Preparation, Structural Characterization, and Hypoglycemic Activity of Dietary Fiber from Sea Buckthorn Pomace
Abstract
1. Introduction
2. Materials and Methods
2.1. Materials
2.2. Extraction and Optimisation of DF
2.2.1. Ultrasound–Enzymatic Sequential Program Design Tests
2.2.2. Optimization of DF Extraction from Sea Buckthorn Pomace
2.3. Characterization of DF Structure
2.3.1. Thermogravimetric Analysis (TGA)
2.3.2. Fourier-Transform Infrared (FT-IR) Spectroscopy
2.3.3. X-Ray Diffraction (XRD) Analysis
2.3.4. Scanning Electron Microscopy (SEM)
2.4. Analysis of Glucose-Lowering Activity
2.4.1. Glucose Adsorption Determination
2.4.2. α-Amylase Inhibition Assay
2.4.3. α-Glucosidase Inhibition Assay
2.5. Statistical Analyses
3. Results
3.1. Analysis of Ultrasound–Enzymatic Sequential Programme Design Tests
3.2. Analysis of Response Surface Optimization Experiment Results
3.3. Structural Characterization of Different DFs
3.3.1. TGA Analysis
3.3.2. FTIR Analysis
3.3.3. XRD Analysis
3.3.4. SEM Analysis
3.4. Glucose Adsorption by Different DFs
3.5. Inhibition of Hypoglycemic Enzymes by Different DFs
3.5.1. Inhibitory Activity on Hypoglycemic Enzymes
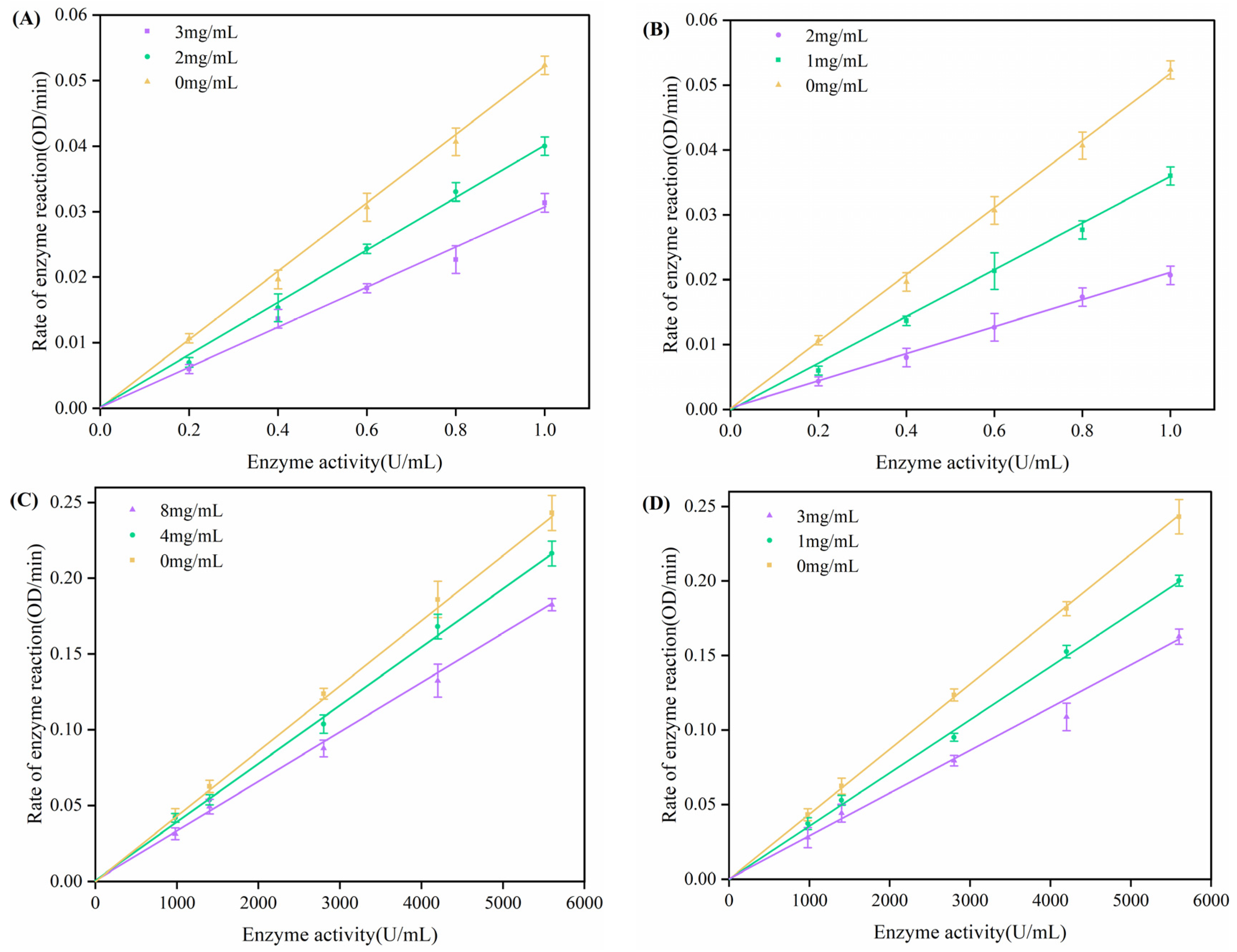
3.5.2. Analysis of the Type of Inhibition of Hypoglycemic Enzymes
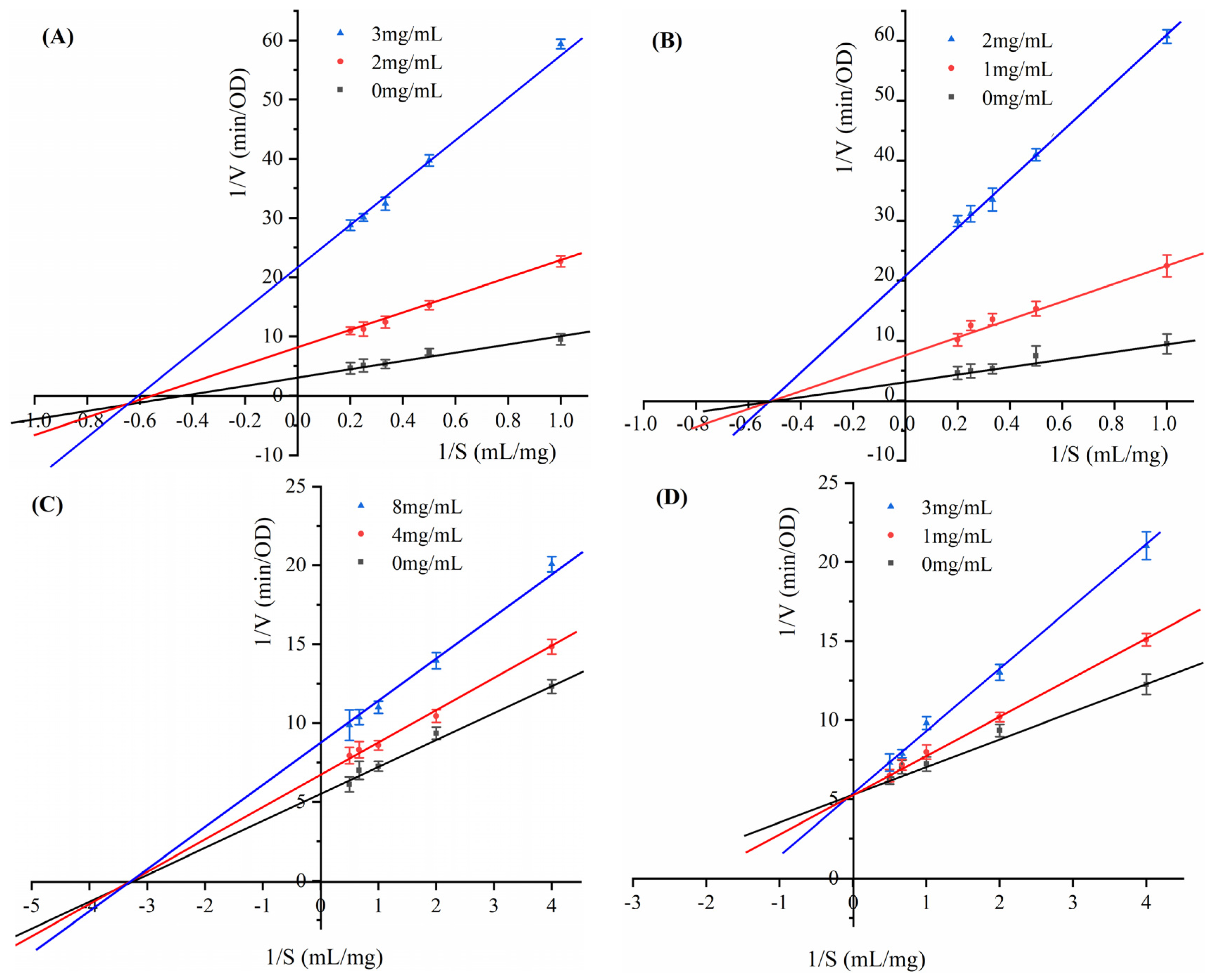
3.5.3. Lineweaver–Burk Plots for Hypoglycemic Enzymes
4. Conclusions
Author Contributions
Funding
Data Availability Statement
Conflicts of Interest
References
- Dicken, S.J.; Batterham, R. The Role of Diet Quality in Mediating the Association between Ultra-Processed Food Intake, Obesity and Health-Related Outcomes: A Review of Prospective Cohort Studies. Nutrients 2022, 14, 23. [Google Scholar] [CrossRef] [PubMed]
- Song, Q.; Wang, Y.; Huang, L.; Shen, M.; Yu, Y.; Yu, Q.; Chen, Y.; Xie, J. Review of the relationships among polysaccharides, gut microbiota, and human health. Food Res. Int. 2021, 140, 109858. [Google Scholar] [CrossRef]
- Gan, J.; Xie, L.; Peng, G.; Xie, J.; Chen, Y.; Yu, Q. Systematic review on modification methods of dietary fiber. Food Hydrocoll. 2021, 119, 106872. [Google Scholar] [CrossRef]
- Pathania, S.; Kaur, N. Utilization of fruits and vegetable by-products for isolation of dietary fibres and its potential application as functional ingredients. Bioact. Carbohydr. Diet. Fibre 2022, 27, 100295. [Google Scholar] [CrossRef]
- Gong, L.; Liu, F.; Liu, J.; Wang, J. Dietary fiber (oligosaccharide and non-starch polysaccharide) in preventing and treating functional gastrointestinal disorders-Challenges and controversies: A review. Int. J. Biol. Macromol. 2024, 258, 128835. [Google Scholar] [CrossRef]
- Park, K.H.; Lee, K.Y.; Lee, H.G. Chemical composition and physicochemical properties of barley dietary fiber by chemical modification. Int. J. Biol. Macromol. 2013, 60, 360–365. [Google Scholar] [CrossRef]
- Kumar, A.; Kumar, P.; Sharma, A.; Sharma, D.P.; Thakur, M. Scientific insights to existing know-how, breeding, genetics, and biotechnological interventions pave the way for the adoption of high-value underutilized super fruit Sea buckthorn (Hippophae rhamnoides L.). S. Afr. J. Bot. 2022, 145, 348–359. [Google Scholar] [CrossRef]
- Yang, H.; Yang, S.; Chen, X.; Zhang, J.; Zhang, Y. Dynamic changes in flavonoid, phenolic, and polysaccharide contents in leaves and fruits of sea buckthorn during the growing season in southeastern Tibet plateau. Sci. Hortic. 2023, 307, 111497. [Google Scholar] [CrossRef]
- Yue, M. “National Sea buckthorn Resources Background Investigation Report” Released. Green China 2022, 13, 58–59. (In Chinese) [Google Scholar] [CrossRef]
- Jureviciute, I.; Kersiene, M.; Basinskiene, L.; Leskauskaite, D.; Jasutiene, I. Characterization of Berry Pomace Powders as Dietary Fiber-Rich Food Ingredients with Functional Properties. Foods 2022, 11, 716. [Google Scholar] [CrossRef]
- Bender, A.B.B.; Speroni, C.S.; Moro, K.I.B.; Morisso, F.D.P.; Santos, D.R.D.; da Silva, L.P.; Penna, N.G. Effects of micronization on dietary fiber composition, physicochemical properties, phenolic compounds, and antioxidant capacity of grape pomace and its dietary fiber concentrate. LWT 2020, 117, 108652. [Google Scholar] [CrossRef]
- Nguyen, T.T.A.; Nguyen, H.H.; Ton, N.M.N.; Tran, T.T.T.; Le, V.V.M. Enzymatic treatment of pineapple pomace and its application into fiber-rich biscuit making. J. Agric. Food Res. 2024, 15, 100936. [Google Scholar] [CrossRef]
- Kitrytė, V.; Povilaitis, D.; Kraujalienė, V.; Šulniūtė, V.; Pukalskas, A.; Venskutonis, P.R. Fractionation of sea buckthorn pomace and seeds into valuable components by using high pressure and enzyme-assisted extraction methods. LWT-Food Sci. Technol. 2017, 85, 534–538. [Google Scholar] [CrossRef]
- Rout, S.; Srivastav, P.P. A concise review on the thermal and non-thermal extraction methods of dietary fiber and their implications on human health. Food Chem. Adv. 2023, 3, 100466. [Google Scholar] [CrossRef]
- Li, C.L.; Yu, S.Y.; Lu, Y. Study on Extraction of Dietary Fiber from Potato Peel by Acid-base Chemical Method. IOP Conf. Ser. Earth Environ. Sci. 2019, 267, 052028. [Google Scholar] [CrossRef]
- Zhang, M.; Liu, Y.; Liu, J.; Zheng, T.; Li, Y.; He, S.; Jiang, M.; Wu, L.; Wang, S. Extraction methods of dietary fiber and effect on bioactivity: A review. Process Biochem. 2024, 146, 451–461. [Google Scholar] [CrossRef]
- Kaur, S.; Panesar, P.S.; Chopra, H.K. Extraction of dietary fiber from kinnow (Citrus reticulata) peels using sequential ultrasonic and enzymatic treatments and its application in development of cookies. Food Biosci. 2023, 54, 102891. [Google Scholar] [CrossRef]
- Tang, C.; Wu, L.; Zhang, F.; Kan, J.; Zheng, J. Comparison of different extraction methods on the physicochemical, structural properties, and in vitro hypoglycemic activity of bamboo shoot dietary fibers. Food Chem. 2022, 386, 132642. [Google Scholar] [CrossRef] [PubMed]
- Hussain, S.; Sharma, M.; Bhat, R. Valorisation of Sea Buckthorn Pomace by Optimization of Ultrasonic-Assisted Extraction of Soluble Dietary Fibre Using Response Surface Methodology. Foods 2021, 10, 1330. [Google Scholar] [CrossRef]
- Liu, J.; Bai, J.; Shao, C.; Yao, S.; Xu, R.; Duan, S.; Wang, L.; Xu, Y.; Yang, Y. Optimization of ultrasound-assisted aqueous two-phase extraction of polysaccharides from seabuckthorn fruits using response methodology, physicochemical characterization and bioactivities. J. Sci. Food Agric. 2023, 103, 3168–3183. [Google Scholar] [CrossRef]
- Li, L.; Liu, J.; Zhang, Y.; Wang, Q.; Wang, J. Qualitative and Quantitative Correlation of Microstructural Properties and In Vitro Glucose Adsorption and Diffusion Behaviors of Pea Insoluble Dietary Fiber Induced by Ultrafine Grinding. Foods 2022, 11, 2814. [Google Scholar] [CrossRef] [PubMed]
- Lv, Q.-Q.; Cao, J.-J.; Liu, R.; Chen, H.-Q. Structural characterization, α-amylase and α-glucosidase inhibitory activities of polysaccharides from wheat bran. Food Chem. 2021, 341, 128218. [Google Scholar] [CrossRef] [PubMed]
- Kim, J.-S.; Hyun, T.K.; Kim, M.-J. The inhibitory effects of ethanol extracts from sorghum, foxtail millet and proso millet on α-glucosidase and α-amylase activities. Food Chem. 2011, 124, 1647–1651. [Google Scholar] [CrossRef]
- Wu, L.; Tang, C.; Chen, L.; Zhao, J. Modified dietary fiber from soybean dregs by fermentation alleviated constipation in mice. Food Chem. X 2023, 19, 100810. [Google Scholar] [CrossRef]
- Xu, X.; Liu, T.; Zhang, S.; Liu, H.; Tong, Z.; Wang, D. Preparation, Physicochemical Properties of High-quality Dietary Fiber from Hericium erinaceus. Sci. Technol. Food Ind. 2021, 42, 167–173. [Google Scholar] [CrossRef]
- Wang, Z.; Zou, J.; Shi, Y.; Zhang, X.; Zhai, B.; Guo, D.; Sun, J.; Luan, F. Extraction techniques, structural features and biological functions of Hippophae rhamnoides polysaccharides: A review. Int. J. Biol. Macromol. 2024, 263, 130206. [Google Scholar] [CrossRef]
- Puzeryte, V.; Martusevice, P.; Sousa, S.; Balciunaitiene, A.; Viskelis, J.; Gomes, A.M.; Viskelis, P.; Cesoniene, L.; Urbonaviciene, D. Optimization of Enzyme-Assisted Extraction of Bioactive Compounds from Sea Buckthorn (Hippophae rhamnoides L.) Leaves: Evaluation of Mixed-Culture Fermentation. Microorganisms 2023, 11, 2180. [Google Scholar] [CrossRef] [PubMed]
- Xiong, M.; Feng, M.; Chen, Y.; Li, S.; Fang, Z.; Wang, L.; Lin, D.; Zhang, Q.; Liu, Y.; Luo, Y.; et al. Comparison on structure, properties and functions of pomegranate peel soluble dietary fiber extracted by different methods. Food Chem. X 2023, 19, 100827. [Google Scholar] [CrossRef]
- Zhang, Y.; Qi, J.; Zeng, W.; Huang, Y.; Yang, X. Properties of dietary fiber from citrus obtained through alkaline hydrogen peroxide treatment and homogenization treatment. Food Chem. 2020, 311, 125873. [Google Scholar] [CrossRef]
- Zhang, Z.; Yang, X.; Gao, Z.; Zhang, M.; Mu, S.; Cheng, Y.; Qu, K. Effects of modification methods on the structural characteristics and functional properties of dietary fiber from cucumber. Food Chem. X 2024, 24, 101808. [Google Scholar] [CrossRef]
- Wang, S.; Fang, Y.; Xu, Y.; Zhu, B.; Piao, J.; Zhu, L.; Yao, L.; Liu, K.; Wang, S.; Zhang, Q.; et al. The effects of different extraction methods on physicochemical, functional and physiological properties of soluble and insoluble dietary fiber from Rubus chingii Hu. fruits. J. Funct. Foods 2022, 93, 105081. [Google Scholar] [CrossRef]
- Deng, M.; Ye, J.; Zhang, S.; Zhang, R.; Lu, Q.; Dong, L.; Huang, F.; Jia, X.; Zhang, M. Composition, structural, physicochemical and functional properties of dietary fiber from different tissue parts of Shatianyu (Citrus grandis L. Osbeck). LWT 2024, 191, 115581. [Google Scholar] [CrossRef]
- Zhang, S.; Ma, Q.; Deng, M.; Jia, X.; Huang, F.; Dong, L.; Zhang, R.; Sun, Z.; Zhang, M. Composition, structural, physicochemical and functional properties of dietary fiber from different milling fractions of black rice bran. LWT-Food Sci. Technol. 2024, 195, 115743. [Google Scholar] [CrossRef]
- Li, X.; Wang, L.; Tan, B.; Li, R. Effect of structural characteristics on the physicochemical properties and functional activities of dietary fiber: A review of structure-activity relationship. Int. J. Biol. Macromol. 2024, 269, 132214. [Google Scholar] [CrossRef]
- Yang, C.; Si, J.; Chen, Y.; Xie, J.; Tian, S.; Cheng, Y.; Hu, X.; Yu, Q. Physicochemical structure and functional properties of soluble dietary fibers obtained by different modification methods from Mesona chinensis Benth. residue. Food Res. Int. 2022, 157, 111489. [Google Scholar] [CrossRef]
- Gu, M.; Fang, H.; Gao, Y.; Su, T.; Niu, Y.; Yu, L. Characterization of enzymatic modified soluble dietary fiber from tomato peels with high release of lycopene. Food Hydrocoll. 2020, 99, 105321. [Google Scholar] [CrossRef]
- Qin, X.; Dong, X.; Tang, J.; Chen, Y.; Xie, J.; Cheng, Y.; Zheng, B.; Hu, X.; Yu, Q. Comparative analysis of dietary fibers from grapefruit peel prepared by ultrafine grinding: Structural properties, adsorption capacities, in vitro prebiotic activities. Food Biosci. 2023, 56, 103163. [Google Scholar] [CrossRef]
- Ahmed, F.; Sairam, S.; Urooj, A. In vitro hypoglycemic effects of selected dietary fiber sources. J. Food Sci. Technol.-Mysore 2011, 48, 285–289. [Google Scholar] [CrossRef] [PubMed]
- Benitez, V.; Rebollo-Hernanz, M.; Hernanz, S.; Chantres, S.; Aguilera, Y.; Martin-Cabrejas, M.A. Coffee parchment as a new dietary fiber ingredient: Functional and physiological characterization. Food Res. Int. 2019, 122, 105–113. [Google Scholar] [CrossRef]
- Zheng, Y.; Xu, B.; Shi, P.; Tian, H.; Li, Y.; Wang, X.; Wu, S.; Liang, P. The influences of acetylation, hydroxypropylation, enzymatic hydrolysis and crosslinking on improved adsorption capacities and in vitro hypoglycemic properties of millet bran dietary fibre. Food Chem. 2022, 368, 130883. [Google Scholar] [CrossRef]
- Kang, Z.; Meng, N.; Liu, M.; Liu, Y.; Jiang, P.; Qiao, C.-C.; Tan, B. Enhancement of physicochemical, in vitro hypoglycemic, hypolipidemic, antioxidant and prebiotic properties of oat bran dietary fiber: Dynamic high pressure microfluidization. Food Biosci. 2024, 61, 104983. [Google Scholar] [CrossRef]
- Yang, R.; Song, X.; Wang, T.; Liang, B.; Li, X.; Ji, C.; Sun, C.; Zhang, X. Superfine grinding combined with enzymatic modification of pea dietary fibre: Structures, physicochemical properties, hypoglycaemic functional properties, and antioxidant activities. LWT 2024, 207, 116651. [Google Scholar] [CrossRef]
- Liu, S.; Yu, J.; Guo, S.; Fang, H.; Chang, X. Inhibition of pancreatic α-amylase by Lonicera caerulea berry polyphenols in vitro and their potential as hyperglycemic agents. LWT 2020, 126, 109288. [Google Scholar] [CrossRef]
- Sun, N.; Xie, J.; Zheng, B.; Xie, J.; Chen, Y.; Hu, X.; Yu, Q. The inhibition mechanism of bound polyphenols extracted from mung bean coat dietary fiber on porcine pancreatic α-amylase: Kinetic, spectroscopic, differential scanning calorimetric and molecular docking. Food Chem. 2024, 436, 137749. [Google Scholar] [CrossRef] [PubMed]
- Yu, Q.; Tian, Y.; Fan, L. Inhibition mechanisms of wounded okra on the α-glucosidase/α-amylase. Food Biosci. 2023, 51, 102333. [Google Scholar] [CrossRef]
- Mittal, A.; Singh, A.; Benjakul, S. α-amylase inhibitory activity of chitooligosaccharide from shrimp shell chitosan and its epigallocatechin gallate conjugate: Kinetics, fluorescence quenching and structure–activity relationship. Food Chem. 2023, 403, 134456. [Google Scholar] [CrossRef]
- Narvaez, J.J.U.; Ruelas, A.F.C.; Castillo, L.O.; Castillo, C.P.; Campos, M.R.S. Saponins from Vigna unguiculata husks obtained by microwave-assisted extraction: Identification and mechanism of inhibition on urease activity. S. Afr. J. Bot. 2023, 154, 265–272. [Google Scholar] [CrossRef]
- Wang, Q.; Li, R.; Li, N.; Jia, Y.; Wang, Y.; Chen, Y.; Panichayupakaranant, P.; Chen, H. The antioxidant activities, inhibitory effects, kinetics, and mechanisms of artocarpin and α-mangostin on α-glucosidase and α-amylase. Int. J. Biol. Macromol. 2022, 213, 880–891. [Google Scholar] [CrossRef]
- Huang, Y.; Richardson, S.J.; Brennan, C.S.; Kasapis, S. Mechanistic insights into α-amylase inhibition, binding affinity and structural changes upon interaction with gallic acid. Food Hydrocoll. 2024, 148, 109467. [Google Scholar] [CrossRef]








| Run | A Cellulase Addition (%) | B Enzymatic Hydrolysis Time (min) | C Alcohol Precipitation Liquid Ratio (mL/mL) | D Ultrasonic Power (W) | SDF (%) | IDF (%) | SDF/IDF (%) |
|---|---|---|---|---|---|---|---|
| 1 | 6 | 20 | 4:1 | 380 | 9.81 ± 0.52 | 69.18 ± 1.79 | 14.20 ± 1.01 |
| 2 | 4 | 30 | 3:1 | 380 | 9.56 ± 0.06 | 70.77 ± 4.33 | 13.54 ± 0.75 |
| 3 | 5 | 30 | 5:1 | 430 | 9.91 ± 0.10 | 70.45 ± 3.43 | 14.08 ± 0.59 |
| 4 | 4 | 40 | 4:1 | 380 | 9.70 ± 0.51 | 68.51 ± 2.81 | 14.19 ± 1.32 |
| 5 | 5 | 20 | 5:1 | 380 | 10.04 ± 1.36 | 68.22 ± 2.24 | 14.69 ± 1.56 |
| 6 | 5 | 30 | 3:1 | 330 | 7.39 ± 0.18 | 59.88 ± 3.84 | 12.36 ± 0.62 |
| 7 | 4 | 30 | 5:1 | 380 | 8.71 ± 0.41 | 66.73 ± 2.96 | 13.07 ± 0.71 |
| 8 | 5 | 40 | 4:1 | 430 | 10.73 ± 0.41 | 72.33 ± 2.74 | 14.85 ± 0.85 |
| 9 | 4 | 30 | 4:1 | 330 | 7.54 ± 0.47 | 59.47 ± 2.13 | 12.70 ± 1.12 |
| 10 | 5 | 40 | 5:1 | 380 | 10.65 ± 0.37 | 72.04 ± 3.24 | 14.81 ± 1.09 |
| 11 | 5 | 20 | 4:1 | 330 | 10.36 ± 0.48 | 73.06 ± 4.27 | 14.23 ± 1.36 |
| 12 | 5 | 20 | 3:1 | 380 | 9.96 ± 0.07 | 71.31 ± 3.89 | 14.00 ± 0.78 |
| 13 | 5 | 30 | 4:1 | 380 | 13.19 ± 0.65 | 77.61 ± 2.89 | 17.00 ± 0.55 |
| 14 | 4 | 30 | 4:1 | 430 | 8.63 ± 0.54 | 65.59 ± 3.57 | 13.19 ± 1.22 |
| 15 | 6 | 30 | 4:1 | 430 | 9.46 ± 0.15 | 70.48 ± 4.04 | 13.45 ± 0.62 |
| 16 | 5 | 30 | 4:1 | 380 | 13.11 ± 0.78 | 76.90 ± 2.27 | 17.05 ± 0.79 |
| 17 | 5 | 20 | 4:1 | 430 | 11.25 ± 0.39 | 75.62 ± 2.18 | 14.89 ± 0.81 |
| 18 | 4 | 20 | 4:1 | 380 | 10.12 ± 0.97 | 70.60 ± 1.09 | 14.33 ± 1.21 |
| 19 | 5 | 30 | 4:1 | 380 | 13.71± 0.47 | 79.50 ± 0.84 | 17.25 ± 0.57 |
| 20 | 5 | 30 | 5:1 | 330 | 9.74 ± 1.43 | 69.12 ± 3.12 | 14.10 ± 2.10 |
| 21 | 6 | 30 | 4:1 | 330 | 7.33 ± 0.35 | 59.54 ± 2.75 | 12.34 ± 1.15 |
| 22 | 6 | 40 | 4:1 | 380 | 9.49 ± 0.40 | 68.57 ± 2.03 | 13.85 ± 0.92 |
| 23 | 5 | 40 | 4:1 | 330 | 10.27 ± 0.92 | 71.86 ± 2.24 | 14.27 ± 0.84 |
| 24 | 6 | 30 | 5:1 | 380 | 10.56 ± 0.73 | 73.66 ± 3.67 | 14.38 ± 1.46 |
| 25 | 5 | 30 | 4:1 | 380 | 13.22 ± 0.81 | 77.88 ± 2.73 | 17.01 ± 1.51 |
| 26 | 5 | 30 | 3:1 | 430 | 10.08 ± 0.95 | 72.02 ± 3.70 | 14.07 ± 2.03 |
| 27 | 5 | 30 | 4:1 | 380 | 13.18 ± 0.31 | 77.81 ± 1.42 | 16.95 ± 0.66 |
| 28 | 6 | 30 | 3:1 | 380 | 7.59 ± 0.53 | 61.28 ± 3.18 | 12.31 ± 1.47 |
| 29 | 5 | 40 | 3:1 | 380 | 9.72 ± 0.57 | 69.91 ± 1.31 | 13.91 ± 0.84 |
| Variance Source | Sum of Squares | Degrees of Freedom | Mean Square | F Value | p Value | Significance |
|---|---|---|---|---|---|---|
| Model | 57.46 | 14 | 4.10 | 95.29 | <0.0001 | ** |
| A (Enzyme additions) | 0.020 | 1 | 0.020 | 0.4645 | 0.5066 | |
| B (Enzymatic hydrolysis time) | 0.0176 | 1 | 0.0176 | 0.4094 | 0.5326 | |
| C (Alcohol precipitation liquid ratio) | 2.03 | 1 | 2.03 | 47.21 | <0.0001 | ** |
| D (Ultrasonic power) | 1.71 | 1 | 1.71 | 39.70 | <0.0001 | ** |
| AB | 0.011 | 1 | 0.011 | 0.256 | 0.6208 | |
| AC | 1.61 | 1 | 1.61 | 37.45 | <0.0001 | ** |
| AD | 0.0961 | 1 | 0.0961 | 2.23 | 0.1574 | |
| BC | 0.011 | 1 | 0.011 | 0.256 | 0.6208 | |
| BD | 0.0016 | 1 | 0.0016 | 0.0371 | 0.8499 | |
| CD | 0.7482 | 1 | 0.7482 | 17.37 | 0.0009 | ** |
| A2 | 30.45 | 1 | 30.45 | 707.0 | <0.0001 | ** |
| B2 | 4.50 | 1 | 4.50 | 104.5 | <0.0001 | ** |
| C2 | 18.65 | 1 | 18.65 | 432.9 | <0.0001 | ** |
| D2 | 20.88 | 1 | 20.88 | 484.8 | <0.0001 | ** |
| Residual | 0.603 | 14 | 0.0431 | |||
| Lack of fit | 0.5518 | 10 | 0.0552 | 4.31 | 0.0859 | not significance |
| Pure error | 0.0512 | 4 | 0.0128 | |||
| Sum | 58.06 | 28 | ||||
| R2 = 0.9796 | RAdj2 = 0.9782 | Adeq precision = 33.1608 | C.V% = 1.44 | |||
| Hypoglycemic Enzyme | Sample | IC50 (mg/mL) |
|---|---|---|
| α-Amylase | Acarbose | 0.16 c |
| IDF | 2.49 a | |
| SDF | 1.41 b | |
| α-Glucosidase | Acarbose | 0.14 c |
| IDF | 9.24 a | |
| SDF | 1.96 b |
Disclaimer/Publisher’s Note: The statements, opinions and data contained in all publications are solely those of the individual author(s) and contributor(s) and not of MDPI and/or the editor(s). MDPI and/or the editor(s) disclaim responsibility for any injury to people or property resulting from any ideas, methods, instructions or products referred to in the content. |
© 2024 by the authors. Licensee MDPI, Basel, Switzerland. This article is an open access article distributed under the terms and conditions of the Creative Commons Attribution (CC BY) license (https://creativecommons.org/licenses/by/4.0/).
Share and Cite
Xiao, Q.; Yang, L.; Guo, J.; Zhang, X.; Huang, Y.; Fu, Q. Preparation, Structural Characterization, and Hypoglycemic Activity of Dietary Fiber from Sea Buckthorn Pomace. Foods 2024, 13, 3665. https://doi.org/10.3390/foods13223665
Xiao Q, Yang L, Guo J, Zhang X, Huang Y, Fu Q. Preparation, Structural Characterization, and Hypoglycemic Activity of Dietary Fiber from Sea Buckthorn Pomace. Foods. 2024; 13(22):3665. https://doi.org/10.3390/foods13223665
Chicago/Turabian StyleXiao, Qi, Liting Yang, Jingjing Guo, Xiyu Zhang, Yu Huang, and Qun Fu. 2024. "Preparation, Structural Characterization, and Hypoglycemic Activity of Dietary Fiber from Sea Buckthorn Pomace" Foods 13, no. 22: 3665. https://doi.org/10.3390/foods13223665
APA StyleXiao, Q., Yang, L., Guo, J., Zhang, X., Huang, Y., & Fu, Q. (2024). Preparation, Structural Characterization, and Hypoglycemic Activity of Dietary Fiber from Sea Buckthorn Pomace. Foods, 13(22), 3665. https://doi.org/10.3390/foods13223665
