Effects of Fermentation Modification and Combined Modification with Heat-Moisture Treatment on the Multiscale Structure, Physical and Chemical Properties of Corn Flour and the Quality of Traditional Fermented Corn Noodles
Abstract
1. Introduction
2. Materials and Methods
2.1. Materials and Reagents
2.2. Sample Preparation
2.3. Starch Content, Color Characteristics, and Particle Size Distribution
2.4. Starch Microstructure
2.5. Solubility, Water Holding Capacity (WHC), and Retrogradation Properties
2.6. X-Ray Diffraction (XRD)
2.7. Fourier Transform Infrared Spectroscopy (FT-IR)
2.8. Dynamic Rheological Property
2.9. Thermal Properties (DSC)
2.10. Pasting Characteristics (RVA)
2.11. Dough Preparation and Textural Properties
2.12. Noodle Preparation and Cooking Quality
2.13. In Vitro Digestibility of Noodles
2.14. Volatile Flavor Compounds in Noodles
2.15. Statistical Analysis
3. Result and Discussion
3.1. Amylose/Amylopectin Content
3.2. Color Characteristics
3.3. Particle Size Distribution
3.4. Micromorphology
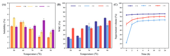
3.5. Solubility and WHC
3.6. Retrogradation Properties
3.7. Long-Range Ordered Structure of Starch
3.8. Short-Range Ordered Structure of Starch
3.9. Dynamic Rheological Properties
3.10. Thermal Properties
3.11. Gelatinization Behavior
- Reversible water absorption stage: In this stage, slight expansion occurs at the beginning of heating. A suspension forms when stirred, but precipitation occurs when left to stand, with no change in starch birefringence;
- Irreversible water absorption stage: As temperature increases, chemical bonds within the starch molecules break, the crystalline regions loosen, and the rate of water absorption and expansion increases rapidly. During this stage, starch birefringence disappears;
- Complete disintegration stage: In this final stage, starch granules melt and disintegrate, releasing internal starch molecules that interconnect and entangle to form a gel network.
3.12. Textural Properties of Dough
3.13. Cooking Properties of Noodles
3.14. In Vitro Digestive Properties of Noodles
3.15. Flavor Substances in Noodles
4. Conclusions
Supplementary Materials
Author Contributions
Funding
Institutional Review Board Statement
Informed Consent Statement
Data Availability Statement
Acknowledgments
Conflicts of Interest
References
- Sandhu, K.; Singh, N. Some Properties of Corn Starches II: Physicochemical, Gelatinization, Retrogradation, Pasting and Gel Textural Properties. Food Chem. 2007, 101, 1499–1507. [Google Scholar] [CrossRef]
- Liu, Z.; Fu, Y.; Zhang, F.; Zhao, Q.; Xue, Y.; Hu, J.; Shen, Q. Comparison of the Molecular Structure of Heat and Pressure-Treated Corn Starch Based on Experimental Data and Molecular Dynamics Simulation. Food Hydrocoll. 2022, 125, 107371. [Google Scholar] [CrossRef]
- Punia Bangar, S.; Ashogbon, A.O.; Singh, A.; Chaudhary, V.; Whiteside, W.S. Enzymatic Modification of Starch: A Green Approach for Starch Applications. Carbohydr. Polym. 2022, 287, 119265. [Google Scholar] [CrossRef] [PubMed]
- Zia-ud-Din; Xiong, H.; Fei, P. Physical and Chemical Modification of Starches: A Review. Crit. Rev. Food Sci. Nutr. 2017, 57, 2691–2705. [Google Scholar] [CrossRef]
- Ashogbon, A.O. Dual Modification of Various Starches: Synthesis, Properties and Applications. Food Chem. 2021, 342, 128325. [Google Scholar] [CrossRef] [PubMed]
- Li, N.; Zhang, B.; Zhao, S.; Niu, M.; Jia, C.; Huang, Q.; Liu, Y.; Lin, Q. Influence of Lactobacillus/Candida Fermentation on the Starch Structure of Rice and the Related Noodle Features. Int. J. Biol. Macromol. 2019, 121, 882–888. [Google Scholar] [CrossRef] [PubMed]
- Wu, X.; Wu, X.; Zhang, J.; Yan, X.; Zhang, Q.; Zhang, B. Effects of Adding Proteins from Different Sources during Heat-Moisture Treatment on Corn Starch Structure, Physicochemical and in Vitro Digestibility. Int. J. Biol. Macromol. 2024, 273, 133079. [Google Scholar] [CrossRef]
- Zhang, T.; Hong, S.; Zhang, J.-R.; Liu, P.-H.; Li, S.; Wen, Z.; Xiao, J.; Zhang, G.; Habimana, O.; Shah, N.P.; et al. The Effect of Lactic Acid Bacteria Fermentation on Physicochemical Properties of Starch from Fermented Proso Millet Flour. Food Chem. 2024, 437, 137764. [Google Scholar] [CrossRef] [PubMed]
- Wang, L.; Wang, M.; Zhou, Y.; Wu, Y.; Ouyang, J. Influence of Ultrasound and Microwave Treatments on the Structural and Thermal Properties of Normal Maize Starch and Potato Starch: A Comparative Study. Food Chem. 2022, 377, 131990. [Google Scholar] [CrossRef]
- Wu, X.; Luan, M.; Yan, X.; Zhang, J.; Wu, X.; Zhang, Q. The Impact of Different Concentrations of Hyaluronic Acid on the Pasting and Microstructural Properties of Corn Starch. Int. J. Biol. Macromol. 2024, 254, 127555. [Google Scholar] [CrossRef]
- Yang, X.; Pan, Y.; Li, S.; Li, C.; Li, E. Effects of Amylose and Amylopectin Molecular Structures on Rheological, Thermal and Textural Properties of Soft Cake Batters. Food Hydrocoll. 2022, 133, 107980. [Google Scholar] [CrossRef]
- Hui, G.; Zhu, P.; Wang, M. Structure and Functional Properties of Taro Starch Modified by Dry Heat Treatment. Int. J. Biol. Macromol. 2024, 261, 129702. [Google Scholar] [CrossRef] [PubMed]
- Yang, S.; Dhital, S.; Zhang, M.-N.; Wang, J.; Chen, Z.-G. Structural, Gelatinization, and Rheological Properties of Heat-Moisture Treated Potato Starch with Added Salt and Its Application in Potato Starch Noodles. Food Hydrocoll. 2022, 131, 107802. [Google Scholar] [CrossRef]
- Wang, J.; Zhang, T.; Guan, E.; Zhang, Y.; Wang, X. Physicochemical Properties of Wheat Granular Flour and Quality Characteristics of the Corresponding Fresh Noodles as Affected by Particle Size. LWT 2024, 204, 116439. [Google Scholar] [CrossRef]
- Sun, X.; Yu, C.; Fu, M.; Wu, D.; Gao, C.; Feng, X.; Cheng, W.; Shen, X.; Tang, X. Extruded Whole Buckwheat Noodles: Effects of Processing Variables on the Degree of Starch Gelatinization, Changes of Nutritional Components, Cooking Characteristics and in Vitro Starch Digestibility. Food Funct. 2019, 10, 6362–6373. [Google Scholar] [CrossRef] [PubMed]
- Englyst, H.N.; Hudson, G.J. The Classification and Measurement of Dietary Carbohydrates. Food Chem. 1996, 57, 15–21. [Google Scholar] [CrossRef]
- Liu, F.-Y.; Guo, X.-N.; Xing, J.-J.; Zhu, K.-X. Effect of Thermal Treatments on in Vitro Starch Digestibility of Sorghum Dried Noodles. Food Funct. 2020, 11, 3420–3431. [Google Scholar] [CrossRef] [PubMed]
- Wang, A.; Xiao, T.; Xi, H.; Qin, W.; He, Y.; Nie, M.; Chen, Z.; Wang, L.; Liu, L.; Wang, F.; et al. Edible Qualities, Microbial Compositions and Volatile Compounds in Fresh Fermented Rice Noodles Fermented with Different Starter Cultures. Food Res. Int. 2022, 156, 111184. [Google Scholar] [CrossRef] [PubMed]
- Ye, F.; Xiao, L.; Liang, Y.; Zhou, Y.; Zhao, G. Spontaneous Fermentation Tunes the Physicochemical Properties of Sweet Potato Starch by Modifying the Structure of Starch Molecules. Carbohydr. Polym. 2019, 213, 79–88. [Google Scholar] [CrossRef] [PubMed]
- Dong, J.; Huang, L.; Chen, W.; Zhu, Y.; Dun, B.; Shen, R. Effect of Heat-Moisture Treatments on Digestibility and Physicochemical Property of Whole Quinoa Flour. Foods 2021, 10, 3042. [Google Scholar] [CrossRef] [PubMed]
- Nowacka, M.; Dadan, M.; Janowicz, M.; Wiktor, A.; Witrowa-Rajchert, D.; Mandal, R.; Pratap-Singh, A.; Janiszewska-Turak, E. Effect of Nonthermal Treatments on Selected Natural Food Pigments and Color Changes in Plant Material. Compr. Rev. Food Sci. Food Saf. 2021, 20, 5097–5144. [Google Scholar] [CrossRef] [PubMed]
- Deka, D.; Sit, N. Dual Modification of Taro Starch by Microwave and Other Heat Moisture Treatments. Int. J. Biol. Macromol. 2016, 92, 416–422. [Google Scholar] [CrossRef]
- Zhang, J.; Liu, Y.; Liu, M.; Zhao, Y.; Zhu, Y.; Cui, S.; Xiao, X. Effects of Lactiplantibacillus plantarum Dy-1 Fermentation on Multi-Scale Structure and Physicochemical Properties of Barley Starch. Food Funct. 2024, 15, 1923–1937. [Google Scholar] [CrossRef] [PubMed]
- Liu, C.; Song, M.; Liu, L.; Hong, J.; Guan, E.; Bian, K.; Zheng, X. Effect of Heat-Moisture Treatment on the Structure and Physicochemical Properties of Ball Mill Damaged Starches from Different Botanical Sources. Int. J. Biol. Macromol. 2020, 156, 403–410. [Google Scholar] [CrossRef]
- Ma, M.; Zhang, X.; Zhu, Y.; Li, Z.; Sui, Z.; Corke, H. Mechanistic Insights into the Enhanced Texture of Potato Noodles by Incorporation of Small Granule Starches. Int. J. Biol. Macromol. 2023, 257, 128535. [Google Scholar] [CrossRef] [PubMed]
- Hu, H.; Zhou, X.-Y.; Wang, Y.-S.; Zhang, Y.; Zhou, W.-H.; Zhang, L. Effects of Particle Size on the Structure, Cooking Quality and Anthocyanin Diffusion of Purple Sweet Potato Noodles. Food Chem. X 2023, 18, 100672. [Google Scholar] [CrossRef]
- Pérez, S.; Baldwin, P.M.; Gallant, D.J. Structural Features of Starch Granules I. In Starch; Academic Press: Cambridge, MA, USA, 2009; pp. 149–192. [Google Scholar]
- Bian, X.; Chen, J.; Yang, Y.; Yu, D.; Ma, Z.; Ren, L.; Wu, N.; Chen, F.; Liu, X.; Wang, B.; et al. Effects of Fermentation on the Structure and Physical Properties of Glutinous Proso Millet Starch. Food Hydrocoll. 2022, 123, 107144. [Google Scholar] [CrossRef]
- Van Rooyen, J.; Simsek, S.; Oyeyinka, S.A.; Manley, M. Wheat Starch Structure–Function Relationship in Breadmaking: A Review. Compr. Rev. Food Sci. Food Saf. 2023, 22, 2292–2309. [Google Scholar] [CrossRef] [PubMed]
- Zhong, Y.; Yin, X.; Yuan, Y.; Kong, X.; Chen, S.; Ye, X.; Tian, J. Changes in Physiochemical Properties and in Vitro Digestion of Corn Starch Prepared with Heat-Moisture Treatment. Int. J. Biol. Macromol. 2023, 248, 125912. [Google Scholar] [CrossRef] [PubMed]
- Wang, B.; Gao, W.; Kang, X.; Dong, Y.; Liu, P.; Yan, S.; Yu, B.; Guo, L.; Cui, B.; Abd El-Aty, A.M. Structural Changes in Corn Starch Granules Treated at Different Temperatures. Food Hydrocoll. 2021, 118, 106760. [Google Scholar] [CrossRef]
- Wang, Y.; Chen, L.; Yang, T.; Ma, Y.; McClements, D.J.; Ren, F.; Tian, Y.; Jin, Z. A Review of Structural Transformations and Properties Changes in Starch during Thermal Processing of Foods. Food Hydrocoll. 2021, 113, 106543. [Google Scholar] [CrossRef]
- da Rosa Zavareze, E.; Storck, C.R.; de Castro, L.A.S.; Schirmer, M.A.; Dias, A.R.G. Effect of Heat-Moisture Treatment on Rice Starch of Varying Amylose Content. Food Chem. 2010, 121, 358–365. [Google Scholar] [CrossRef]
- Hoover, R.; Manuel, H. The Effect of Heat–Moisture Treatment on the Structure and Physicochemical Properties of Normal Maize, Waxy Maize, Dull Waxy Maize and Amylomaize V Starches. J. Cereal Sci. 1996, 23, 153–162. [Google Scholar] [CrossRef]
- Fu, Z.; Wang, L.; Li, D.; Zhou, Y.; Adhikari, B. The Effect of Partial Gelatinization of Corn Starch on Its Retrogradation. Carbohydr. Polym. 2013, 97, 512–517. [Google Scholar] [CrossRef]
- Liu, J.; Wang, B.; Lin, L.; Zhang, J.; Liu, W.; Xie, J.; Ding, Y. Functional, Physicochemical Properties and Structure of Cross-Linked Oxidized Maize Starch. Food Hydrocoll. 2014, 36, 45–52. [Google Scholar] [CrossRef]
- Wang, S.; Li, C.; Copeland, L.; Niu, Q.; Wang, S. Starch Retrogradation: A Comprehensive Review. Compr. Rev. Food Sci. Food Saf. 2015, 14, 568–585. [Google Scholar] [CrossRef]
- Hoover, R.; Ratnayake, W.S. Starch Characteristics of Black Bean, Chick Pea, Lentil, Navy Bean and Pinto Bean Cultivars Grown in Canada. Food Chem. 2002, 78, 489–498. [Google Scholar] [CrossRef]
- Chen, Y.; Yang, Q.; Xu, X.; Qi, L.; Dong, Z.; Luo, Z.; Lu, X.; Peng, X. Structural Changes of Waxy and Normal Maize Starches Modified by Heat Moisture Treatment and Their Relationship with Starch Digestibility. Carbohydr. Polym. 2017, 177, 232–240. [Google Scholar] [CrossRef]
- Zhou, X.; He, S.; Jin, Z. Impact of Amylose Content on the Formation of V-Type Granular Starch. Food Hydrocoll. 2024, 146, 109257. [Google Scholar] [CrossRef]
- Hoover, R. Composition, Molecular Structure, and Physicochemical Properties of Tuber and Root Starches: A Review. Carbohydr. Polym. 2001, 45, 253–267. [Google Scholar] [CrossRef]
- Huang, B.; Zhao, G.; Zou, X.; Cheng, X.; Li, S.; Yang, L. Feasibility of Replacing Waxy Rice with Waxy or Sweet-Waxy Corn Viewed from the Structure and Physicochemical Properties of Starches. Food Res. Int. 2024, 182, 114178. [Google Scholar] [CrossRef]
- Zhao, M.; Lu, C.; Hu, X.; Ma, Z. Evolution of Multi-Scale Structure and Microbiota Metabolism of Lentil Resistant Starch during the Dynamic Fermentation in Vitro. Food Chem. 2024, 461, 140914. [Google Scholar] [CrossRef] [PubMed]
- Zhang, C.; Jia, J.; Gao, M.; Liu, Y.; Dou, B.; Zhang, N. Effect of Different Heat-Moisture Treatment Times on the Structure, Physicochemical Properties and in Vitro Digestibility of Japonica Starch. Int. J. Biol. Macromol. 2024, 259, 129173. [Google Scholar] [CrossRef] [PubMed]
- Du, C.; Jiang, F.; Jiang, W.; Ge, W.; Du, S. Physicochemical and Structural Properties of Sago Starch. Int. J. Biol. Macromol. 2020, 164, 1785–1793. [Google Scholar] [CrossRef] [PubMed]
- Wang, S.; Wang, S.; Liu, L.; Wang, S.; Copeland, L. Structural Orders of Wheat Starch Do Not Determine the In Vitro Enzymatic Digestibility. J. Agric. Food Chem. 2017, 65, 1697–1706. [Google Scholar] [CrossRef] [PubMed]
- Zhu, F.; Hao, C. Physicochemical Properties of Maori Potato Starch Affected by Molecular Structure. Food Hydrocoll. 2019, 90, 248–253. [Google Scholar] [CrossRef]
- Brandner, S.; Becker, T.; Jekle, M. Classification of Starch-Gluten Networks into a Viscoelastic Liquid or Solid, Based on Rheological Aspects—A Review. Int. J. Biol. Macromol. 2019, 136, 1018–1025. [Google Scholar] [CrossRef] [PubMed]
- Singh, J.; Kaur, L.; McCarthy, O.J. Factors Influencing the Physico-Chemical, Morphological, Thermal and Rheological Properties of Some Chemically Modified Starches for Food Applications—A Review. Food Hydrocoll. 2007, 21, 1–22. [Google Scholar] [CrossRef]
- Rosalina, I.; Bhattacharya, M. Dynamic Rheological Measurements and Analysis of Starch Gels. Carbohydr. Polym. 2002, 48, 191–202. [Google Scholar] [CrossRef]
- Bertoft, E.; Annor, G.A.; Shen, X.; Rumpagaporn, P.; Seetharaman, K.; Hamaker, B.R. Small Differences in Amylopectin Fine Structure May Explain Large Functional Differences of Starch. Carbohydr. Polym. 2016, 140, 113–121. [Google Scholar] [CrossRef] [PubMed]
- Su, Q.; Cai, S.; Duan, Q.; Huang, W.; Huang, Y.; Chen, P.; Xie, F. Combined Effect of Heat Moisture and Ultrasound Treatment on the Physicochemical, Thermal and Structural Properties of New Variety of Purple Rice Starch. Int. J. Biol. Macromol. 2024, 261, 129748. [Google Scholar] [CrossRef] [PubMed]
- Huang, T.-T.; Zhou, D.-N.; Jin, Z.-Y.; Xu, X.-M.; Chen, H.-Q. Effect of Repeated Heat-Moisture Treatments on Digestibility, Physicochemical and Structural Properties of Sweet Potato Starch. Food Hydrocoll. 2016, 54, 202–210. [Google Scholar] [CrossRef]
- AL-Ansi, W.; Mushtaq, B.S.; Mahdi, A.A.; Al-Maqtari, Q.A.; AL-Adeeb, A.; Ahmed, A.; Fan, M.; Li, Y.; Qian, H.; Jinxin, L.; et al. Molecular Structure, Morphological, and Physicochemical Properties of Highlands Barley Starch as Affected by Natural Fermentation. Food Chem. 2021, 356, 129665. [Google Scholar] [CrossRef] [PubMed]
- Li, Z.; Liu, W.; Gu, Z.; Li, C.; Hong, Y.; Cheng, L. The Effect of Starch Concentration on the Gelatinization and Liquefaction of Corn Starch. Food Hydrocoll. 2015, 48, 189–196. [Google Scholar] [CrossRef]
- Morris, V.J. Starch Gelation and Retrogradation. Trends Food Sci. Technol. 1990, 1, 2–6. [Google Scholar] [CrossRef]
- Kim, H.-S.; Patel, B.; BeMiller, J.N. Effects of the Amylose–Amylopectin Ratio on Starch–Hydrocolloid Interactions. Carbohydr. Polym. 2013, 98, 1438–1448. [Google Scholar] [CrossRef] [PubMed]
- Sui, Z.; Yao, T.; Zhao, Y.; Ye, X.; Kong, X.; Ai, L. Effects of Heat–Moisture Treatment Reaction Conditions on the Physicochemical and Structural Properties of Maize Starch: Moisture and Length of Heating. Food Chem. 2015, 173, 1125–1132. [Google Scholar] [CrossRef]
- Jia, R.; Cui, C.; Gao, L.; Qin, Y.; Ji, N.; Dai, L.; Wang, Y.; Xiong, L.; Shi, R.; Sun, Q. A Review of Starch Swelling Behavior: Its Mechanism, Determination Methods, Influencing Factors, and Influence on Food Quality. Carbohydr. Polym. 2023, 321, 121260. [Google Scholar] [CrossRef] [PubMed]
- Obadi, M.; Xu, B. Review on the Physicochemical Properties, Modifications, and Applications of Starches and Its Common Modified Forms Used in Noodle Products. Food Hydrocoll. 2021, 112, 106286. [Google Scholar] [CrossRef]
- Ai, Y.; Jane, J. Macronutrients in Corn and Human Nutrition. Compr. Rev. Food Sci. Food Saf. 2016, 15, 581–598. [Google Scholar] [CrossRef]
- Tan, H.-Z.; Li, Z.-G.; Tan, B. Starch Noodles: History, Classification, Materials, Processing, Structure, Nutrition, Quality Evaluating and Improving. Food Res. Int. 2009, 42, 551–576. [Google Scholar] [CrossRef]
- Bresciani, A.; Giordano, D.; Vanara, F.; Blandino, M.; Marti, A. High-Amylose Corn in Gluten-Free Pasta: Strategies to Deliver Nutritional Benefits Ensuring the Overall Quality. Food Chem. 2021, 353, 129489. [Google Scholar] [CrossRef] [PubMed]
- Weiling, M.; Yingjiao, P.; Chunmin, G.; Yakun, S.; Jianhua, Z.; Yuqin, D.; Chun, L. Effects of Different Fermentation Processes on Cooking and Eating Quality of Brown Rice Noodles. LWT 2024, 208, 116706. [Google Scholar] [CrossRef]
- Chandla, N.K.; Saxena, D.C.; Singh, S. Processing and Evaluation of Heat Moisture Treated (HMT) Amaranth Starch Noodles; An Inclusive Comparison with Corn Starch Noodles. J. Cereal Sci. 2017, 75, 306–313. [Google Scholar] [CrossRef]
- Sun, X.; Wu, S.; Li, W.; Koksel, F.; Du, Y.; Sun, L.; Fang, Y.; Hu, Q.; Pei, F. The Effects of Cooperative Fermentation by Yeast and Lactic Acid Bacteria on the Dough Rheology, Retention and Stabilization of Gas Cells in a Whole Wheat Flour Dough System—A Review. Food Hydrocoll. 2023, 135, 108212. [Google Scholar] [CrossRef]
- Englyst, K.N.; Englyst, H.N.; Hudson, G.J.; Cole, T.J.; Cummings, J.H. Rapidly Available Glucose in Foods: An in Vitro Measurement That Reflects the Glycemic Response. Am. J. Clin. Nutr. 1999, 69, 448–454. [Google Scholar] [CrossRef]
- Zhang, G.; Hamaker, B.R. Slowly Digestible Starch: Concept, Mechanism, and Proposed Extended Glycemic Index. Crit. Rev. Food Sci. Nutr. 2009, 49, 852–867. [Google Scholar] [CrossRef] [PubMed]
- Franz, M.J. The Glycemic Index. Diabetes Care 2003, 26, 2466–2468. [Google Scholar] [CrossRef]
- Li, C.; Hu, Y.; Li, S.; Yi, X.; Shao, S.; Yu, W.; Li, E. Biological Factors Controlling Starch Digestibility in Human Digestive System. Food Sci. Hum. Wellness 2023, 12, 351–358. [Google Scholar] [CrossRef]
- Wang, Y.; Chao, C.; Huang, H.; Wang, S.; Wang, S.; Wang, S.; Copeland, L. Revisiting Mechanisms Underlying Digestion of Starches. J. Agric. Food Chem. 2019, 67, 8212–8226. [Google Scholar] [CrossRef]
- Zhang, K.; Zhang, T.-T.; Guo, R.-R.; Ye, Q.; Zhao, H.-L.; Huang, X.-H. The Regulation of Key Flavor of Traditional Fermented Food by Microbial Metabolism: A Review. Food Chem. X 2023, 19, 100871. [Google Scholar] [CrossRef]
- Zhang, K.; Gao, L.; Zhang, C.; Feng, T.; Zhuang, H. Analysis of Volatile Flavor Compounds of Corn Under Different Treatments by GC-MS and GC-IMS. Front. Chem. 2022, 10, 725208. [Google Scholar] [CrossRef]
- Hu, X.; Lu, L.; Guo, Z.; Zhu, Z. Volatile Compounds, Affecting Factors and Evaluation Methods for Rice Aroma: A Review. Trends Food Sci. Technol. 2020, 97, 136–146. [Google Scholar] [CrossRef]
- Guo, S.; Wang, D.; Li, Y.; Li, J.; Du, J. Comparison of Aroma Profiles of Whiskeys Fermented from Different Grain Ingredients. Foods 2024, 13, 2031. [Google Scholar] [CrossRef] [PubMed]
- Mockus, E.; Zokaityte, E.; Starkute, V.; Klupsaite, D.; Ruibys, R.; Rocha, J.M.; Bartkevics, V.; Bartkiene, E. Influence of Different Lactic Acid Bacteria Strains and Milling Process on the Solid-State Fermented Green and Red Lentils (Lens culinaris L.) Properties Including Gamma-Aminobutyric Acid Formation. Front. Nutr. 2023, 10, 1118710. [Google Scholar] [CrossRef]
- Xu, J.; Zhang, W.; Adhikari, K.; Shi, Y.-C. Determination of Volatile Compounds in Heat-Treated Straight-Grade Flours from Normal and Waxy Wheats. J. Cereal Sci. 2017, 75, 77–83. [Google Scholar] [CrossRef]
- Feng, Y.; Cao, H.; Song, H.; Huang, K.; Zhang, Y.; Zhang, Y.; Li, S.; Li, Y.; Lu, J.; Guan, X. The Formation Mechanism, Analysis Strategies and Regulation Measures of Cereal Aroma: A Review. Trends Food Sci. Technol. 2024, 147, 104452. [Google Scholar] [CrossRef]







| UM | FM | CM | |
|---|---|---|---|
| Amylose (%) | 41.61 ± 0.41 a | 38.65 ± 0.84 b | 35.18 ± 0.44 c |
| Amylopectin (%) | 47.40 ± 1.18 b | 54.62 ± 0.81 a | 47.39 ± 0.73 b |
| L* | 91.19 ± 0.27 a | 91.33 ± 0.05 a | 88.07 ± 0.11 b |
| a* | −0.57 ± 0.05 b | −0.33 ± 0.03 a | −0.67 ± 0.07 c |
| b* | 29.38 ± 0.29 a | 25.42 ± 0.18 c | 28.49 ± 0.49 b |
| D(0.5) (nm) | 1378.90 ± 256.01 b | 773.63 ± 116.22 c | 1887.28 ± 215.91 a |
| UM | FM | CM | ||||||||||
|---|---|---|---|---|---|---|---|---|---|---|---|---|
| 15° | 17° | 18° | 23° | 15° | 17° | 18° | 23° | 15° | 17° | 18° | 23° | |
| Peak position (°2θ) | 15.12 | 17.30 | 18.29 | 23.23 | 15.06 | 17.28 | 18.24 | 23.15 | 15.08 | 17.23 | 18.22 | 23.00 |
| Peak height (cts) | 716.96 | 892.57 | 593.72 | 906.23 | 709.64 | 892.38 | 530.10 | 858.08 | 123.43 | 281.31 | 194.43 | 357.38 |
| FWHM (°2θ) | 0.89 | 1.41 | 0.93 | 1.64 | 0.85 | 1.45 | 1.02 | 1.76 | 0.48 | 0.97 | 0.72 | 2.54 |
| Area (cts*°2θ) | 687.15 | 1353.00 | 671.80 | 1772.82 | 649.83 | 1390.20 | 660.36 | 1767.19 | 64.14 | 293.57 | 183.59 | 1019.47 |
| R (1047/1022) | 1.12 ± 0.11 a | 1.10 ± 0.09 a | 0.72 ± 0.12 b | |||||||||
| R (995/1022) | 2.10 ± 0.05 a | 2.18 ± 0.04 a | 1.80 ± 0.06 b | |||||||||
| UM | FM | CM | |
|---|---|---|---|
| T0 (°C) | 64.70 ± 0.70 a | 62.77 ± 0.32 b | 64.44 ± 0.18 a |
| TP (°C) | 76.15 ± 0.34 b | 73.55 ± 0.51 c | 78.98 ± 0.02 a |
| TC (°C) | 89.04 ± 1.37 a | 89.01 ± 1.35 a | 90.71 ± 1.02 a |
| TC-T0 (°C) | 24.34 ± 2.07 a | 26.24 ± 1.02 a | 26.27 ± 0.84 a |
| ΔH (J/g) | 1.62 ± 0.01 c | 1.88 ± 0.01 b | 2.01 ± 0.01 a |
| PV (cP) | 2022.12 ± 57.19 b | 2366.36 ± 91.61 a | 596.56 ± 165.16 c |
| TV (cP) | 1809.12 ± 76.23 b | 2331.80 ± 108.04 a | 576.48 ± 169.93 c |
| FV (cP) | 2194.28 ± 256.74 b | 2543.04 ± 88.23 a | 680.60 ± 160.66 c |
| BD (cP) | 213.00 ± 20.97 a | 34.56 ± 17.58 b | 20.08 ± 5.21 b |
| SB (cP) | 385.16 ± 181.35 a | 211.24 ± 19.87 ab | 104.12 ± 9.28 b |
| UM | FM | CM | |
|---|---|---|---|
| Stickiness (mJ) | 0.82 ± 0.15 b | 1.23 ± 0.15 b | 10.36 ± 4.47 a |
| Springiness (mm) | 7.88 ± 1.29 b | 9.74 ± 1.02 b | 12.67 ± 4.79 a |
| Chewiness (mJ) | 1.71 ± 0.35 b | 1.86 ± 0.83 b | 13.88 ± 8.64 a |
| Hardness (g) | 50.69 ± 4.70 c | 92.07 ± 21.28 b | 350.84 ± 52.84 a |
| Gumminess (g) | 17.88 ± 2.18 b | 23.47 ± 6.80 b | 89.81 ± 79.00 a |
| Breakage rate (%) | 47.00 ± 12.52 a | 20.00 ± 11.55 b | 6.00 ± 6.99 c |
| Cooking Loss (%) | 6.44 ± 0.68 a | 3.17 ± 1.14 b | 1.60 ± 0.35 c |
Disclaimer/Publisher’s Note: The statements, opinions and data contained in all publications are solely those of the individual author(s) and contributor(s) and not of MDPI and/or the editor(s). MDPI and/or the editor(s) disclaim responsibility for any injury to people or property resulting from any ideas, methods, instructions or products referred to in the content. |
© 2024 by the authors. Licensee MDPI, Basel, Switzerland. This article is an open access article distributed under the terms and conditions of the Creative Commons Attribution (CC BY) license (https://creativecommons.org/licenses/by/4.0/).
Share and Cite
Mao, C.; Wu, S.; Zhang, L.; Zhuang, H. Effects of Fermentation Modification and Combined Modification with Heat-Moisture Treatment on the Multiscale Structure, Physical and Chemical Properties of Corn Flour and the Quality of Traditional Fermented Corn Noodles. Foods 2024, 13, 4043. https://doi.org/10.3390/foods13244043
Mao C, Wu S, Zhang L, Zhuang H. Effects of Fermentation Modification and Combined Modification with Heat-Moisture Treatment on the Multiscale Structure, Physical and Chemical Properties of Corn Flour and the Quality of Traditional Fermented Corn Noodles. Foods. 2024; 13(24):4043. https://doi.org/10.3390/foods13244043
Chicago/Turabian StyleMao, Chen, Sijia Wu, Ling Zhang, and Hong Zhuang. 2024. "Effects of Fermentation Modification and Combined Modification with Heat-Moisture Treatment on the Multiscale Structure, Physical and Chemical Properties of Corn Flour and the Quality of Traditional Fermented Corn Noodles" Foods 13, no. 24: 4043. https://doi.org/10.3390/foods13244043
APA StyleMao, C., Wu, S., Zhang, L., & Zhuang, H. (2024). Effects of Fermentation Modification and Combined Modification with Heat-Moisture Treatment on the Multiscale Structure, Physical and Chemical Properties of Corn Flour and the Quality of Traditional Fermented Corn Noodles. Foods, 13(24), 4043. https://doi.org/10.3390/foods13244043
