Monitoring the Concentrations of Na, Mg, Ca, Cu, Fe, and K in Sargassum fusiforme at Different Growth Stages by NIR Spectroscopy Coupled with Chemometrics
Abstract
1. Introduction
2. Materials and Methods
2.1. Sampling and Sample Preparation
2.2. NIR Spectral Acquisition
2.3. Reference Assays
2.4. Wavelength Selection Algorithms
2.5. Model Performance Evaluation
3. Results and Discussion
3.1. NIR Spectral Features
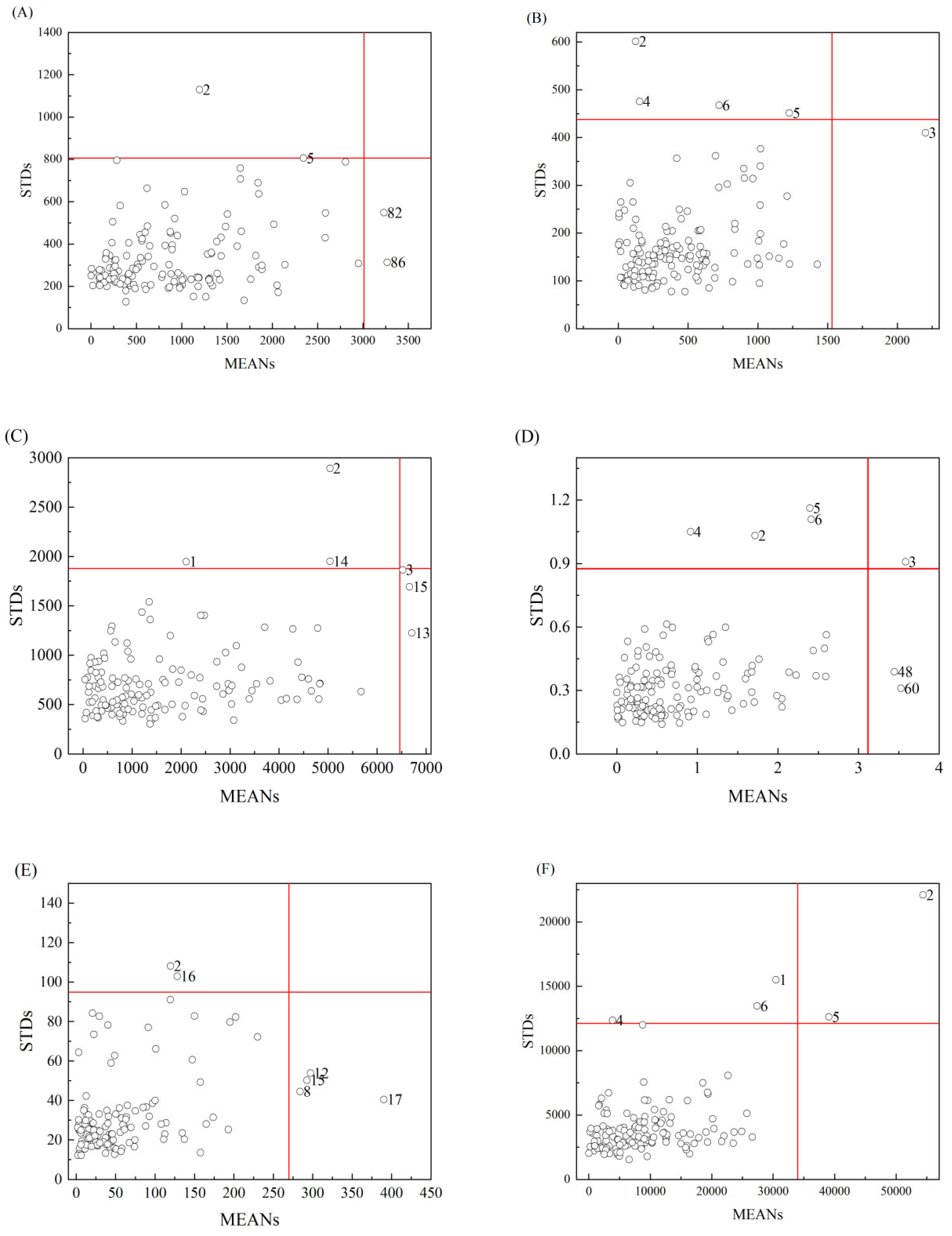
3.2. Outlier Detection and Sample Partition
3.3. Comparison of Different Spectral Preprocessing Methods
3.4. PLS Models Based on Different Wavelength Selection Algorithms
3.4.1. Performance of the Full-PLS Models
3.4.2. Performance of SI-PLS Models
3.4.3. Performance of the GA-PLS Models
3.4.4. Performance of the CARS-PLS Models
3.5. Discussion of Results
3.5.1. Comparison of Different PLS Models
3.5.2. Comparison of Minerals of S. fusiforme at Different Growth Stages
4. Conclusions
Author Contributions
Funding
Institutional Review Board Statement
Informed Consent Statement
Data Availability Statement
Conflicts of Interest
References
- Li, H.; Guo, S.; Yan, H.; Yi, Y.; Zhan, Z.; Zhu, Y.; Duan, J. Textual research on herbal medicine seaweed. J. Chin. Med. Mater. 2021, 44, 1770–1776. [Google Scholar] [CrossRef]
- Deng, L.; Feng, Z.; Zheng, H.; Li, X.; Wu, X.; Quan, W.; Zhu, Y.; Liao, J.; Wu, K.; Luo, H. Isolation and characterization of a novel homopolysaccharide (SFP-1) from Sargassum fusiforme: Promising anti-osteoporosis activity by modulating adipo-osteogenic differentiation. Ind. Crops Prod. 2023, 207, 117749. [Google Scholar] [CrossRef]
- Zhao, Y.; Zhang, Z.; Li, Z.; Li, X.-M.; Wang, H.; Lin, H. Insight into the conformational and allergenicity alterations of shrimp tropomyosin induced by Sargassum fusiforme polyphenol. Food Res. Int. 2023, 165, 112521. [Google Scholar] [CrossRef] [PubMed]
- Liu, Y.; Wang, Z.; Lin, Z.; Li, C.; Zhu, Y.; Li, D.; Wu, J. Analysis of nutritional components and physicochemical properties of different parts of Sargassum fusiforme. Mod. Food Sci. Technol. 2022, 38, 216−223+133. [Google Scholar] [CrossRef]
- Zhang, X.; Guo, R.; Su, H.; Liu, H. Nutritional composition analysis and safety evaluation of Sargassum fusiforme. Sci. Technol. Food Ind. 2018, 39, 296−300+311. [Google Scholar] [CrossRef]
- Zhu, Y.; Christakos, G.; Wang, H.; Jin, R.; Wang, Z.; Li, D.; Liu, Y.; Xiao, X.; Wu, J. Distribution, accumulation and health risk assessment of trace elements in Sargassum fusiforme. Mar. Pollut. Bull. 2021, 174, 113155. [Google Scholar] [CrossRef]
- Jia, R.-B.; Wu, J.; Li, Z.-R.; Ou, Z.-R.; Lin, L.; Sun, B.; Zhao, M. Structural characterization of polysaccharides from three seaweed species and their hypoglycemic and hypolipidemic activities in type 2 diabetic rats. Int. J. Biol. Macromol. 2019, 155, 1040–1049. [Google Scholar] [CrossRef]
- Li, N.; Gao, X.; Zheng, L.; Huang, Q.; Zeng, F.; Chen, H.; Farag, M.A.; Zhao, C. Advances in fucoxanthin chemistry and management of neurodegenerative diseases. Phytomedicine 2022, 105, 154352. [Google Scholar] [CrossRef]
- Yu, M.; Ji, Y.; Qi, Z.; Cui, D.; Xin, G.; Wang, B.; Cao, Y.; Wang, D. Anti-tumor activity of sulfated polysaccharides from Sargassum fusiforme. Saudi Pharm. J. 2017, 25, 464–468. [Google Scholar] [CrossRef]
- Zhang, R.; Zhang, X.X.; Tang, Y.X.; Mao, J.L. Composition, isolation, purification and biological activities of Sargassum fusiforme polysaccharides: A review. Carbohydr. Polym. 2020, 228, 115381. [Google Scholar] [CrossRef]
- Jiang, X.; Jin, W.; Zhu, F. Dietary Hizikia fusiforme enhance survival of white spot syndrome virus infected crayfish Procambarus clarkii. Fish Shellfish Immunol. 2020, 103, 88–94. [Google Scholar] [CrossRef]
- Xin, H. Ministry of Agriculture and Rural Affairs of the People’ s Republic of China. In China Fishery Statistical Yearbook; China Agriculture Press: Beijing, China, 2023; pp. 23–50. [Google Scholar]
- Ali, A.A.H. Overview of the vital roles of macro minerals in the human body. J. Trace Elem. Miner. 2023, 4, 100076. [Google Scholar] [CrossRef]
- Gupta, U.; Gupta, S. Sources and Deficiency Diseases of Mineral Nutrients in Human Health and Nutrition: A Review. Pedosphere 2014, 24, 13–38. [Google Scholar] [CrossRef]
- Yang, Y.; Mao, R.; Yang, L.; Liu, J.; Wu, S.; Wu, M.; Zhang, X.; Tong, H.; Ji, X. Rapid and comprehensive quality assessment of Bupleuri Radix through near-infrared spectroscopy combined with chemometrics. Infrared Phys. Technol. 2022, 121, 104051. [Google Scholar] [CrossRef]
- Beć, K.B.; Grabska, J.; Huck, C.W. Chapter 5—Miniaturized near-infrared spectroscopy in current analytical chemistry: From natural products to forensics. Mol. Laser Spectrosc. 2022, 3, 141–188. [Google Scholar] [CrossRef]
- Givens, D.I.; Deaville, E.R. The current and future role of near infrared reflectance spectroscopy in animal nutrition: A review. Aust. J. Agric. Res. 1999, 50, 1131–1145. [Google Scholar] [CrossRef]
- Neto, A.J.S.; Toledo, J.V.; Zolnier, S.; Lopes, D.d.C.; Pires, C.V.; da Silva, T.G.F. Prediction of mineral contents in sugarcane cultivated under saline conditions based on stalk scanning by Vis/NIR spectral reflectance. Biosyst. Eng. 2017, 156, 17–26. [Google Scholar] [CrossRef]
- Cozzolino, D.; Moron, A. Exploring the use of near infrared reflectance spectroscopy (NIRS) to predict trace minerals in legumes. Anim. Feed Sci. Technol. 2004, 111, 161–173. [Google Scholar] [CrossRef]
- Liu, Y.; Xu, L.; Zeng, S.; Qiao, F.; Jiang, W.; Xu, Z. Rapid detection of mussels contaminated by heavy metals using near-infrared reflectance spectroscopy and a constrained difference extreme learning machine. Spectrochim. Acta Part A Mol. Biomol. Spectrosc. 2021, 269, 120776. [Google Scholar] [CrossRef]
- Huang, Y.; Du, G.; Ma, Y.; Zhou, J. Predicting heavy metals in dark sun-cured tobacco by near-infrared spectroscopy modeling based on the optimized variable selections. Ind. Crops Prod. 2021, 172, 114003. [Google Scholar] [CrossRef]
- Su, L.; Shi, W.; Chen, X.; Meng, L.; Yuan, L.; Chen, X.; Huang, G. Simultaneously and quantitatively analyze the heavy metals in Sargassum fusiforme by laser-induced breakdown spectroscopy. Food Chem. 2020, 338, 127797. [Google Scholar] [CrossRef] [PubMed]
- Lu, B.; Liu, N.; Wang, X.; Hu, C.; Tang, X. A feasibility quantitative analysis of NIR spectroscopy coupled Si-PLS to predict coco-peat available nitrogen from rapid measurements. Comput. Electron. Agric. 2020, 173, 105410. [Google Scholar] [CrossRef]
- Wang, D.; Zhang, M.; Adhikari, B.; Zhang, L. Determination of polysaccharide content in shiitake mushroom beverage by NIR spectroscopy combined with machine learning: A comparative analysis. J. Food Compos. Anal. 2023, 122, 105460. [Google Scholar] [CrossRef]
- Li, H.; Liang, Y.; Xu, Q.; Cao, D. Key wavelengths screening using competitive adaptive reweighted sampling method for multivariate calibration. Anal. Chim. Acta 2009, 648, 77–84. [Google Scholar] [CrossRef]
- Nagy, M.M.; Wang, S.; Farag, M.A. Quality analysis and authentication of nutraceuticals using near IR (NIR) spectroscopy: A comprehensive review of novel trends and applications. Trends Food Sci. Technol. 2022, 123, 290–309. [Google Scholar] [CrossRef]
- Huang, G.; Han, L.; Yang, Z.; Wang, X. Evaluation of the nutrient metal content in Chinese animal manure compost using near infrared spectroscopy (NIRS). Bioresour. Technol. 2008, 99, 8164–8169. [Google Scholar] [CrossRef]
- Cui, Y.; Wu, J.; Chen, Y.; Ji, F.; Li, X.; Yang, J.; Hong, S.-B.; Zhu, Z.; Zang, Y. Optimization of near-infrared reflectance models in determining flavonoid composition of okra (Abelmoschus esculentus L.) pods. Food Chem. 2023, 418, 135953. [Google Scholar] [CrossRef]
- Mark, H.; Workman, J. Chemometrics in Spectroscopy, 2nd ed.; Mark, H., Workman, J., Eds.; Academic Press: Cambridge, MA, USA, 2018; pp. 1–8. [Google Scholar]
- Li, Z.-F.; Xu, G.-J.; Wang, J.-J.; DU, G.-R.; Cai, W.-S.; Shao, X.-G. Outlier Detection for Multivariate Calibration in Near Infrared Spectroscopic Analysis by Model Diagnostics. Chin. J. Anal. Chem. 2016, 44, 305–309. [Google Scholar] [CrossRef]
- Ye, D.; Sun, L.; Zou, B.; Zhang, Q.; Tan, W.; Che, W. Non-destructive prediction of protein content in wheat using NIRS. Spectrochim. Acta Part A Mol. Biomol. Spectrosc. 2018, 189, 463–472. [Google Scholar] [CrossRef]
- Yang, Y.; Yang, L.; He, S.; Cao, X.; Huang, J.; Ji, X.; Tong, H.; Zhang, X.; Wu, M. Use of near-infrared spectroscopy and chemometrics for fast discrimination of Sargassum fusiforme. J. Food Compos. Anal. 2022, 110, 104537. [Google Scholar] [CrossRef]
- Kennard, R.W.; Stone, L.A. Computer Aided Design of Experiments. Technometrics 1969, 11, 137–148. [Google Scholar] [CrossRef]
- Ozaki, Y.; Huck, C.W.; Beć, K.B. Near-IR spectroscopy and its applications. In Molecular and Laser Spectroscopy. Advances and Applications; Gupta, V.P., Ed.; Elsevier: San Diego, CA, USA, 2018; pp. 11–38. [Google Scholar] [CrossRef]
- Mishra, P.; Biancolillo, A.; Roger, J.M.; Marini, F.; Rutledge, D.N. New data preprocessing trends based on ensemble of multiple preprocessing techniques. TrAC Trends Anal. Chem. 2020, 132, 116045. [Google Scholar] [CrossRef]
- Rinnan, Å.; van den Berg, F.; Engelsen, S.B. Review of the most common pre-processing techniques for near-infrared spectra. TrAC Trends Anal. Chem. 2009, 28, 1201–1222. [Google Scholar] [CrossRef]
- Chu, X.L.; Yuan, H.F.; Lu, W.Z. Progress and application of spectral data pretreatment and wavelength selection methods in NIR analytical technique. Prog. Chem. 2004, 16, 528–542. [Google Scholar] [CrossRef]
- Vohland, M.; Ludwig, M.; Thiele-Bruhn, S.; Ludwig, B. Determination of soil properties with visible to near- and mid-infrared spectroscopy: Effects of spectral variable selection. Geoderma 2014, 223–225, 88–96. [Google Scholar] [CrossRef]
- Yuan, L.-M.; Mao, F.; Huang, G.; Chen, X.; Wu, D.; Li, S.; Zhou, X.; Jiang, Q.; Lin, D.; He, R. Models fused with successive CARS-PLS for measurement of the soluble solids content of Chinese bayberry by vis-NIRS technology. Postharvest Biol. Technol. 2020, 169, 111308. [Google Scholar] [CrossRef]
- Liu, Z.-Y.; Wang, G.-C.; Zhou, B.-C. Effect of iron on growth and lipid accumulation in Chlorella vulgaris. Bioresour. Technol. 2008, 99, 4717–4722. [Google Scholar] [CrossRef]
- Pandey, L.K.; Bergey, E.A. Exploring the status of motility, lipid bodies, deformities and size reduction in periphytic diatom community from chronically metal (Cu, Zn) polluted waterbodies as a biomonitoring tool. Sci. Total Environ. 2016, 550, 372–381. [Google Scholar] [CrossRef]
- Zou, H.-X.; Pang, Q.-Y.; Zhang, A.-Q.; Lin, L.-D.; Li, N.; Yan, X.-F. Excess copper induced proteomic changes in the marine brown algae Sargassum fusiforme. Ecotoxicol. Environ. Saf. 2015, 111, 271–280. [Google Scholar] [CrossRef]






| Sets | Concentration (mg kg−1) | |||||
|---|---|---|---|---|---|---|
| Na (136) | Mg (135) | Ca (134) | Cu (133) | Fe (114) | K (135) | |
| Total sets | 16,300 ± 5291 | 9239 ± 2530 | 29,890 ± 19,230 | 12.90 ± 9.81 | 388.5 ± 433.8 | 139,800 ± 26,550 |
| Calibration sets | 15,820 ± 5096 | 9297 ± 2688 | 31,140 ± 19,610 | 12.41 ± 9.65 | 392.7 ± 431 | 138,500 ± 25,830 |
| Prediction sets | 18,220 ± 5618 | 9007 ± 1743 | 24,680 ± 16,570 | 14.94 ± 10.21 | 370.6 ± 444.9 | 145,200 ± 28,630 |
| Parameter | Model | LVs | Calibration | Prediction | |||
|---|---|---|---|---|---|---|---|
| RC2 | RMSEC (mg kg−1) | RMSECV (mg kg−1) | RP2 | RMSEP (mg kg−1) | |||
| Na | Raw | 17 | 0.9771 | 0.7684 × 103 | 1.074 × 103 | 0.9673 | 1.027 × 103 |
| Smooth | 18 | 0.9774 | 0.7632 × 103 | 1.066 × 103 | 0.9659 | 1.048 × 103 | |
| SNV | 14 | 0.9776 | 0.7910 × 103 | 1.015 × 103 | 0.9603 | 1.056 × 103 | |
| MSC | 14 | 0.9779 | 0.7853 × 103 | 1.013 × 103 | 0.9602 | 1.058 × 103 | |
| 1D/SG | 11 | 0.9833 | 0.6580 × 103 | 1.164 × 103 | 0.9715 | 0.948 × 103 | |
| Mg | Raw | 13 | 0.9729 | 0.4427 × 103 | 0.5294 × 103 | 0.9182 | 0.4985 × 103 |
| Smooth | 13 | 0.9727 | 0.4439 × 103 | 0.5264 × 103 | 0.9179 | 0.4993 × 103 | |
| SNV | 13 | 0.9776 | 0.3867 × 103 | 0.4808 × 103 | 0.9291 | 0.5849 × 103 | |
| MSC | 14 | 0.9799 | 0.3667 × 103 | 0.4871 × 103 | 0.9266 | 0.5952 × 103 | |
| 1D/SG | 13 | 0.9954 | 0.1768 × 103 | 0.5061 × 103 | 0.9364 | 0.5540 × 103 | |
| Ca | Raw | 17 | 0.9934 | 1.596 × 103 | 2.138 × 103 | 0.9894 | 1.706 × 103 |
| Smooth | 17 | 0.9933 | 1.608 × 103 | 2.078 × 103 | 0.9888 | 1.751 × 103 | |
| SNV | 18 | 0.9965 | 1.151 × 103 | 1.903 × 103 | 0.9895 | 1.813 × 103 | |
| MSC | 18 | 0.9964 | 1.169 × 103 | 1.956 × 103 | 0.9870 | 2.016 × 103 | |
| 1D/SG | 15 | 0.9990 | 0.606 × 103 | 2.098 × 103 | 0.9833 | 2.149 × 103 | |
| Cu | Raw | 16 | 0.9940 | 0.7520 | 0.9975 | 0.9949 | 0.7323 |
| Smooth | 16 | 0.9929 | 0.8182 | 1.0176 | 0.9939 | 0.7993 | |
| SNV | 13 | 0.9951 | 0.6760 | 0.8854 | 0.9843 | 1.2784 | |
| MSC | 16 | 0.9968 | 0.5492 | 0.8508 | 0.9884 | 1.0980 | |
| 1D/SG | 10 | 0.9947 | 0.7359 | 1.1083 | 0.9919 | 0.7220 | |
| Fe | Raw | 17 | 0.9908 | 41.37 | 68.56 | 0.9753 | 69.90 |
| Smooth | 18 | 0.9911 | 40.73 | 66.96 | 0.9826 | 58.70 | |
| SNV | 18 | 0.9939 | 32.47 | 68.31 | 0.9843 | 60.50 | |
| MSC | 18 | 0.9945 | 30.98 | 68.57 | 0.9845 | 60.15 | |
| 1D/SG | 5 | 0.9796 | 87.81 | 63.19 | 0.9770 | 58.77 | |
| K | Raw | 18 | 0.9297 | 6.847 × 103 | 1.046 × 104 | 0.9128 | 8.457 × 103 |
| Smooth | 18 | 0.9285 | 6.905 × 103 | 1.030 × 104 | 0.9153 | 8.330 × 103 | |
| SNV | 18 | 0.9462 | 5.836 × 103 | 1.054 × 104 | 0.9245 | 8.643 × 103 | |
| MSC | 17 | 0.9354 | 6.393 × 103 | 1.030 × 104 | 0.9121 | 9.325 × 103 | |
| 1D/SG | 18 | 0.9977 | 1.284 × 103 | 1.137 × 104 | 0.8691 | 9.482 × 103 | |
| Parameter | Model | LVs | Variables | Calibration | Prediction | ||
|---|---|---|---|---|---|---|---|
| RC2 | RMSEC (mg kg−1) | RP2 | RMSEP (mg kg−1) | ||||
| Na | Full-PLS | 11 | 1557 | 0.9833 | 0.6580 × 103 | 0.9715 | 0.9481 × 103 |
| SI-PLS | 13 | 328 | 0.9802 | 0.7171 × 103 | 0.9764 | 0.8632 × 103 | |
| GA-PLS | 12 | 92 | 0.9771 | 0.7716 × 103 | 0.9768 | 0.8557 × 103 | |
| CARS-PLS | 11 | 50 | 0.9886 | 0.5442 × 103 | 0.9787 | 0.8196 × 103 | |
| Mg | Full-PLS | 13 | 1557 | 0.9729 | 0.4427 × 103 | 0.9182 | 0.4985 × 103 |
| SI-PLS | 11 | 367 | 0.9728 | 0.4431 × 103 | 0.9348 | 0.4451 × 103 | |
| GA-PLS | 14 | 85 | 0.9766 | 0.4114 × 103 | 0.9216 | 0.4881 × 103 | |
| CARS-PLS | 11 | 18 | 0.9759 | 0.4173 × 103 | 0.9371 | 0.4370 × 103 | |
| Ca | Full-PLS | 17 | 1557 | 0.9934 | 1.596 × 103 | 0.9894 | 1.706 × 103 |
| SI-PLS | 17 | 347 | 0.9972 | 1.034 × 103 | 0.9902 | 1.636 × 103 | |
| GA-PLS | 17 | 103 | 0.9934 | 1.597 × 103 | 0.9900 | 1.660 × 103 | |
| CARS-PLS | 16 | 36 | 0.9954 | 1.333 × 103 | 0.9913 | 1.544 × 103 | |
| Cu | Full-PLS | 16 | 1557 | 0.9968 | 0.5492 | 0.9884 | 1.0980 |
| SI-PLS | 16 | 390 | 0.9974 | 0.4923 | 0.9903 | 1.0034 | |
| GA-PLS | 18 | 98 | 0.9973 | 0.4983 | 0.9897 | 1.0360 | |
| CARS-PLS | 17 | 28 | 0.9983 | 0.3943 | 0.9909 | 0.9745 | |
| Fe | Full-PLS | 18 | 1557 | 0.9911 | 40.73 | 0.9826 | 58.70 |
| SI-PLS | 17 | 415 | 0.9902 | 42.61 | 0.9873 | 50.08 | |
| GA-PLS | 18 | 85 | 0.9899 | 43.33 | 0.9849 | 54.59 | |
| CARS-PLS | 17 | 20 | 0.9930 | 36.03 | 0.9874 | 49.88 | |
| K | Full-PLS | 18 | 1557 | 0.9285 | 6.905 × 103 | 0.9153 | 8.330 × 103 |
| SI-PLS | 16 | 328 | 0.9217 | 7.229 × 103 | 0.9190 | 8.149 × 103 | |
| GA-PLS | 18 | 72 | 0.9099 | 7.754 × 103 | 0.9169 | 8.251 × 103 | |
| CARS-PLS | 15 | 54 | 0.9415 | 6.244 × 103 | 0.9265 | 7.762 × 103 | |
| Number of Subintervals | Selected Subintervals | LVs | RC2 | RMSEC (mg kg−1) | RP2 | RMSEP (mg kg−1) | |
|---|---|---|---|---|---|---|---|
| Na | 11 | [2 3 7 9] | 13 | 0.9860 | 0.6034 × 103 | 0.9705 | 0.9654 × 103 |
| 12 | [2 3] | 13 | 0.9801 | 0.7198 × 103 | 0.9744 | 0.8987 × 103 | |
| 13 | [2 3] | 13 | 0.9795 | 0.7289 × 103 | 0.9757 | 0.8750 × 103 | |
| 14 | [2 3 4] | 12 | 0.9792 | 0.7354 × 103 | 0.9763 | 0.8652 × 103 | |
| 15 | [2 3 4] | 13 | 0.9795 | 0.7292 × 103 | 0.9756 | 0.8783 × 103 | |
| 16 | [2 3 4 10] | 12 | 0.9783 | 0.7515 × 103 | 0.9760 | 0.8698 × 103 | |
| 17 | [3 4 5 11] | 12 | 0.9816 | 0.6909 × 103 | 0.9736 | 0.9134 × 103 | |
| 18 | [3 4 6 12] | 12 | 0.9764 | 0.7826 × 103 | 0.9761 | 0.8680 × 103 | |
| 19 | [2 3 4 6] | 13 | 0.9802 | 0.7171 × 103 | 0.9764 | 0.8632 × 103 | |
| 20 | [3 4 5 16] | 13 | 0.9824 | 0.6764 × 103 | 0.9730 | 0.9234 × 103 |
Disclaimer/Publisher’s Note: The statements, opinions and data contained in all publications are solely those of the individual author(s) and contributor(s) and not of MDPI and/or the editor(s). MDPI and/or the editor(s) disclaim responsibility for any injury to people or property resulting from any ideas, methods, instructions or products referred to in the content. |
© 2025 by the authors. Licensee MDPI, Basel, Switzerland. This article is an open access article distributed under the terms and conditions of the Creative Commons Attribution (CC BY) license (https://creativecommons.org/licenses/by/4.0/).
Share and Cite
Wei, S.; Huang, J.; Niu, Y.; Tong, H.; Su, L.; Zhang, X.; Wu, M.; Yang, Y. Monitoring the Concentrations of Na, Mg, Ca, Cu, Fe, and K in Sargassum fusiforme at Different Growth Stages by NIR Spectroscopy Coupled with Chemometrics. Foods 2025, 14, 122. https://doi.org/10.3390/foods14010122
Wei S, Huang J, Niu Y, Tong H, Su L, Zhang X, Wu M, Yang Y. Monitoring the Concentrations of Na, Mg, Ca, Cu, Fe, and K in Sargassum fusiforme at Different Growth Stages by NIR Spectroscopy Coupled with Chemometrics. Foods. 2025; 14(1):122. https://doi.org/10.3390/foods14010122
Chicago/Turabian StyleWei, Sisi, Jing Huang, Ying Niu, Haibin Tong, Laijin Su, Xu Zhang, Mingjiang Wu, and Yue Yang. 2025. "Monitoring the Concentrations of Na, Mg, Ca, Cu, Fe, and K in Sargassum fusiforme at Different Growth Stages by NIR Spectroscopy Coupled with Chemometrics" Foods 14, no. 1: 122. https://doi.org/10.3390/foods14010122
APA StyleWei, S., Huang, J., Niu, Y., Tong, H., Su, L., Zhang, X., Wu, M., & Yang, Y. (2025). Monitoring the Concentrations of Na, Mg, Ca, Cu, Fe, and K in Sargassum fusiforme at Different Growth Stages by NIR Spectroscopy Coupled with Chemometrics. Foods, 14(1), 122. https://doi.org/10.3390/foods14010122
