Taste-Active Peptides from Triple-Enzymatically Hydrolyzed Straw Mushroom Proteins Enhance Salty Taste: An Elucidation of Their Effect on the T1R1/T1R3 Taste Receptor via Molecular Docking
Abstract
1. Introduction
2. Materials and Methods
2.1. Materials and Chemicals
2.2. Extraction of Taste Peptides from Straw Mushrooms
2.3. Purification of the Peptides via Ultrafiltration
2.4. Identification of the Taste Peptides
2.5. Molecular Docking (MD) of the Identified Peptides and T1R1/T1R3
2.6. Sensory Assessors
2.7. Saltiness Was Compared Using the QDA Method
2.8. Comparing Relative Saltiness Using the Two-Alternative-Forced-Choice (2-AFC) Method
2.9. Rating Saltiness Intensity Using the General Labeled Magnitude Scale (gLMS)
2.10. Evaluation of the Saltiness Enhancement Effect of Synthetic Peptides and Their Threshold Determination
2.11. Dose–Response Evaluation of the Saltiness Taste for Synthetic Peptides Solutions with NaCl Solutions
2.12. E-Tongue Analysis
2.13. Statistical Analysis
3. Results and Discussion
3.1. Solid Content and Degree of Hydrolysis of Straw Mushroom Peptides
3.2. Free Amino Acid Content and Molecular Weight Distribution of Straw Mushroom Peptides
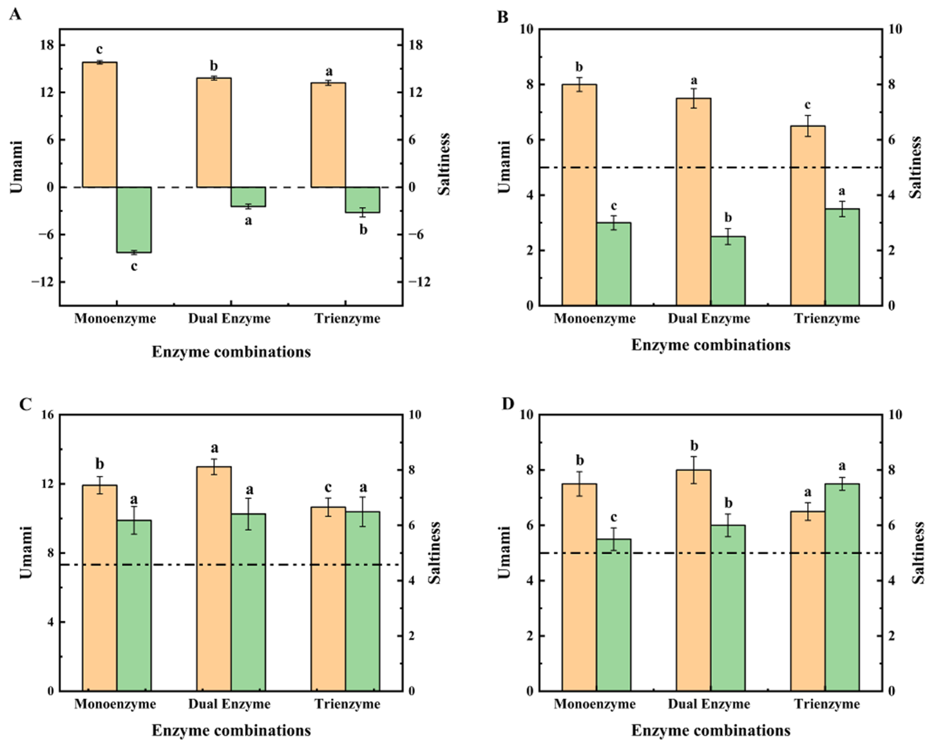
3.3. Evaluation of the Saltiness Enhancement Effect of the Enzyme Solution of Straw Mushroom
3.4. Comparison of Saltiness Intensity Using the 2-AFC
3.5. Saltiness Intensity Evaluation Using the gLMS
3.6. Identification and Molecular Docking of Peptides
3.7. Effect of Synthetic Peptides on Saltiness in Salt Solutions
3.8. Dose–Feedback Saltiness Enhancement Effects of Synthetic Peptides
4. Conclusions
Supplementary Materials
Author Contributions
Funding
Institutional Review Board Statement
Informed Consent Statement
Data Availability Statement
Acknowledgments
Conflicts of Interest
References
- Jimenez-Maroto, L.A.; Sato, T.; Rankin, S.A. Saltiness potentiation in white bread by substituting sodium chloride with a fermented soy ingredient. J. Cereal Sci. 2013, 58, 313–317. [Google Scholar] [CrossRef]
- Pujols, K.D.; Ardoin, R.; Chaiya, B.; Tuuri, G.; Prinyawiwatkul, W. Low-sodium roasted peanuts: Effects of salt mixtures (NaCl, KCl and glycine) on consumer perception and purchase intent. Int. J. Food Sci. Technol. 2019, 54, 2754–2762. [Google Scholar] [CrossRef]
- D’elia, L.; Rossi, G.; Ippolito, R.; Cappuccio, F.P.; Strazzullo, P. Habitual salt intake and risk of gastric cancer: A meta-analysis of prospective studies. Clin. Nutr. 2012, 31, 489–498. [Google Scholar] [CrossRef]
- Messerli, F.H.; Hofstetter, L.; Bangalore, S. Salt and heart disease: A second round of “bad science”? Lancet 2018, 392, 456–458. [Google Scholar] [CrossRef]
- Le, B.; Yu, B.; Amin, M.S.; Liu, R.; Zhang, N.; Soladoye, O.P.; Aluko, R.E.; Zhang, Y.; Fu, Y. Salt taste receptors and associated salty/salt taste-enhancing peptides: A comprehensive review of structure and function. Trends Food Sci. Technol. 2022, 129, 657–666. [Google Scholar] [CrossRef]
- Chen, Y.P.; Wang, M.; Blank, I.; Xu, J.; Chung, H.Y. Saltiness-Enhancing Peptides Isolated from the Chinese Commercial Fermented Soybean Curds with Potential Applications in Salt Reduction. J. Agric. Food Chem. 2021, 69, 10272–10280. [Google Scholar] [CrossRef]
- Schindler, A.; Dunkel, A.; Stähler, F.; Backes, M.; Ley, J.; Meyerhof, W.; Hofmann, T. Discovery of Salt Taste Enhancing Arginyl Dipeptides in Protein Digests and Fermented Fish Sauces by Means of a Sensomics Approach. J. Agric. Food Chem. 2011, 59, 12578–12588. [Google Scholar] [CrossRef]
- Ueda, Y.; Sakaguchi, M.; Hirayama, K.; Miyajima, R.; Kimizuka, A. Characteristic flavor constituents in water extract of garlic. Agric. Biol. Chem. 1990, 54, 163–169. [Google Scholar]
- Xiang, F. Research progress on food salt reduction strategies. Food Ferment. Ind. 2023, 8, 1–10. [Google Scholar]
- Moore, A.; Luckett, C.R.; Munafo, J.P. Taste-Active Dipeptides from Hydrolyzed Mushroom Protein Enhance Saltiness. J. Agric. Food Chem. 2021, 69, 11947–11959. [Google Scholar] [CrossRef]
- Yu, B.; Wu, W.; Wang, B.; Zhang, N.; Bak, K.H.; Soladoye, O.P.; Aluko, R.E.; Zhang, Y.; Fu, Y. Maillard-reacted peptides from glucosamine-induced glycation exhibit a pronounced salt taste-enhancing effect. Food Chem. 2022, 374, 131776. [Google Scholar] [CrossRef] [PubMed]
- Son, M.; Park, T.H. The bioelectronic nose and tongue using olfactory and taste receptors: Analytical tools for food quality and safety assessment. Biotechnol. Adv. 2017, 36, 371–379. [Google Scholar] [CrossRef] [PubMed]
- Shigemura, N.; Iwata, S.; Yasumatsu, K.; Ohkuri, T.; Horio, N.; Sanematsu, K.; Yoshida, R.; Margolskee, R.F.; Ninomiya, Y. Angiotensin II Modulates Salty and Sweet Taste Sensitivities. J. Neurosci. 2013, 33, 6267–6277. [Google Scholar] [CrossRef]
- Stolle, T.; Grondinger, F.; Dunkel, A.; Hofmann, T. Quantitative proteomics and SWATH-MS to elucidate peri-receptor mechanisms in human salt taste sensitivity. Food Chem. 2018, 254, 95–102. [Google Scholar] [CrossRef] [PubMed]
- Niki, M.; Yoshida, R.; Takai, S.; Ninomiya, Y. Gustatory Signaling in the Periphery: Detection, Transmission, and Modulation of Taste Information. Biol. Pharm. Bull. 2010, 33, 1772–1777. [Google Scholar] [CrossRef]
- Guo, M.; Fu, Y.; Ma, L.; Dai, H.; Wang, H.; Chen, H.; Zhu, H.; Yu, Y.; Zhang, Y. Collagen Glycopeptides from Transglutaminase-Induced Glycosylation Exhibit a Significant Salt Taste-Enhancing Effect. J. Agric. Food Chem. 2023, 71, 8558–8568. [Google Scholar] [CrossRef]
- Xie, X.; Dang, Y.; Pan, D.; Sun, Y.; Zhou, C.; He, J.; Gao, X. The enhancement and mechanism of the perception of saltiness by umami peptide from Ruditapes philippinarum and ham. Food Chem. 2023, 405, 134886. [Google Scholar] [CrossRef]
- Shan, Y.; Pu, D.; Zhang, J.; Zhang, L.; Huang, Y.; Li, P.; Xiong, J.; Li, K.; Zhang, Y. Decoding of the Saltiness Enhancement Taste Peptides from the Yeast Extract and Molecular Docking to the Taste Receptor T1R1/T1R3. J. Agric. Food Chem. 2022, 70, 14898–14906. [Google Scholar] [CrossRef]
- Zhang, J.; Liang, L.; Sun, B.; Zhang, Y. Identification and virtual screening of novel umami peptides from chicken soup by molecular docking. Food Chem. 2023, 404, 134414. [Google Scholar] [CrossRef]
- Song, S.; Zhuang, J.; Ma, C.; Feng, T.; Yao, L.; Ho, C.T.; Sun, M. Identification of novel umami peptides from Boletus edulis and its mechanism via sensory analysis and molecular simulation approaches. Food Chem. 2023, 398, 133835. [Google Scholar] [CrossRef]
- Sun, X.; Zhong, K.; Zhang, D.; Shi, B.; Wang, H.; Shi, J.; Battino, M.; Wang, G.; Zou, X.; Zhao, L. The enhancement of the perception of saltiness by umami sensation elicited by flavor enhancers in salt solutions. Food Res. Int. 2022, 157, 111287. [Google Scholar] [CrossRef]
- ISO 8586:2012; Sensory analysis—General Guidance for the Selection, Training and Monitoring of Assessors. ISO: Geneve, Switzerland, 2012.
- Zhang, N.; Ayed, C.; Wang, W.; Liu, Y. Sensory-Guided Analysis of Key Taste-Active Compounds in Pufferfish (Takifugu obscurus). J. Agric. Food Chem. 2019, 67, 13809–13816. [Google Scholar] [CrossRef]
- GB/T 12315-2008; Sensory Analysis—Methodology-Ranking. GB Standards: Beijing, China, 2008.
- ISO-5495:2005; Sensory Analysis—Methodology—Paired Comparison Test. ISO: Geneve, Switzerland, 2005.
- Blackman, J.; Saliba, A.; Schmidtke, L. Sweetness acceptance of novices, experienced consumers and winemakers in Hunter Valley Semillon wines. Food Qual. Prefer. 2010, 21, 679–683. [Google Scholar] [CrossRef]
- Zhang, H.; Deng, Y.; Zhang, R.; Zhang, Y.; Wei, Z.; Ma, Y.; Liu, L.; Zhang, M. Taste Modification of Bitter Melon (Momordica charantia) Powder by Different Bitterness Inhibitors. Food Sci. 2018, 39, 298–303. [Google Scholar]
- Green, B.G.; Dalton, P.; Cowart, B.; Shaffer, G.; Rankin, K.; Higgins, J. Evaluating the ‘Labeled Magnitude Scale’ for Measuring Sensations of Taste and Smell. Chem. Senses 1996, 21, 323–334. [Google Scholar] [CrossRef]
- Bartoshuk, L.; Duffy, V.; Fast, K.; Green, B.; Prutkin, J.; Snyder, D. Labeled scales (e.g., category, Likert, VAS) and invalid across-group comparisons: What we have learned from genetic variation in taste. Food Qual. Prefer. 2003, 14, 125–138. [Google Scholar] [CrossRef]
- Zhao, J.; Liao, S.; Bi, X.; Zhao, J.; Liu, P.; Ding, W.; Che, Z.; Wang, Q.; Lin, H. Isolation, identification and characterization of taste peptides from fermented broad bean paste. Food Funct. 2022, 13, 8730–8740. [Google Scholar] [CrossRef]
- Yan, F.; Cui, H.; Zhang, Q.; Hayat, K.; Yu, J.; Hussain, S.; Tahir, M.U.; Zhang, X.; Ho, C.-T. Small Peptides Hydrolyzed from Pea Protein and Their Maillard Reaction Products as Taste Modifiers: Saltiness, Umami, and Kokumi Enhancement. Food Bioprocess Technol. 2021, 14, 1132–1141. [Google Scholar] [CrossRef]
- Sun, H.; Chen, Z.; Zhou, Z. Optimization of Soybean Protein Isolate Extraction by Response Surface Method and Complex Enzymatic Hydrolysis for Preparing Active Peptides. China Condiment 2022, 46, 82–87. [Google Scholar]
- Luo, B. Protein Extraction from Chlorella and Peptide Preparation by Enzyme Hydrolysis. Food Industry. 2023, 44, 95–98. [Google Scholar]
- Caffall, K.H.; Mohnen, D. The structure, function, and biosynthesis of plant cell wall pectic polysaccharides. Carbohydr. Res. 2009, 344, 1879–1900. [Google Scholar] [CrossRef]
- Xu, X.; Xu, Z.; Shi, S.; Lin, M. Lignocellulose degradation patterns, structural changes, and enzyme secretion by Inonotus obliquus on straw biomass under submerged fermentation. Bioresour. Technol. 2017, 241, 415–423. [Google Scholar] [CrossRef]
- Zhao, G.; Wu, H.; Li, L.; He, J.; Hu, Z.; Yang, X.; Xie, X. Effects of applying cellulase and starch on the fermentation characteristics and microbial communities of Napier grass (Pennisetum purpureum Schum.) silage. J. Anim. Sci. Technol. 2021, 63, 1301–1313. [Google Scholar] [CrossRef]
- Feyisa, M.M.; Yadav, P. Role of Live Microbes for Fermentation and Enhancement of Feeding Value of Wheat Straw as Animal Fodder. Asia J. Appl. Microbiol. 2021, 8, 19–27. [Google Scholar] [CrossRef]
- Silvestre, T.; Fetter, M.; Räisänen, S.; Lage, C.; Stefenoni, H.; Melgar, A.; Cueva, S.; Wasson, D.; Martins, L.; Karnezos, T.; et al. Performance of dairy cows fed normal- or reduced-starch diets supplemented with an exogenous enzyme preparation. J. Dairy Sci. 2022, 105, 2288–2300. [Google Scholar] [CrossRef]
- Gu, Z.; Yang, Y. Research progress in flavor components of edible fungus. Food Ind. Sci. Technol. 2013, 34, 363–367. [Google Scholar]
- Yamaguchi, S.; Yoshikawa, T.; Ikeda, S.; Ninomiya, T. Measurement of the relative taste intensity of some L-α-amino acids and 5′-nucleotides. J. Food Sci. 2010, 36, 846–849. [Google Scholar] [CrossRef]
- Xu, X.; Song, Z.; Feng, T.; Song, S.; Sun, M.; Yao, L. Effects of Different Treatments on the Release of Flavor Substances from Straw Mushroom (Volvariella volvacea). Food Sci. 2017, 39, 107–111. [Google Scholar]
- Adcock, S.A.; McCammon, J.A. Molecular Dynamics: Survey of Methods for Simulating the Activity of Proteins. Chem. Rev. 2006, 106, 1589–1615. [Google Scholar] [CrossRef] [PubMed]
- Wang, Z.; Cheng, Y.; Muhoza, B.; Sun, M.; Feng, T.; Yao, L.; Liu, Q.; Song, S. Discovery of peptides with saltiness-enhancing effects in enzymatic hydrolyzed Agaricus bisporus protein and evaluation of their salt-reduction property. Food Res. Int. 2024, 177, 113917. [Google Scholar] [CrossRef] [PubMed]
- Liang, L.; Zhou, C.; Zhang, J.; Huang, Y.; Zhao, J.; Sun, B.; Zhang, Y. Characteristics of umami peptides identified from porcine bone soup and molecular docking to the taste receptor T1R1/T1R3. Food Chem. 2022, 387, 132870. [Google Scholar] [CrossRef] [PubMed]
- Liu, H.; Da, L.-T.; Liu, Y. Understanding the molecular mechanism of umami recognition by T1R1-T1R3 using molecular dynamics simulations. Biochem. Biophys. Res. Commun. 2019, 514, 967–973. [Google Scholar] [CrossRef] [PubMed]
- Dang, Y.; Gao, X.; Ma, F.; Wu, X. Comparison of umami taste peptides in water-soluble extractions of Jinhua and Parma hams. LWT 2015, 60, 1179–1186. [Google Scholar] [CrossRef]
- Su, G.; Xie, Y.; Liu, R.; Cui, G.; Zhao, M.; Zhang, J. Effect of transglutaminase on taste characteristics of pea protein hydrolysates through altering the composition of amino acids and peptides. Food Biosci. 2023, 56, 103261. [Google Scholar] [CrossRef]
- Chang, R.; Zhou, Z.; Dong, Y.; zheng Xu, Y.; Ji, Z.; Liu, S.; Gong, M.; Mao, J. Ion-exchange purification, nano-HPLC–MS/MS identification and molecular dynamics simulation of novel umami peptides from fermented grain wine (Huangjiu). J. Food Compos. Anal. 2024, 125, 105822. [Google Scholar] [CrossRef]
- Zhang, Y.; Gao, X.; Pan, D.; Zhang, Z.; Zhou, T.; Dang, Y. Isolation, characterization and molecular docking of novel umami and umami-enhancing peptides from Ruditapes philippinarum. Food Chem. 2020, 343, 128522. [Google Scholar] [CrossRef]
- Li, C.; Hua, Y.; Pan, D.; Qi, L.; Xiao, C.; Xiong, Y.; Lu, W.; Dang, Y.; Gao, X.; Zhao, Y. A rapid selection strategy for umami peptide screening based on machine learning and molecular docking. Food Chem. 2023, 404, 134562. [Google Scholar] [CrossRef]
- Wang, W.; Huang, Y.; Zhao, W.; Dong, H.; Yang, J.; Bai, W. Identification and comparison of umami-peptides in commercially available dry-cured Spanish mackerels (Scomberomorus niphonius). Food Chem. 2022, 380, 132175. [Google Scholar] [CrossRef]
- Zhou, H.; Wang, C.; Ye, J.; Chen, H.; Tao, R. Design, virtual screening, molecular docking and molecular dynamics studies of novel urushiol derivatives as potential HDAC2 selective inhibitors. Gene 2017, 637, 63–71. [Google Scholar] [CrossRef]
- Chen, D.; Chen, W.; Wu, D.; Zhang, Z.; Liu, P.; Li, W.; Yang, Y. Saltiness enhancing peptides isolated from enzymolysis extract of Lentinula edodes and their taste enhancing action mechanisms. LWT 2023, 188, 115430. [Google Scholar] [CrossRef]
- Chen, S.; Chang, J.; Sun, M. Study on the Salt-reducing Effect of Agaricus bisporus Extract on Three Kinds of Broth. Sci. Technol. Food Ind. 2023, 44, 69–77. [Google Scholar]
- Wang, K.; Zhuang, H.N.; Bing, F.L.; Chen, D.; Feng, T.; Xu, Z.M. Evaluation of eight kinds of flavor enhancer of umami taste by an electronic tongue. Food Sci. Nutr. 2021, 9, 2095–2104. [Google Scholar] [CrossRef]
- Moon, S.-Y.; Li-Chan, E.C. Changes in aroma characteristics of simulated beef flavour by soy protein isolate assessed by descriptive sensory analysis and gas chromatography. Food Res. Int. 2007, 40, 1239–1248. [Google Scholar] [CrossRef]
- Zhuang, M.; Lin, L.; Zhao, M.; Dong, Y.; Sun-Waterhouse, D.; Chen, H.; Qiu, C.; Su, G. Sequence, taste and umami-enhancing effect of the peptides separated from soy sauce. Food Chem. 2016, 206, 174–181. [Google Scholar] [CrossRef]
- Zhang, J.; He, W.; Liang, L.; Sun, B.; Zhang, Y. Study on the saltiness-enhancing mechanism of chicken-derived umami peptides by sensory evaluation and molecular docking to transmembrane channel-like protein 4 (TMC4). Food Res. Int. 2024, 182, 114139. [Google Scholar] [CrossRef]
- Chen, W.; Li, W.; Wu, D.; Zhang, Z.; Li, Z.; Li, L.; Wu, T.; Yang, Y. Exploring of multi-functional umami peptides from Stropharia rugosoannulata: Saltiness-enhancing effect and mechanism, antioxidant activity and potential target sites. Food Chem. 2024, 439, 138138. [Google Scholar] [CrossRef]
- Liang, L.; Hao, Z.; Zhang, J.; Sun, B.; Xiong, J.; Li, K.; Zhang, Y. Characterization and sweetness-enhancing effect of peptides from yeast extract based on sensory evaluation and molecular docking approaches. Food Res. Int. 2024, 178, 113908. [Google Scholar] [CrossRef]








| Amino Acids | Content (mg/mL) | ||
|---|---|---|---|
| Monoenzyme | Dual Enzyme | Trienzyme | |
| Bitter | 1.13 ± 0.01 a | 0.88 ± 0.01 b | 1.06 ± 0.02 c |
| Sweet | 0.52 ± 0.01 b | 0.51 ± 0.01 b | 0.61 ± 0.02 a |
| Umami | 0.52 ± 0.02 b | 0.53 ± 0.02 b | 0.65 ± 0.01 a |
| Tasteless | 0.38 ± 0.01 b | 0.34 ± 0.01 b | 0.41 ± 0.02 a |
| Total | 2.55 ± 0.01 c | 2.26 ± 0.01 b | 2.74 ± 0.02 a |
| Peptide | Length | Affinity (kcal/mol) | |
|---|---|---|---|
| 1 | DFNALPFK | 8 | −9.2 |
| 2 | VPGGQEIKDR | 10 | −8.9 |
| 3 | YNEDNGIVK | 9 | −8.8 |
| 4 | IDNEPEFRWA | 10 | −8.6 |
| 5 | GVGPFDDDR | 9 | −8.7 |
| 6 | SEHEENGYAV | 10 | −8.7 |
| 7 | DKLHEGIK | 8 | −8.6 |
| 8 | IGDEAAENRN | 10 | −8.3 |
| Peptide | Taste Attribute | Threshold Value (mM) | |
|---|---|---|---|
| Water | 0.5%NaCl | ||
| DFNALPFK | Sore, astringent, umami | 0.38 ± 0.03 b | 0.22 ± 0.02 c |
| YNEDNGIVK | Sore, astringent | 0.45 ± 0.02 b | 0.33 ± 0.05 b |
| VPGGQEIKDR | Sore, astringent, weakly umami | 0.56 ± 0.04 a | 0.41 ± 0.03 a |
Disclaimer/Publisher’s Note: The statements, opinions and data contained in all publications are solely those of the individual author(s) and contributor(s) and not of MDPI and/or the editor(s). MDPI and/or the editor(s) disclaim responsibility for any injury to people or property resulting from any ideas, methods, instructions or products referred to in the content. |
© 2024 by the authors. Licensee MDPI, Basel, Switzerland. This article is an open access article distributed under the terms and conditions of the Creative Commons Attribution (CC BY) license (https://creativecommons.org/licenses/by/4.0/).
Share and Cite
Song, S.; Cheng, Y.; Wangzhang, J.; Sun, M.; Feng, T.; Liu, Q.; Yao, L.; Ho, C.-T.; Yu, C. Taste-Active Peptides from Triple-Enzymatically Hydrolyzed Straw Mushroom Proteins Enhance Salty Taste: An Elucidation of Their Effect on the T1R1/T1R3 Taste Receptor via Molecular Docking. Foods 2024, 13, 995. https://doi.org/10.3390/foods13070995
Song S, Cheng Y, Wangzhang J, Sun M, Feng T, Liu Q, Yao L, Ho C-T, Yu C. Taste-Active Peptides from Triple-Enzymatically Hydrolyzed Straw Mushroom Proteins Enhance Salty Taste: An Elucidation of Their Effect on the T1R1/T1R3 Taste Receptor via Molecular Docking. Foods. 2024; 13(7):995. https://doi.org/10.3390/foods13070995
Chicago/Turabian StyleSong, Shiqing, Yunpeng Cheng, Jingyi Wangzhang, Min Sun, Tao Feng, Qian Liu, Lingyun Yao, Chi-Tang Ho, and Chuang Yu. 2024. "Taste-Active Peptides from Triple-Enzymatically Hydrolyzed Straw Mushroom Proteins Enhance Salty Taste: An Elucidation of Their Effect on the T1R1/T1R3 Taste Receptor via Molecular Docking" Foods 13, no. 7: 995. https://doi.org/10.3390/foods13070995
APA StyleSong, S., Cheng, Y., Wangzhang, J., Sun, M., Feng, T., Liu, Q., Yao, L., Ho, C.-T., & Yu, C. (2024). Taste-Active Peptides from Triple-Enzymatically Hydrolyzed Straw Mushroom Proteins Enhance Salty Taste: An Elucidation of Their Effect on the T1R1/T1R3 Taste Receptor via Molecular Docking. Foods, 13(7), 995. https://doi.org/10.3390/foods13070995

