Fungal Community Succession and Volatile Compound Changes during Fermentation of Laobaigan Baijiu from Chinese Hengshui Region
Abstract
1. Introduction
2. Materials and Methods
2.1. Sample Collection
2.2. Sample Pretreatment and DNA Extraction
2.3. Alpha Analysis
2.4. Beta Analysis
2.5. Volatile Profiles Analyzed by Headspace SPME Combined with GC-MS
2.6. Statistical Analysis
3. Results and Discussion
3.1. Richness and Diversity of Fungal Communities in Different Stages of Fermentation
3.2. Relative Abundance of Fungal Communities
3.3. Volatile Compounds Identified Using GC-MS
3.4. PLS-Based Correlation Analysis between Fungal and Volatile Compounds
4. Conclusions
Author Contributions
Funding
Data Availability Statement
Conflicts of Interest
References
- Sun, B.; Wu, J.; Huang, M.; Sun, J.; Zheng, F. Recent advances of flavor chemistry in Chinese liquor spirits (Baijiu). J. Chin. Inst. Food Sci. Technol. 2015, 15, 1–8. [Google Scholar] [CrossRef]
- Fu, Z.; Fan, G.; Ma, C.; Sun, X.; Xu, D.; Li, X.; Sun, B. Isolation and identification of a yeast with high-yield for beta-phenylethanol from Laobaigan-flavor Daqu and studies on aroma characteristics. J. Chin. Inst. Food Sci. Technol. 2019, 19, 207–215. [Google Scholar] [CrossRef]
- Fan, Q.; Wang, X.; Zhao, Y.; Zheng, F.; Li, H.; Zhang, F.; Zhang, Y.; Chen, F. Characterization of key aroma compounds in Laobaigan Chinese Baijiu by GC×GC-TOF/MS and means of molecular sensory science. Flavour Fragr. J. 2019, 34, 514–525. [Google Scholar] [CrossRef]
- Ma, B.; Fan, E.; Li, Z.; Zhang, Y.; Zhang, Z.; Guo, Y.; Jiang, D.; Chen, Y.; Xiao, D.; Guo, X. Microbial diversity and its relationship with flavor compounds in the process of Daqu making of Laobaigan-flavor Baijiu. Food Ferment. Ind. 2020, 46, 7–16. [Google Scholar]
- Wang, G.; Jing, S.; Wang, X.; Zheng, F.; Li, H.; Sun, B.; Li, Z. Evaluation of the perceptual interaction among ester odorants and nonvolatile organic acids in Baijiu by GC-MS, GC-O, odor threshold, and sensory analysis. J. Agric. Food Chem. 2022, 70, 13987–13995. [Google Scholar] [CrossRef]
- Sun, J.; Liu, W.; Zang, W.; Shen, G.; Ping, W. Community composition of moulds from fermented grains of maotai-flavor liquor and their enzyme activities. J. Chin. Inst. Food Sci. Technol. 2013, 13, 239–247. [Google Scholar]
- Cocolin, L.; Campolongo, S.; Alessandria, V.; Dolci, P.; Rantsiou, K. Culture independent analyses and wine fermentation: An overview of achievements 10 years after first application. Ann. Microbiol. 2011, 61, 17–23. [Google Scholar] [CrossRef]
- Tang, Y.; Zhao, W.; Cui, M.; Lai, H.; Zhang, X. Identification and functional prediction of the key fungus of Hongxinqu for lighte–flavor Baijiu brewing. LWT 2023, 194, 115605. [Google Scholar] [CrossRef]
- Huang, Z.R.; Hong, J.L.; Xu, J.X.; Li, L.; Guo, W.L.; Pan, Y.Y.; Chen, S.J.; Bai, W.D.; Rao, P.F.; Ni, L.; et al. Exploring core functional microbiota responsible for the production of volatile flavour during the traditional brewing of Wuyi Hong Qu glutinous rice wine. Food Microbiol. 2018, 76, 487–496. [Google Scholar] [CrossRef]
- Kozich, J.J.; Westcott, S.L.; Baxter, N.T.; Highlander, S.K.; Schloss, P.D. Development of a Dual-Index Sequencing Strategy and Curation Pipeline for Analyzing Amplicon Sequence Data on the MiSeq Illumina Sequencing Platform. Appl. Environ. Microbiol. 2013, 79, 5112–5120. [Google Scholar] [CrossRef]
- Portillo, M.D.; Franques, J.; Araque, I.; Reguant, C.; Bordons, A. Bacterial diversity of Grenache and Carignan grape surface from different vineyards at Priorat wine region (Catalonia, Spain). Int. J. Food Microbiol. 2016, 219, 56–63. [Google Scholar] [CrossRef]
- Liu, S.P.; Mao, J.; Liu, Y.Y.; Meng, X.Y.; Ji, Z.W.; Zhou, Z.L.; Ai-lati, A. Bacterial succession and the dynamics of volatile compounds during the fermentation of Chinese rice wine from Shaoxing region. World J. Microbiol. Biotechnol. 2015, 31, 1907–1921. [Google Scholar] [CrossRef]
- Caporaso, J.G.; Kuczynski, J.; Stombaugh, J.; Bittinger, K.; Bushman, F.D.; Costello, E.K.; Fierer, N.; Peña, A.G.; Goodrich, J.K.; Gordon, J.I.; et al. QIIME allows analysis of high-throughput community sequencing data. Nat. Methods 2010, 7, 335–336. [Google Scholar] [CrossRef] [PubMed]
- Magoc, T.; Salzberg, S.L. FLASH: Fast length adjustment of short reads to improve genome assemblies. Bioinformatics 2011, 27, 2957–2963. [Google Scholar] [CrossRef]
- Edgar, R.C. Search and clustering orders of magnitude faster than BLAST. Bioinformatics 2010, 26, 2460–2461. [Google Scholar] [CrossRef] [PubMed]
- Lv, X.; Li, Y.; Cui, T.; Sun, M.; Bai, F.; Li, X.; Li, J.; Yi, S. Bacterial community succession and volatile compound changes during fermentation of shrimp paste from Chinese Jinzhou region. LWT Food Sci. Technol. 2020, 122, 108998. [Google Scholar] [CrossRef]
- Chang, Q.; Luan, Y.H.; Sun, F.Z. Variance adjusted weighted UniFrac: A powerful beta diversity measure for comparing communities based on phylogeny. BMC Bioinform. 2011, 12, 14. [Google Scholar] [CrossRef] [PubMed]
- Zheng, X.; Ge, Z.; Lin, K.; Zhang, D.; Chen, Y.; Xiao, J.; Wang, B.; Shi, X. Dynamic changes in bacterial microbiota succession and flavour development during milk fermentation of Kazak artisanal cheese. Int. Dairy J. 2021, 113, 104878. [Google Scholar] [CrossRef]
- Shannon, C.E. The mathematical theory of communication. M.D. Comput. Comput. Med. Pract. 1997, 14, 306–317. [Google Scholar]
- Yasuda, K.; Oh, K.; Ren, B.Y.; Tickle, T.L.; Franzosa, E.A.; Wachtman, L.M.; Miller, A.D.; Westmoreland, S.V.; Mansfield, K.G.; Vallender, E.J.; et al. Biogeography of the Intestinal Mucosal and Lumenal Microbiome in the Rhesus Macaque. Cell Host Microbe 2015, 17, 385–391. [Google Scholar] [CrossRef]
- Wang, C.-L.; Shi, D.-J.; Gong, G.-L. Microorganisms in Daqu: A starter culture of Chinese Maotai-flavor liquor. World J. Microbiol. Biotechnol. 2008, 24, 2183–2190. [Google Scholar] [CrossRef]
- Moreira, N.; Mendes, F.; Hogg, T.; Vasconcelos, I. Alcohols, esters and heavy sulphur compounds production by pure and mixed cultures of apiculate wine yeasts. Int. J. Food Microbiol. 2005, 103, 285–294. [Google Scholar] [CrossRef]
- Wang, J.; Yan, C.; Ma, C.; Huang, S.; Chang, X.; Li, Z.; Chen, X.; Li, X. Effects of two kinds of Bacillus on flavour formation of Baijiu solid-state fermentation with pure mixed bacteria. Int. J. Food Sci. Technol. 2023, 58, 1250–1262. [Google Scholar] [CrossRef]
- Hong, J.X.; Huang, H.; Zhao, D.R.; Sun, J.Y.; Huang, M.Q.; Sun, X.T.; Sun, B.G. Investigation on the key factors associated with flavor quality in northern strong aroma type of Baijiu by flavor matrix. Food Chem. 2023, 426, 11. [Google Scholar] [CrossRef]
- Wondra, M.; Berovic, M. Analyses of aroma components of chardonnay wine fermented by different yeast strains. Food Technol. Biotechnol. 2001, 39, 141–148. [Google Scholar]
- Passoth, V.; Fredlund, E.; Druvefors, U.; Schnürer, J. Biotechnology, physiology and genetics of the yeast Pichia anomala. FEMS Yeast Res. 2006, 6, 3–13. [Google Scholar] [CrossRef]
- Han, X.L.; Yin, X.; Jiang, W.; Xue, X.X. Style Characteristics Investigation of Quan-Xing Baijiu by Comparing Other Strong-Aroma Baijiu Brands in China. J. Food Qual. 2022, 2022, 7. [Google Scholar] [CrossRef]
- Du, L.; He, T.; Li, W.; Wang, R.; Xiao, D. Analysis of volatile compounds in Chinese Laobaigan liquor using headspace solid-phase microextraction coupled with GC-MS. Anal. Methods 2015, 7, 1906–1913. [Google Scholar] [CrossRef]
- Yang, Y.; Xia, Y.; Hu, W.; Tao, L.; Liu, H.; Xie, C.; Bai, W.; Ai, L. Soaking induced discrepancies in oenological properties, flavor profiles, microbial community and sensory characteristic of Huangjiu (Chinese rice wine). LWT-Food Sci. Technol. 2021, 139, 110575. [Google Scholar] [CrossRef]
- Ning, M.; Fengping, Y.; Jiancai, Z. Characterization of aroma-active compounds and perceptual interaction between esters and sulfur compounds in Xi Baijiu. Eur. Food Res. Technol. 2020, 246, 2517–2535. [Google Scholar] [CrossRef]
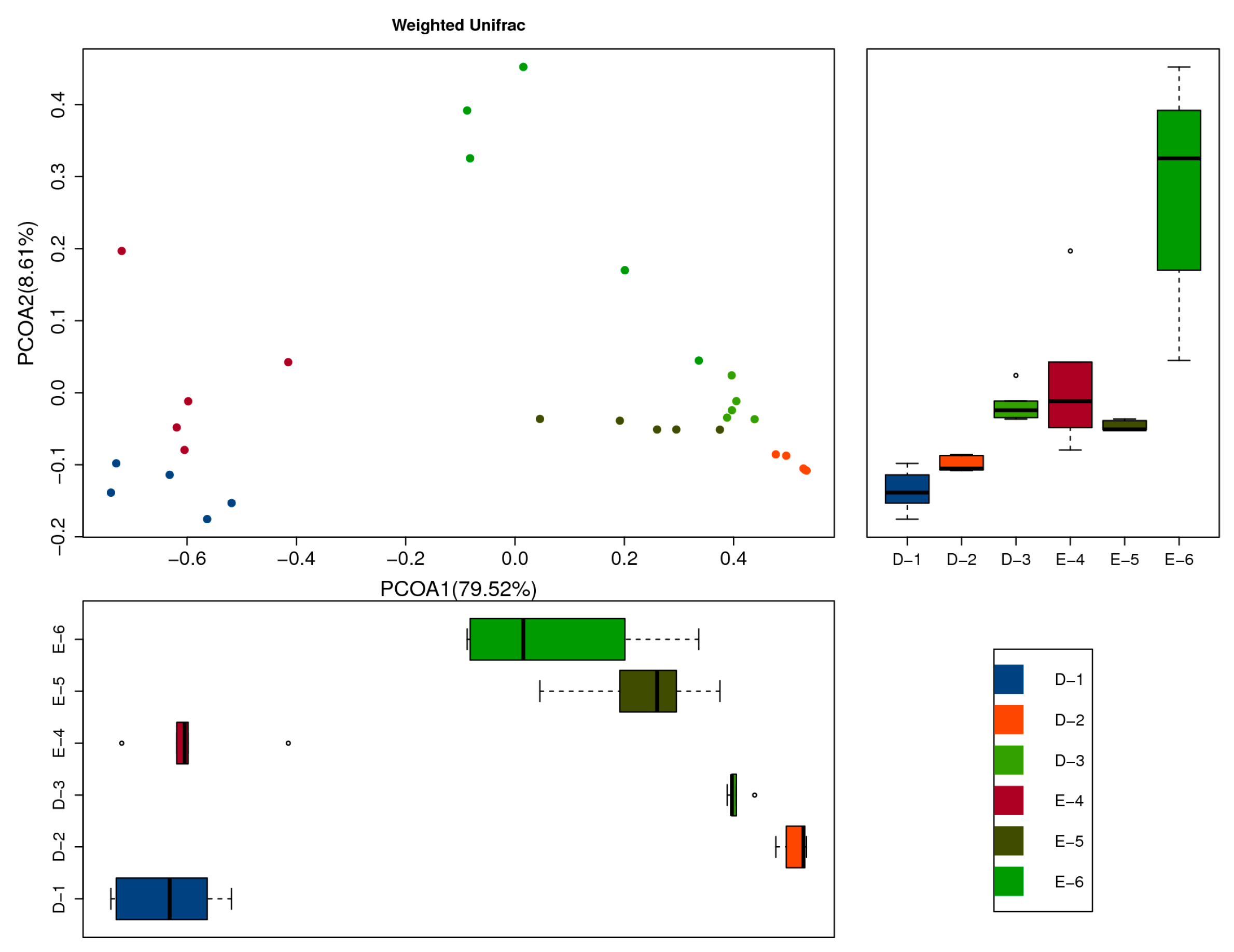
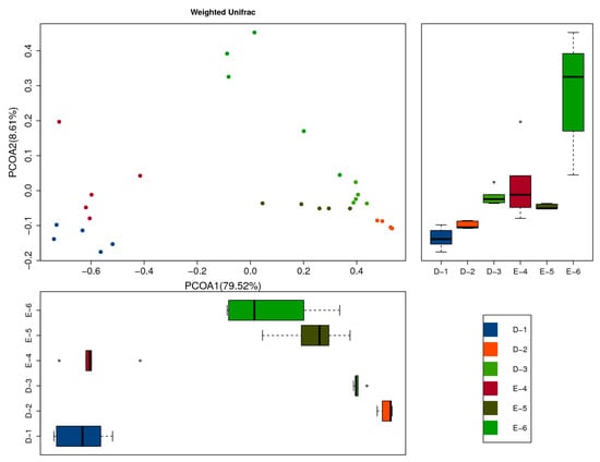
), D-2 (
), D-3 (
), E-4 (
), E-5 (
) and E-6 (
) represent samples from six fermentation stages.
), D-2 (
), D-3 (
), E-4 (
), E-5 (
) and E-6 (
) represent samples from six fermentation stages.





| Sample | Clean Reads | OUT 1 | Sobs 2 | Chao1 2 | Shannon 2 | Simpson 2 | Coverage 2 |
|---|---|---|---|---|---|---|---|
| D-1 | 35,333 | 101 | 79.4 | 112.77 | 2.6767 | 0.764459 | 99.3 |
| D-2 | 35,795 | 63 | 41 | 56.791 | 0.8852 | 0.261388 | 99.7 |
| D-3 | 37,418 | 161 | 109.6 | 158.01 | 2.0635 | 0.531775 | 99.4 |
| E-4 | 36,706 | 98 | 78.8 | 100.02 | 2.5793 | 0.691885 | 99.6 |
| E-5 | 34,280 | 96 | 75.2 | 97.76 | 1.8008 | 0.526424 | 99.5 |
| E-6 | 36,873 | 208 | 131.4 | 156.03 | 3.1106 | 0.725503 | 99.4 |
| Value p | 0.000168 | 0.0004 | 0.000368 | 0.00083 | 0.000958 |
| No. | Compounds | Concentration (μg/L) 2 | |||||
|---|---|---|---|---|---|---|---|
| D-1 | D-2 | D-3 | E-4 | E-5 | E-6 | ||
| Alcohols (10) | |||||||
| 1 | Ethanol | 3.341 ± 0.045 a | 29.893 ± 0.104 a | 38.780 ± 0.034 a | 44.657 ± 0.141 a | 47.785 ± 0.036 a | 53.451 ± 0.007 a |
| 2 | 1-Propanol | ND 1 | 1.023 ± 0.031 b | 0.934 ± 0.003 d | 1.178 ± 0.002 a | 1.309 ± 0.004 b | 0.824 ± 0.003 a |
| 3 | 2-Methylpropanol | ND | 0.102 ± 0.009 d | 0.092 ± 0.006 d | 0.131 ± 0.002 d | 0.182 ± 0.002 a | 0.114 ± 0.001 a |
| 4 | 3-Methylbutanol | 2.012 ± 0.014 a | 20.438 ± 0.122 a | 22.091 ± 0.051 b | 23.598 ± 0.084 c | 24.781 ± 0.006 d | 26.900 ± 0.002 a |
| 5 | Pentanol | ND | 0.0934 ± 0.011 d | 0.101 ± 0.004 d | 0.112 ± 0.009 d | 0.131 ± 0.003 d | 0.113 ± 0.001 d |
| 6 | 1-Hexanol | 0.207 ± 0.011 b | 0.903 ± 0.016 a | 1.238 ± 0.013 a | 1.301 ± 0.003 d | 1.526 ± 0.003 a | 1.290 ± 0.005 a |
| 7 | 1-Octanol | ND | 0.112 ± 0.073 d | 0.320 ± 0.005 d | 0.368 ± 0.005 b | 0.520 ± 0.003 a | 0.392 ± 0.002 a |
| 8 | 1-Nonanol | ND | 0.089 ± 0.016 d | 0.134 ± 0.002 d | 0.147 ± 0.006 d | 0.187 ± 0.000 d | 0.161 ± 0.002 c |
| 9 | Benzyl alcohol | ND | 0.045 ± 0.003 c | 0.053 ± 0.004 d | 0.060 ± 0.004 d | 0.087 ± 0.003 c | 0.071 ± 0.000 d |
| 10 | Phenethyl alcohol | ND | 0.023 ± 0.006 d | 0.043 ± 0.002 d | 0.038 ± 0.008 d | 0.056 ± 0.002 d | 0.050 ± 0.002 d |
| Subtotal | 5.560 | 52.721 | 63.786 | 71.590 | 76.564 | 83.366 | |
| Esters (17) | |||||||
| 11 | Ethyl acetate | 0.023 ± 0.003 a | 3.901 ± 0.047 a | 13.784 ± 0.079 a | 13.672 ± 0.003 d | 14.778 ± 0.012 a | 15.321 ± 0.002 b |
| 12 | n-Ethyl propanoate | ND | 0.023 ± 0.004 b | 0.243 ± 0.007 a | 0.221 ± 0.007 d | 0.245 ± 0.003 d | 0.314 ± 0.001 b |
| 13 | Ethyl isobutyrate | ND | 0.093 ± 0.006 c | 0.210 ± 0.004 b | 0.191 ± 0.007 d | 0.249 ± 0.000 d | 0.302 ± 0.001 c |
| 14 | Ethyl butanoate | ND | 0.539 ± 0.002 a | 1.934 ± 0.009 a | 2.013 ± 0.004 c | 2.352 ± 0.004 a | 2.654 ± 0.006 a |
| 15 | Ethyl isovalerate | ND | 0.099 ± 0.015 d | 0.265 ± 0.005 c | 0.253 ± 0.002 d | 0.289 ± 0.004 c | 0.343 ± 0.008 d |
| 16 | Isoamyl acetate | 0.011 ± 0.002 b | 0.897 ± 0.026 b | 3.125 ± 0.002 b | 2.908 ± 0.001 a | 3.280 ± 0.005 b | 4.905 ± 0.006 a |
| 17 | Ethyl valerate | ND | 0.298 ± 0.011 b | 0.689 ± 0.005 a | 0.607 ± 0.006 c | 0.698 ± 0.002 c | 0.832 ± 0.003 a |
| 18 | Ethyl hexanoate | 0.020 ± 0.004 a | 1.381 ± 0.004 a | 6.459 ± 0.005 a | 6.120 ± 0.004 a | 6.990 ± 0.008 a | 8.908 ± 0.007 a |
| 19 | Ethyl lactate | ND | 0.674 ± 0.009 b | 3.278 ± 0.003 b | 3.099 ± 0.008 b | 3.201 ± 0.005 b | 3.864 ± 0.004 a |
| 20 | Ethyl heptanoate | ND | 0.050 ± 0.004 c | 0.243 ± 0.002 a | 0.189 ± 0.002 a | 0.278 ± 0.001 a | 0.305 ± 0.000 c |
| 21 | Ethyl caprylate | 0.011 ± 0.002 b | 0.572 ± 0.009 b | 2.680 ± 0.007 a | 2.534 ± 0.002 b | 2.723 ± 0.001 a | 3.024 ± 0.002 a |
| 22 | Isobutyl hexanoate | ND | 0.034 ± 0.004 d | 0.119 ± 0.008 c | 0.107 ± 0.004 d | 0.121 ± 0.002 d | 0.134 ± 0.002 d |
| 23 | Isobutyl lactate | ND | 0.063 ± 0.008 d | 0.339 ± 0.006 a | 0.307 ± 0.000 d | 0.329 ± 0.003 d | 0.378 ± 0.002 b |
| 24 | Ethyl benzoate | ND | 0.058 ± 0.007 d | 0.302 ± 0.002 b | 0.289 ± 0.005 d | 0.313 ± 0.000 d | 0.367 ± 0.001 c |
| 25 | Diethyl succinate | ND | 0.108 ± 0.016 d | 0.502 ± 0.006 b | 0.478 ± 0.004 d | 0.539 ± 0.003 b | 0.656 ± 0.004 a |
| 26 | Ethyl phenylacetate | ND | ND | 0.052 ± 0.002 c | 0.049 ± 0.003 d | 0.053 ± 0.000 d | 0.063 ± 0.003 d |
| 27 | Ethyl tetradecanoate | ND | 0.010 ± 0.003 d | 0.061 ± 0.003 b | 0.058 ± 0.006 d | 0.067 ± 0.002 d | 0.082 ± 0.004 d |
| Subtotal | 0.065 | 8.800 | 34.285 | 33.095 | 36.505 | 42.452 | |
| Aldehydes (7) | |||||||
| 28 | Acetaldehyde | ND | 0.132 ± 0.009 c | 0.067 ± 0.005 c | 0.056 ± 0.004 d | 0.142 ± 0.002 a | 0.063 ± 0.003 a |
| 29 | 1,1-Diethoxyethane | ND | 1.001 ± 0.008 b | 0.531 ± 0.005 b | 0.521 ± 0.003 d | 1.031 ± 0.003 a | 0.420 ± 0.001 a |
| 30 | 2-Methylpropionaldehyde | ND | 0.209 ± 0.010 a | 0.098 ± 0.003 a | 0.109 ± 0.003 a | 0.199 ± 0.003 a | 0.047 ± 0.005 a |
| 31 | Acrolein | ND | 0.209 ± 0.001 a | 0.168 ± 0.004 c | 0.165 ± 0.006 d | 0.278 ± 0.001 b | 0.152 ± 0.001 a |
| 32 | Hexanal | ND | 0.301 ± 0.012 c | 0.175 ± 0.008 b | 0.179 ± 0.006 d | 0.367 ± 0.004 a | 0.167 ± 0.002 a |
| 33 | 3-Methylbutyraldehyde | ND | 0.013 ± 0.001 d | 0.050 ± 0.007 d | 0.047 ± 0.011 d | 0.060 ± 0.000 d | 0.052 ± 0.002 d |
| 34 | Octanal | ND | 0.090 ± 0.006 c | 0.061 ± 0.003 c | 0.065 ± 0.005 d | 0.125 ± 0.002 c | 0.057 ± 0.002 a |
| Subtotal | ND | 0.954 | 0.619 | 0.621 | 1.171 | 0.538 | |
| Ketones (4) | |||||||
| 35 | 2,3-Butanedione | 0.012 ± 0.003 d | 0.132 ± 0.014 d | 0.052 ± 0.004 d | 0.064 ± 0.004 d | 0.148 ± 0.003 b | 0.040 ± 0.002 a |
| 36 | 2-Pentanone | 0.034 ± 0.004 a | 0.209 ± 0.010 a | 0.148 ± 0.003 a | 0.136 ± 0.002 a | 0.249 ± 0.001 a | 0.152 ± 0.004 a |
| 37 | 2-Heptanone | 0.022 ± 0.004 c | 0.200 ± 0.013 c | 0.136 ± 0.003 d | 0.141 ± 0.005 b | 0.217 ± 0.002 c | 0.108 ± 0.004 b |
| 38 | Acetophenone | 0.016 ± 0.001 b | 0.238 ± 0.004 b | 0.103 ± 0.010 c | 0.121 ± 0.006 d | 0.266 ± 0.002 c | 0.104 ± 0.005 b |
| Subtotal | 0.084 | 0.779 | 0.439 | 0.462 | 0.880 | 0.404 | |
| Acids (3) | |||||||
| 39 | Acetic acid | 0.007 ± 0.001 a | 0.010 ± 0.002 a | 0.016 ± 0.002 a | 0.016 ± 0.002 a | 0.018 ± 0.001 a | 0.023 ± 0.003 a |
| 40 | Hexanoic acid | 0.012 ± 0.001 a | 0.023 ± 0.002 a | 0.031 ± 0.002 a | 0.034 ± 0.004 a | 0.047 ± 0.000 a | 0.062 ± 0.002 a |
| 41 | Octanoic acid | 0.014 ± 0.002 a | 0.025 ± 0.002 a | 0.034 ± 0.003 a | 0.032 ± 0.002 a | 0.041 ± 0.001 a | 0.056 ± 0.004 a |
| Subtotal | 0.033 | 0.058 | 0.081 | 0.082 | 0.106 | 0.141 | |
| Others (4) | |||||||
| 42 | 2-Butylfuran | ND | 0.091 ± 0.006 c | 0.112 ± 0.005 d | 0.107 ± 0.010 d | 0.116 ± 0.002 d | 0.126 ± 0.002 d |
| 43 | Furfural | 0.012 ± 0.004 c | 0.278 ± 0.023 c | 0.123 ± 0.005 d | 0.126 ± 0.006 d | 0.301 ± 0.001 d | 0.203 ± 0.002 a |
| 44 | Benzaldehyde | 0.011 ± 0.005 a | 0.034 ± 0.004 a | 0.070 ± 0.005 a | 0.065 ± 0.009 a | 0.076 ± 0.002 a | 0.085 ± 0.006 a |
| 45 | Dimethyl trisulfide | ND | 0.127 ± 0.002 b | 0.264 ± 0.003 a | 0.253 ± 0.008 d | 0.311 ± 0.001 d | 0.324 ± 0.001 c |
| Subtotal | 0.023 | 0.530 | 0.569 | 0.551 | 0.804 | 0.738 | |
| Total | 5.765 | 64.843 | 100.310 | 106.922 | 117.061 | 128.059 | |
Disclaimer/Publisher’s Note: The statements, opinions and data contained in all publications are solely those of the individual author(s) and contributor(s) and not of MDPI and/or the editor(s). MDPI and/or the editor(s) disclaim responsibility for any injury to people or property resulting from any ideas, methods, instructions or products referred to in the content. |
© 2024 by the authors. Licensee MDPI, Basel, Switzerland. This article is an open access article distributed under the terms and conditions of the Creative Commons Attribution (CC BY) license (https://creativecommons.org/licenses/by/4.0/).
Share and Cite
Yang, X.; Yao, J.; Hu, Y.; Qin, Z.; Li, J. Fungal Community Succession and Volatile Compound Changes during Fermentation of Laobaigan Baijiu from Chinese Hengshui Region. Foods 2024, 13, 569. https://doi.org/10.3390/foods13040569
Yang X, Yao J, Hu Y, Qin Z, Li J. Fungal Community Succession and Volatile Compound Changes during Fermentation of Laobaigan Baijiu from Chinese Hengshui Region. Foods. 2024; 13(4):569. https://doi.org/10.3390/foods13040569
Chicago/Turabian StyleYang, Xuelian, Jintao Yao, Ying Hu, Zichun Qin, and Jingchao Li. 2024. "Fungal Community Succession and Volatile Compound Changes during Fermentation of Laobaigan Baijiu from Chinese Hengshui Region" Foods 13, no. 4: 569. https://doi.org/10.3390/foods13040569
APA StyleYang, X., Yao, J., Hu, Y., Qin, Z., & Li, J. (2024). Fungal Community Succession and Volatile Compound Changes during Fermentation of Laobaigan Baijiu from Chinese Hengshui Region. Foods, 13(4), 569. https://doi.org/10.3390/foods13040569
