [CrossRef]
- Hazra, S.; Hossain, M.; Kumar, G.S. Studies on α-, β-, and γ-Cyclodextrin Inclusion Complexes of Isoquinoline Alkaloids Berberine, Palmatine and Coralyne. J. Incl. Phenom. Macrocycl. Chem. 2014, 78, 311–323. [Google Scholar] [CrossRef]
- Tang, M.; Cheng, L.; Liu, Y.; Wu, Z.; Zhang, X.; Luo, S. Plant Polysaccharides Modulate Immune Function via the Gut Microbiome and May Have Potential in COVID-19 Therapy. Molecules 2022, 27, 2773. [Google Scholar] [CrossRef] [PubMed]
- Zhu, R.; Hong, M.; Zhuang, C.; Zhang, L.; Wang, C.; Liu, J.; Duan, Z.; Shang, F.; Hu, F.; Li, T.; et al. Pectin Oligosaccharides from Hawthorn (Crataegus Pinnatifida Bunge. Var. Major) Inhibit the Formation of Advanced Gly-cation End Products in Infant Formula Milk Powder. Food Funct. 2019, 10, 8081–8093. [Google Scholar] [CrossRef] [PubMed]
- Masyita, A.; Mustika Sari, R.; Dwi Astuti, A.; Yasir, B.; Rahma Rumata, N.; Emran, T.B.; Nainu, F.; Simal-Gandara, J. Terpenes and Terpenoids as Main Bioactive Compounds of Essential Oils, Their Roles in Human Health and Potential Ap-plication as Natural Food Preservatives. Food Chem. X 2022, 13, 100217. [Google Scholar] [CrossRef]
- Parvin, R.; Seo, J.; Eom, J.-U.; Ahamed, Z.; Yang, H.-S. Inhibitory and Antioxidative Capacity of Nutmeg Extracts on Reduction of Lipid Oxidation and Heterocyclic Amines in Pan-Roasted Beef Patties. Meat Sci. 2023, 197, 109064. [Google Scholar] [CrossRef]
- Gumus, D.; Kizil, M. Comparison of the Reducing Effects of Blueberry and Propolis Extracts on Heterocyclic Aromatic Amines Formation in Pan Fried Beef. Meat Sci. 2022, 186, 108746. [Google Scholar] [CrossRef]
- Jing, Y.; Li, X.; Hu, X.; Ma, Z.; Liu, L.; Ma, X. Effect of Buckwheat Extracts on Acrylamide Formation and the Quality of Bread. J. Sci. Food Agric. 2019, 99, 6482–6489. [Google Scholar] [CrossRef]
- Teng, H.; Chen, Y.; Lin, X.; Lv, Q.; Chai, T.-T.; Wong, F.-C.; Chen, L.; Xiao, J. Inhibitory Effect of the Extract from Sonchus Olearleu on the Formation of Carcinogenic Heterocyclic Aromatic Amines dur-ing the Pork Cooking. Food Chem. Toxicol. 2019, 129, 138–143. [Google Scholar] [CrossRef] [PubMed]
- Macit, A.; Kizil, M. Effect of Olive Leaf Extract Marination on Heterocyclic Aromatic Amine Formation in Pan-Fried Salmon. J. Sci. Food Agric. 2022, 102, 3908–3915. [Google Scholar] [CrossRef]
- Trujillo-Mayol, I.; Madalena, C.; Sobral, M.; Viegas, O.; Cunha, S.C.; Alarcón-Enos, J.; Pinho, O.; Ferreira, I.M.P.L.V.O. Incorporation of Avocado Peel Extract to Reduce Cooking-Induced Hazards in Beef and Soy Burgers: A Clean Label Ingre-dient. Food Res. Int. 2021, 147, 110434. [Google Scholar] [CrossRef]
- Tengilimoglu-Metin, M.M.; Hamzalioglu, A.; Gokmen, V.; Kizil, M. Inhibitory Effect of Hawthorn Extract on Heterocyclic Aromatic Amine Formation in Beef and Chicken Breast Meat. Food Res. Int. 2017, 99, 586–595. [Google Scholar] [CrossRef]
- Khan, I.A.; Liu, D.; Yao, M.; Memon, A.; Huang, J.; Huang, M. Inhibitory Effect of Chrysanthemum Morifolium Flower Extract on the Formation of Heterocyclic Amines in Goat Meat Patties Cooked by Various Cooking Methods and Temperatures. Meat Sci. 2019, 147, 70–81. [Google Scholar] [CrossRef] [PubMed]
- Khan, M.R.; Busquets, R.; Azam, M. Blueberry, Raspberry, and Strawberry Extracts Reduce the Formation of Carcinogenic Heterocyclic Amines in Fried Camel, Beef and Chicken Meats. Food Control 2021, 123, 107852. [Google Scholar] [CrossRef]
- Li, M.; Lin, S.; Wang, R.; Gao, D.; Bao, Z.; Chen, D.; Tang, Y.; Sun, N.; Zhang, S. Inhibitory Effect and Mechanism of Various Fruit Extracts on the Formation of Heterocyclic Aromatic Amines and Flavor Changes in Roast Large Yellow Croaker (Pseudosciaena crocea). Food Control 2022, 131, 108410. [Google Scholar] [CrossRef]
- Zhou, Y.; Zhang, M.; Ma, Z.; Li, Z.; Ma, Q.; Wang, L. Effect of Spices on the Formation and Inhibition of Heterocyclic Amines in Barbecued Pork. Food Meas. 2024, 18, 883–893. [Google Scholar] [CrossRef]
- Yang, D.; He, Z.; Wang, Z.; Fang, Q.; Oz, F.; Chen, J.; Zeng, M. Processing Stage-Guided Effects of Spices on the Formation and Accumulation of Heterocyclic Amines in Smoked and Cooked Sausages. Food Biosci. 2022, 47, 101776. [Google Scholar] [CrossRef]
- Arámbula-Villa, G.; Flores-Casamayor, V.; Velés-Medina, J.J.; Salazar, R. Mitigating Effect of Calcium and Magnesium on Acrylamide Formation in Tortilla Chips. Cereal Chem. 2018, 95, 94–97. [Google Scholar] [CrossRef]
- Zhu, Y.; Luo, Y.; Sun, G.; Wang, P.; Hu, X.; Chen, F. Role of Glutathione on Acrylamide Inhibition: Transformation Products and Mechanism. Food Chem. 2020, 326, 126982. [Google Scholar] [CrossRef]
- Qi, Y.; Zhang, H.; Wu, G.; Zhang, H.; Gu, L.; Wang, L.; Qian, H.; Qi, X. Mitigation Effects of Proanthocyanidins with Different Structures on Acrylamide Formation in Chemical and Fried Potato Crisp Models. Food Chem. 2018, 250, 98–104. [Google Scholar] [CrossRef] [PubMed]
- Qi, Y.; Zhang, H.; Wu, G.; Zhang, H.; Wang, L.; Qian, H.; Qi, X. Reduction of 5-Hydroxymethylfurfural Formation by Flavan-3-Ols in Maillard Reaction Models and Fried Potato Chips. J. Sci. Food Agric. 2018, 98, 5294–5301. [Google Scholar] [CrossRef]
- Heydari Ashkezari, M.; Salehifar, M. Inhibitory Effects of Pomegranate Flower Extract and Vitamin B3 on the Formation of Acrylamide during the Donut Making Process. Food Meas. 2019, 13, 735–744. [Google Scholar] [CrossRef]
- Yang, H.; Li, L.; Yin, Y.; Li, B.; Zhang, X.; Jiao, W.; Liang, Y. Effect of Ground Ginger on Dough and Biscuit Characteristics and Acrylamide Content. Food Sci. Biotechnol. 2019, 28, 1359–1366. [Google Scholar] [CrossRef] [PubMed]
- Zhu, Y.; Luo, Y.; Sun, G.; Wang, P.; Hu, X.; Chen, F. The Simultaneous Inhibition of Histidine on 5-Hydroxymethylfurfural and Acrylamide in Model Systems and Cookies. Food Chem. 2022, 370, 131271. [Google Scholar] [CrossRef] [PubMed]
- Pedreschi, F.; Saavedra, I.; Bunger, A.; Zuñiga, R.N.; Pedreschi, R.; Chirinos, R.; Campos, D.; Mariotti-Celis, M.S. Tara Pod (Caesalpinia Spinosa) Extract Mitigates Neo-Contaminant Formation in Chilean Bread Preserving Their Sensory Attributes. LWT 2018, 95, 116–122. [Google Scholar] [CrossRef]
- Zhang, Y.; An, X. Inhibitory Mechanism of Quercetin against the Formation of 5-(Hydroxymethyl)-2-Furaldehyde in Buckwheat Flour Bread by Ultra-Performance Liquid Chromatography Coupled with High-Resolution Tandem Mass Spectrometry. Food Res. Int. 2017, 95, 68–81. [Google Scholar] [CrossRef]
- Abrantes, T.; Moura-Nunes, N.; Perrone, D. Gallic Acid Mitigates 5-Hydroxymethylfurfural Formation While Enhancing or Preserving Browning and Antioxidant Activity Development in Glucose/Arginine and Sucrose/Arginine Maillard Model Systems. Molecules 2022, 27, 848. [Google Scholar] [CrossRef] [PubMed]
- Khaneghah, A.M.; Gavahian, M.; Xia, Q.; Denoya, G.I.; Roselló-Soto, E.; Barba, F.J. 6—Effect of Pulsed Electric Field on Maillard Reaction and Hydroxymethylfurfural Production. In Pulsed Electric Fields to Obtain Healthier and Sustainable Food for Tomorrow; Barba, F.J., Parniakov, O., Wiktor, A., Eds.; Academic Press: Cambridge, MA, USA, 2020; pp. 129–140. ISBN 978-0-12-816402-0. [Google Scholar]
- Michalak, J.; Czarnowska-Kujawska, M.; Klepacka, J.; Gujska, E. Effect of Microwave Heating on the Acrylamide Formation in Foods. Molecules 2020, 25, 4140. [Google Scholar] [CrossRef]
- Sansano, M.; De los Reyes, R.; Andrés, A.; Heredia, A. Effect of Microwave Frying on Acrylamide Generation, Mass Transfer, Color, and Texture in French Fries. Food Bioprocess. Technol. 2018, 11, 1934–1939. [Google Scholar] [CrossRef]
- Tsevdou, M.; Ntzimani, A.; Katsouli, M.; Dimopoulos, G.; Tsimogiannis, D.; Taoukis, P. Comparative Study of Microwave, Pulsed Electric Fields, and High Pressure Processing on the Extraction of Antioxidants from Olive Pomace. Molecules 2024, 29, 2303. [Google Scholar] [CrossRef]
- Yi, J.; Kebede, B.T.; Hai Dang, D.N.; Buvé, C.; Grauwet, T.; Van Loey, A.; Hu, X.; Hendrickx, M. Quality Change during High Pressure Processing and Thermal Processing of Cloudy Apple Juice. LWT 2017, 75, 85–92. [Google Scholar] [CrossRef]
- Avila Ruiz, G.; Xi, B.; Minor, M.; Sala, G.; van Boekel, M.; Fogliano, V.; Stieger, M. High-Pressure–High-Temperature Processing Reduces Maillard Reaction and Viscosity in Whey Protein–Sugar Solutions. J. Agric. Food Chem. 2016, 64, 7208–7215. [Google Scholar] [CrossRef]
- Cappato, L.P.; Ferreira, M.V.S.; Guimaraes, J.T.; Portela, J.B.; Costa, A.L.R.; Freitas, M.Q.; Cunha, R.L.; Oliveira, C.A.F.; Mercali, G.D.; Marzack, L.D.F.; et al. Ohmic Heating in Dairy Processing: Relevant Aspects for Safety and Quality. Trends Food Sci. Technol. 2017, 62, 104–112. [Google Scholar] [CrossRef]
- Silva, R.; Rocha, R.S.; Guimarães, J.T.; Balthazar, C.F.; Scudino, H.; Ramos, G.L.P.A.; Pimentel, T.C.; Silva, M.C.; Henrique, F.; Silva, P.; et al. Dulce de Leche Submitted to Ohmic Heating Treatment: Consumer Sensory Profile Using Preferred Attribute Elicitation (PAE) and Temporal Check-All-That-Apply (TCATA). Food Res. Int. 2020, 134, 109217. [Google Scholar] [CrossRef] [PubMed]
- Pires, R.P.S.; Cappato, L.P.; Guimarães, J.T.; Rocha, R.S.; Silva, R.; Balthazar, C.F.; Freitas, M.Q.; Silva, P.H.F.; Neto, R.P.C.; Tavares, M.I.B.; et al. Ohmic Heating for Infant Formula Processing: Evaluating the Effect of Different Voltage Gradient. J. Food Eng. 2020, 280, 109989. [Google Scholar] [CrossRef]
- Zhang, X.; Zhang, M.; Adhikari, B. Recent Developments in Frying Technologies Applied to Fresh Foods. Trends Food Sci. Technol. 2020, 98, 68–81. [Google Scholar] [CrossRef]
- Verma, V.; Singh, V.; Chauhan, O.P.; Yadav, N. Comparative Evaluation of Conventional and Advanced Frying Methods on Hydroxymethylfurfural and Acrylamide For-mation in French Fries. Innov. Food Sci. Emerg. Technol. 2023, 83, 103233. [Google Scholar] [CrossRef]
- Belkova, B.; Hradecky, J.; Hurkova, K.; Forstova, V.; Vaclavik, L.; Hajslova, J. Impact of Vacuum Frying on Quality of Potato Crisps and Frying Oil. Food Chem. 2018, 241, 51–59. [Google Scholar] [CrossRef]
- Devseren, E.; Okut, D.; Koç, M.; Ocak, Ö.Ö.; Karataş, H.; Kaymak-Ertekin, F. Effect of Vacuum Frying Conditions on Quality of French Fries and Frying Oil. Acta Chim. Slov. 2021, 68, 25–36. [Google Scholar] [CrossRef]
- Luo, D.; Pan, X.; Zhang, W.; Bi, S.; Wu, J. Effect of Glucose Oxidase Treatment on the Aroma Qualities and Release of Cooked Off-Odor Components from Heat-Treated Hami Melon Juice. Food Chem. 2022, 371, 131166. [Google Scholar] [CrossRef]
- Alam, S.; Ahmad, R.; Pranaw, K.; Mishra, P.; Khare, S.K. Asparaginase Conjugated Magnetic Nanoparticles Used for Reducing Acrylamide Formation in Food Model System. Bioresour. Technol. 2018, 269, 121–126. [Google Scholar] [CrossRef]
- Xu, F.; Oruna-Concha, M.-J.; Elmore, J.S. The Use of Asparaginase to Reduce Acrylamide Levels in Cooked Food. Food Chem. 2016, 210, 163–171. [Google Scholar] [CrossRef]
- Lemos, A.C.; de Borba, V.S.; Burkert, J.F.d.M.; Scaglioni, P.T.; Badiale-Furlong, E. Role of White Bread Matrix Components and Processing Parameters on 5-Hydroxymethylfurfural (HMF) and Acrylamide Formation. Food Control 2023, 145, 109407. [Google Scholar] [CrossRef]
- Shen, Y.; Chen, G.; Li, Y. Bread Characteristics and Antioxidant Activities of Maillard Reaction Products of White Pan Bread Containing Various Sug-ars. LWT 2018, 95, 308–315. [Google Scholar] [CrossRef]
- Parisi, S.; Luo, W. The Importance of Maillard Reaction in Processed Foods. In Chemistry of Maillard Reactions in Processed Foods; Parisi, S., Luo, W., Eds.; Springer International Publishing: Cham, Switzerland, 2018; pp. 1–37. ISBN 978-3-319-95463-9. [Google Scholar]
- Hosen, A.; Al-Mamun, A.; Robin, M.A.; Habiba, U.; Sultana, R. Maillard Reaction: Food Processing Aspects. North Am. Acad. Res. 2021, 4, 44–52. [Google Scholar] [CrossRef]
- Kim, I.-S.; Kim, C.-H.; Yang, W.-S. Physiologically Active Molecules and Functional Properties of Soybeans in Human Health—A Current Perspective. Int. J. Mol. Sci. 2021, 22, 4054. [Google Scholar] [CrossRef] [PubMed]
- Kubo, M.T.K.; dos Reis, B.H.G.; Sato, L.N.I.; Gut, J.A.W. Microwave and Conventional Thermal Processing of Soymilk: Inactivation Kinetics of Lipoxygenase and Trypsin Inhibitors Activity. LWT 2021, 145, 111275. [Google Scholar] [CrossRef]
- Kowalski, S.; Lukasiewicz, M.; Duda-Chodak, A.; Zięć, G. 5-Hydroxymethyl-2-Furfural (HMF)—Heat-Induced Formation, Occurrence in Food and Biotransformation—A Review. Pol. J. Food Nutr. Sci. 2013, 63, 207–225. [Google Scholar] [CrossRef]
- Krishna, T.C.; Najda, A.; Bains, A.; Tosif, M.M.; Papliński, R.; Kapłan, M.; Chawla, P. Influence of Ultra-Heat Treatment on Properties of Milk Proteins. Polymers 2021, 13, 3164. [Google Scholar] [CrossRef]
- Goulding, D.A.; Fox, P.F.; O’Mahony, J.A. Chapter 2—Milk Proteins: An Overview. In Milk Proteins, 3rd ed; Boland, M., Singh, H., Eds.; Academic Press: Cambridge, MA, USA, 2020; pp. 21–98. ISBN 978-0-12-815251-5. [Google Scholar]
- Li, L.; Belloch, C.; Flores, M. The Maillard Reaction as Source of Meat Flavor Compounds in Dry Cured Meat Model Systems under Mild Temperature Conditions. Molecules 2021, 26, 223. [Google Scholar] [CrossRef]
- Dong, Z.Y.; Liu, W.; Zhou, Y.J.; Ren, H.; Li, M.Y.; Liu, Y. Effects of Ultrasonic Treatment on Maillard Reaction and Product Characteristics of Enzymatic Hydrolysate Derived from Mussel Meat. J. Food Process Eng. 2019, 42, e13206. [Google Scholar] [CrossRef]
- Semedo Tavares, W.P.; Dong, S.; Jin, W.; Yang, Y.; Han, K.; Zha, F.; Zhao, Y.; Zeng, M. Effect of Different Cooking Conditions on the Profiles of Maillard Reaction Products and Nutrient Composition of Hairtail (Thichiurus Lepturus) Fillets. Food Res. Int. 2018, 103, 390–397. [Google Scholar] [CrossRef]
- Yıldırım, H.K. 2—Insights into the Role of Yeasts in Alcoholic Beverages. In Microbial Biotechnology in Food and Health; Ray, R.C., Ed.; Applied Biotechnology Reviews; Academic Press: Cambridge, MA, USA, 2021; pp. 21–52. ISBN 978-0-12-819813-1. [Google Scholar]
- Baxter, E.D.; Hughes, P.S. Beer: Quality, Safety and Nutritional Aspects; Royal Society of Chemistry: London, UK, 2001; ISBN 978-0-85404-588-4. [Google Scholar]
- Nematollahi, A.; Mollakhalili Meybodi, N.; Mousavi Khaneghah, A. An Overview of the Combination of Emerging Technologies with Conventional Methods to Reduce Acrylamide in Different Food Products: Perspectives and Future Challenges. Food Control 2021, 127, 108144. [Google Scholar] [CrossRef]
- Sruthi, N.U.; Premjit, Y.; Pandiselvam, R.; Kothakota, A.; Ramesh, S.V. An Overview of Conventional and Emerging Techniques of Roasting: Effect on Food Bioactive Signatures. Food Chem. 2021, 348, 129088. [Google Scholar] [CrossRef] [PubMed]
- Pico, J.; Bernal, J.; Gómez, M. Wheat Bread Aroma Compounds in Crumb and Crust: A Review. Food Res. Int. 2015, 75, 200–215. [Google Scholar] [CrossRef]
- Nguyen, H.T.; Van der Fels-Klerx, H.J.; Peters, R.J.B.; Van Boekel, M.A.J.S. Acrylamide and 5-Hydroxymethylfurfural Formation during Baking of Biscuits: Part I: Effects of Sugar Type. Food Chem. 2016, 192, 575–585. [Google Scholar] [CrossRef] [PubMed]
- Devu, S.S.; Dileepmon, R.; Kothakota, A.; Venkatesh, T.; Pandiselvam, R.; Garg, R.; Jambrak, A.; Mediboyina, M.K.; Kumar, M.; Rajkumar; et al. Recent Advancements in Baking Technologies to Mitigate Formation of Toxic Compounds: A Comprehensive Review. Food Control 2022, 135, 108707. [Google Scholar] [CrossRef]
- Žilić, S.; Aktağ, I.G.; Dodig, D.; Gökmen, V. Investigations on the Formation of Maillard Reaction Products in Sweet Cookies Made of Different Cereals. Food Res. Int. 2021, 144, 110352. [Google Scholar] [CrossRef]
- Çelik, E.E.; Gökmen, V. Formation of Maillard Reaction Products in Bread Crust-like Model System Made of Different Whole Cereal Flours. Eur. Food Res. Technol. 2020, 246, 1207–1218. [Google Scholar] [CrossRef]















| Name | Abbreviation | Structure | IARC Carcinogenic Goup * |
|---|---|---|---|
| Polar HAAs (“thermic compounds”) | |||
| 2-amino-3-methylimidazo [4,5-f]quinoline | IQ | ![]() | 2A |
| 2-amino-3,4-dimethylimidazo [4,5-f]quinoline | MeIQ | ![]() | 2B |
| 2-amino-3,8-dimethylimidazo [4,5-f]quinoxaline | MeIQx | ![]() | 2B |
| 2-amino-1-methyl-6- Phenylimidazo [4,5-b]pyridine | PhIP | ![]() | 2B |
Disclaimer/Publisher’s Note: The statements, opinions and data contained in all publications are solely those of the individual author(s) and contributor(s) and not of MDPI and/or the editor(s). MDPI and/or the editor(s) disclaim responsibility for any injury to people or property resulting from any ideas, methods, instructions or products referred to in the content. |
© 2025 by the authors. Licensee MDPI, Basel, Switzerland. This article is an open access article distributed under the terms and conditions of the Creative Commons Attribution (CC BY) license (https://creativecommons.org/licenses/by/4.0/).
Share and Cite
El Hosry, L.; Elias, V.; Chamoun, V.; Halawi, M.; Cayot, P.; Nehme, A.; Bou-Maroun, E. Maillard Reaction: Mechanism, Influencing Parameters, Advantages, Disadvantages, and Food Industrial Applications: A Review. Foods 2025, 14, 1881. https://doi.org/10.3390/foods14111881
El Hosry L, Elias V, Chamoun V, Halawi M, Cayot P, Nehme A, Bou-Maroun E. Maillard Reaction: Mechanism, Influencing Parameters, Advantages, Disadvantages, and Food Industrial Applications: A Review. Foods. 2025; 14(11):1881. https://doi.org/10.3390/foods14111881
Chicago/Turabian StyleEl Hosry, Leina, Vanessa Elias, Vanessa Chamoun, Malda Halawi, Philippe Cayot, Anthony Nehme, and Elias Bou-Maroun. 2025. "Maillard Reaction: Mechanism, Influencing Parameters, Advantages, Disadvantages, and Food Industrial Applications: A Review" Foods 14, no. 11: 1881. https://doi.org/10.3390/foods14111881
APA StyleEl Hosry, L., Elias, V., Chamoun, V., Halawi, M., Cayot, P., Nehme, A., & Bou-Maroun, E. (2025). Maillard Reaction: Mechanism, Influencing Parameters, Advantages, Disadvantages, and Food Industrial Applications: A Review. Foods, 14(11), 1881. https://doi.org/10.3390/foods14111881





