Next Article in Journal
Antibacterial Effect and Possible Mechanism of Sesamol against Foodborne Pathogens
Next Article in Special Issue
Effects of Hot Air, Vacuum, and Conductive Drying on the Fatty Acid Profile of Cucurbita maxima Pulp and Its Processing By-Products
Previous Article in Journal
Non-Destructive Assessment of Microstructural Changes in Kabuli Chickpeas during Storage
Previous Article in Special Issue
Unraveling the Formation Mechanism of Egg’s Unique Flavor via Flavoromics and Lipidomics
 
 
Font Type:
Arial Georgia Verdana
Font Size:
Aa Aa Aa
Line Spacing:
Column Width:
Background:
Article

Quality and Process Optimization of Infrared Combined Hot Air Drying of Yam Slices Based on BP Neural Network and Gray Wolf Algorithm

1
College of Mechanical and Electrical Engineering, Shihezi University, Shihezi 832003, China
2
Key Laboratory of Northwest Agricultural Equipment, Ministry of Agriculture and Rural Affairs, Shihezi 832003, China
3
Key Laboratory of Modern Agricultural Machinery Corps, Shihezi 832003, China
4
College of Engineering, China Agricultural University, Beijing 100080, China
5
College of Food, Shihezi University, Shihezi 832003, China
*
Author to whom correspondence should be addressed.
Foods 2024, 13(3), 434; https://doi.org/10.3390/foods13030434
Submission received: 10 December 2023 / Revised: 9 January 2024 / Accepted: 18 January 2024 / Published: 29 January 2024

Abstract

In this paper, the effects on drying time (Y1), the color difference (Y2), unit energy consumption (Y3), polysaccharide content (Y4), rehydration ratio (Y5), and allantoin content (Y6) of yam slices were investigated under different drying temperatures (50–70 °C), slice thicknesses (2–10 mm), and radiation distances (80–160 mm). The optimal drying conditions were determined by applying the BP neural network wolf algorithm (GWO) model based on response surface methodology (RMS). All the above indices were significantly affected by drying conditions (p < 0.05). The drying rate and effective water diffusion coefficient of yam slices accelerated with increasing temperature and decreasing slice thickness and radiation distance. The selection of lower temperature and slice thickness helped reduce the energy consumption and color difference. The polysaccharide content increased and then decreased with drying temperature, slice thickness, and radiation distance, and it was highest at 60 °C, 6 mm, and 120 mm. At 60 °C, lower slice thickness and radiation distance favored the retention of allantoin content. Under the given constraints (minimization of drying time, unit energy consumption, color difference, and maximization of rehydration ratio, polysaccharide content, and allantoin content), BP-GWO was found to have higher coefficients of determination (R2 = 0.9919 to 0.9983) and lower RMSEs (reduced by 61.34% to 80.03%) than RMS. Multi-objective optimization of BP-GWO was carried out to obtain the optimal drying conditions, as follows: temperature 63.57 °C, slice thickness 4.27 mm, radiation distance 91.39 mm, corresponding to the optimal indices, as follows: Y1 = 133.71 min, Y2 = 7.26, Y3 = 8.54 kJ·h·kg−1, Y4 = 20.73 mg/g, Y5 = 2.84 kg/kg, and Y6 = 3.69 μg/g. In the experimental verification of the prediction results, the relative error between the actual and predicted values was less than 5%, proving the model’s reliability for other materials in the drying technology process research to provide a reference.

1. Introduction

Yam is a food rich in biologically active substances and a herbal medicine [1]. It is widely cultivated and consumed in China and is known as “Centennial ginseng” and “Mediterranean gold” [2]. Its underground tubers are rich in protein, polysaccharides, allantoin, vitamin C, calcium, iron, and other nutrients [3]. According to the traditional Chinese medicine theory, medicinal use belongs to the underground part of the medicinal herbs, which nourish the stomach, relieve fatigue, and lower blood sugar [4]. According to statistics, there are more than 600 yam species worldwide, and these yams are mainly distributed in regions such as Africa, Asia, and America. Among them, China is one of the wealthiest countries in terms of yam species, with 93 different species accounting for about one-sixth of the global yam species [5]. However, fresh yam has high crispness and moisture content (84%), making it prone to mechanical damage and moldy growth during sale, processing, transportation, and storage, leading to food waste and environmental pollution [6]. Drying techniques can reduce yams’ moisture content and water activity to extend their storage period and ensure their quality and nutrients [7].
Infrared combined hot air drying (IR-HAD) utilizes infrared radiation and hot air heat transfer drying. Infrared can penetrate the surface layer of the material and directly heat the internal moisture. The hot air propagation system accelerates the evaporation and discharge of moisture through the air supply cycle to improve the drying effect [8]. This process combines the excellent characteristics of infrared drying, fast warming speed, low energy consumption, and the advantages of hot air drying, such as low cost, easy operation, and suitability for large-scale production, which is widely used in sheet materials [9]. Feng et al. [10], by studying the effects of different drying methods on the quality of garlic flakes, found that the garlic flakes of IR-HAD have significant advantages in the rehydration capacity, the content of biological compounds, and the antioxidant properties. Xu et al. [11] studied the effects of different temperatures on the drying characteristics and quality of goldenseal. They concluded that far infrared combined with hot air drying shortened the drying time, and goldenseal color, flavor, and active ingredients were superior to those of far infrared drying. Zhang et al. [12] found that IR-HAD had the advantages of short drying time, low energy consumption, and high quality of dried cucurbits relative to hot air drying. It has a short drying time, low energy consumption, and good quality, which proves that IR-HAD is a suitable technology for maintaining the quality of fruits and vegetables. On the other hand, there are fewer studies in the literature reporting on IR-HAD for yam slices, and the technology is yet to be used to explore the effect of drying conditions on the pattern of physicochemical indices and the optimal process parameters.
Dry processing involves several indicators, such as efficiency, energy consumption, and quality, and it is not feasible to pursue only high efficiency or high quality; the key lies in selecting reasonable process parameters [13]. Most optimizations in food engineering involve single-objective optimization using response surface methodology (RSM), which has obvious advantages in terms of the amount of information obtained from evaluating the goodness of fit [14]. However, RSM analysis is usually based on linear models, and in non-linear problems, the results of RSM analysis may not accurately predict the output effects. In recent years, with the development of artificial intelligence, BP neural networks, as a data-driven tool, have demonstrated excellent adaptability in function approximation, non-linear function fitting, and online prediction, and they are one of the most widely used neural network models [15]. BP neural networks have been widely recognized as effective for solving complex, highly non-linear, and poorly defined science and engineering problems [16]. BP neural networks have been used for the prediction of hot air drying characteristics of wheat [17], microwave vacuum drying characteristics of carrots [18], prediction of polysaccharides in rhizomes of Atractylodis macrocephaly [19], prediction of flavor changes in the drying process of ginger [20], and prediction of infrared drying of broccoli moisture ratio [21]. Although BP neural networks have many advantages, they also have some limitations, such as easy overfitting, sensitivity to initial weight selection, and the need for a large amount of training data [22]. In practical applications, it is necessary to choose the appropriate network structure and learning algorithm according to the specific problem’s needs and the data’s characteristics and carry out appropriate tuning and optimization [23]. The gray wolf algorithm is based on media intelligence, which solves the optimization problem by simulating the way of interacting in the gray wolf group [24]. Based on the collaborative and competitive behaviors of gray wolves, the gray wolf algorithm uses the guiding role of the leader individual and the following behaviors of the other individuals to search for the optimal solution step by step through several iterations in order to obtain the global optimal solution for the problem [25]. In this regard, the BP neural network combined with the gray wolf algorithm is used to solve stochastic non-linear optimization problems to find the experiment’s optimal drying condition through fewer trials [26]. Most importantly, to the best of our knowledge, this is the first attempt to combine response surfaces with BP-GWO in the drying process, providing a new way of thinking about modeling and optimizing the drying process.
In this paper, the drying of yam slices was carried out in an infrared combined hot air drying oven to analyze its effect on the drying rate of yam slices. The effective water diffusion coefficient, unit energy consumption, color difference value, rehydration ratio, polysaccharide concentration, and allantoin concentration of yam slices were examined with various drying temperatures, slice thicknesses, and radiation distances. The optimal process parameters for IR-HAD of yam slices were predicted and optimized using BP-GWO based on RSM and then confirmed experimentally.

2. Materials and Methods

2.1. Materials

The Shihezi wholesale farmers’ market is where fresh yams were purchased. Selected yams 4 cm in diameter and 60 cm in length, devoid of disease spots, wounds, mold, and rot, were preserved in the refrigerator at 41 °C. Before drying, the sliced yams were washed with tap water to eliminate surface dirt and excess water. The yam was physically peeled and sliced into thin slices of the required thickness for the test, and numerous measurements were obtained for each sample using vernier calipers (precision of 0.02 mm) to eliminate yam slices with large inaccuracies. The original moisture content of the yam was assessed by drying the yams to a consistent mass in a hot air oven at 105 °C. The above test was repeated three times. The final average initial moisture content of yam was 84.28 ± 1.32% [27].

2.2. Test Method

This study used laboratory-scale integrated short- and medium-wave infrared and hot air combined drying equipment (STC et al., China; temperature accuracy ±0.1 °C, power range 0~2 kW) for the drying experiments. The internal dimensions of the drying chamber were 43 cm × 42 cm × 27 cm. Six infrared tubes were installed at the top to provide a heat supply with a wavelength range of 3~5 μm. During the drying process, the airflow was blown to the material tray through the blower, so that the material was dried uniformly. At the same time, a temperature sensor was placed on the material tray to measure the temperature in the drying chamber in time and control the temperature error within 0.1 °C.

2.3. Test Methods

To achieve optimal drying of yam slices, the infrared combined hot air dryer was adjusted to the desired temperatures (50 °C, 55 °C, 60 °C, 65 °C, and 70 °C) 30 min in advance. The wind speed was measured at the nozzle using an anemometer (TES-1340, Taiwan Tai-Style Electronics Industry Co., New Taipei City, Taiwan) at the center of the dryer, and the wind speed was adjusted to 3 m/s. Yam slices (150 g) of various thicknesses (2 mm, 4 mm, 6 mm, 8 mm, and 10 mm) were uniformly dispersed in a single layer on a 37 cm × 20 cm tray and placed in the respective radiation distances (80 mm, 120 mm, and 160 mm) for the drying experiments. The weight loss of the samples was evaluated using an electronic balance (BSM-4200.2, Shanghai JOYCE Electronics Co. Technology Co., Shanghai, China, sensitivity 0.01 g) every 15 min until the target moisture content (0.13 kg/kg) was reached. The samples were cooled in a cooling box (202-00A, Nanjing Changchuang Science and Technology Co., Ltd., Nanjing, China) and vacuum packed in low-density polyethylene (LDPE) bags for further analysis immediately after the test, and each set of tests was performed three times.

2.4. Drying Characteristics

The yam slices’ moisture ratio (MR) and drying rate (DR) were measured every 15 min during the drying process to obtain the MR-t and DR-Mt curves.
Equation (1) [28] can be used to calculate the dry basis moisture content of yam slices during drying.
M t = W t G G
where Mt is the dry basis moisture content at instant t, expressed in g/g d.b., and Wt is the total mass of yam slices at any moment t, expressed in g. G denotes the sample’s dry mass in grams.
Equation (2) was used to calculate the moisture ratio MR at various times.
M R = M t M 0
where MR is the moisture ratio; Mt is the dry basis moisture content at time t, expressed in g/g d.b.; and M0 is the beginning moisture content, expressed in g/g d.b.
The DR of dried yam slices was estimated using Equation (3) [29].
D R = M t 1 M t 2 t 1 t 2
where DR is the drying rate of yam slices, g/(g·min)−1; Mt1 is the dry base moisture content at the moment of t1, in g/g; Mt2 is the dry base moisture content at the moment of t2, in g/g; and t is the time, h.

2.5. Effective Moisture Diffusion Coefficient

According to Fick’s second diffusion equation [30], the effective moisture diffusion coefficient (Deff) can be described by the drying data of test samples based on the linear equation of ln MR-t, as shown in Equation (4).
ln M R = ln 8 π 2 π 2 D e f f L 2 t
where Deff is the effective moisture diffusion coefficient of yam slices in m2/s; L is the yam slice thickness in m; and t is the drying time in s.

2.6. Determination of Color and Luster

The color parameters (L*, a*, b*) of dried yam slices were measured using a colorimeter (SMY-2000SF, Beijing Sheng Ming Yang Technology Development Co., Ltd., Beijing, China). Using the following formula [31], the color difference value E between the dried treated group and fresh samples was computed.
Δ E = L L 2 + a a 2 + b b 2
where L, a, and b represent the brightness, red-green value, and yellow-blue value of fresh yam, and L*, a*, b* represent the brightness, red-green value, and yellow-blue value of dried yam slices, respectively.

2.7. Determination of Rehydration Ratio

The beaker containing distilled water was placed in a 40 °C water bath. When the temperature of distilled water had stabilized, 5 g of yam slices was added to 50 mL of the liquid. They were removed after 2 h of immersion, and the surface was dried with absorbent paper and weighed on an analytical balance (BSM-4200.2, Zhejiang Nader Scientific Instrument Co., Ltd., Hangzhou, China) [32]. The formula for the rehydration ratio was as follows:
R r = m 1 m 2 R r = m 1 m 2
where Rr is the rehydration ratio in grams per gram; m1 is the mass of the sample after rehydration in grams; and m2 is the mass of the sample before rehydration in grams.

2.8. Microstructure

One of the three groups of sliced yam samples was selected as a typical sample, which was broken immediately after liquid nitrogen quick-frozen food processing treatment to produce a natural crunchy longitudinal section. The specimen was glued to a sample tray using a low-carbon conductive adhesive and metal sprayed to allow scanning via scanning electronic microscopy (SEM) [33]. Representative images were selected to be recorded and analyzed in depth by repeatedly studying the compositional configuration of each block.

2.9. Polysaccharide Content

Determination of yam polysaccharides [34]: 2 mL of each glucose standard solution (0.00 g/mL, 0.20 g/mL, 0.40 g/mL, 0.60 g/mL, 0.80 g/mL, and 1.00 g/mL) was taken into a cuvette. The standard curve of glucose solution measured by UV spectrophotometer (UV-1900i, Shimadzu Instruments Co., Ltd., Kyoto, Japan) at 490 nm was y = 11.8557x − 0.0206, R2 = 0.9564. Six grams of phenol (108-95-2, Wuhan Kemik Bio-medical Technology Co., Ltd., Wuhan, China) and ninety-four grams of water were put into a 250 mL beaker. A 6% phenol solution was obtained after thorough mixing. In each pre-treatment test group, 3 g of dried yam products was accurately weighed, crushed, ground into powder, and then screened through a 60-mesh sieve to obtain a fine powder. The powders of the different pre-treated samples were put into 10 mL test tubes, 1 mL of 6% phenol solution was added to each test tube, and 5 mL of sulfuric acid (GB/T601-2016, Tianjin Yongsheng Fine Chemical Co., Ltd., Tianjin, China) was added quickly. After thorough mixing, the test tubes were put into a thermostatic water bath at 90 °C. After 15 min, the test tubes were taken out of the thermostatic water bath and put into a cold water bath for 5 min, then put into a centrifuge (L0-LX-H1850, Shanghai Li-Chen Bonsi Instrument Science and Technology Co., Ltd., Shanghai, China) for centrifugation (6000 r/min, 10 min); the precipitate was poured off, and the supernatant was retained in the cuvette and determined by ultraviolet spectrophotometer at 490 nm. The absorbance was measured at 490 nm, and the polysaccharide content was calculated based on the glucose standard curve.

2.10. Allantoin Content

UV-visible high-performance liquid chromatography was used to determine the allantoin concentration [35]. The yam sample was precisely weighed at 2 g, crushed and ground into powder, passed through a 60-mesh sieve, and dissolved in 10 mL of distilled water; 95% ethanol was added 10–15 times with sonication for 10 min at 4 °C; 10 mL of the sample was taken, centrifuged (7000 r/min) for 10 min, and allantoin was analyzed by liquid chromatography. HPLC column: 5 m, 250 4.6 mm; flow rate: 0.2 mL/min; UV wavelength: 200 nm; mobile phase: EtOH/CHCL3/H2O (0.5/0.012/100). The allantoin concentration was measured colorimetrically.

2.11. Unit Energy Consumption

The energy consumption was measured by an electric meter (DL333502, Deli Group Ltd., Ningbo, China), which was zeroed before the start of each test, and the reading of the meter at the end of the test indicated the energy consumed in this test [9].
The energy required to remove a water unit was determined using Equation (7).
φ = Q M
where φ is the unit energy consumption, kJ·h/kg; Q is the total energy consumption determined by the electric meter at the end of drying, kJ·h; and M is the dehydrated mass of yam slices at the conclusion of drying, kg.

2.12. Indicator Weights

The coefficient of variation approach was employed in this work to calculate the weights of drying time, color difference value, unit energy consumption, rehydration rate, polysaccharide content, and allantoin content of yam slices under various drying circumstances [36].
The coefficient of variation was calculated as Equation (8).
V i = σ i x i
The weights of the indicators for each sample were calculated as Equation (9).
W i = V i i = 1 n V i
where Vi is the ith indicator’s coefficient of variation; Wi is the ith indicator’s weight; i is the ith indicator’s standard deviation; and xi is the ith indicator’s mean.

2.13. Response Surface Experimental Design

Drying temperature A (55~65 °C), slice thickness B (4~8 mm), and radiation distance C (80~160 mm) were used as the response factors, and drying time(Y1), ΔE(Y2), unit energy consumption(Y3), rehydration ratio(Y4), polysaccharide content(Y5), and allantoin content(Y6) were used as the response values. This study used a Box–Behnken design to conduct a three-level response surface test through drying temperature, slice thickness, and radiation distance. The regression equation between each response value and drying conditions was established using Design-Expert 12 software [37]. Table 1 demonstrates each test factor and its coding.
Equation (10) demonstrates that a second-order polynomial response surface model was employed to fit the experimental data and describe the relationship between each response and the independent variables [38].
Y = β 0 + β 1 X 1 + β 2 X 2 + β 3 X 3 + β 11 X 1 2 + β 22 X 2 2 + β 33 X 3 2 + β 12 X 1 X 2 + β 13 X 1 X 3 + β 23 X 2 X 3
where Y is the response function for each response variable (Y1Y4). β0 is the constant term. β1, β2, and β3 are the linear coefficients. β11, β22, and β33 are the quadratic coefficients. β12, β13, and β23 are the interaction coefficients.

2.14. GWO-BP Model and Multi-Objective Optimization

BP neural network is a typical artificial neural network: a forward feedback network trained based on the backpropagation algorithm [39]. The BP neural network is composed of three layers—input, hidden, and output—with each node in the hidden and output levels coupled to the nodes in the previous layer [40]. A one-way test was used to determine the drying temperature, slice thickness, and radiation distance as input layer neurons of the BP neural network, and drying time, E, unit energy consumption, rehydration ratio, polysaccharide content, and allantoin content as output layer neurons. The number of nodes in the hidden layer was calculated using Equation (11) to construct the network structure of 3-m-6; 80% of the response surface data was selected for training, and 20% was used for testing and verification to complete the self-learning training and prediction of BP neural network. The specific BP neural network operation flow is shown in Figure 1.
M = N + L + a
where L is the number of nodes in the output layer; M is the number of nodes in the hidden layer; a is a constant of [0,10]; N is the number of nodes in the input layer.
Because of the significant differences in the scale and reference ranges of the judgment indicators (drying time, ΔE, energy consumption per unit, rehydration ratio, polysaccharide content, and allantoin content), the objective function was defined as follows:
min f = w i ( 1 k i ) 2
where min is the minimum value of f taken; i is the index number; wi is the weight of the ith indicator; ki is the correlation between the calculated value of the ith response surface regression equation fact and the optimal knowledge of the best indicator.
For the smaller and better indicators ki1 (drying time, color difference value, and unit energy consumption) and the larger and better indicators ki2 (rehydration ratio, polysaccharide content, and allantoin content), the calculation formulae are shown in Equations (13) and (14), respectively.
k i 1 = f b e s t f a c t
k i 2 = f a c t f b e s t
The gray wolf algorithm has three phases: encirclement, hunting, and capture. The encirclement of prey is actually achieved by α, β, and δ wolves. The other wolves keep updating their positions through their distance from the positions of α, β, and δ wolves, which in turn capture the prey [41]. The position of each gray wolf iteration represents the solution set of the problem. The gray wolf will update its position according to Equations (15) and (16) for encirclement.
The iterative position and capture equations for the wolf position are as follows:
D i ( k ) = C · X p ( k ) X i ( k )
X p ( k + 1 ) = X p ( k ) A · D
A = 2 a r 1 a
C = 2 r 2
where Di(k) is the distance of individual prey; Xp(k) denotes the current position; k denotes the current number of iterations; A and C denote the coefficients; r1 and r2 denote the random vectors [0,1]; and Xp(k+1) denotes the position after the iteration. The elements of vector a decrease linearly from 2 to 0 with iterations.
The position update of the gray wolf hunting process is shown in Figure 2. The wolves gradually approach the prey according to the leadership mechanism, and each time, the position of the wolves is updated depending on the indication of Alpha, Beta, and Delta; the mathematical model equations are shown in Equations (19) and (20) [42].
X ( k + 1 ) = 1 3 X 1 + 1 3 X 2 + 1 3 X 3
X 1 = X α ( k ) A 1 · D α X 2 = X β ( k ) A 2 · D β X 3 = X δ ( k ) A 3 · D δ    D α = C 1 · X α X D β = C 2 · X β X D δ = C 3 · X δ X
The main difference between the multi-objective gray wolf algorithm and the GWO algorithm is the introduction of the Archive population to change the way of selecting α (optimal individual), β (suboptimal individual), and δ (worst individual) [43]. The excellent individuals (non-dominated solutions) will be stored in the Archive in each generation. The Archive will perform update and deletion operations according to a particular strategy. Eventually, the individuals selected in the Archive are considered to be the optimized problem solutions of the Pareto optimal solution. The flowchart of the gray wolf algorithm is shown in Figure 1.
The maximum values of the optimization objectives, as shown in Equation (21), are rehydration ratio, polysaccharide content, and allantoin content, and the minimum values of the optimization objectives are drying time, color difference, and unit energy consumption.
objectives   Min   Y 1 A , B , C ;   Min   Y 2 A , B , C ;   Min   Y 3 A , B , C Max   Y 4 A , B , C ;   Max   Y 5 A , B , C ;   Max   Y 6 A , B , C 55   ° C < A < 65   ° C ;   4   mm < B < 8   mm ;   80   mm < C < 160   mm
All codes in this paper were written in a MATLAB environment, with the population size set at 100 and the maximum selection of external archives at 100 for a total of 1000 iterations. The procedure was run on a computer configured with Intel(R) Core(TM) i7, with 16 GB of onboard RAM, a 64-bit operating system, and a x64 based processor.
The coefficient of determination, R2, and the root mean square error, RMSE [36], were used to compare the model’s applicability to the data. The closer the R2 is to 1 and the lower the RMSE value, the more applicable the model. The calculations are performed in Equations (22) and (23).
R 2 = 1 i = 1 N y a c t , i y p r e , i 2 i = 1 N y a c t , i y i 2
R M S E = 1 N i = 1 N y a c t , i y p r e , i 2 1 2
where yact,i is the sample’s measured value; ypre,i is the sample’s predicted value; and yi is the average of the actual values. M and n are the number of data sets measured in the experiment and, accordingly, the number of constants in the model.

2.15. Data Processing

The experimental data were processed in Excel 2021 and plotted in Origin 2021. Response surface analysis was performed in Design-Expert 12. Modeling and optimization of BP-GWO were achieved in MATLAB R2018b.

3. Results and Analysis

3.1. Effect of Different Temperatures on Drying Characteristics and Quality of Yam Slices

3.1.1. Effect of Different Temperatures on Drying Characteristics

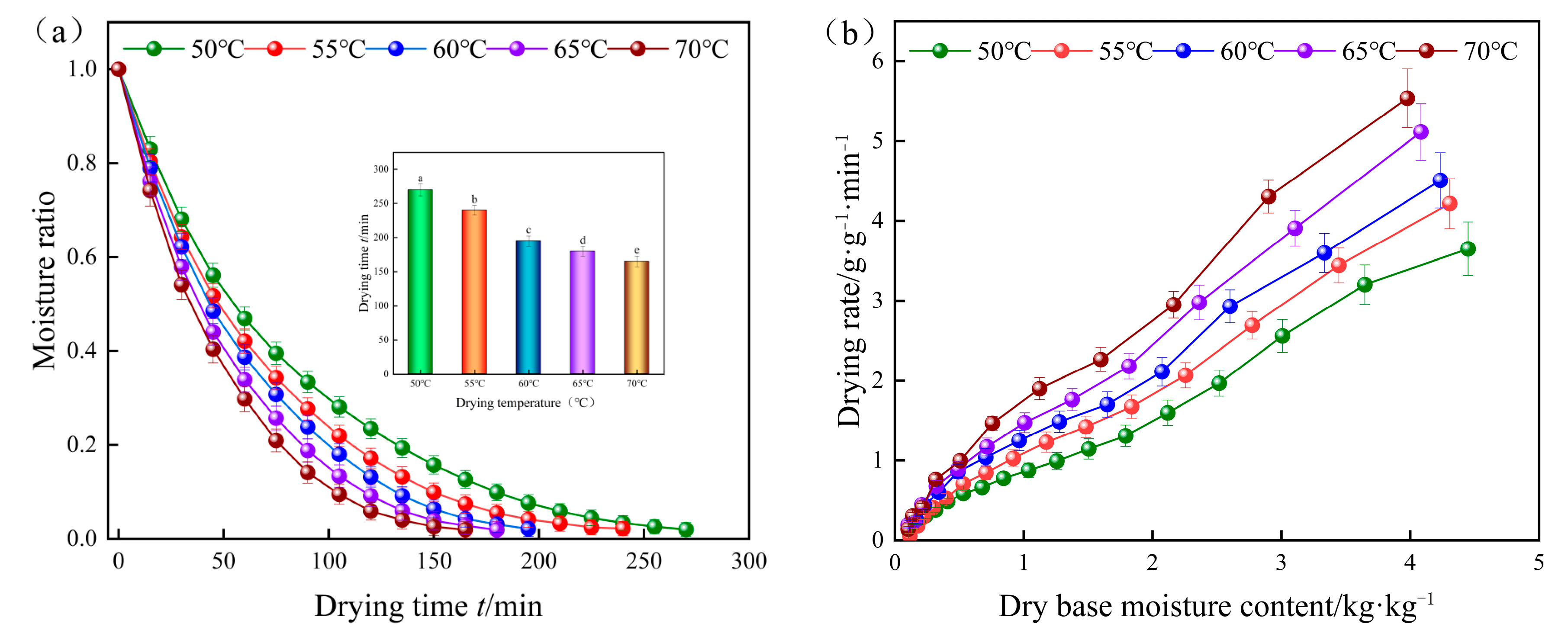
Figure 3a shows the changes in yam slices with drying time under different drying temperature conditions. The drying moisture content showed an exponential decreasing trend, and the decreasing trend of the drying moisture content ratio of yam slices during the drying process was faster at the initial stage, slower in the middle stage, and it continued to slow down until the decreasing trend was flat. In addition, the higher the drying temperature, the steeper the curve, i.e., the higher the drying temperature, the shorter the drying time of yam slices. When the drying temperature was 70 °C, it only took 165 min for the yam slices to reach equilibrium, which was 38.9% shorter than that under 50 °C [44]. According to Figure 3b, it can be seen that different drying temperatures had a significant effect on the drying rate of yam slices, and higher drying temperatures could enhance the drying rate (DR) of yam slices. At the initial drying stage, the drying rate of yam slices was at its maximum. However, as the drying process of yam slices continued, the surface where water evaporated continuously migrated to the interior, and the distance of water diffusion increased. The resistance of water diffusion from the interior of yam slices to the surface was more excellent than that of water diffusion from the surface of yam slices to the air, which led to a gradual decrease in the drying rate [45].

3.1.2. Effect of Different Temperatures on Effective Water Diffusion Coefficient of Yam Slices

The linear regression equations and effective moisture diffusion coefficients at various temperatures are shown in Table 2. The effective moisture diffusion coefficients were 8.5510−9, 9.8910−8, 1.1810−8, 1.3210−8, and 1.7910−8 when the drying temperatures were 50, 55, 60, 65, and 70 °C, respectively, and the effective moisture diffusion coefficients rose 2.09 times with temperature, showing that high temperature can provide more energy to enhance water diffusion from the interior to the outside and that increasing the temperature can increase the rate of water diffusion in yam slices. Zhang et al. [46] reached the same conclusion when drying yam slices in infrared hot air.

3.1.3. Effect of Different Temperatures on Unit Energy Consumption of Yam Slices

The unit energy consumption reflects the power consumption of the infrared combined hot air dryer for yam slices. Figure 4 demonstrates the comparison of unit energy consumption at different drying temperatures. It was found that the lower the temperature, the greater the unit dewatering energy consumption, and the unit dewatering energy consumption of yam slices under the drying condition of 70 °C was reduced by 6.51, 5.08, 3.08, and 0.71 kW·h/kg compared with that under the drying condition of 50, 55, 60, and 65 °C, respectively. This was due to the longer drying time and the prolonged operation of the moisture removal fan, the heating film, and other electrical components consuming electric energy, and the unit dewatering energy consumption positively correlated with the drying time. The energy consumption per water removal unit and drying time were also positively correlated.

3.1.4. The Effect of Different Temperatures on the Rehydration Ratio and Microstructure of Yam Slices

The rehydration ratio is an essential index for evaluating drying quality because it can characterize the degree of drying destruction in the material’s structure; the higher the rehydration ratio, the better the product quality and the less drying destruction in the product’s structure [47]. Figure 4 depicts the rehydration ratio of yam slices using IR-HAD at various temperatures [46]. As seen in Figure 4, the rehydration ratio of yam slices increased initially and then reduced with increasing temperature. The drying temperature of 60 °C resulted in the highest rehydration ratio of yam slices. When the drying temperature was raised to 70 °C, the rehydration ratio of yam slices was found to be the lowest. This may be because, as the drying temperature increases, more energy is absorbed per unit mass of yam slices, which generates a higher vapor pressure inside its tissues, leading to an increase in the expansion of its internal tissues and an increase in the rehydration ratio. However, a drying rate which was too fast caused rapid evaporation of water from the surface of the yam slices, resulting in the formation of a hard shell on the surface [48]. Under these conditions, the water inside the yam slices could not evaporate sufficiently, resulting in the hardening of the surface structure, which in turn led to a decrease in the rehydration ratio. In addition, the scanning electron microscopy observations in Figure 5 showed that different drying temperatures were essential factors affecting the microstructure of yam slices. With the increase in drying temperature, the porosity of yam slices showed a tendency to increase and then decrease. At 60 °C, the pores were most uniformly arranged, with a loose structure and the highest porosity. This may be because increasing the temperature will make the internal organization of yam slices more expansive, which is conducive to forming pores. However, too high a temperature will lead to its hardening [49]. The trend of rehydration ratio can also be demonstrated in the changes in microstructure.

3.1.5. Effects of Different Temperatures on Color Parameters of Yam Slices

The color parameters of yam slices after infrared combined hot air drying at different drying temperatures are shown in Figure 6. When the drying temperature increased, the color of yam slices showed a decreasing change trend, and there was a significant difference between temperature and brightness L* (p < 0.05). The brightness of yam slices was highest at a drying temperature of 50 °C, which was closest to that of fresh yam slices, probably due to the lower drying temperature, which reduced the possibility of destructive occurrence of nutrients at high temperatures. The brightness decreased with increasing temperature, which may be due to the effect of oxidative browning, which deteriorated the color. ΔE was greatest at 70 °C, which was 2.1 times higher than that at 50 °C. When the temperature rises, the movement among the molecules accelerates, resulting in a higher breakdown of pigments, enzymes, and other chemicals in the yam slices, intensifying the color of the slices. According to Zheng et al. [50], lower temperatures can decrease the color difference value of dried items.

3.1.6. Effect of Different Temperatures on Polysaccharide Content and Allantoin Content of Yam Slices

Polysaccharide is a heat-sensitive substance; as one of the main active ingredients of yam, it exerts hypoglycemic, antioxidant, antitumor, and immune enhancement effects [34]. The effect of IR-HAD on polysaccharides of yam at different temperatures is shown in Figure 7. As seen in the figure, the drying temperature significantly affects yam polysaccharides. The polysaccharide content of fresh yam was 36.72 mg/g. Compared with the fresh samples, the polysaccharide content decreased by 29.23%, 26.48%, 23.35%, 45.76%, and 49.7% after drying at 50 °C, 55 °C, 60 °C, 65 °C, and 70 °C with IR-HAD, respectively. The highest polysaccharide content was found at 60 °C, which may be due to the appropriate drying time; a long drying time did not lead to oxidative decomposition of polysaccharide substances, and high-temperature drying did not lead to degradation of polysaccharide substances. Zheng et al. [50], by studying the polysaccharide content of winter wheat, found that when the drying temperature was within the range of 50–70 °C, the polysaccharide content of winter wheat first increased and then decreased. The content was highest at 60 °C, confirming polysaccharides’ properties.
Allantoin has anti-inflammatory, antioxidant, keratolytic, and skin-softening effects [51]. The allantoin content of yam slices treated at different temperatures ranged from 1.93 to 2.66 g/g. The loss of allantoin content in yam slices relative to fresh samples after drying at 60 °C was 10.24%; it was 22.41% after drying at 65 °C and 34.17% after drying at 70 °C, which may be due to the rapid degradation of allantoin substances at high temperatures [52], and the loss of allantoin content in yam slices after drying at 50 °C may also be attributed to the rapid degradation of allantoin substances due to prolonged contact with oxygen [53]. Prolonged contact with oxygen may have also contributed to the depletion of allantoin components.

3.2. Effects of Different Slice Thicknesses on Drying Characteristics and Quality of Yam Slices

3.2.1. Effect of Different Slice Thicknesses on Drying Characteristics

Figure 8 shows the drying characteristics and drying rate curves of yam slices with different slice thicknesses when the drying temperature and radiation distance were 60 °C and 120 mm. The time required to dehydrate yam slices increased with increasing slice thickness, as shown in Figure 8a. The drying time of yam slices was 135, 165, 195, 285, and 360 min at the thickness of 2, 4, 6, 8, and 10 mm, respectively; the drying time increased by about 62.5% when the thickness of the slices was increased from 2 mm to 10 mm. Figure 8b shows that the drying rate of the yam slices increased briefly and then decreased slowly with the decrease in the moisture content of the dry base, which was basically in the stage of descending drying rate. This is because, in the initial drying stage, the moisture on the surface of the yam slices rapidly evaporates to the surrounding hot air under a large temperature and humidity gradient. The drying rate increases rapidly, accompanied by a decrease in the temperature gradient between the yam slices and the surrounding environment, and the drying rate gradually decreases [53]. In addition, the thicker the yam slices, the longer it takes for the internal moisture to migrate to the surface; thus, the drying rate decreases with increasing thickness of the slices. This trend is similar to the results of Zhang et al. [54], who reported far infrared drying of ginger slices in their study.

3.2.2. Effect of Different Slice Thicknesses on the Effective Water Diffusion Coefficient of Yam Slices

Table 3 shows the effective moisture diffusion coefficients of yam slices under different slice thicknesses when the drying temperature and radiation distance were 60 °C and 120 mm. When the thickness of the slices was 2, 4, 6, 8, and 10 mm, the effective moisture diffusion coefficients were 1.79 × 10−8, 1.43 × 10−8, 1.18 × 10−8, 7.88 × 10−9, and 5.92 × 10−9, respectively, and the effective moisture diffusion coefficients decreased with the increase in the slice thickness. This was because the increase in slice thickness prolonged the transport path of water molecules, weakened the diffusion and migration of water molecules, and decreased the effective water diffusion coefficient [53]. Therefore, reducing the slice thickness is favorable for shortening the drying time and energy consumption.

3.2.3. Effect of Different Slice Thicknesses on Unit Energy Consumption of Yam Slices

Figure 9 demonstrates the comparison of unit energy consumption according to yam slice thickness. It can be seen in the figure that the thicker the slice thickness, the greater the unit dewatering energy consumption, and the unit dewatering energy consumption of yam slices under the condition of 10 mm increases by 70.56%, 58.48%, 45.43%, and 27.67% compared to that under the conditions of 2, 4, 6, and 8 mm, respectively. Therefore, reducing the thickness of the slices is beneficial for shortening the drying time and reducing energy consumption.

3.2.4. Effect of Different Slice Thicknesses on Rehydration Ratio of Yam Slices

Figure 9 shows the effect of different slice thicknesses on the rehydration ratio of yam slices. The figure shows that the rehydration ratio decreases with the increase in slice thickness. The lowest rehydration ratio was found at a slice thickness of 10 mm, possibly because thicker yam slices mean that the heat needs to pass through more material to reach the center portion. This caused the center to be heated slowly and dried unevenly, resulting in over-drying of the outer layer, while the center still contained water. Over-drying of the outer layer may lead to cell wall disruption and structural hardening, which reduces the ability of water to enter the yam slices after drying [55]. Figure 10 shows the effect on the microstructure of yam slices at different slice thicknesses. It can be seen in the figure that the microstructure’s pore-like structure gradually increased with the thickness of the slices, and the pore-like structure was most clearly visible at 2 mm. The reasons may be that thin slices are more quickly and evenly heated; the heat can be rapidly transferred to each part of the yam slices; the moisture needs to pass through a shorter distance; the migration rate is faster; and it is easy to form a large number of delicate pores [55]. On the contrary, the temperature difference between the interior and exterior of thicker slices may be more significant, resulting in insufficient internal heat transfer and a lower rate of moisture migration, and the process of moisture evaporation may lead to contraction of the internal structure, and thus, a reduction in the number and size of holes.

3.2.5. Effect of Different Slice Thicknesses on Color Parameters of Yam Slices

The color parameters of yam slices after infrared combined hot air drying at different slice thicknesses are shown in Figure 11. There was a significant difference (p < 0.05) in the effect of the thickness of yam slices on brightness L* and ΔE. L decreased with the increase in slice thickness, and E increased with the increase in slice thickness. The maximum value was 2 mm, and a minimum color difference was found. This is because the pigments in the yam slices may undergo degradation or oxidation reactions during drying, and these reactions may intensify with the time and temperature of heat treatment. Since the internal temperature of thicker slices rises more slowly, they may be subjected to heat for a more extended period overall during the drying process, which may lead to color changes and color differences [56].

3.2.6. Effect of Different Slice Thicknesses on Polysaccharide Content and Allantoin Content of Yam Slices

Figure 12 shows the effect of different slice thicknesses on the polysaccharide content of yam. As can be seen in the figure, the thickness of yam slices had a significant effect on polysaccharide content. The polysaccharide content increased and then decreased with the increase in slice thickness, and the highest polysaccharide content was found at 6 mm. It is possible that when the slices are thin (e.g., 2 mm), the drying rate of yam slices is faster, and the water evaporates rapidly, resulting in excessive heat exposure and degradation loss of the heat-sensitive polysaccharide components [57]. As the thickness of the slices increases (to the middle range, e.g., 6 mm), the heat transfer may be more uniform, and the rate of water evaporation inside the yam is balanced with heat absorption, which is favorable for the preservation of polysaccharides, while the mild drying conditions may reduce the degradation of heat-sensitive components [58]. When the thickness of yam slices is large (e.g., 10 mm), the outer layer’s rapid drying and the inner layer’s relative moistness can result in the migration of moisture from the inner layer of yam slices to the dry outer layer. During this process, soluble solids such as polysaccharides may also move with moisture to the outer layer and accumulate in this region. Since the temperature of the outer layer may be higher, or the drying more intense, these migrated polysaccharides are susceptible to thermal degradation or thermal damage, reducing the final measured polysaccharide content [59].
The effect of different slice thicknesses on the allantoin content of yam is shown in Figure 12. The allantoin content decreased with increasing slice thickness. The allantoin content decreased by 18.28%, 23.14%, 24.01%, 35.14%, and 50.29% after drying at 2, 4, 6, 8, and 10 mm thicknesses, respectively, compared to fresh samples. The most minor decrease in allantoin content was observed at 2 mm. This is because yam slices with a lower thickness were heated uniformly, and the drying time was shorter. Thicker yam slices require a longer time to achieve the same degree of drying, and more prolonged exposure to high temperatures during drying may lead to degradation of heat-sensitive components, such as allantoin [51].

3.3. Effects of Different Radiation Distances on Drying Characteristics and Quality of Yam Slices

3.3.1. Effect of Different Radiation Distances on Drying Characteristics

The drying characteristics and drying rate curves of yam slices under different radiation distances are shown in Figure 13; the drying time of yam slices increased with the increase in radiation distance. When the radiation distance was 80 mm, the time for drying to reach equilibrium was the shortest, 40.12% shorter than the drying time when the radiation distance was 160 mm. The drying rate of the yam slices decreased with the increase in radiation distance, and with the increasing radiation distance, the drying energy of infrared obtained per unit mass of yam slices decreased, and thus, the drying rate decreased, resulting in prolongation of the drying time.

3.3.2. Effect of Different Radiation Distances on Effective Water Diffusion Coefficient of Yam Slices

Table 4 shows the effective moisture diffusion coefficients of yam slices under different radiation distances when the drying temperature and slice thickness were 60 °C and 6 mm, respectively. When the radiation distance was 80, 120, and 160 mm, the effective moisture diffusion coefficients were 1.56 × 10−8, 1.18 × 10−8, and 1.07 × 10−8, respectively, and the effective moisture diffusion coefficients decreased with the increase in radiation distance. This is because the increase in radiation distance caused a higher loss of IR amount in the environment.

3.3.3. Effect of Different Radiation Distances on Energy Consumption per Unit of Yam Slices

Figure 14 compares the energy consumption per unit of yam slices at different radiation distances. As can be seen in the Figure 14, the smaller the radiation distance, the greater the unit dewatering energy consumption. Under the same conditions, a smaller radiation distance can shorten the drying time to reduce energy loss.

3.3.4. Effect of Different Radiation Distances on Rehydration Ratio of Yam Slices

Figure 14 shows the rehydration ratio of yam slices at different radiation distances. With the increase in radiation distance, the rehydration ratio tended to increase and decrease, and the highest rehydration ratio was found at the radiation distance of 120 mm. This may be because when the radiation distance was closer (e.g., 80 mm), the energy transfer to the yam slices was more efficient, resulting in rapid drying of the exterior of the yam slices and the formation of a more rigid outer skin layer, which may have limited the rapid evaporation of water from the interior [48]. When the radiation distance was about 120 mm, it may have provided just the right kind of temperature and drying rate, which enabled the removal of water from the inside and outside of the yam slices in a relatively uniform manner, with a moderate texture after drying, which was not overly complex or solid and did not affect the rehydration ratio due to insufficient drying. As the radiation distance increases, the energy radiated to the material will be dispersed due to the increase in propagation distance. The energy density will be reduced, weakening the heating effect, which may lead to the water in the center part of the yam slices not being able to evaporate sufficiently, thus affecting the increase in the rehydration ratio [60]. Figure 15 shows the microstructure of yam slices at different radiation distances. When the radiation distance is 80 mm, the infrared radiation heat is more significant, and the heat absorbed on the surface of the yam slices rapidly raises its surface temperature, which leads to the rapid evaporation of the surface water. However, due to the rapid evaporation of the surface water, a hardened layer will be formed, which prevents the evaporation of the internal water, resulting in an imperfect internal pore structure [48]. When the radiation distance is 120 mm, the intensity of infrared radiation may be just right to dry the yam slices uniformly without causing a hardened layer on the surface. Such distance and heat can promote uniform water evaporation from the inside, while the yam slices have time to form a good pore structure and achieve superior drying conditions. When the radiation distance is further increased to 160 mm, the intensity of infrared radiation is weakened, resulting in reduced heat transfer, insufficient heating of the surface and interior of the yam slices, and a slowdown in water evaporation; moreover the formation of a pore structure in the drying process may be hampered due to reduction in the water migration rate [49].

3.3.5. Effects of Different Radiation Distances on Color Parameters of Yam Slices

The color parameters of yam slices after infrared combined hot air drying at different radiation distances are shown in Figure 16. Different radiation distances significantly affected L* and color differences (p < 0.05). L decreased with the increase in radiation distance, and ΔE increased with the increase in radiation distance. The maximum value of L and minimum color difference were observed at 80 mm. As the distance between the IR source and the yam slices increases, the distribution of heat energy may become less uniform, resulting in inconsistent drying speed and degree of drying in various parts of the yam slices, and hence, the color difference. At closer distances (e.g., 80 mm), the heat distribution is more concentrated, which may contribute to faster and more uniform drying and less color shading. Secondly, a longer distance may mean less efficient heat transfer and slower response time, leading to lower drying results and more color unevenness [12].

3.3.6. Effect of Different Radiation Distances on Polysaccharide Content and Allantoin Content of Yam Slices

Figure 17 shows the effect of different radiation distances on yam polysaccharide content and allantoin content. As can be seen in the figure, the radiation distance of yam slices had a significant effect on polysaccharide content and allantoin content. Both polysaccharide content and allantoin content increased and then decreased with increased radiation distance. A higher intensity of infrared radiation at a closer distance may lead to a sharp increase in the temperature on the surface of the yam when surface evaporation is intense. However, the internal water migration is slow, which can easily cause thermal degradation and loss of nutrients in yam slices. At an appropriate radiation distance (e.g., 120 mm), the drying rate and water migration may reach equilibrium, and the water evaporates uniformly, allowing better preservation of polysaccharides and allantoin [61]. Longer radiation distances result in longer drying times, meaning that the yam slices are exposed to oxygen and possible oxidative reactions for a more extended period, especially in the later drying stages when most of the moisture has been removed. The oxidative reactions may become more active, oxidizing polysaccharides and allantoin [62].

3.4. Response Surface Regression Model and ANOVA

There were 17 groups of test points in the response surface test, and the center test was repeated four times to estimate the test error. The specific yam slice IR-HAD combination drying response surface test results are shown in Table 5. Among them, the variation ranges of Y1, Y2, Y3, Y4, Y5, and Y6 were 150~255 min, 3.15~8.89, 6.74~12.24 kJ·h/kg, 16~26.23 mg/g, 2.14~2.96 kg/kg, and 2.46~3.71 μg/g, respectively.
The data in Table 5 were regressed using Design-Expert software, and the regression coefficients were tested for significance, as shown in Table 6. The Y1 regression model had a highly significant (p < 0.0001) effect on the primary term B, a significant (p < 0.05) effect on A, C, AC., and B.C., and a non-significant (p > 0.05) effect on AB., A2, B2, and C2. The Y2 regression models of A, B, and B2 were highly significant (p < 0.0001), and B and C2 were significant (p < 0.05). At the same time, AB., AC., BC, and A2 were insignificant (p > 0.05). The Y3 regression model of A, B, C, and A2 was significant (p < 0.05). At the same time, AB., A.C., BC, B2, and C2 were insignificant (p > 0.05). The Y4 regression model of A, B, C, A2, and B2 effects was significant (p < 0.05). In contrast, AB., AC., BC, and C2 effects were not significant (p > 0.05). The Y5 regression models of B, A2, and C2 effects were highly significant (p < 0.0001); A and C effects were significant (p< 0.05). In contrast, AB., AC., BC, and B2 effects were not significant (p > 0.05). The Y6 regression models of C, A2, and B2 were highly significant (p < 0.0001); A and B were significant (p < 0.05), while AB., AC., BC, and C2 were not significant (p > 0.05). The R2 and C.V. (%) for Y1, Y2, Y3, Y4, Y5, and Y6 were 0.9497, 0.9892, 0.9533, 0.926, 0.9767, and 0.9881 and 5.5%, 3.56%, 4.83%, 5.71%, 1.87%, and 2.01%, respectively, indicating that the model fit was high, the experimental reproducibility was good, and the results exhibited high accuracy. They can be used to analyze and predict the combined drying process of yam slices.
The simplified regression equations are shown in Equations (24)–(29), which retain the above model’s highly significant and significant terms and remove insignificant ones.
Y 1 = 752.97794 13.875 A + 41.25 B 4.17188 C + 0.09375 A C 0.1875 B C
Y 2 = 12.00209 + 0.19375 A 4.37902 B 0.073732 C + 0.387001 B 2 + 0.000194 C 2
Y 3 = 212.90483 7.1569 A + 0.368625 B + 0.027806 C + 0.061087 A 2
Y 4 = 447.54243 + 15.50538 A + 6.04477 B + 0.029875 C 0.132805 A 2 0.556283 B 2
Y 5 = 51.33316 + 1.77368 A 0.095 B + 0.035428 C 0.014947 A 2 0.000143 C 2
Y 6 = 62.2702 + 2.08336 A + 1.26194 B 0.005375 C 0.017584 A 2 0.111151 B 2
As can be seen in the variance results, the regression equations of the six indicators are significant (p < 0.05), and the lack of fit is not significant (p > 0.05), indicating that the experimental values and the regression model exhibit a good fit.

3.5. BP-GWO Modeling

For modeling a three-layer BP neural network, Lansing was chosen as the transfer function for the input layer, while Purelin was used as the transfer function for the output layer. In addition, training was used as the training function. After determining the number of nodes in the input and output layers, the number of nodes in the hidden layer significantly impacts the network’s performance. In order to achieve the best performance, the number of nodes from 3 to 13 in the hidden layer is selected. The corresponding R2 and RMSE are obtained, as shown in Figure 18. It can be seen in the Figure 18 that the number of neurons corresponding to the highest R2 and lowest RMSE for the six metrics (Y1, Y2, Y3, Y4, Y5, and Y6) is found in group 8. The R2 and RMSE are 0.93051, 0.94232, 0.905, 0.94007, 0.95049, and 0.900015 and 11.5877, 0.45657, 0.56722, 0.67519, 0.066475, and 0.11764, respectively. The optimal network topology for this experiment is thus obtained as 4-8-1 and optimized by the gray wolf algorithm.
Single-objective optimization of the regression equation was carried out through Design Expert, and the results are shown in Table 7. In order to avoid subjective preferences affecting the judgment results, the weights of the six indicators were assigned by the coefficient of variation method, as shown in Table 8. The optimized values and weights in Table 8 and Table 9 were substituted into Equation (12) to obtain the optimized fitness function, respectively.
min f = 0.18 1 136.37 Y 1 2 + 0.25 1 3.3 Y 2 2 + 0.16 1 6.75 Y 3 2 + 0.15 1 Y 4 26.23 2 + 0.12 1 Y 5 2.97 2 + 0.13 1 Y 6 3.81 2
A comparison of the BP neural network results optimized by the gray wolf algorithm with the response surface results is shown in Table 9. In the response surface model (RSM), the values of R2 range from 0.9502 to 0.9794, all of which are greater than 0.9501, while in the BP-GWO model, all values are greater than 0.9915. In addition, relative to the RSM, the RMSEs of the BP-GWO model are reduced by 61.34%, 47.04%, 80.03%, and 78.04% compared to 39.99% and 47.65% for the RSM, respectively. The better the fit of the model, the smaller the RMSE, the larger the R2 and the corresponding reduction in the fitting error. The comparison of the data shows that the RMSE of the BP-GWO model is significantly lower than the corresponding value of RSM, and the R2 of the BP-GWO model is higher than that of the RSM. Therefore, the BP-GWO neural network optimization model has a better fitting effect, making the prediction results more accurate. The six indicators (Y1, Y2, Y3, Y4, Y5, and Y6) predicted with the RSM and BP-GWO models under 17 sets of test conditions are shown in Figure 19. The results show that the predicted values of the BP-GWO model are closer to the actual values than those of the RSM model, and the fit between the predicted and actual values is higher. Although the RSM model is widely used in process parameter optimization, it can only construct a second-order polynomial regression model; therefore, its application is limited. The BP-GWO model, on the other hand, can predict almost all forms of non-linearities and is therefore more appropriate, reliable, and accurate in prediction, among others [43].

3.6. Multi-Objective Optimization

Figure 20 shows the Pareto optimal set of 100 optimal solutions for the multi-objective gray wolf algorithm, and Figure 20A,B denote the lookahead small metrics (Y1, Y2, and Y3) and lookahead extensive metrics (Y4, Y5, and Y6), respectively. As can be seen in Figure 20A, the points in the Pareto optimal set gradually increase from the upper right corner to the lower left corner. The points inside the ellipse indicate that the points in the lower left corner are more optimal. In this optimal set, we can find the optimal values of 131.38 min, 7.18, and 8.45 kJ·h·kg−1 for Y1, Y2, and Y3, respectively. As seen in Figure 20B, the points in the Pareto optimal set gradually increase from the lower upper left corner to the upper right corner. The optimal solutions for the optimal Y4, Y5, and Y6 are found within the ellipse, with values of 21.08 mg/g, 2.95, and 3.78 μg/g, respectively. Given that each point represents the optimal case, in order to reduce the error of the optimal set, ten sets of optimal solution sets were selected from the ellipse in Figure 9 and averaged to obtain the optimal solutions for the six indices (Y1, Y2, Y3, Y4, Y5, and Y6) at the drying temperature, the thickness of the slices, and the radiation distance of 63.57 °C, 4.27 mm, and 91.39 mm, respectively. The optimum values were 133.71 min, 7.26, 8.54 kJ·h·kg−1, 20.73 mg/g, 2.84, and 3.69 μg/g, respectively, as shown in Table 10.
In order to determine the reliability of the results, they were validated against the actual conditions of the dryer, as shown in Table 11. Under the actual operation of drying temperature A = 64 °C, slice thickness B = 4 mm, and radiation distance C = 91 mm, the relative errors of the experimental and predicted values of Y1, Y2, Y3, Y4, Y5, and Y6 were 4.46%, 3.71%, 0.81%, 3.96%, 2.9%, and 1.65%, respectively, with the errors being less than 5%. The experimental values were close to the model’s predicted values, which indicated that the experimental process parameters optimized by the obtained model are reliable. Figure 21 and Figure 22 represent the microstructure and drying process of yam slices under the above conditions, where it can be seen that the optimized microstructure of yam slices had complete starch granules and a loose structure and appeared to have a porous channel structure. After the drying optimization process, the surface of the yam slices became uniform, with a slight golden yellow color, and it had a certain degree of contraction. In conclusion, optimization of the BP neural network using the gray wolf algorithm can effectively predict the process parameters of IR-HAD of yam slices, which shows the method’s feasibility.

4. Conclusions

In this paper, the effects of drying temperature (55–65 °C), slice thickness (4–8 mm), and radiation distance (80–120) on drying time (Y1), ΔE (Y2), energy consumption per unit (Y3), polysaccharide content (Y4), rehydration ratio (Y5), and allantoin content (Y6) of IR-HAD of yam slices were investigated using RSM and BP-GWO models. The results showed that drying temperature, slice thickness, and radiation distance had significant effects on Y1, Y2, Y3, Y4, Y5, and Y6 (p < 0.05). The R2 values of the models were all greater than 0.92, with a good fit and C.V. (%) ranging from 1.87% to 5.71%, with high accuracy. The R2 of the RSM model ranged from 0.9502 to 0.9794, while the R2 values of the BP-GWO model were all greater than 0.9915, with higher predictive accuracy and a reduction in RMSE from 61.34% to 80.03%. The optimal drying conditions obtained via multi-objective optimization of BP-GWO were A = 63.57 °C, B = 4.27 mm, C = 91.39 mm, and the optimal indices were Y1 = 133.71 min, Y2 = 7.26, Y3 = 8.54 kJ·h·kg−1, Y4 = 20.73 mg/g, Y5 = 2.84, Y6 = 3.69 μg/g. The relative errors between the actual and predicted values were verified by the test to be less than 5%, indicating that the process parameters optimized by the model were reliable. In summary, it is considered that the theories and techniques applied in this experiment are innovative and valuable for the optimization of the IR-HAD process of yam tablets.

Author Contributions

Conceptualization, J.Z. and X.Z.; Methodology, J.Z.; Software, J.Z.; Experiments, J.Z.; Formal Analysis, J.Z. and X.Z.; Investigation, J.Z. and X.Z.; Validation, J.Z., X.Z., H.X., C.S., Y.L. and T.Y.; Writing—Original Draft Preparation, J.Z.; Writing—Review and Editing, J.Z., X.Z., C.S. and H.X.; Supervision, X.Z.; Project Administration, X.Z. All authors have read and agreed to the published version of the manuscript.

Funding

This research was funded by the project from Xinjiang Corps Industrial and High-tech Science and Technology Research and Achievement Transformation Program (No. 2016AB003); Shihezi University Achievement Transformation and Technology Promotion Project (No. CGZH201808).

Institutional Review Board Statement

Not applicable.

Informed Consent Statement

Not applicable.

Data Availability Statement

The original contributions presented in the study are included in the article, further inquiries can be directed to the corresponding author.

Conflicts of Interest

The authors declare no conflicts of interest.

References

  1. Nie, H.N.; Dong, H.; Chen, Y.L.; Hao, M.-M.; Chen, J.N.; Tang, Z.C.; Liu, Q.Z.; Li, J.L.; Xu, X.B.; Xue, Y.L. Effects of spray drying and freeze drying on the structure and emulsifying properties of yam soluble protein: A study by experiment and molecular dynamics simulation. Food Chem. 2023, 409, 135238. [Google Scholar] [CrossRef]
  2. Xiao, Y.; Wang, S.; Ali, A.; Shan, N.; Luo, S.; Sun, J.; Zhang, H.; Xie, G.; Shen, S.; Huang, Y.; et al. Cultivation pattern affects starch structure and physicochemical properties of yam (Dioscorea persimilis). Int. J. Biol. Macromol. 2023, 242, 125004. [Google Scholar] [CrossRef]
  3. Kamal, M.M.; Ali, M.R.; Shishir, M.R.I.; Mondal, S.C. Thin-layer drying kinetics of yam slices, physicochemical, and functional attributes of yam flour. J. Food Process Eng. 2020, 43, e13448. [Google Scholar] [CrossRef]
  4. Li, Y.; Ji, S.; Xu, T.; Zhong, Y.; Xu, M.; Liu, Y.; Li, M.; Fan, B.; Wang, F.; Xiao, J.; et al. Chinese yam (Dioscorea): Nutritional value, beneficial effects, and food and pharmaceutical applications. Trends Food Sci. Technol. 2023, 134, 29–40. [Google Scholar] [CrossRef]
  5. Guo, S.; Zhao, X.; Ma, Y.; Wang, Y.; Wang, D. Fingerprints and changes analysis of volatile compounds in fresh-cut yam during yellowing process by using HS-GC-IMS. Food Chem. 2021, 369, 130939. [Google Scholar] [CrossRef]
  6. Meng, Z.; Cui, X.; Zhang, H.; Liu, Y.; Wang, Z.; Zhang, F. Study on drying characteristics of yam slices under heat pump-electrohydrodynamics combined drying. Case Stud. Therm. Eng. 2023, 41, 102601. [Google Scholar] [CrossRef]
  7. Gu, C.; Ma, H.; Guo, L.; Zhang, X.; Liu, D.; Ouyang, N.; Tuly, J.A. Effects of catalytic infrared drying in combination with hot air drying and freeze drying on the drying characteristics and product quality of chives. LWT Food Sci. Technol. 2022, 161, 113363. [Google Scholar] [CrossRef]
  8. Onwude, D.I.; Hashim, N.; Abdan, K.; Janius, R.; Chen, G. The effectiveness of combined infrared and hot-air drying strategies for sweet potato. J. Food Eng. 2018, 241, 75–87. [Google Scholar] [CrossRef]
  9. EL-Mesery, H.S.; Sarpong, F.; Xu, W.; Elabd, M.A. Design of low-energy consumption hybrid dryer: A case study of garlic (Allium sativum) drying process. Case Stud. Therm. Eng. 2022, 33, 101929. [Google Scholar] [CrossRef]
  10. Feng, Y.; Xu, B.; Yagoub, A.E.A.; Ma, H.; Sun, Y.; Xu, X.; Yu, X.; Zhou, C. Role of drying techniques on physical, rehydration, flavor, bioactive compounds and antioxidant characteristics of garlic. Food Chem. 2021, 343, 128404. [Google Scholar] [CrossRef] [PubMed]
  11. Xu, W.; Pei, Y.; Zhu, G.; Han, C.; Wu, M.; Wang, T.; Cao, X.; Jiang, Y.; Li, G.; Sun, J.; et al. Effect of far infrared and far infrared combined with hot air drying on the drying kinetics, bioactives, aromas, physicochemical qualities of Anoectochilus roxburghii (Wall.) Lindl. LWT Food Sci. Technol. 2022, 162, 113452. [Google Scholar] [CrossRef]
  12. Zhang, Y.; Zhu, G.; Li, X.; Zhao, Y.; Lei, D.; Ding, G.; Ambrose, K.; Liu, Y. Combined medium- and short-wave infrared and hot air impingement drying of sponge gourd (Luffa cylindrical) slices. J. Food Eng. 2020, 284, 110043. [Google Scholar] [CrossRef]
  13. Zahoor, I.; Dar, A.H.; Dash, K.K.; Pandiselvam, R.; Rusu, A.V.; Trif, M.; Singh, P.; Jeevarathinam, G. Microwave assisted fluidized bed drying of bitter gourd: Modelling and optimization of process conditions based on bioactive components. Food Chem. X 2023, 17, 100565. [Google Scholar] [CrossRef]
  14. Tüfekçi, S.; Ozkal, S.G. The Optimization of Hybrid (Microwave-Conventional) Drying of Sweet Potato Using Response Surface Methodology (RSM). Foods 2023, 12, 3. [Google Scholar] [CrossRef] [PubMed]
  15. Mao, S.; Zhou, J.; Hao, M.; Ding, A.; Li, X.; Wu, W.; Qiao, Y.; Wang, L.; Xiong, G.; Shi, L. BP neural network to predict shelf life of channel catfish fillets based on near infrared transmittance (NIT) spectroscopy. Food Packag. Shelf Life 2023, 35, 101025. [Google Scholar] [CrossRef]
  16. Liao, M.; Liang, S.; Luo, R.; Chen, Y. The moving load identification method on asphalt roads based on the BP neural network and FBG sensor monitoring. Constr. Build. Mater. 2023, 378, 131216. [Google Scholar] [CrossRef]
  17. Sun, T.; Ling, F. Prediction method of wheat moisture content in the hot air drying process based on backpropagation neural network optimized by genetic algorithms. J. Food Process. Preserv. 2022, 46, e16565. [Google Scholar] [CrossRef]
  18. Sun, Q.; Zhang, M.; Mujumdar, A.S.; Yang, P. Combined LF-NMR and Artificial Intelligence for Continuous Real-Time Monitoring of Carrot in Microwave Vacuum Drying. Food Bioprocess Technol. 2019, 12, 551–562. [Google Scholar] [CrossRef]
  19. Qiu, J.; Shi, M.; Li, S.; Ying, Q.; Zhang, X.; Mao, X.; Shi, S.; Wu, S. Artificial neural network model- and response surface methodology-based optimization of Atractylodis Macrocephalae Rhizoma polysaccharide extraction, kinetic modelling and structural characterization. Ultrason. Sonochem. 2023, 95, 106408. [Google Scholar] [CrossRef]
  20. Sun, Y.; Zhang, M.; Bhandari, B.; Yang, P. Intelligent detection of flavor changes in ginger during microwave vacuum drying based on LF-NMR. Food Res. Int. 2019, 119, 417–425. [Google Scholar] [CrossRef]
  21. Sun, Z.; Deng, L.; Dai, T.; Chen, M.; Liang, R.; Liu, W.; Liu, C.; Chen, J. Steam blanching strengthened far-infrared drying of broccoli: Effects on drying kinetics, microstructure, moisture migration, and quality attributes. Sci. Hortic. 2023, 317, 112040. [Google Scholar] [CrossRef]
  22. Mei, J.; Wu, L.; Chen, E.; Xiao, W.; Zhong, L.; Guo, J.; Li, W. A novel structural damage detection method using a hybrid IDE-BP model. Knowl. Based Syst. 2023, 273, 110606. [Google Scholar] [CrossRef]
  23. Wu, W.; Yao, B.; Huang, J.; Sun, S.; Zhang, F.; He, Z.; Tang, T.; Gao, R. Optimal temperature and humidity control for autonomous control system based on PSO-BP neural networks. IET Control Theory Appl. 2023, 17, 2097–2109. [Google Scholar] [CrossRef]
  24. Hao, P.; Sobhani, B. Application of the improved chaotic grey wolf optimization algorithm as a novel and efficient method for parameter estimation of solid oxide fuel cells model. Int. J. Hydrogen Energy 2021, 46, 36454–36465. [Google Scholar] [CrossRef]
  25. Mahmoodabadi, M.J. An optimal robust fuzzy adaptive integral sliding mode controller based upon a multi-objective grey wolf optimization algorithm for a nonlinear uncertain chaotic system. Chaos Solitons Fractals 2023, 167, 113092. [Google Scholar] [CrossRef]
  26. Zhang, X.; Zhang, Q.; Li, Y.; Zhang, H. Modeling and optimization of photo-fermentation biohydrogen production from co-substrates basing on response surface methodology and artificial neural network integrated genetic algorithm. Bioresour. Technol. 2023, 374, 128789. [Google Scholar] [CrossRef] [PubMed]
  27. Bao, X.; Min, R.; Zhou, K.; Traffano-Schiffo, M.V.; Dong, Q.; Luo, W. Effects of vacuum drying assisted with condensation on drying characteristics and quality of apple slices. J. Food Eng. 2023, 340, 111286. [Google Scholar] [CrossRef]
  28. Wang, S.; Bi, Y.; Zhou, Z.; Peng, W.; Tian, W.; Wang, H.; Fang, X. Effects of pulsed vacuum drying temperature on drying kinetics, physicochemical properties and microstructure of bee pollen. LWT Food Sci. Technol. 2022, 169, 113966. [Google Scholar] [CrossRef]
  29. Chuwattanakul, V.; Eiamsa-ard, S. Hydrodynamics investigation of pepper drying in a swirling fluidized bed dryer with multiple-group twisted tape swirl generators. Case Stud. Therm. Eng. 2019, 13, 100389. [Google Scholar] [CrossRef]
  30. Dehghannya, J.; Pourahmad, M.; Ghanbarzadeh, B.; Ghaffari, H. Heat and mass transfer enhancement during foam-mat drying process of lime juice: Impact of convective hot air temperature. Int. J. Therm. Sci. 2019, 135, 30–43. [Google Scholar] [CrossRef]
  31. Bai, R.X.; Sun, J.R.; Qiao, X.G.; Zheng, Z.J.; Li, M.; Zhang, B. Hot Air Convective Drying of Ginger Slices: Drying Behaviour, Quality Characteristics, Optimisation of Parameters, and Volatile Fingerprints Analysis. Foods 2023, 12, 1283. [Google Scholar] [CrossRef]
  32. Liu, Z.L.; Xie, L.; Zielinska, M.; Pan, Z.; Deng, L.Z.; Zhang, J.S.; Gao, L.; Wang, S.Y.; Zheng, Z.A.; Xiao, H.W. Improvement of drying efficiency and quality attributes of blueberries using innovative far-infrared radiation heating assisted pulsed vacuum drying (FIR-PVD). Innov. Food Sci. Emerg. Technol. 2022, 77, 102948. [Google Scholar] [CrossRef]
  33. Bai, J.W.; Wang, Y.C.; Cai, J.R.; Zhang, L.; Dai, Y.; Tian, X.Y.; Xiao, H.W. Three-Dimensional Appearance and Physicochemical Properties of Pleurotus eryngii under Different Drying Methods. Foods 2023, 12, 1999. [Google Scholar] [CrossRef]
  34. Zhou, S.Y.; Huang, G.L.; Chen, G.Y. Extraction, structural analysis, derivatization and antioxidant activity of polysaccharide from Chinese yam. Food Chem. 2021, 361, 130089. [Google Scholar] [CrossRef]
  35. Fu, Y.C.; Ferng LH, A.; Huang, P.Y. Quantitative analysis of allantoin and allantoic acid in yam tuber, mucilage, skin and bulbil of the Dioscorea species. Food Chem. 2006, 94, 541–549. [Google Scholar] [CrossRef]
  36. Han, Y.; Liu, J.; Li, J.; Jiang, Z.; Ma, B.; Chu, C.; Geng, Z. Novel risk assessment model of food quality and safety considering physical-chemical and pollutant indexes based on coefficient of variance integrating entropy weight. Sci. Total Environ. 2023, 877, 162730. [Google Scholar] [CrossRef]
  37. Alfiya, P.V.; Rajesh, G.K.; Murali, S.; Delfiya DS, A.; Samuel, M.P.; Prince, M.V.; Sudheer, K.P. Process optimization for drying of Shrimp under hot air-assisted microwave drying technology using response surface methodology. J. Food Process Eng. 2023, 46, e14338. [Google Scholar] [CrossRef]
  38. Chang, A.; Zheng, X.; Xiao, H.; Yao, X.; Liu, D.; Li, X.; Li, Y. Short- and Medium-Wave Infrared Drying of Cantaloupe Slices: Drying Kinetics and Process Parameter Optimization. Processes 2022, 10, 114. [Google Scholar] [CrossRef]
  39. Tian, J.; Liu, Y.; Zheng, W.; Yin, L. Smog prediction based on the deep belief—BP neural network model (DBN-BP). Urban Clim. 2022, 41, 101078. [Google Scholar] [CrossRef]
  40. Zheng, Y.Z.; Li, L.; Qian, L.; Cheng, B.S.; Hou, W.B.; Zhuang, Y. Sine-SSA-BP Ship Trajectory Prediction Based on Chaotic Mapping Improved Sparrow Search Algorithm. Sensors 2023, 23, 704. [Google Scholar] [CrossRef]
  41. Cai, Z.; Gu, J.; Luo, J.; Zhang, Q.; Chen, H.; Pan, Z.; Li, Y.; Li, C. Evolving an optimal kernel extreme learning machine by using an enhanced grey wolf optimization strategy. Expert Syst. Appl. 2019, 138, 112814. [Google Scholar] [CrossRef]
  42. Zamfirache, I.A.; Precup, R.E.; Roman, R.C.; Petriu, E.M. Policy Iteration Reinforcement Learning-based control using a Grey Wolf Optimizer algorithm. Inf. Sci. 2021, 585, 162–175. [Google Scholar] [CrossRef]
  43. Mirjalili, S.; Saremi, S.; Mirjalili, S.M.; Coelho, L.D.S. Multi-objective grey wolf optimizer: A novel algorithm for multi-criterion optimization. Expert Syst. Appl. 2015, 47, 106–119. [Google Scholar] [CrossRef]
  44. Xing, T.; Luo, X.; Li, M.; Wang, Y.; Deng, Z.; Yao, M.; Gao, M. Study on drying characteristics of Gentiana macrophylla under the interaction of temperature and relative humidity. Energy 2023, 273, 127261. [Google Scholar] [CrossRef]
  45. Sarjerao, L.S.K.; Kashyap, P.; Sharma, P. Effect of drying techniques on drying kinetics, antioxidant capacity, structural, and thermal characteristics of germinated mung beans. J. Food Process Eng. 2022, 45, e14155. [Google Scholar] [CrossRef]
  46. Zhang, J.K.; Zheng, X.; Xiao, H.W.; Li, Y.C.; Yang, T.Q. Effect of Combined Infrared Hot Air Drying on Yam Slices: Drying Kinetics, Energy Consumption, Microstructure, and Nutrient Composition. Foods 2023, 12, 3048. [Google Scholar] [CrossRef]
  47. Biswas, R.; Hossain, M.A.; Zzaman, W. Thin layer modeling of drying kinetics, rehydration kinetics and color changes of osmotic pre-treated pineapple (Ananas comosus) slices during drying: Development of a mechanistic model for mass transfer. Innov. Food Sci. Emerg. Technol. 2022, 80, 103094. [Google Scholar] [CrossRef]
  48. Pei, Y.; Li, Z.; Song, C.; Li, J.; Xu, W.; Zhu, G. Analysis and modelling of temperature and moisture gradient for ginger slices in hot air drying. J. Food Eng. 2022, 323, 111009. [Google Scholar] [CrossRef]
  49. Wang, H.; Liu, Z.L.; Vidyarthi, S.K.; Wang, Q.H.; Gao, L.; Li, B.R.; Xiao, H.W. Effects of different drying methods on drying kinetics, physicochemical properties, microstructure, and energy consumption of potato (Solanum tuberosum L.) cubes. Dry. Technol. 2020, 39, 418–431. [Google Scholar] [CrossRef]
  50. Zheng, Z.; Wang, S.; Zhang, C.; Wu, M.; Cui, D.; Fu, X.; Gao, L.; Li, A.; Wei, Q.; Liu, Z. Hot air impingement drying enhanced drying characteristics and quality attributes of (Ophiopogonis Radix). Foods 2023, 12, 1441. [Google Scholar] [CrossRef]
  51. Yang, Y.; Sun, Y.; Zhu, C.; Shen, X.; Sun, J.; Jing, T.; Jun, S.; Wang, C.; Yu, G.; Dong, X.; et al. Allantoin induces pruritus by activating MrgprD in chronic kidney disease. J. Cell. Physiol. 2023, 238, 813–828. [Google Scholar] [CrossRef]
  52. Liu, J.L.; Wu, Y.Y.; Chen, K.; Wu, B.; Ji, L.J. Determination and correlation of solubility and Thermodynamic properties of allantoin in four binary solvents from 288.15 K to 333.15 K. Chem. Eng. Commun. 2023, 211, 11–25. [Google Scholar] [CrossRef]
  53. Jiang, N.; Ma, J.; Ma, R.; Zhang, Y.; Chen, P.; Ren, M.; Wang, C. Effect of slice thickness and hot-air temperature on the kinetics of hot-air drying of Crabapple slices. Food Sci. Technol. 2023, 43, e100422. [Google Scholar] [CrossRef]
  54. Zhang, D.; Huang, D.; Zhang, Y.; Lu, Y.; Huang, S.; Gong, G.; Li, L. Ultrasonic assisted far infrared drying characteristics and energy consumption of ginger slices. Ultrason. Sonochem. 2023, 92, 106287. [Google Scholar] [CrossRef]
  55. Okunola, A.A.; Adekanye, T.A.; Okonkwo, C.E.; Kaveh, M.; Szymanek, M.; Idahosa, E.O.; Wojciechowska, K. Drying Characteristics, Kinetic Modeling, Energy and Exergy Analyses of Water Yam (Dioscorea alata) in a Hot Air Dryer. Energies 2023, 16, 1569. [Google Scholar] [CrossRef]
  56. Wang, C.T.; Tian, S.X.; An, X.Z. The effects of drying parameters on drying characteristics, colorimetric differences, antioxidant components of sliced chinese jujube. Heat Mass Transf. 2022, 58, 1561–1571. [Google Scholar] [CrossRef]
  57. Liu, Q.; Li, M.; Lu, H.; Zhou, Y.; Wang, X. Effect of steam pretreatment on drying kinetics and quality of Polygonati Rhizoma dried in hot-blast air. J. Food Process Eng. 2022, 45, e13925. [Google Scholar] [CrossRef]
  58. Cai, X.Y.; Deng, H.M.; Li, W.J.; Li, H.Y.; Li, M. Study on fresh processing key technology and quality influence of Cut Ophiopogonis Radix based on multi-index evaluation. Open Life Sci. 2023, 18, 20220638. [Google Scholar] [CrossRef]
  59. Bera, M.; Chakraborty, R.; Bhattacharya, P. Optimization of Intensification of Freeze-Drying Rate of Banana: Combined Applications of IR Radiation and Cryogenic Freezing. Sep. Sci. Technol. 2012, 48, 346–358. [Google Scholar] [CrossRef]
  60. Huang, X.; Li, Y.; Zhou, X.; Wang, J.; Zhang, Q.; Yang, X.; Zhu, L.; Geng, Z. Prediction of Apple Slices Drying Kinetic during Infrared-Assisted-Hot Air Drying by Deep Neural Networks. Foods 2022, 11, 3486. [Google Scholar] [CrossRef]
  61. Satorabi, M.; Salehi, F.; Rasouli, M. The Influence of Xanthan and Balangu Seed Gums Coats on the Kinetics of Infrared Drying of Apricot Slices: GA-ANN and ANFIS Modeling. Int. J. Fruit Sci. 2021, 21, 468–480. [Google Scholar] [CrossRef]
  62. Sadeghi, E.; Movagharnejad, K.; Asl, A.H. Parameters optimization and quality evaluation of mechanical properties of infrared radiation thin layer drying of pumpkin samples. J. Food Process Eng. 2020, 43, e13309. [Google Scholar] [CrossRef]
Figure 1. Flowchart of BP neural network and gray wolf algorithm.
Figure 1. Flowchart of BP neural network and gray wolf algorithm.
Foods 13 00434 g001
Figure 2. Schematic diagram of gray wolf location update.
Figure 2. Schematic diagram of gray wolf location update.
Foods 13 00434 g002
Figure 3. Water content (a) and drying rate (b) curves of yam slices at different drying temperatures. Note: Different letters in the graphs show significant differences according to the Duncan test (p < 0.05), as below.
Figure 3. Water content (a) and drying rate (b) curves of yam slices at different drying temperatures. Note: Different letters in the graphs show significant differences according to the Duncan test (p < 0.05), as below.
Foods 13 00434 g003
Figure 4. Effect of different drying temperatures on unit energy consumption and rehydration ratio of yam slices. Note: Different letters in the graphs show significant differences according to the Duncan test (p < 0.05), as below.
Figure 4. Effect of different drying temperatures on unit energy consumption and rehydration ratio of yam slices. Note: Different letters in the graphs show significant differences according to the Duncan test (p < 0.05), as below.
Foods 13 00434 g004
Figure 5. Effect of different drying temperatures on the microstructure of yam slices.
Figure 5. Effect of different drying temperatures on the microstructure of yam slices.
Foods 13 00434 g005
Figure 6. Effect of different drying temperatures on color parameters of yam slices. Note: Different letters in the graphs show significant differences according to the Duncan test (p < 0.05), as below.
Figure 6. Effect of different drying temperatures on color parameters of yam slices. Note: Different letters in the graphs show significant differences according to the Duncan test (p < 0.05), as below.
Foods 13 00434 g006
Figure 7. Effect of different drying temperatures on polysaccharide content and allantoin content of yam slices. Note: Different letters in the graphs show significant differences according to the Duncan test (p < 0.05), as below.
Figure 7. Effect of different drying temperatures on polysaccharide content and allantoin content of yam slices. Note: Different letters in the graphs show significant differences according to the Duncan test (p < 0.05), as below.
Foods 13 00434 g007
Figure 8. Curves of moisture content (a) and drying rate (b) of yam slices at different slice thicknesses. Note: Different letters in the graphs show significant differences according to the Duncan test (p < 0.05), as below.
Figure 8. Curves of moisture content (a) and drying rate (b) of yam slices at different slice thicknesses. Note: Different letters in the graphs show significant differences according to the Duncan test (p < 0.05), as below.
Foods 13 00434 g008
Figure 9. Effect of different slice thicknesses on unit energy consumption and rehydration ratio of yam slices. Note: Different letters in the graphs show significant differences according to the Duncan test (p < 0.05), as below.
Figure 9. Effect of different slice thicknesses on unit energy consumption and rehydration ratio of yam slices. Note: Different letters in the graphs show significant differences according to the Duncan test (p < 0.05), as below.
Foods 13 00434 g009
Figure 10. Effect of different slice thicknesses on the microstructure of yam slices.
Figure 10. Effect of different slice thicknesses on the microstructure of yam slices.
Foods 13 00434 g010
Figure 11. Effect of different slice thicknesses on color parameters of yam slices. Note: Different letters in the graphs show significant differences according to the Duncan test (p < 0.05), as below.
Figure 11. Effect of different slice thicknesses on color parameters of yam slices. Note: Different letters in the graphs show significant differences according to the Duncan test (p < 0.05), as below.
Foods 13 00434 g011
Figure 12. Effect of different slice thicknesses on polysaccharide content and allantoin content of yam slices. Note: Different letters in the graphs show significant differences according to the Duncan test (p < 0.05), as below.
Figure 12. Effect of different slice thicknesses on polysaccharide content and allantoin content of yam slices. Note: Different letters in the graphs show significant differences according to the Duncan test (p < 0.05), as below.
Foods 13 00434 g012
Figure 13. Curves of moisture content (a) and drying rate (b) of yam slices at different radiation distances. Note: Different letters in the graphs show significant differences according to the Duncan test (p < 0.05), as below.
Figure 13. Curves of moisture content (a) and drying rate (b) of yam slices at different radiation distances. Note: Different letters in the graphs show significant differences according to the Duncan test (p < 0.05), as below.
Foods 13 00434 g013
Figure 14. Effect of different radiation distances on unit energy consumption and rehydration ratio of yam slices. Note: Different letters in the graphs show significant differences according to the Duncan test (p < 0.05), as below.
Figure 14. Effect of different radiation distances on unit energy consumption and rehydration ratio of yam slices. Note: Different letters in the graphs show significant differences according to the Duncan test (p < 0.05), as below.
Foods 13 00434 g014
Figure 15. Effect of different radiation distances on the microstructure of yam slices.
Figure 15. Effect of different radiation distances on the microstructure of yam slices.
Foods 13 00434 g015
Figure 16. Effect of different radiation distances on color parameters of yam slices. Note: Different letters in the graphs show significant differences according to the Duncan test (p < 0.05), as below.
Figure 16. Effect of different radiation distances on color parameters of yam slices. Note: Different letters in the graphs show significant differences according to the Duncan test (p < 0.05), as below.
Foods 13 00434 g016
Figure 17. Effect of different radiation distances on polysaccharide content and allantoin content of yam slices. Note: Different letters in the graphs show significant differences according to the Duncan test (p < 0.05), as below.
Figure 17. Effect of different radiation distances on polysaccharide content and allantoin content of yam slices. Note: Different letters in the graphs show significant differences according to the Duncan test (p < 0.05), as below.
Foods 13 00434 g017
Figure 18. Simulation results of different hidden layers of BP neural network. Note: (a) shows the R2 corresponding to the implicit layers of Y1, Y2, Y3, Y4, Y5, Y6. (bd) show, respectively, the RMSE of Y1, Y2, Y3, Y4, Y5, Y6.
Figure 18. Simulation results of different hidden layers of BP neural network. Note: (a) shows the R2 corresponding to the implicit layers of Y1, Y2, Y3, Y4, Y5, Y6. (bd) show, respectively, the RMSE of Y1, Y2, Y3, Y4, Y5, Y6.
Foods 13 00434 g018
Figure 19. Linear fitting plots of predicted and actual values of response surface model and BP-GWO model. Drying time (y1); color difference value (y2); unit energy consumption (y3); polysaccharide content (y4); rehydration ratio (y5); and allantoin content (y6).
Figure 19. Linear fitting plots of predicted and actual values of response surface model and BP-GWO model. Drying time (y1); color difference value (y2); unit energy consumption (y3); polysaccharide content (y4); rehydration ratio (y5); and allantoin content (y6).
Foods 13 00434 g019
Figure 20. Pareto optimal set of optimal solutions. Note: (A) shows the relationship between drying time, unit energy consumption, color difference. (B) shows the relationship between rehydration ratio, polysaccharide content, allantoin content.
Figure 20. Pareto optimal set of optimal solutions. Note: (A) shows the relationship between drying time, unit energy consumption, color difference. (B) shows the relationship between rehydration ratio, polysaccharide content, allantoin content.
Foods 13 00434 g020
Figure 21. Microstructure of optimized yam slices.
Figure 21. Microstructure of optimized yam slices.
Foods 13 00434 g021
Figure 22. Drying process after optimization of yam slices.
Figure 22. Drying process after optimization of yam slices.
Foods 13 00434 g022
Table 1. Response surface factor level code table.
Table 1. Response surface factor level code table.
CodeDrying Conditions
Temperaturesa/°CSlice Thicknessb/mmRadiation Distancec/mm
−155480
0606120
1658160
Table 2. Linear regression equations and effective moisture diffusion coefficients of IR-HAD in yam slices at different temperatures.
Table 2. Linear regression equations and effective moisture diffusion coefficients of IR-HAD in yam slices at different temperatures.
Temperature/°CLinear EquationR2Deff (m2/s)
50LnMR = −0.2375t + 0.13380.990518.55 × 10−9
55LnMR = −0.2747t + 0.10720.996059.89 × 10−8
60LnMR = −0.3275t + 0.1750.988571.18 × 10−8
65LnMR = −0.3673t + 0.15850.991891.32 × 10−8
70LnMR = −0.4097t + 0.14670.994371.79 × 10−8
Table 3. Linear regression equations and effective water diffusion coefficients of IR-HAD for yam slices with different slice thicknesses.
Table 3. Linear regression equations and effective water diffusion coefficients of IR-HAD for yam slices with different slice thicknesses.
Slice Thickness/mmLinear EquationR2Deff (m2/s)
2LnMR = −0.4978t + 0.13380.992761.79 × 10−8
4LnMR = −0.3984t + 0.10720.988421.43 × 10−8
6LnMR = −0.3275t + 0.1750.988571.18 × 10−8
10LnMR = −0.1644t + 0.14670.980285.92 × 10−9
Table 4. Linear regression equation and effective water diffusion coefficient of IR-HAD for yam slices at different radiation distances.
Table 4. Linear regression equation and effective water diffusion coefficient of IR-HAD for yam slices at different radiation distances.
Radiation Distance/mmLinear EquationR2Deff (m2/s)
80LnMR = −0.43398t + 0.13380.976891.56 × 10−8
120LnMR = −0.3275t + 0.1750.988571.18 × 10−8
160LnMR = −0.29663t + 0.15850.988851.07 × 10−8
Table 5. Response surface analysis experimental design and results.
Table 5. Response surface analysis experimental design and results.
CodeA/°CB/mmC/mmY1 (min)Y2 (ΔE)Y3 (kJ·h/kg)Y4 (mg/g)Y5 (kg/kg)Y6 (μg/g)
15541201955.358.5822.432.743
26541201507.1211.6218.762.652.78
35581202556.2510.3519.362.472.7
46581202408.1611.7416.812.252.46
5556802255.788.6921.732.373.15
6656801657.589.6417.472.142.93
75561602253.1510.6825.412.473.6
86561602405.4212.2418.642.213.22
9604801507.366.7421.622.843.08
10608802558.898.8719.842.412.87
116041601955.798.9724.732.933.62
126081602406.5610.8521.442.513.31
136061201955.418.8124.472.913.64
146061201955.368.7425.352.873.63
156061202104.979.4622.532.963.52
66061202105.149.1725.472.923.63
176061201805.528.6326.232.843.71
Table 6. ANOVA of regression models and model terms.
Table 6. ANOVA of regression models and model terms.
SourcedfY1 (min)Y2 (ΔE)Y3 (kJ·h/kg)Y4 (mg/g)Y5Y6 (μg/g)
F-Valuep-ValueF-Valuep-ValueF-Valuep-ValueF-Valuep-ValueF-Valuep-ValueF-Valuep-Value
Model914.680.000971.17<0.000115.870.00079.740.003357.70<0.000164.72<0.0001
A110.590.014159.03<0.000127.850.001223.770.001833.430.000734.140.0006
B186.42<0.000147.600.000220.110.00288.130.0246120.69<0.000139.430.0004
C110.590.014199.95<0.000144.800.00037.300.03056.770.035388.21<0.0001
AB11.730.230.1040.75673.150.11930.200.66791.770.22560.00600.9406
AC110.800.01341.170.31530.4300.53281.010.34910.09400.76801.530.2565
BC16.910.03393.060.12380.0710.79740.360.56520.01040.92150.59640.4652
A212.010.19961.150.319245.770.000329.000.0010245.80<0.0001196.00<0.0001
B210.550.4823215.38<0.00010.1170.742412.880.00890.00270.9596200.46<0.0001
C212.010.19968.930.02030.6490.44711.380.279292.08<0.00011.670.2376
Lack of Fit30.590.65070.9120.51062.920.16340.480.71421.260.39920.77930.5639
C.V. (%)5.53.564.835.711.872.01
R20.94970.98920.95330.92600.98670.9881
Note: p < 0.05 indicates significance; p < 0.001 indicates high significance.
Table 7. Single-objective optimization results.
Table 7. Single-objective optimization results.
Evaluation IndicatorOptimization DirectionFactorOptimal Value
A/°CB/mmC/mm
Drying times (min)Minimum63.414.5881.04136.37
Color difference (ΔE)Minimum55.005.80160.003.30
Unit energy consumption (kJ·h·kg−1)Minimum58.164.0080.006.75
Polysaccharide content (mg/g)Maximum57.685.18159.6926.23
Rehydration ratioMaximum58.355.15117.962.97
Allantoin content (μg/g)Maximum59.425.98147.933.81
Table 8. Indicator weights.
Table 8. Indicator weights.
Evaluation IndicatorStandard DeviationAverage ValueCoefficient of VariationWeight
Drying times (min)32.64207.350.160.18
Color difference (ΔE)1.346.110.220.25
Unit energy consumption (kJ·h·kg−1)1.389.630.140.16
Polysaccharide content (mg/g)2.9521.90.130.15
Rehydration ratio0.272.620.10.12
Allantoin content (μg/g)0.383.230.120.13
Table 9. Comparison of response surface and BO-GWO model results.
Table 9. Comparison of response surface and BO-GWO model results.
MoldY1Y2Y3Y4Y5Y6
R2RMSER2RMSER2RMSER2RMSER2RMSER2RMSE
RSM0.96675.95100.97940.19260.95680.28690.95020.65800.97660.04170.97540.0596
BP-GWO0.99502.30050.99420.10200.99830.05730.99760.14450.99160.02500.99330.0312
Table 10. Pareto10 set of optimal solution sets.
Table 10. Pareto10 set of optimal solution sets.
Serial NumberDrying ConditionsEvaluation Indicators
A/°CB/mmC/mmY1Y2Y3Y4Y5Y6
164.514.2690.95133.687.188.5420.792.783.64
264.214.3492.49133.417.228.5721.082.833.71
362.084.2190.44133.907.268.4620.612.683.45
463.554.3291.87132.237.248.5420.722.963.77
564.064.3192.25133.807.278.5221.042.843.67
663.394.2090.36134.127.308.5120.812.823.77
762.944.3091.92134.997.308.5320.802.873.75
864.144.2891.33133.187.278.6420.732.893.75
962.584.2190.02133.807.278.5220.652.843.78
1064.214.2992.26133.997.298.5620.102.873.65
Average value63.574.2791.39133.717.268.5420.732.843.69
Table 11. Prediction and validation of response variables under optimal conditions.
Table 11. Prediction and validation of response variables under optimal conditions.
A/°CB/mmC/mmY1Y2Y3Y4Y5Y6
Predicted values63.574.2791.39133.717.268.5420.732.843.69
Experimental values644911287.548.6119.942.763.63
Error (%)-4.463.710.813.962.91.65
Disclaimer/Publisher’s Note: The statements, opinions and data contained in all publications are solely those of the individual author(s) and contributor(s) and not of MDPI and/or the editor(s). MDPI and/or the editor(s) disclaim responsibility for any injury to people or property resulting from any ideas, methods, instructions or products referred to in the content.

Share and Cite

MDPI and ACS Style

Zhang, J.; Zheng, X.; Xiao, H.; Shan, C.; Li, Y.; Yang, T. Quality and Process Optimization of Infrared Combined Hot Air Drying of Yam Slices Based on BP Neural Network and Gray Wolf Algorithm. Foods 2024, 13, 434. https://doi.org/10.3390/foods13030434

AMA Style

Zhang J, Zheng X, Xiao H, Shan C, Li Y, Yang T. Quality and Process Optimization of Infrared Combined Hot Air Drying of Yam Slices Based on BP Neural Network and Gray Wolf Algorithm. Foods. 2024; 13(3):434. https://doi.org/10.3390/foods13030434

Chicago/Turabian Style

Zhang, Jikai, Xia Zheng, Hongwei Xiao, Chunhui Shan, Yican Li, and Taoqing Yang. 2024. "Quality and Process Optimization of Infrared Combined Hot Air Drying of Yam Slices Based on BP Neural Network and Gray Wolf Algorithm" Foods 13, no. 3: 434. https://doi.org/10.3390/foods13030434

APA Style

Zhang, J., Zheng, X., Xiao, H., Shan, C., Li, Y., & Yang, T. (2024). Quality and Process Optimization of Infrared Combined Hot Air Drying of Yam Slices Based on BP Neural Network and Gray Wolf Algorithm. Foods, 13(3), 434. https://doi.org/10.3390/foods13030434

Note that from the first issue of 2016, this journal uses article numbers instead of page numbers. See further details here.

Article Metrics

Back to TopTop